Next Article in Journal
Secondary Metabolites with α-Glucosidase Inhibitory Activity from the Mangrove Fungus Mycosphaerella sp. SYSU-DZG01
Next Article in Special Issue
Penigrisacids A–D, Four New Sesquiterpenes from the Deep-Sea-Derived Penicillium griseofulvum
Previous Article in Journal
Anti-Inflammatory Cembrane-Type Diterpenoids and Prostaglandins from Soft Coral Lobophytum sarcophytoides
Previous Article in Special Issue
New Glutamine-Containing Azaphilone Alkaloids from Deep-Sea-Derived Fungus Chaetomium globosum HDN151398
 
 
Font Type:
Arial Georgia Verdana
Font Size:
Aa Aa Aa
Line Spacing:
Column Width:
Background:
Article

Phenazine Derivatives with Anti-Inflammatory Activity from the Deep-Sea Sediment-Derived Yeast-Like Fungus Cystobasidium laryngis IV17-028

1
Marine Natural Products Chemistry Laboratory, Korea Institute of Ocean Science Technology, 385 Haeyang-ro, Yeongdo-gu, Busan 49111, Korea
2
Laboratory Animal Resource Center, Korea Research Institute of Bioscience and Biotechnology, 30 Yeongudangi-ro, Ochang-eup, Cheongwon-gu, Cheongju 28116, Korea
*
Author to whom correspondence should be addressed.
Mar. Drugs 2019, 17(8), 482; https://doi.org/10.3390/md17080482
Submission received: 25 July 2019 / Revised: 14 August 2019 / Accepted: 16 August 2019 / Published: 19 August 2019
(This article belongs to the Special Issue Deep-Sea Natural Products II)

Abstract

Three new phenazine derivatives (13), along with known compounds (47) of saphenic acid derivatives, were isolated from a deep-sea sediment-derived yeast-like fungus Cystobasidium larynigs collected from the Indian Ocean. The structures of the new compounds (13) were determined by analysis of spectroscopic data, semi-synthesis and comparison of optical rotation values. All the isolated compounds (17), except for 2, showed nitric oxide (NO) production inhibitory effect against lipopolysaccharide (LPS)-induced murine macrophage RAW 264.7 cells without cytotoxicity at concentrations up to 30 μg/mL. This is the first report on the yeast-like fungus Cystobasidium laryngis producing phenazines and anti-inflammatory activity of 17 including saphenic acid (4).

Graphical Abstract

1. Introduction

Natural products and their derivatives have been recognized as an attractive source of drug discovery [1]. In particular, microorganisms from the marine environment are a rich source of structurally unique bioactive metabolites and have produced a number of drug candidates [2]. Among them, marine microbes from the deep-sea are a relatively untapped reservoir of metabolites with structural and biological diversity waiting to be discovered because of lack of technology and the difficulty of collecting samples [3].
In our continuing search for bioactive substances from deep-sea microorganisms, we encountered a rare marine-derived yeast-like fungus Cystobasidium laryngis isolated from a deep-sea sediment sample collected from the Indian Ocean Ridge in 2017. This yeast-like fungus was designated as IV17-028 and cultivated in a large scale. Phenazine compounds (17) including saphenic acid (4) were isolated from the extract of the culture broth by chromatographic methods and recrystallization. Phenazines are a large group of redox-active secondary metabolites produced by various bacteria (Streptomyces and Pseudomonas) and some archea [4]. Phenazines share a diabenzo annulated pyrazine core structure and have a broad spectrum of biological activities, such as anti-microbial, anti-cancer, cancer chemopreventive, anti-malarial and anti-parasitic [5]. Among them, saphenic acid containing phenazine core is a common pharmacophore for antibiotics and antitumor agents including saphenamycin and phenazostatins which were isolated from Streptomyces sp. [6].
Here we report the isolation of Cystobasidium laryngis IV17-028, fermentation, purification of seven phenazine derivatives (17), structure determination of three new compounds 13 and biological activity of all the isolated compounds 17 (Figure 1). This is the first report on the phenazine derivatives from the marine yeast-like fungus Cystobasidium laryngis and their anti-inflammatory activity.

2. Results and Discussion

Compound 1 was isolated as a yellowish amorphous solid. The molecular formula of 1 was deduced to be C22H17N3O4 from the [M + H]+ peak at m/z 388.1296 (calcd. for 388.1297) in the HRESIMS, which required 16 degrees of unsaturation. The 1H and HSQC spectra of 1 showed ten aromatic proton signals at δH 8.90 (1H, d, J = 7.4 Hz), 8.70 (1H, d, J = 8.6 Hz), 8.23 (1H, d, J = 7.7 Hz), 8.15 (1H, t, J = 7.4 Hz), 7.99 (1H, overlapped), 7.98 (1H, overlapped), 7.89 (1H, d, J = 7.6 Hz), 7.03 (1H, t, J = 8.0 Hz), 6.49 (1H, t, J = 7.6 Hz) and 6.42 (1H, d, J = 8.0 Hz), one methine signal at δH 6.06 (1H, q, J = 6.4 Hz) and one methyl signal at δH 1.81 (3H, d, J = 6.4 Hz) (Figure S1). Moreover, an exchangeable proton signal of a carboxyl group at δH 15.60 (1H, s) was detected on the 1H NMR spectrum using CDCl3 (Table 1) (Figure S2). The 13C (Figure S3) and HSQC (Figure S4) spectra displayed ten tertiary sp2 carbons (δC 172.4, 168.6, 151.5, 145.6, 144.8, 143.9, 143.7, 141.0, 126.6 and 112.2), ten aromatic sp2 carbons (δC 137.8, 136.6, 135.3, 134.7, 133.4, 131.5, 128.7, 128.3, 116.1 and 113.3), an oxygenated methine carbon (δC 49.5) and a methyl carbon (δC 24.3) (Table 2). The characteristic UV spectrum (λmax 256 and 371 nm), distinct deshielded aromatic proton signals at δH 8.90–7.98, an exchangeable proton signal for a carboxyl group at δH 15.60, a downshifted methine proton signal at δH 6.06 and four nitrogen-bearing quaternary carbons at δC 144.8, 143.9, 143.7 and 141.0 revealed the presence of a saphenic acid bearing phenazine moiety [7,8]. Analysis of the COSY spectrum (Figure S5) suggested four spin systems: From H-2 (δH 8.90) to H-4 (δH 8.70), from H-7 (δH 7.98) to H-9 (δH 8.23), from H-1’ at (δH 6.06) to H-2’ (δH 1.81) and from H-3” (δH 7.89) to H-6” (δH 6.42) (Figure 2). These evidences revealed that 1 had 1,6- or 1,9-disubstituted phenazine ring. Since 1H and 13C NMR chemical shift values of 1 were very similar to 4, as well as already reported saphenic acid [9], the structure of 1 was concluded to be a 1,6-disubstituted phenazine derivative (Table 1 and Table 2). The molecular formula, based on the HR-MS result, revealed that 1 has an amino group. The amino group was linked to a remaining unconnected quaternary carbon C-7” by its chemical shift (δC 151.5). These data clearly indicated that 1 belongs to the saphenic acid family with 2-aminobenzoic acid moiety. The position of the carboxylic acid (1-COOH) was determined by the HMBC correlation between H-2 (δH 8.90) and the carbonyl carbon (δC 168.6) (Figure S6). The oxygenated methine proton H-1’ (δH 6.06) showed HMBC cross-peaks with C-5a (δC 143.7), C-6 (δC 145.6) and C-7 (δC 128.7). The HMBC correlation between the aromatic methine H-3” (δH 7.89) and C-1” (δC 172.4) established the presence of 2-amino benzoic ester (Figure 2). Though we could not directly ascertain the HMBC correlation between the saphenic acid moiety and 2-amino benzoic ester, the ROESY correlation between H-1’ (δH 6.06) and H-6” (δH 6.42) established their connection (Figure S7). Furthermore, saphenic acid and 2-amino benzoic ester satisfied the unsaturation number and molecular formula. Thereby, the oxygenated methine C-1’ was found to be connected with C-1” by an ester linkage. Thus, the structure of 1 was determined as 6-[1-(2-aminobenzoyloxy)ethyl]-1-phenazinecarboxylic acid.
It was supposed that this strain produces phenazine derivatives through the same biosynthesis pathway [6]. So, we assumed that the stereocenter of C-1’ has the same configuration with (R)-saphenic acid (4). To determine the stereochemistry of C-1’ in 1, 1 was semi-synthesized with 4 and 2-aminobenzoic acid (Figure 3). Semi-synthesized 1 showed identical 1H NMR and MS spectra with natural 1 (Figures S26–S28). In addition, natural and semi-synthesized 1 had the same negative optical rotation values (R-saphenic acid: [α] D 25 −73, (c 0.05, CHCl3); natural 1: [α] D 25 −80, (c 0.05, CHCl3); semi-synthetic 1: [α] D 25 −40, (c 0.05, CHCl3)). Thus, the stereochemistry of C-1’ was determined to be R-configuration. Peculiarly, 1 was easily changed under the light. However, it could be changelessly stored in the dark and fridge for several weeks.
Compound 2 was purified as a yellowish needle. The molecular formula of 2 was deduced to be C15H13N3O2 with 11 degrees of unsaturation from the [M + H]+ peak at m/z 268.1088 (calcd. for 268.1086) in the HRESIMS. Based on the HRMS data (Figure S8), 2 had one more nitrogen and one less oxygen than saphenic acid (4). Chemical shifts and splitting patterns of 2 (Figures S9 and S10) were closely similar to those of 4. The main difference was the appearance of two exchangeable proton signals at δH 10.69 and δH 6.29 for amide protons in 2 instead of the exchangeable proton signal at δH 15.44 of a carboxyl group in 1. The amide protons showed correlations each other in the COSY spectrum (Figure S12). Therefore, the planer structure of 2 was elucidated as a new derivative of saphenic acid and named as saphenic amide. 2 also had a negative optical rotation value [α] D 25 −13, (c 0.1, CHCl3), which was in agreement with that of 4 [α] D 25 −13 (c 0.1, CHCl3), suggesting that the stereochemistry of C-1’ was R-form.
Compound 3 was obtained as a yellowish amorphous solid. Based on the HRESIMS spectrum (Figure S20), the molecular formula was established as C16H16N2O2 with 10 degrees of unsaturation from the [M + H]+ peak at m/z 269.1290 (calcd. for 269.1290). The 1H NMR (Figure S15) and HSQC (Figure S17) spectra of 3 showed three aromatic proton signals at δH 8.19 (1H, d, J = 8.2 Hz), 7.83 (1H, t, J = 6.9 Hz) and 7.78 (1H, d, J = 6.9 Hz), an oxygenated methine proton signal at δH 5.71 (1H, q, J = 6.5 Hz) and a methyl signal at δH 1.81 (1H, d, J = 6.5 Hz). 13C NMR and HSQC spectra displayed three quaternary carbons (δC 142.8, 141.4 and 141.0), three aromatic sp2 carbons (δC 131.4, 128.6 and 127.7), an oxygenated methine carbon (δC 68.9) and a methyl carbon (δC 23.8). The pattern of 1H NMR spectrum and UV maximum at 255 and 366 nm revealed the presence of a typical phenazine moiety. The main difference between 3 and the other isolated compounds was the disappearance of a carboxyl group in 3. 1H and 13C NMR data of 3 showed only a half set of signals and 3 had no optical activity, indicating that 3 consisted of two equivalent molecular portions and had a symmetric structure of 1-(2,3-diaminophenyl)ethanol. By considering NMR chemical shifts and biosynthetic pathway of 3 and 4, the stereochemistry of C-1’ in 3 was determined to be the same as that in 4. Thus, the structure of 3 was determined to be a new saphenic acid derivative and named as saphenol.
The structures of the known compounds 47 were identified as the previously reported (R)-saphenic acid (4), phenazine-1-carboxylic acid (5), 6-(1-hydroxyehtyl)phenazine-1-carboxylic acid (6) and 6-acetyl-phenazine-1-carboxylic acid (7) by the comparison of NMR, MS and optical rotation values with the literature [9,10]. When comparing with saphenic acid (4), 5 was a lack of 1-hydroxy-ethyl group, 6 was methylated form of saphenic acid (4), and 7 was oxidized saphenic acid. As previously reported [9], saphenic acid (4) of yellow needle form turned brown after several hours in day light as well as fluorescent light. Moreover, 4 was quickly turned from yellow into orange in hydrophilic solvents like methanol and dimethyl sulfoxide under the light within a few minutes.
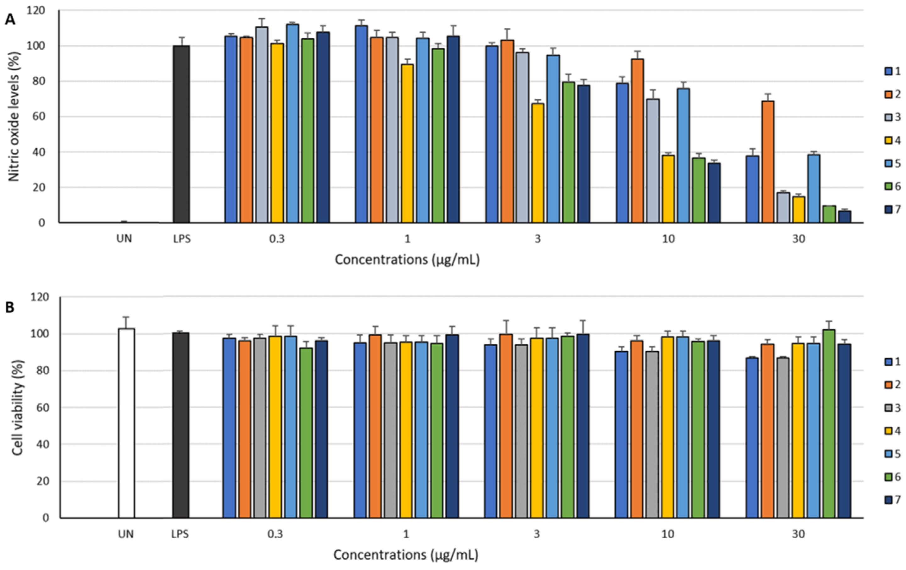
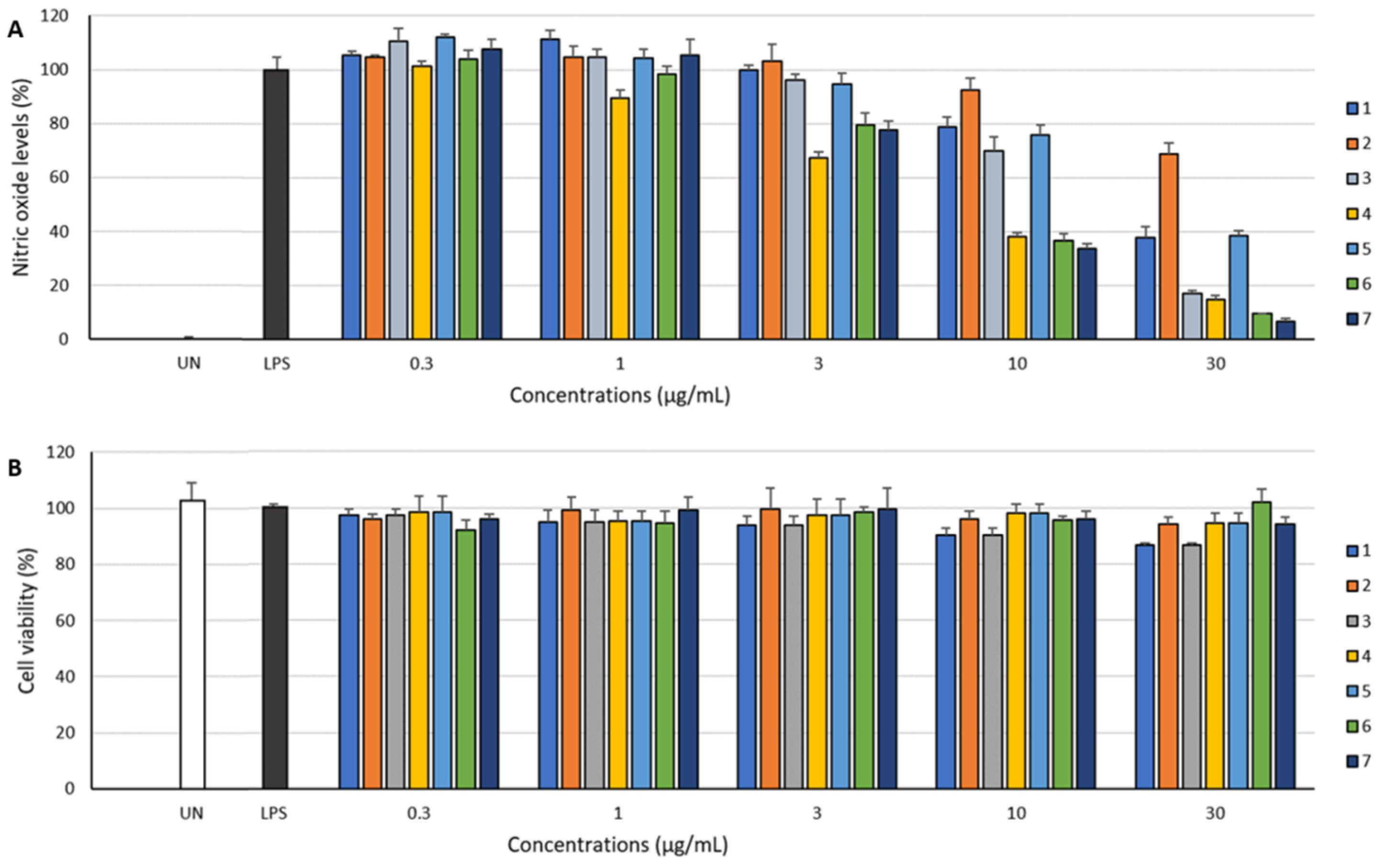
The anti-inflammatory activity of 17 was assessed by NO assay, and their cytotoxicity on RAW 264.7 cells was evaluated by 2,3-bis-(2-methoxy-4-nitro-5-sulfophenyl)-2H-tetrazolium-5-carboxanilide (XTT) assay. The biological activities of the previously reported compounds 47 have never been reported [9]. Even though saphenic acid is a common pharmacophore for antibiotics and antitumor reagents, its biological activity has never been reported [11].
17, except for 2, exhibited inhibitory effect against LPS-induced NO production in RAW 264.7 cells (Figure 4). Moreover, these compounds did not affect the viability of RAW 264.7 cells at concentrations up to 30 μg/mL (Figure 4). Among the isolated compounds, 6 inhibited NO production with the highest EC50 value of 19.6 μM. Saphenic acid (4) and their derivatives (6 and 7) showed a similar inhibition tendency (Table 3). Methylated (6) and oxidized (7) saphenic acids showed no significant difference in the activity. However, these compounds were about twice stronger than saphenic acid substituted with 2-amino benzoic acid (1, EC50 = 46.8 μM). Furthermore, when there is no functional group at C-6 of phenazine (5, EC50 = 76.1 μM), the activity was lowest. We could not carry out further biological activity tests due to insufficient amount. However, our results suggest that NO inhibitory activity is influenced by the carboxylic acid at C-1 as well as the presence of simple functional group at C-6 of phenazine ring.

3. Materials and Methods

3.1. General Experimental Procedures

Optical rotation was measured on a Rudolph research analytical Autopol III S2 polarimeter (Rudolph Research Analytical, Hackettstown, NJ, USA). UV spectra were obtained on a Shimadzu UV-1650PC spectrophotometer (Shimadzu Corporation, Kyoto, Japan). IR spectra were recorded on a JASCO FT/IR-4100 spectrophotometer (JASCO Corporation, Tokyo, Japan). NMR spectra were collected on a Bruker AVANCE III 600 spectrometer (Bruker BioSpin GmbH, Rheinstetten, Germany) operating at 600 MHz (1H) and 150 MHz (13C). LRMS data were acquired on an Agilent 6100 single quadrupole mass spectrometer (Agilent Technologies, Santa Clara, CA, USA) with electron ionization (EI). HRESIMS was obtained with a Waters SYNPT G2 Q-TOF mass spectrometer (Waters Corporation, Milford, CT, USA) at Korea Basic Science Institute (KBSI) in Cheongju, Republic of Korea. HPLC was performed using a PrimeLine binary pump (Analytical Scientific Instruments, Inc., El Sobrante, CA, USA) with Shodex RI-101 refractive index detector (Shoko Scientific Co. Ltd., Yokohama, Japan) and S3210 variable UV detector (Schambeck SFD GmbH, Bad Honnef, Germany). Columns used for HPLC were YMC-Pack Silica (250 mm × 10 mm i.d., 5 µm), YMC ODS-A (250 mm × 10 mm i.d., 5 μm) and YMC-Triart C18 (250 mm × 10 mm i.d., 5 µm and 250 mm × 4.6 mm i.d., 5 µm). Silica gel 60 (Merck, 230–400 mesh) and RP-C18 silica gel (YMC-Gel ODS-A, 12 nm S-75 μm) were used for open column chromatography. Mass culture was carried out in a 100 L fermenter (Fermentec Corporation, Cheongju, Republic of Korea). All solvents used were either HPLC grade or distilled prior to use.

3.2. Microbial Material

The strain IV17-028 was isolated from a deep-sea sediment sample collected using a multi-corer (MC) mounted on the R/V ISABU from the Indian Ocean (date: 9 August 2017, latitude: 008° 07.5121′ S, longtitude: 068° 06.6033′ E, depth: 4317 m). A total of 1 g of the heated sediment sample in the dry oven at 60 °C for 30 min, was spread onto the surface of Bennett (BN)’s agar plates (1% glucose, 0.2% tryptone, 0.1% yeast extract, 0.1% beef extract, 0.5% glycerol, 3.2% artificial sea salt and 1.8% agar, pH 7.02 before sterilization). The plates were incubated for 5 days at room temperature and then 20 days at 4 °C fridge. The resulting colony of dark green color was transferred and maintained on the BN agar plate. The colors of the colonies formed were beige to green on the BN agar medium. The strain was identified as Cystobasidium laryngis on the basis of 26S rRNA sequence analysis. The sequence of IV17-028 was submitted to GenBank under accession number MK131277.

3.3. Fermentation and Isolation of Metabolites

The seed and production cultures were carried out in the BN broth medium (1% glucose, 0.2% tryptone, 0.1% yeast extract, 0.1% beef extract, 0.5% glycerol, 3.2% artificial sea salt, pH 7.02 before sterilization). The seed culture was performed in a 2 L baffled Erlenmeyer flask containing 600 mL of autoclaved medium at 28 °C for 5 days on a rotary shaker at 140 rpm. The seed culture broth was inoculated into a 100 L fermenter containing 60 L of the broth medium under the aseptic condition. The fermenter was operated at 28 °C, 50 rpm and airflow rate of 20 liter per minute (LPM) in the dark for 10 days. After cultivation, the broth was extracted with ethyl acetate (EtOAc, 60 L) twice. The EtOAc extract was evaporated to obtain crude extract (46.5 g). A portion of crude extract (12.8 g) was partitioned with 85% methanol (MeOH) in H2O and hexane (Hex). 85% MeOH layer (1.72 g) was subjected to ODS vacuum column chromatography followed by stepwise gradient elution with MeOH/H2O (1:4, 2:3, 3:2, 4:1 and 5:0, v/v) as eluent. Insoluble part (23.1 mg) containing 4 obtained from the 60% MeOH fraction was recrystallized from acetone to give a pure 4 (9.9 mg) as yellow needles. The 60% MeOH fraction was again applied to an ODS flash column chromatography with a MeOH/H2O solvent system (4:6, 5:5, 6:4, 7:3 and 8:2, v/v). The subfraction eluted with MeOH/H2O (6:4) was purified by a reversed-phase HPLC (YMC ODA-S, 250 × 10 mm i.d., 5 μm; 48% MeOH in H2O; flow rate: 2.0 mL/min; detector: RI) to yield crude 2 (2.3 mg, tR 50 min). The crude 2 was recrystallized in MeOH to afford a pure 2 (1.1 mg) as yellow crystals. The 80% MeOH fraction was purified by a RP-HPLC (YMC ODS-A, 250 × 10 mm i.d., 5 μm; 28% MeCN in H2O containing 0.01% TFA; flow rate: 3.5 mL/min; detector: UV; wavelength: 254 nm) to give 3 (0.7 mg, tR 30 min). The remaining crude extract (33.7 g) was suspended in H2O and sequentially partitioned with Hex, CHCl3, EtOAc and BuOH. The CHCl3 soluble fraction (5.94 g) was separated on silica gel flash column chromatography with MC/MeOH (10:0, 20:1, 10:1 and 5:1, v/v). The MC:MeOH (20:1) fraction was collected into nine fractions. Subfractions 3–5 (34.1 mg) from the MC:MeOH (20:1) fraction was purified by a normal phase HPLC (YMC-Pack SIL; 250 × 10 mm i.d., 5 μm; EtOAc:Hex (2:8); flow rate: 2.0 mL/min; detector: RI) to yield 5 (0.7 mg, tR 35 min) and 6 (0.5 mg, tR 25 min). Subfractions 6 and 7 (4.8 g) were again applied to an ODS-A vacuum column chromatography by stepwise gradient elution with MeOH/H2O (1:4, 2:3, 3:2, 4:1 and 5:0, v/v). Each fraction was divided into three subfractions. The third 80%MeOH fraction (468.5 mg) was separated with a normal phase HPLC (YMC-Pack SIL; 250 × 10 mm i.d., 5 μm; EtOAc:Hex:MeOH (1:1:0.02); flow rate: 2.0 mL/min; detector: RI) to afford 1 (1.7 mg, tR 8 min), 4 (2.1 mg, tR 14 min) and 7 (1.3 mg, tR 12 min).
Compound 1: Yellowish amorphous; [α] D 25 −13 (c 0.1, CHCl3); UV (CHCl3) λmax (log ε) 371 (1.25), 256 (1.83) nm; IR (CHCl3) νmax 3727, 3625, 2883, 1222, 770 cm−1; 1H and 13C NMR data (CD3OD), see Table 1 and Table 2; 1H NMR (CDCl3, 600 MHz) δH 15.60 (1H, s), 8.99 (1H, d, J = 6.7 Hz), 8.62 (1H, d, J = 8.6, 6.7 Hz), 8.15 (1H, d, J = 8.3 Hz), 8.05 (1H, t, J = 7.6 Hz), 7.98 (1H, d, J = 7.8 Hz), 7.95 (1H, d, J = 6.8 Hz), 7.91 (1H, t, J = 8.5 Hz), 7.10 (1H, t, J = 8.1 Hz), 6.56 (1H, t, J = 7.4 Hz), 6.39 (1H, d, J = 8.6 Hz), 6.03 (1H, q, J = 14.2, 7.6 Hz), 1.82 (3H, d, J = 6.7 Hz); HRESIMS m/z 388.1296 [M + H]+ (calcd. for C22H18N3O4, 388.1297).
Saphenic amide (2): Yellowish needle; [α] D 25 −13 (c 0.1, CHCl3); UV (CHCl3) λmax (log ε) 370 (0.87), 255 (1.52) nm; IR (CHCl3) νmax 3328, 2922, 1664, 1218, 770 cm−1; 1H and 13C NMR data (CDCl3), see Table 1 and Table 2; HRESIMS m/z 268.1088 [M + H]+ (calcd. for C15H14N3O2, 268.1086).
Saphenol (3): Yellowish amorphous; [α] D 25 0 (c 0.1, CHCl3); UV (CHCl3) λmax (log ε) 366 (0.61), 255 (1.41) nm; IR (CHCl3) νmax 3413, 2957, 1218, 770 cm−1; 1H and 13C NMR data (CDCl3), see Table 1 and Table 2; HRESIMS m/z 269.1290 [M + H]+ (calcd. for C16H17N2O2, 269.1290).
Saphenic acid (4): Yellowish needle; [α] D 25 −13 (c 0.1, CHCl3); 1H and 13C NMR data (CDCl3), see Table 1 and Table 2; LREIMS m/z 269.1 [M + H]+.
Phenazine-1-carboxylic acid (5): Yellowish amorphous; 1H NMR (CDCl3, 600 MHz) δH 15.58 (1H, s), 8.97 (1H, d, J = 7.0 Hz), 8.52 (1H, d, J = 8.7 Hz), 8.34 (1H, d, J = 8.3 Hz), 8.28 (1H, d, J = 8.64 Hz), 8.04–7.96. (1H × 3, overlapped); LREIMS m/z 225.1 [M + H]+.
6-(1-hydroxyehtyl)phenazine-1-carboxylic acid (6): Yellowish amorphous; [α] D 25 −60° (c 0.05, CHCl3); 1H NMR (CDCl3, 600 MHz) δH 15.62 (1H, s), 8.95 (1H, d, J = 7.0 Hz), 8.53 (1H, d, J = 8.7 Hz), 8.17 (1H, d, J = 8.3 Hz) 8.05 (1H, br d), 8.03–8.00 (1H × 2, overlapped), 5.76 (1H, q, J = 12.9, 6.5 Hz), 3.42 (3H, s), 1.62 (3H, d, J = 6.4 Hz); LREIMS m/z 283.1 [M + H]+.
6-acetylphenazine-1-carboxylic acid (7): Yellowish amorphous; 1H NMR (CDCl3, 600 MHz) δH 15.26 (1H, s), 9.01 (1H, dd, J = 7.0, 1.3 Hz), 8.55 (1H, dd, J = 8.7, 1.3 Hz), 8.41 (1H, dd, J = 8.7, 1.3 Hz), 8.29 (1H, dd, J = 6.9, 1.3 Hz), 8.08 (1H, dd, J = 8.6, 7.1 Hz), 8.05 (1H, dd, J = 8.6, 6.9 Hz), 3.07 (3H, s); LREIMS m/z 267.1 [M + H]+.

3.4. Semi-Synthesis of 1

To a solution of 2-aminobenzoic acid (50.0 mg, 0.36 mM) in toluene (1.2 mL) was added thionyl chloride solution (1.8 mL, 1.8 mM) at room temperature and the mixture was refluxed for 3 h. After completion of the reaction was confirmed by TLC, the solvent was removed under vacuum to obtain the crude acid chloride as yellow oil, which was used for further reaction without purification [12].
To a solution of (R)-saphenic acid (4) (5.4 mg, 0.02 mM) in DCM (200 μL) was added triethylamine (5 μL) at 0 °C and stirred for 10 min. To this mixture, the solution of acid chloride (150 μL, 0.02 mM) in DCM (2.7 mL) was added drop wise at 0 °C and stirred at room temperature for 16 h. The reaction solution was evaporated in vacuo and separated on PTLC (Hex-EtOAc, 4:6). The fractions containing a yellowish spot (Rf 0.1 ~ 0.4) were combined and further purified by RP-HPLC (YMC Triart-C18, 250 × 4.6 mm i.d., 5 μm; 45% MeCN in H2O containing 0.01% TFA; flow rate: 1.0 mL/min; detector: RI) to give semi-synthesized 1 (0.2 mg, tR 32 min). 1H NMR (CDCl3, 600 MHz) δH 15.61 (1H, s), 8.99 (1H, d, J = 5.8 Hz), 8.61 (1H, d, J = 7.5 Hz), 8.14 (1H, d, J = 8.6 Hz), 8.05 (1H, t, J = 7.26 Hz), 7.95 (1H, d, J = 7.8 Hz), 7.94 (1H, d, J = 5.5 Hz), 7.89 (1H, t, J = 8.5 Hz), 7.08 (1H, d, J = 7.1 Hz), 6.54 (1H, t, J = 7.4 Hz), 6.35 (1H, d, J = 8.6 Hz), 6.03 (1H, q, J = 12.7, 5.9 Hz), 1.80 (3H, d, J = 6.7 Hz) (Figure S26).

3.5. Nitrite Quantification

NO2 accumulation was used as an indicator of NO production as described previously [13]. RAW 264.7 cells were plated at 5 × 105 cells/mL, pre-treated with various concentrations (0.3, 1, 3, 10 or 30 μg/mL) of 17 and stimulated with LPS (200 ng/mL) for 24 h. The supernatants were mixed with an equal volume of Griess reagent (1% sulfanilamide, 0.1% naphthylethylenediamine dihydrochloride and 2% phosphoric acid) and incubated at room temperature for 10 min. NaNO2 was used to generate a standard curve, and the concentration of nitrite in the medium was determined by measuring optical density at 540 nm [13]. Cell viability was determined by XTT assay as described previously [14]. And it was confirmed that the concentration of compounds used in this study has no significant effect on cell viability.

4. Conclusions

Three new compounds (13) and four known compounds (47) of phenazine class were isolated from a rare marine yeast-like fungus Cystobasidium laryngis. The structures of the new compounds were elucidated by detailed spectroscopic data analysis. Moreover, the absolute stereochemistry of 14 and 6 was determined by comparison of optical rotation values with literature. All the isolated compounds 17, except for 2, exhibited moderate NO production inhibition activity without cytotoxicity. This is the first report on the isolation of the new and known phenazine derivatives from the yeast-like fungus Cystobasidium laryngis and their anti-inflammatory activity.

5. Patents

Shin, H.J.; Lee, H.-S.; Choi, B.-K.; Lee, H.-S.; Lee, Y.-J.; Lee, J. S.; Lee, J. Method of producing saphenic acid and its derivatives and use thereof. KR 10-2018-0167792, 21 December 2018.

Supplementary Materials

The followings are available online at https://www.mdpi.com/1660-3397/17/8/482/s1, Figure S1: 1H NMR spectrum of compound 1 (600 MHz, CD3OD), Figure S2: 1H NMR spectrum of compound 1 (600 MHz, CDCl3), Figure S3: 13C NMR spectrum of compound 1 (150 MHz, CD3OD), Figure S4: HSQC spectrum of compound 1 in CD3OD, Figure S5: COSY spectrum of compound 1 in CD3OD, Figure S6: HMBC spectrum of compound 1 in CD3OD, Figure S7: ROESY spectrum of compound 1 in CD3OD, Figure S8: HRESI-MS spectrum of compound 1, Figure S9: 1H NMR spectrum of compound 2 (600 MHz, CDCl3), Figure S10: 13C NMR spectrum of compound 2 (150 MHz, CDCl3), Figure S11: HSQC spectrum of compound 2 in CDCl3, Figure S12: COSY spectrum of compound 2 in CDCl3, Figure S13: HMBC spectrum of compound 2 in CDCl3, Figure S14: HRESI-MS spectrum of compound 2, Figure S15: 1H NMR spectrum of compound 3 (600 MHz, CDCl3), Figure S16: 13C NMR spectrum of compound 3 (150 MHz, CDCl3), Figure S17: HSQC spectrum of compound 3 in CDCl3, Figure S18: COSY spectrum of compound 3 in CDCl3, Figure S19: HMBC spectrum of compound 3 in CDCl3, Figure S20: HRESI-MS spectrum of compound 3, Figure S21: 1H NMR spectrum of compound 4 (600 MHz, CDCl3), Figure S22: 13C NMR spectrum of compound 4 (150 MHz, CDCl3), Figure S23: 1H NMR spectrum of compound 5 (600 MHz, CDCl3), Figure S24: 1H NMR spectrum of compound 6 (600 MHz, CDCl3), Figure S25: 1H NMR spectrum of compound 7 (600 MHz, CDCl3), Figure S26: 1H NMR spectrum of semi-synthesized 1 (600 MHz, CDCl3), Figure S27: LR-MS spectrum of semi-synthesized 1, Figure S28: Comparison of 1H NMR data between semi-synthesized 1 and natural 1.

Author Contributions

H.J.S. was the principal investigator, who proposed ideas for the present work, managed and supervised the whole research work, prepared and corrected the manuscript and contributed to the structure elucidation of the new and known compounds. H.-S.L. (Hwa-Sun Lee) achieved all experiments for compounds 17, including fermentation, isolation, and structure elucidation, semi-synthesis and prepared the manuscript. J.S.K. evaluated the cytotoxicity of 17. B.-K.C., H.-S.L. (Hyi-Seung Lee), Y.-J.L. and J.L. contributed to analyzing data.

Funding

This research was a part of the project titled ‘Understanding the deep-sea biosphere on seafloor hydrothermal vents in the Indian Ridge (No. 20170411)’ funded by the Ministry of Oceans and Fisheries, Korea and the Korea Institute of Ocean Science and Technology (grant PE99752).

Acknowledgments

The authors express gratitude to Y.H. Kim and J.H. Choi (Korea Basic Science Institute, Cheongju, Republic of Korea) for providing high resolution mass data and to D.-B. Sung, Y.J. Kim and S.-J. Kim (Marine natural products chemistry lab, KIOST) for their advice on the semi-synthesis of 1.

Conflicts of Interest

The authors declare no conflict of interest.

References

  1. Butler, M.S.; Robertson, A.A.; Cooper, M.A. Natural product and natural product derived drugs in clinical trials. Nat. Prod. Rep. 2014, 31, 1612–1661. [Google Scholar] [CrossRef] [PubMed]
  2. Skropeta, D.; Wei, L. Recent advances in deep-sea natural products. Nat. Prod. Rep. 2014, 31, 999–1025. [Google Scholar] [CrossRef] [PubMed]
  3. Skropeta, D. Deep-sea natural products. Nat. Prod. Rep. 2008, 25, 1131–1166. [Google Scholar] [CrossRef] [PubMed]
  4. Guttenberger, N.; Blankenfeldt, W.; Breinbauer, R. Recent developments in the isolation, biological function, biosynthesis, and synthesis of phenazine natural products. Bioorg. Med. Chem. 2017, 25, 6149–6166. [Google Scholar] [CrossRef]
  5. Laursen, J.B.; Nielsen, J. Phenazine natural products: Biosynthesis, synthetic analogues, and biological activity. Chem. Rev. 2004, 104, 1663–1686. [Google Scholar] [CrossRef] [PubMed]
  6. Rui, Z.; Ye, M.; Wang, S.; Fujikawa, K.; Akerele, B.; Aung, M.; Floss, H.G.; Zhang, W.; Yu, T.-W. Insights into a divergent phenazine biosynthetic pathway governed by a plasmid-born esmeraldin gene cluster. Chem. Biol. 2012, 19, 1116–1125. [Google Scholar] [CrossRef] [PubMed][Green Version]
  7. Kim, W.G.; Ryoo, I.J.; Yun, B.S.; Shin-ya, K.; Seto, H.; Yoo, I.D. New diphenazines with neuronal cell protecting activity, phenazostatins A and B, produced by Streptomyces sp. J. Antibiot. 1997, 50, 715–721. [Google Scholar] [CrossRef] [PubMed]
  8. Mitova, M.I.; Lang, G.; Wiese, J.; Imhoff, J.F. Subinhibitory concentrations of antibiotics induce phenazine production in a marine Streptomyces sp. J. Nat. Prod. 2008, 71, 824–827. [Google Scholar] [CrossRef] [PubMed]
  9. Geiger, A.; Keller-Schierlein, W.; Brandl, M.; Zaehner, H. Metabolites of microorganisms. 247. Phenazines from Streptomyces antibioticus, strain Tu 2706. J. Antibiot. 1988, 41, 1542. [Google Scholar] [CrossRef] [PubMed]
  10. Laursen, J.B.; Jorgensen, C.G.; Nielsen, J. First synthesis of racemic saphenamycin and its enantiomers. investigation of biological activity. Bioorg. Med. Chem. 2003, 11, 723–731. [Google Scholar] [CrossRef]
  11. Petersen, L.; Jensen, K.J.; Nielsen, J. Phenazines and natural products; Novel synthesis of saphenic acid. Synthesis 1999, 10, 1763–1766. [Google Scholar] [CrossRef]
  12. Mukhopadhyay, S.; Barak, D.S.; Batra, S. TBHP as methyl source under metal-free aerobic conditions to synthesize quinazolin-4(3H)-ones and quinazolines by oxidative amination of C(sp(3))-H bond. Eur. J. Org. Chem. 2018, 22, 2784–2794. [Google Scholar] [CrossRef]
  13. Park, K.H.; Yoon, Y.D.; Kang, M.R.; Yun, J.; Oh, S.J.; Lee, C.W.; Lee, M.Y.; Han, S.-B.; Kim, Y.; Kang, J.S. Hypothemycin inhibits tumor necrosis factor-α production by tristetraprolin-dependent down-regulation of mRNA stability in lipopolysaccharide-stimulated macrophages. Int. Immunopharmacol. 2015, 29, 863–868. [Google Scholar] [CrossRef] [PubMed]
  14. Kang, M.R.; Park, K.H.; Lee, C.W.; Lee, M.Y.; Han, S.-B.; Li, L.-C.; Kang, J.S. Small activating RNA induced expression of VHL gene in renal cell carcinoma. Int. J. Biochem. Cell Biol. 2018, 97, 36–42. [Google Scholar] [CrossRef] [PubMed]
Figure 1. The structures of compounds 17.
Figure 1. The structures of compounds 17.
Marinedrugs 17 00482 g001
Figure 2. The Key COSY and HMBC correlations of 13.
Figure 2. The Key COSY and HMBC correlations of 13.
Marinedrugs 17 00482 g002
Figure 3. Semi-synthesis of 1.
Figure 3. Semi-synthesis of 1.
Marinedrugs 17 00482 g003
Figure 4. Effects of 17 on production of nitric oxide (NO) in LPS-induced macrophage RAW 264.7 cells (A) and cell viability of RAW 264.7 cells (B).
Figure 4. Effects of 17 on production of nitric oxide (NO) in LPS-induced macrophage RAW 264.7 cells (A) and cell viability of RAW 264.7 cells (B).
Marinedrugs 17 00482 g004
Table 1. 1H NMR (600 MHz) data of 14.
Table 1. 1H NMR (600 MHz) data of 14.
PositionδH, Mult. (J in Hz)
1 a2 b3 b4 b
28.90d(7.4)9.05d(7.4) 8.94d(7.9)
38.15t(7.4)8.02t(7.4) 8.02t(7.9)
48.70d(8.6)8.45d(8.6) 8.48d(9.2)
77.98ovl c 7.87d(7.1)7.78d(6.9)7.94ovl c
87.99ovl c 7.92t(7.1)7.83t(6.9)7.96ovl c
98.23d(7.7)8.17d(8.5)8.19d(8.2)8.14d(8.4)
1’6.06q(6.4)5.78q(6.6)5.71q(6.5)5.82q(6.5)
2’1.81d(6.4)1.84d(6.6)1.81d(6.5)1.78d(6.5)
3”7.89d(7.6)
4”6.49t(7.6)
5”7.03t(8.0)
6”6.42d(8.0)
1-COOH15.60 bs 15.44s
1-CONH2 10.69br s
6.29br s
a, b Spectra were recorded in CD3OD and CDCl3, respectively. c Signals were overlapped with other signals.
Table 2. 13C NMR (150 MHz) data of 14.
Table 2. 13C NMR (150 MHz) data of 14.
PositionδC, Type
1 a2 b3 b4 b
1126.6 c,fC129.2 dC 124.9 eC
2137.8 fCH136.3CH 137.6CH
3131.5CH130.3CH 130.6CH
4136.6 fCH134.3CH 135.1CH
4a143.9 c,fC141.8 dC 141.8 eC
5a143.7 fC142.5C141.0C142.4C
6145.6C143.3C142.8C144.0C
7128.7CH127.4CH127.7CH127.9CH
8134.7 fCH131.9CH131.4CH133.4CH
9128.3CH128.5CH128.6CH127.2CH
9a144.8 fC143.1C141.4C140.4C
10a141.0C140.8C 139.9C
1’49.5 gCH68.8CH68.9CH68.0CH
2’24.3CH323.9CH323.8CH324.1CH3
1”172.4 fC
2”112.2C
3”133.4 fCH
4”116.1CH
5”135.3CH
6”113.3CH
7”151.5C
1-COOH168.6 fC 166.0C
1-CONH2 166.5 fC
a, b Spectra were recorded in CD3OD and CDCl3, respectively. c–e Assignments interchangeable. f Chemical shifts were obtained from the HMBC spectrum. g Chemical shift was overlapped with solvent signals.
Table 3. Effective Concentrations (EC50, μg/mL and μM) of 17 against NO assay.
Table 3. Effective Concentrations (EC50, μg/mL and μM) of 17 against NO assay.
Compounds
1234567
EC50(μg/mL)18.10>3014.676.1517.065.535.32
(μM)46.8-54.722.976.119.620.0

Share and Cite

MDPI and ACS Style

Lee, H.-S.; Kang, J.S.; Choi, B.-K.; Lee, H.-S.; Lee, Y.-J.; Lee, J.; Shin, H.J. Phenazine Derivatives with Anti-Inflammatory Activity from the Deep-Sea Sediment-Derived Yeast-Like Fungus Cystobasidium laryngis IV17-028. Mar. Drugs 2019, 17, 482. https://doi.org/10.3390/md17080482

AMA Style

Lee H-S, Kang JS, Choi B-K, Lee H-S, Lee Y-J, Lee J, Shin HJ. Phenazine Derivatives with Anti-Inflammatory Activity from the Deep-Sea Sediment-Derived Yeast-Like Fungus Cystobasidium laryngis IV17-028. Marine Drugs. 2019; 17(8):482. https://doi.org/10.3390/md17080482

Chicago/Turabian Style

Lee, Hwa-Sun, Jong Soon Kang, Byeoung-Kyu Choi, Hyi-Seung Lee, Yeon-Ju Lee, Jihoon Lee, and Hee Jae Shin. 2019. "Phenazine Derivatives with Anti-Inflammatory Activity from the Deep-Sea Sediment-Derived Yeast-Like Fungus Cystobasidium laryngis IV17-028" Marine Drugs 17, no. 8: 482. https://doi.org/10.3390/md17080482

APA Style

Lee, H.-S., Kang, J. S., Choi, B.-K., Lee, H.-S., Lee, Y.-J., Lee, J., & Shin, H. J. (2019). Phenazine Derivatives with Anti-Inflammatory Activity from the Deep-Sea Sediment-Derived Yeast-Like Fungus Cystobasidium laryngis IV17-028. Marine Drugs, 17(8), 482. https://doi.org/10.3390/md17080482

Note that from the first issue of 2016, this journal uses article numbers instead of page numbers. See further details here.

Article Metrics

Back to TopTop