Next Article in Journal
Aspergixanthones I–K, New Anti-Vibrio Prenylxanthones from the Marine-Derived Fungus Aspergillus sp. ZA-01
Next Article in Special Issue
Biogenic Polyphosphate Nanoparticles from a Marine Cyanobacterium Synechococcus sp. PCC 7002: Production, Characterization, and Anti-Inflammatory Properties In Vitro
Previous Article in Journal
Immune-Enhancement and Anti-Inflammatory Activities of Fatty Acids Extracted from Halocynthia aurantium Tunic in RAW264.7 Cells
Previous Article in Special Issue
Functional Comparison of High and Low Molecular Weight Chitosan on Lipid Metabolism and Signals in High-Fat Diet-Fed Rats
 
 
Font Type:
Arial Georgia Verdana
Font Size:
Aa Aa Aa
Line Spacing:
Column Width:
Background:
Article

Naamines and Naamidines as Novel Agents against a Plant Virus and Phytopathogenic Fungi

1
State Key Laboratory of Elemento-Organic Chemistry, Research Institute of Elemento-Organic Chemistry, College of Chemistry, Nankai University, Tianjin 300071, China
2
Tianjin Key Laboratory of Structure and Performance for Functional Molecules, College of Chemistry, Tianjin Normal University, Tianjin 300387, China
3
Collaborative Innovation Center of Chemical Science and Engineering (Tianjin), Tianjin 300071, China
4
Key Laboratory of Inorganic-Organic Hybrid Functional Materials Chemistry (Tianjin Normal University), Ministry of Education, Tianjin 300387, China
*
Authors to whom correspondence should be addressed.
Mar. Drugs 2018, 16(9), 311; https://doi.org/10.3390/md16090311
Submission received: 9 July 2018 / Revised: 29 August 2018 / Accepted: 31 August 2018 / Published: 3 September 2018

Abstract

Naamines, naamidines and various derivatives of these marine natural products were synthesized and characterized by means of nuclear magnetic resonance (NMR) spectroscopy and mass spectrometry. The activities of these alkaloids against a plant virus and phytopathogenic fungi were evaluated for the first time. A benzyloxy naamine derivative 15d displayed excellent in vivo activity against tobacco mosaic virus at 500 μg/mL (inactivation activity, 46%; curative activity, 49%; and protective activity, 41%); its activities were higher than the corresponding activities of the commercial plant virucide ribavirin (32%, 35%, and 34%, respectively), making it a promising new lead compound for antiviral research. In vitro assays revealed that the test compounds exhibited very good antifungal activity against 14 kinds of phytopathogenic fungi. Again, the benzyloxy naamine derivative 15d exhibited broad-spectrum fungicidal activity, emerging as a new lead compound for fungicidal research. Additional in vivo assays indicated that many of the compounds displayed inhibitory effects >30%.

Graphical Abstract

1. Introduction

Although the population of the world has more than doubled since the 1960s, and global agricultural production has risen to a similar extent, productive arable acreage has increased by only 10%, and this differential has contributed to the demand for increases in food production [1,2]. Plant diseases, including diseases caused by phytopathogenic fungi and viruses, can lead to severe yield losses in agricultural and horticultural crops. Tobacco mosaic virus (TMV), noted for the first time on tobacco, was the earliest plant virus to be discovered and is the most well studied. TMV can infect more than 400 plant species belonging to 36 families [3]. Ribavirin is a widely used antiviral agent against TMV, but its antiviral effect is less than 50% at 500 μg/mL. In fact, there are no agents that can completely inhibit TMV once it has infected the plants. Therefore, the development of more active antiviral agents is urgently needed [4].
A number of marine natural products have been developed as pesticides and pharmaceuticals. For example, nereistoxin was the first marine natural product to find commercial use as a pesticide [5,6], the marine-derived compound ziconotide has been approved in the United States for the treatment of pain, and trabectedin is a marine-derived anticancer drug approved for use in the European Union [7]. With the development of improved separation methods, the number of bioactive natural products isolated from marine organisms has been increasing steadily. For example, work on the sponge Leucetta chagosensis has led to the isolation of interesting 2-amino imidazole alkaloids such as naamines (Figure 1) [8,9,10], isonaamines [8,9], naamidines (Figure 1) [9,11,12], and isonaamidines [13], all of which have a central imidazole ring. These alkaloids exhibit interesting biological activities, including antimicrobial activity [8,9,10], nitric oxide synthase inhibition activity [12], and cytotoxicity [10]. Naamidine A exhibits antitumor activity derived from its ability to regulate the kinases extracellular regulated protein kinase 1 (ERK1) and ERK2, a pathway that is not targeted by any current anticancer drugs [14]. Because these marine alkaloids have been isolated in only small quantities, their activity has not been extensively researched, and there have been no reports on the use of these alkaloids to prevent plant diseases.
In work aimed at developing novel inhibitors of plant viruses from natural products, various natural products with novel structures, such as phenanthroindolizidines [15], harmine [16], topsentins [17], and matrine [18], have been found to have good antiviral activity. As a continuing work to find novel inhibitors of plant viruses from natural products, we synthesized various naamines, naamidines and derivatives, and systematically investigated their antiviral and antifungal activities.

2. Results and Discussion

2.1. Chemistry

Naamine A and naamidine A were first synthesized in 2000 [19], and naamines B [20], C and E–G [21] and naamidines G and H [22,23] were subsequently prepared by means of sequential metallization of imidazole or by alkyne amination. However, the reported methods are unsuitable for the preparation of analogues for studying structure-activity relationships (SARs) because they are low yielding, involve harsh reaction conditions, or require structurally complex starting materials. Therefore, new routes for the synthesis of naamines and naamidines are needed.
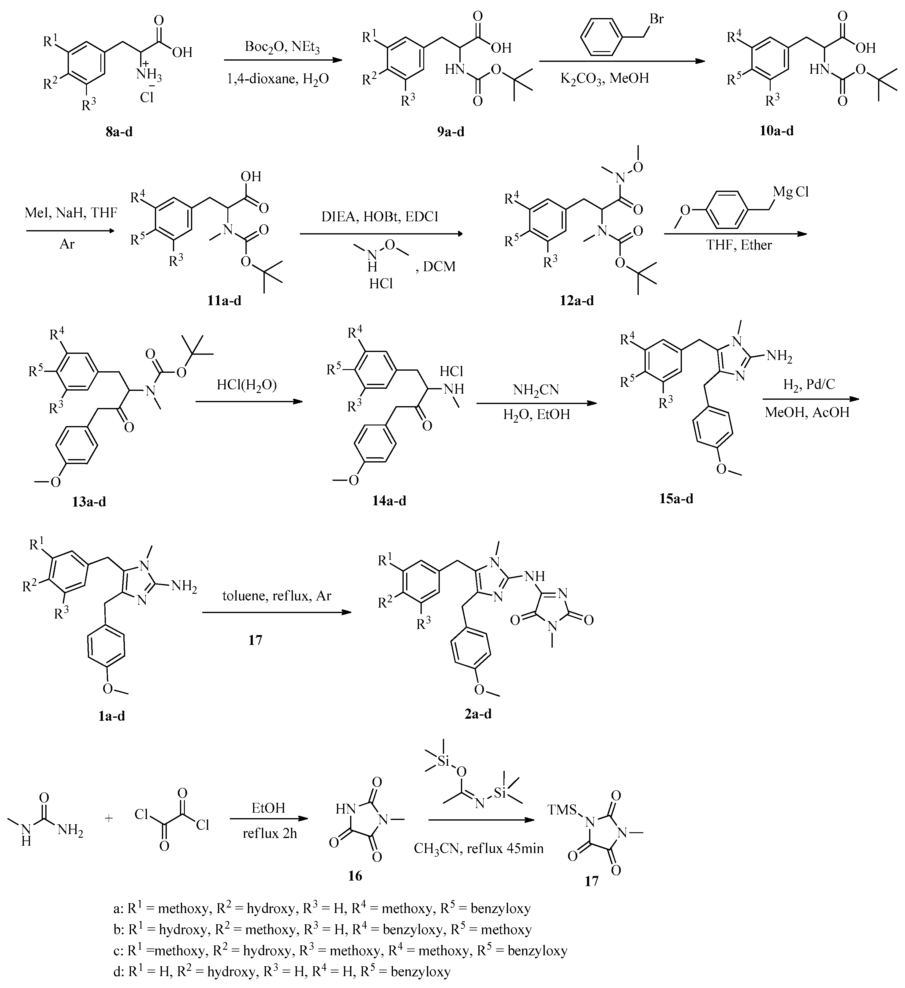
Herein, we describe the preparation of various analogues via the route shown in Figure 2 and Figure 3. First, substituted benzaldehydes 3ac were first prepared. Then, the phenol moiety of 3 was protected with a benzyl group, and condensation reactions of the protected compounds with acetoacetic acid gave oxazoles 5, which were hydrolyzed with aqueous NaOH and acidified with dilute aqueous HCl to give acids 6. Hydrogenation over Pd/C reduced the double bond and removed the benzyl protecting group to give phenylalanine 8ac after treatment with concentrated HCl. Naamines 1ad and naamidines 2ad were then prepared from 8ad by means of a pathway involving cyanamide cyclization as the key step (Figure 3). Boc protection of the amino group and benzyl protection of the phenol group of 8 gave acids 10, which were methylated with iodomethane to obtain 11. Condensation of 11 with N,O-dimethylhydroxylamine hydrochloride gave Weinreb amides 12. Subsequent Grignard reaction and removal of the Boc protecting group gave aminoketones 14, which were cyclized with cyanamide to give key intermediates 15. Hydrogenation of 15 to remove the benzyl protecting group gave naamines 1. Condensation of naamines 1 with 17, which was prepared by the procedure depicted in Figure 3 afforded naamidines 2.
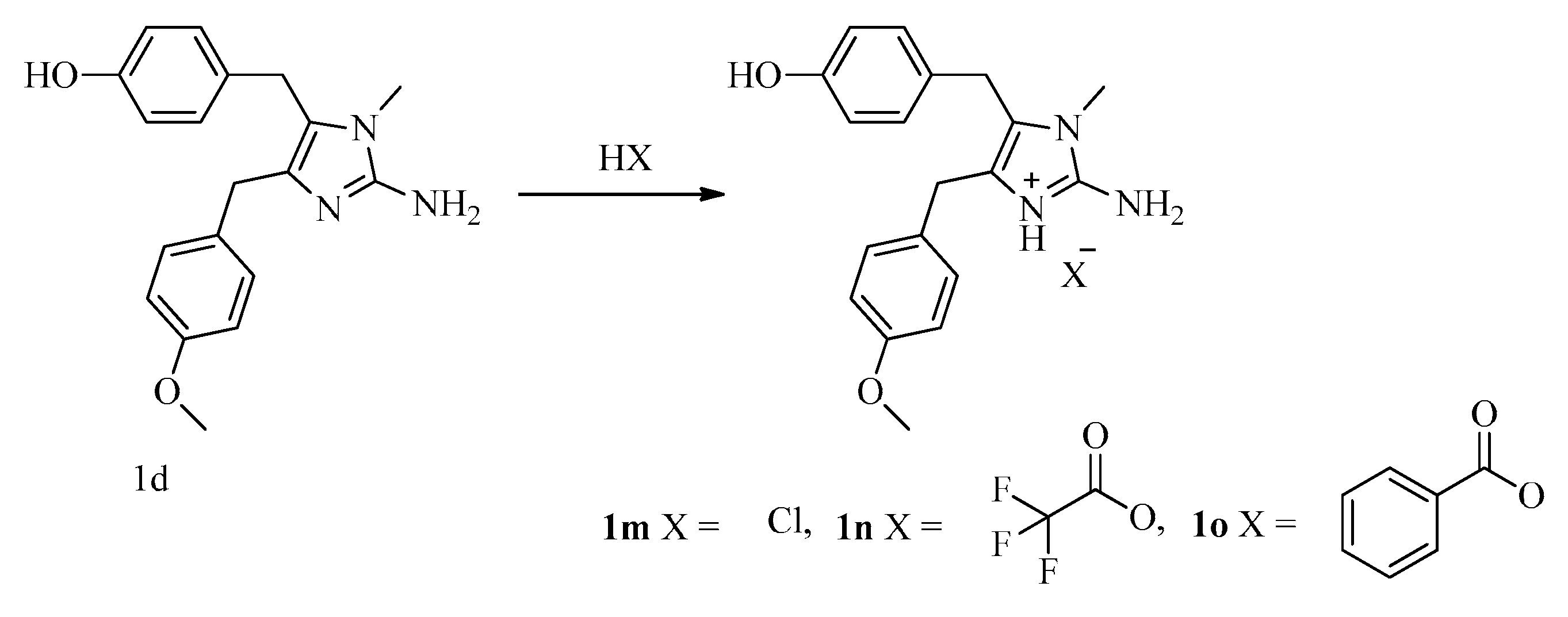
To investigate SARs, we also designed and synthesized derivatives 1eo and 2e. As depicted in Figure 4, acetylation of 2-aminoimidazole 15d with various acyl chlorides gave a mixture of 18 and 19, regardless of the temperature or the amount of acyl chloride. Fortunately, amides 18 could be converted to 19 by treatment with concentrated HCl. Deprotection of 19 afforded 1ei. Reductive amination of naamine 1d gave naamines 1j and 1k (Figure 5). As shown in Figure 6, we attempted to prepare dimethyl imidazole amine 2l by methylation of naamine 1d, but we obtained only dimethyl ketone 1l because 2l was too sensitive to H2O. To investigate the impact of salification and metal complexation, we also synthesized naamines 1mo (Figure 7) and naamidine-metal complex 2e (Figure 8).

2.2. Phytotoxic Activity

Compounds 1, 2 and 15 were found to show no phytotoxic activity at 500 µg/mL.

2.3. Antiviral Activity

The anti-tobacco mosaic virus (TMV) activities of 1, 2 and 15 were compared with those of the commercial plant virucide ribavirin (positive control) and 0.1% Tween-80 solution (negative control) (Table 1).

2.3.1. In Vitro Anti-tobacco Mosaic Virus (TMV) Activity

Most of the synthesized compounds exhibited moderate antiviral activity in vitro, and 15d, which showed higher inhibitory effect than ribavirin, emerged as a new lead compound for antiviral research. Among the naamine alkaloids 1ad, compounds 1a and 1b showed good activity, whereas 1c and 1d displayed no inhibitory effect, these results indicated that the positions and numbers of methoxy and hydroxyl groups on aromatic ring are critical to maintaining biological activity and this region is very sensitive to electronegativity. Naamine derivatives 1eo displayed relatively lower antiviral activity, which shows that derivatization of the amino group and salification decreased active. Naamidine alkaloids 2a and 2c showed no activity, whereas 2b and 2d were moderately active. The main difference between 1ad and 2ad lies in the introduction of the imidazolone ring, which leads to obvious changes of activity (inhibitory effect: 2a < 1a, 2b < 1b). Zinc complex 2e displayed moderate activity. Interestingly, the introduction of a benzyloxy group on the aromatic ring was favorable for activity (inhibitory effect: 1a15a, 1b < 15b, 1c < 15c, 1d < 15d). However, further introduction of a methoxy group decreased activity (inhibitory effect: 15c < 15a < 15d). The main difference between 15a and 15b lies in the changes in the position of benzoxy group and methoxyl, which leads to obvious changes in activity (inhibitory effect: 15a < 15b).

2.3.2. In Vivo Anti-TMV Activity

As shown in Table 1, most of the compounds showed in vivo anti-TMV activity that was similar to or higher than that of ribavirin. As in the in vitro assay, compound 15d showed the best activity in vivo at 500 μg/mL (inactivation activity: 46%; curative activity: 49%; and protection activity: 41%), which is significantly higher than that of ribavirin (32%, 35%, and 34%, respectively). The in vivo activities of compounds 1g, 1m, 2a, 2e and 15a are significantly higher than those in vitro, which reveals that these compounds may display certain inducible activity.
Unlike in the in vitro assay, in the in vivo assay, 1g, 2e and 15b displayed activities that were similar to that of ribavirin. The other SARs in vivo are similar to those of in vitro.

2.4. Fungicidal Activity

Compounds 1, 2 and 15 were also evaluated for their in vitro and in vivo fungicidal activities, which were compared with those of the commercial fungicides chlorothalonil, carbendazim and azoxystrobin (positive controls) and sterile water (negative control).

2.4.1. In Vitro Fungicidal Activity

All the tested compounds displayed very good in vitro activity against 14 kinds of plant fungi at 50 μg/mL (Table 2), and most of the compounds displayed high bioselectivity. The fungicidal activity of naamidine H (2c) against Cercospora arachidicola Hori was higher than that of carbendazim. Compounds 1b, 1k, 15a, 15c and 15d exhibited higher fungicidal activity against Physalospora piricola than did carbendazim. The fungicidal activities of naamine A (1d), derivatives 1j, 1m and naamidine H (2c) against Rhizoctonia cerealis were higher than that of carbendazim and similar to that of chlorothalonil. Against Phytophthora capsici, compounds 15ad were more active than naamines 1 and naamidines 2, which indicated that the hydroxyl on the aromatic ring is bad for antifungal activity. Derivative 15d, with its broad-spectrum fungicidal activity, emerged as a new lead compound for fungicidal research. Among the naamine alkaloids 1ad, 1b showed good activity against Physalospora piricola, 1c showed good activity against Alternaria solani, 1d showed good activity against Rhizoctonia cerealis and Fusarium graminearum, which indicated that different fungus displays different selectivity for compounds. Similar activity rules also can be found from 2ad. The replacement of the amino group at 2-position of imidazole ring with oxygen and salification with trifluoroacetic acid are favorable for antifungal activity against Sclerotinia sclerotiorum and Botrytis cinerea.

2.4.2. In Vivo Fungicidal Activity

The activities of compounds 1, 2 and 15 were also evaluated in vivo against Sclerotinia sclerotiorum on rape, Rhizoctonia cerealis on cerealis, Botrytis cinerea on cucumber, Phytophthora capsici on capsici, Corynespora cassiicola on cucumber, and Blum eria graminis f. sp. tritici on wheat (Table 3). The assays revealed that many of the compounds had an inhibitory effect of >30%. Compounds 15bd exhibited greater inhibitory effects against Phytophthora capsici on capsici than did naamines 1 and naamidines 2. However, none of the compounds showed an inhibitory effect against Blumeria graminis f. sp. tritici on wheat.

3. Experimental Section

3.1. General Experimental Procedures

The melting points were determined on an X-4 binocular microscope (Beijing Tech Instruments Co., Beijing, China). NMR spectra were obtained by using Bruker AV 400 spectrometer (Bruker Co., Fallanden, Switzerland). Chemical shifts (δ) were given in parts per million (ppm) and measured downfield from internal tetramethylsilane. High-resolution mass spectra were obtained with an FT-ICR MS spectrometer (Ionspec, 7.0 T, Kuala Lumpur, Malaysia). All reagents were of analytical reagent grade or chemically pure and purified prior to use when necessary.
See Supplementary Materials for all NMR spectra.
General procedure for the preparation of benzaldehydes 4. The mixture of benzaldehydes 3 (0.06 mol), K2CO3 (11.0 g, 0.07 mol), benzyl bromide (9.4 g, 0.07 mol) and methanol 250 mL was stirred and refluxed for 4 h under argon. Then the reaction mixture was filtered and evaporated under vacuum. The residue was dissolved in CH2Cl2 (200 mL) and washed with H2O (100 mL), brine (100 mL), and dried with MgSO4 anhydrous. The solution was filtered, evaporated under vacuum. Then acetone (10 mL) was added. The mixture was kept at 0 °C for 4 h, filtered to give benzaldehydes 4 as a white powder.
For 4-(benzyloxy)-3-methoxybenzaldehyde (4a): Yield 85%; m.p.: 67–68 °C; 1H NMR (400 MHz, CDCl3) δ 9.83 (s, 1H, COH), 7.45–7.31 (m, 7H, Ar-H), 6.99 (d, J = 8.2 Hz, 1H, Ar-H), 5.25 (s, 2H, O-CH2), 3.95 (s, 3H, O-CH3).
For 3-(benzyloxy)-4-methoxybenzaldehyde (4b): Yield 95%; m.p.: 63–65 °C; 1H NMR (400 MHz, CDCl3) δ 9.82 (s, 1H, COH), 7.47–7.30 (m, 7H, Ar-H), 6.99 (d, J = 8.1 Hz, 1H, Ar-H), 5.19 (s, 2H, O-CH2), 3.96 (s, 3H, O-CH3).
For 4-(benzyloxy)-3,5-dimethoxybenzaldehyde (4c): Yield 88%; m.p.: 63–64 °C; 1H NMR (400 MHz, CDCl3) δ 9.86 (s, 1H, COH), 7.47 (d, J = 7.1 Hz, 2H, Ar-H), 7.32 (dd, J = 11.2, 7.0 Hz, 3H, Ar-H), 7.11 (s, 2H, Ar-H), 5.13 (s, 2H, O-CH2), 3.90 (s, 6H, O-CH3).
General procedure for the preparation of 5. The mixture of benzaldehydes 4 (0.02 mol), acetic anhydride (10 mL), N-acetyl-glycine (0.02 mol) and sodium acetate (0.02 mol) was stirred at 115 °C for 3.5 h under argon. Then, the reaction mixture was cooled to room temperature, and ethanol (100 mL) was added. After ultrasonic oscillation, the mixture was filtered to give 5 as a yellow powder.
For (Z)-4-(4-(benzyloxy)-3-methoxybenzylidene)-2-methyloxazol-5(4H)-one (5a): Yield 44%; m.p.: 157–159 °C; 1H NMR (400 MHz, CDCl3) δ 7.92 (d, J = 1.8 Hz, 1H, Ar-H), 7.48–7.29 (m, 6H, Ar-H), 7.07 (s, 1H, CH), 6.91 (d, J = 8.4 Hz, 1H, Ar-H), 5.23 (s, 2H, O-CH2), 3.96 (s, 3H, O-CH3), 2.39 (s, 3H, C-CH3).
For (Z)-4-(3-(benzyloxy)-4-methoxybenzylidene)-2-methyloxazol-5(4H)-one (5b): Yield 28%; m.p.: 108–110 °C; 1H NMR (400 MHz, CDCl3) δ 7.99 (s, 1H, CH), 7.52–7.28 (m, 6H, Ar-H), 7.03 (s, 1H, Ar-H), 6.92 (d, J = 8.4 Hz, 1H, Ar-H), 5.22 (s, 2H, O-CH2), 3.94 (s, 3H, O-CH3), 2.39 (s, 3H, C-CH3); 13C NMR (100 MHz, CDCl3) δ 168.1, 164.8, 152.6, 148.2, 136.7, 131.6, 130.5, 128.6, 128.0, 127.6, 126.3, 116.4, 111.3, 71.0, 56.0, 15.6; HRMS (ESI) calcd. for C19H18NO4+ [M + H]+ 324.1230, found 324.1232.
For (Z)-4-(4-(benzyloxy)-3,5-dimethoxybenzylidene)-2-methyloxazol-5(4H)-one (5c): Yield 52%; m.p.: 102–104 °C; 1H NMR (400 MHz, CDCl3) δ 7.48 (d, J = 7.5 Hz, 2H, Ar-H), 7.41–7.28 (m, 5H, Ar-H), 7.04 (s, 1H, CH), 5.10 (s, 2H, O-CH2), 3.88 (s, 6H, O-CH3), 2.40 (s, 3H, C-CH3); 13C NMR (100 MHz, CDCl3) δ 167.9, 165.6, 153.6, 139.9, 137.4, 131.6, 131.5, 128.7, 128.5, 128.2, 128.0, 109.6, 75.1, 56.2, 15.8; HRMS (ESI) calcd. for C20H20NO5+ [M + H]+ 354.1336, found 354.1338.
General procedure for the preparation of acids 6. The mixture of 5 (13.10 mmol), NaOH (1.6 g, 39.20 mmol) and H2O (100 mL) was stirred and refluxed for 1 h. Then, the reaction mixture was cooled to room temperature and acidified to pH 5–6 with dilute hydrochloric acid. The mixture was filtered to give acids 6 as a white powder.
For (Z)-2-acetamido-3-(4-(benzyloxy)-3-methoxyphenyl)acrylic acid (6a): Yield 93%; m.p.: 200–202 °C; 1H NMR (400 MHz, DMSO-d6) δ 12.52 (s, 1H, COOH), 9.41 (s, 1H, NH), 7.45–7.35 (m, 5H, Ar-H), 7.33 (s, 1H, Ar-H), 7.21 (s, 1H, CH), 7.18 (d, J = 8.4 Hz, 1H, Ar-H), 7.07 (d, J = 8.4 Hz, 1H, Ar-H), 5.13 (s, 2H, O-CH2), 3.77 (s, 3H, O-CH3), 1.99 (s, 3H, C-CH3).
For (Z)-2-acetamido-3-(3-(benzyloxy)-4-methoxyphenyl)acrylic acid (6b): Yield 61%; m.p.: 209–211 °C; 1H NMR (400 MHz, DMSO) δ 12.53 (s, 1H, COOH), 9.46 (s, 1H, NH), 7.55–7.30 (m, 6H, Ar-H), 7.24 (d, J = 8.2 Hz, 1H, Ar-H), 7.19 (s, 1H, CH), 7.02 (d, J = 8.2 Hz, 1H, Ar-H), 5.10 (s, 2H, O-CH2), 3.80 (s, 3H, O-CH3), 1.97 (s, 3H, CO-CH3).
For (Z)-2-acetamido-3-(4-(benzyloxy)-3,5-dimethoxyphenyl)acrylic acid (6c): Yield 53%; m.p.: 155–157 °C; 1H NMR (400 MHz, CD3OD) δ 7.46 (s, 1H, CH), 7.44 (d, J = 6.7 Hz, 2H, Ar-H), 7.36–7.24 (m, 3H, Ar-H), 6.93 (s, 2H, Ar-H), 4.99 (s, 2H, O-CH2), 3.82 (s, 6H, O-CH3), 2.11 (s, 3H, CO-CH3); 13C NMR (100 MHz, CD3OD) δ 173.2, 168.3, 154.7, 139.2, 139.0, 136.0, 130.7, 129.6, 129.2, 129.1, 126.2, 108.5, 76.1, 56.6, 22.6; HRMS (ESI) calcd. for C20H22NO6+ [M + H]+ 372.1442, found 372.1444.
General procedure for the preparation of acids 7. The mixture of acids 6 (3.28 mmol) and Pd/C (10 wt%) (0.15 g) in ethanol (100 mL) was bubbled with hydrogen and stirred at room temperature for 12 h. Then, the mixture was filtered and concentrated to give acids 7 as a slight yellow powder.
For 2-acetamido-3-(4-(benzyloxy)-3-methoxyphenyl)propanoic acid (7a): Yield 98%; m.p.: 73–75 °C; 1H NMR (400 MHz, CD3OD) δ 6.79 (d, J = 1.8 Hz, 1H, Ar-H), 6.70 (d, J = 8.0 Hz, 1H, Ar-H), 6.64 (dd, J = 8.0, 1.8 Hz, 1H, Ar-H), 4.61 (dd, J = 8.9, 5.1 Hz, 1H, CH), 3.82 (s, 3H, O-CH3), 3.10 (dd, J = 14.0, 5.1 Hz, 1H, CH2), 2.85 (dd, J = 14.0, 8.9 Hz, 1H, CH2), 1.91 (s, 3H, C-CH3).
For 2-acetamido-3-(3-(benzyloxy)-4-methoxyphenyl)propanoic acid (7b): Yield 95%; m.p.: 147–150 °C; 1H NMR (400 MHz, CD3OD) δ 6.82 (d, J = 8.0 Hz, 1H, Ar-H), 6.69 (s, 1H, Ar-H), 6.65 (d, J = 8.0 Hz, 1H, Ar-H), 4.57 (dd, J = 8.7, 5.0 Hz, 1H, CH), 3.81 (s, 3H, O-CH3), 3.06 (dd, J = 13.9, 5.0 Hz, 1H, CH2), 2.82 (dd, J = 13.9, 8.7 Hz, 1H, CH2), 1.91 (s, 3H, CO-CH3); 13C NMR (100 MHz, CD3OD) δ 174.9, 173.2, 148.0, 147.4, 131.2, 121.5, 117.2, 112.7, 56.4, 55.4, 37.8, 22.4; HRMS (ESI) calcd. for C12H16NO5+ [M + H]+ 254.1023, found 254.1019.
For 2-acetamido-3-(4-(benzyloxy)-3,5-dimethoxyphenyl)propanoic acid (7c): Yield 96%; m.p.: 148–151 °C; 1H NMR (400 MHz, CD3OD) δ 6.54 (s, 2H, Ar-H), 4.68 (dd, J = 8.8, 5.0 Hz, 1H, CH), 3.86 (s, 6H, O-CH3), 3.16 (dd, J = 13.9, 5.0 Hz, 1H, CH2), 2.90 (dd, J = 13.9, 8.8 Hz, 1H, CH2), 1.97 (s, 3H, CO-CH3); 13C NMR (100 MHz, CD3OD) δ 175.0, 173.2, 149.2, 135.4, 129.0, 107.4, 56.8, 55.4, 38.6, 22.4; HRMS (ESI) calcd. for C13H18NO6+ [M + H]+ 284.1129, found 284.1133.
General procedure for the preparation of amino acids 8. The mixture of acids 7 (19.78 mmol) in 4 N HCl solution (500 mL) was refluxed for 24 h and concentrated. Then, methanol (50 mL) was added. The mixture was kept at 0 °C for 4 h, filtered to give amino acids 8, which were used directly for the next step.
General procedure for the preparation of amino acids 9. The mixture of acids 8 (4.03 mmol), (Boc)2O (4.44 mmol), Et3N (12.1 mmol), H2O (20 mL) and 1,4-dioxane (20 mL) was stirred at room temperature for 18 h. Then, the mixture was concentrated and dissolved in H2O (100 mL), acidified to pH 5–6 with dilute hydrochloric acid, and extracted with ethyl acetate (100 mL × 3). The combined organic layer was washed with brine (100 mL), dried with MgSO4 anhydrous. The solution was filtered, evaporated under vacuum. Methanol (10 mL) was added. The mixture was kept at 0 °C for 4 h, filtered to give amino acids 9, which were used directly for the next step.
General procedure for the preparation of Boc amino acids 10. The mixture of amino acids 9 (1.89 mmol), K2CO3 (4.55 mmol), benzyl bromide (2.27 mmol) and methanol (50 mL) was refluxed for 4 h. Then, the mixture was concentrated and dissolved in H2O (50 mL), acidified to pH 5–6 with dilute hydrochloric acid, and extracted with ethyl acetate (50 mL × 3). The combined organic layer was washed with brine (100 mL), dried with MgSO4 anhydrous. The solution was filtered, evaporated under vacuum to give Boc amino acids 10.
For 3-(4-(benzyloxy)-3-methoxyphenyl)-2-((tert-butoxycarbonyl)amino)propanoic acid (10a): Slight yellow powder; Yield for three steps 68%; m.p.: 128–130 °C; 1H NMR (400 MHz, CDCl3, exists as a complex mixture of two rotamers at room temperature) δ 7.51–7.27 (m, 5H, Ar-H), 6.81 (d, J = 8.1 Hz, 1H, Ar-H), 6.72 (s, 1H, Ar-H), 6.65 (d, J = 7.8 Hz, 1H, Ar-H), 6.02 and 4.93 (d, J = 7.3 Hz, 1H, NH), 5.12 (s, 2H, O-CH2), 4.55 and 4.34 (s, 1H, CH), 3.85 (s, 3H, O-CH3), 3.13–2.85 (m, 2H, CH2), 1.42 and 1.32 (two s, 9H, C-CH3).
For 3-(3-(benzyloxy)-4-methoxyphenyl)-2-((tert-butoxycarbonyl)amino)propanoic acid (10b): White powder; Yield for three steps 53%; m.p.: 143–145 °C; 1H NMR (400 MHz, CDCl3, exists as a complex mixture of two rotamers at room temperature) δ 7.46–7.28 (m, 5H, Ar-H), 6.81 (d, J = 8.6 Hz, 1H, Ar-H), 6.75–6.68 (m, 2H, Ar-H), 5.84 and 4.89 (two d, 1H, NH), 5.11 (s, 2H, O-CH2), 4.59–4.46 and 4.35–4.25 (two m, 1H, CHCH2), 3.85 (s, 3H, O-CH3), 3.12–2.76 (m, 2H, CHCH2), 1.42 and 1.35 (two s, 9H, C-CH3).
For 3-(4-(benzyloxy)-3,5-dimethoxyphenyl)-2-((tert-butoxycarbonyl)amino)propanoic acid (10c): Brown powder; Yield for three steps 23%; m.p.: 123–125 °C; 1H NMR (400 MHz, CDCl3, exists as a complex mixture of two rotamers at room temperature) δ 7.47 (d, J = 7.1 Hz, 2H, Ar-H), 7.36–7.27 (m, 3H, Ar-H), 6.38 (s, 2H, Ar-H), 4.98 (s, 2H, O-CH2), 4.94 (d, J = 6.9 Hz, 1H, NH), 4.59 (s, 1H, CH), 3.79 (s, 6H, O-CH3), 3.18–3.08 (m, 1H, CH2), 3.05–2.96 (m, 1H, CH2), 1.43 and 1.35 (two s, 9H, C-CH3).
For 3-(4-(benzyloxy)phenyl)-2-((tert-butoxycarbonyl)amino)propanoic acid (10d): White powder; Yield for three steps 93%; m.p.: 110–111 °C; 1H NMR (400 MHz, CDCl3) δ 7.45–7.28 (m, 5H, Ar-H), 7.10 (d, J = 8.3 Hz, 2H, Ar-H), 6.91 (d, J = 8.4 Hz, 2H, Ar-H), 6.11 and 4.92 (two d, J = 6.6 Hz, 1H, NH), 5.03 (s, 2H, O-CH2), 4.57 and 4.36 (two d, J = 5.4 Hz, 1H, CHCH2), 3.06 (m, 2H, CHCH2), 1.37 (d, J = 38.4 Hz, 9H, CCH3).
General procedure for the preparation of acids 11. To the solution of acids 10 (10.02 mmol) in THF (30 mL) was added 70% NaH (30.06 mmol) and stirred for 30 min at 0 °C. Then CH3I (20.04 mmol) was added. The reaction mixture was stirred for 24 h at room temperature, and quenched with H2O (20 mL), and extracted with ethyl acetate (100 mL × 3). The combined organic layer was washed with Na2S2O3 solution (100 mL), NaHCO3 solution (100 mL), brine (100 mL) and dried with MgSO4 anhydrous. The solution was filtered, evaporated under vacuum to give acids 11.
For 3-(4-(benzyloxy)-3-methoxyphenyl)-2-((tert-butoxycarbonyl)(methyl)amino)propanoic acid (11a): Yellow oil; Yield 88%; 1H NMR (400 MHz, CDCl3, exists as a complex mixture of two rotamers at room temperature) δ 7.47–7.27 (m, 5H, Ar-H), 6.83–6.62 (m, 3H, Ar-H), 5.12 (s, 2H, O-CH2), 4.73 and 4.52 (two d, J = 5.9 Hz, 1H, CH), 3.87 (s, 3H, O-CH3), 3.26–3.19 (m, 1H, CH2), 3.12–2.92 (m, 1H, CH2), 2.74 and 2.37 (two s, 3H, N-CH3), 1.41 and 1.33 (two s, 9H, C-CH3); 13C NMR (100 MHz, CDCl3) δ 176.3, 156.3, 155.1, 149.6, 146.9, 137.2, 130.6, 130.3, 128.5, 127.8, 127.3, 121.1, 121.0, 114.2, 112.7, 112.5, 80.7, 80.6, 71.1, 61.8, 60.3, 56.0, 34.8, 34.3, 32.8, 28.3, 28.2; HRMS (ESI) calcd. for C23H29NNaO6+ [M + Na]+ 438.1887, found 438.1880.
For 3-(3-(benzyloxy)-4-methoxyphenyl)-2-((tert-butoxycarbonyl)(methyl)amino)propanoic acid (11b): Brown oil; Yield 76%; 1H NMR (400 MHz, CDCl3, exists as a complex mixture of two rotamers at room temperature) δ 7.44–7.27 (m, 5H, Ar-H), 6.83–6.67 (m, 3H, Ar-H), 5.11 (s, 2H, O-CH2), 4.72–4.66 and 4.45–4.35 (two m, 1H, CHCH2), 3.84 (s, 3H, O-CH3), 3.25–3.10 (m, 1H, CHCH2), 3.04–2.84 (m, 1H, CHCH2), 2.64 and 2.57 (two s, 3H, N-CH3), 1.39 and 1.33 (two s, 9H, C-CH3); 13C NMR (100 MHz, CDCl3) δ 176.4, 156.4, 155.0, 148.6, 148.5, 148.0, 137.2, 137.1, 130.0, 129.6, 127.9, 127.4, 127.4, 121.8, 121.7, 115.1, 114.8, 112.1, 111.9, 80.7, 77.31, 71.2, 71.0, 61.8, 60.6, 60.5, 56.1, 34.8, 34.2, 33.0, 14.2; HRMS (ESI) calcd. for C23H29NNaO6+ [M + Na]+ 438.1887, found 438.1883.
For 3-(4-(benzyloxy)-3,5-dimethoxyphenyl)-2-((tert-butoxycarbonyl)(methyl)amino)propanoic acid (11c): Brown oil; Yield 79%; 1H NMR (400 MHz, CDCl3, exists as a complex mixture of two rotamers at room temperature) δ 7.47 (d, J = 7.0 Hz, 2H, Ar-H), 7.36–7.27 (m, 3H, Ar-H), 6.42 and 6.37 (two s, 2H, Ar-H), 4.98 (s, 2H, O-CH2), 4.80–4.70 and 4.55–4.45 (two m, 1H, CH), 3.80 (s, 6H, O-CH3), 3.33–3.17 (m, 1H, CH2), 3.15–2.95 (m, 1H, CH2), 2.73 and 2.67 (two s, 3H, N-CH3), 1.43 and 1.36 (two s, 9H, C-CH3); 13C NMR (100 MHz, CDCl3) δ 176.0, 156.2, 154.9, 153.5, 153.4, 137.8, 137.7, 135.7, 135.5, 133.3, 132.9, 130.2, 128.5, 128.1, 127.8, 106.0, 105.8, 80.7, 75.0, 61.8, 60.3, 56.1, 35.5, 34.9, 33.1, 33.0, 28.3, 28.2; HRMS (ESI) calcd. for C24H31NNaO7+ [M + Na]+ 468.1993, found 468.1989.
For 3-(4-(benzyloxy)phenyl)-2-((tert-butoxycarbonyl)(methyl)amino)propanoic acid (11d): White powder; m.p.: 126–127 °C Yield 79%; 1H NMR (400 MHz, CDCl3, exists as a 1:1 mixture of two rotamers) δ 7.47–7.29 (m, 5H, Ar-H), 7.14–7.08 (m, 2H, Ar-H), 6.91 (d, J = 8.0 Hz, 2H, Ar-H), 5.04 (s, 2H, O-CH2), 4.71–4.66 and 4.60–4.53 (two m, 1H, CHCH2), 3.33–3.17 (m, 1H, CHCH2), 3.16–2.92 (m, 1H, CHCH2), 2.75 and 2.67 (two s, 3H, N-CH3), 1.41 and 1.35 (two s, 9H, C-CH3).
General procedure for the preparation of carbamates 12. The mixture of acids 11 (0.75 mol), N,N-diisopropylethylamine (232.87 mmol), 1-hydroxybenzotriazole (82.63 mmol), 1-ethyl-3-(3-dimethyllaminopropyl)carbodiimide hydrochloride (EDC·HCl) (82.63 mmol) and N,O-dimethylhydroxylamine hydrochloride (82.63 mmol) in dichloromethane (200 mL) was stirred at room temperature for 12 h. Then, the reaction mixture was acidified to pH 5–6 with dilute hydrochloric acid and filtered. The filtrate was extracted with dichloromethane (100 mL × 3). The combined organic layer was washed with brine (100 mL) and dried with MgSO4 anhydrous. The solution was filtered and evaporated under vacuum. The residue was purified by column chromatography on silica gel to give carbamates 12.
For tert-butyl (3-(4-(benzyloxy)-3-methoxyphenyl)-1-(methoxy(methyl)amino)-1-oxopropan-2-yl)(methyl)carbamate (12a): Yellow oil; Yield 73%; 1H NMR (400 MHz, CDCl3, exists as a complex mixture of two rotamers at room temperature) δ 7.45–7.28 (m, 5H, Ar-H), 6.83–6.61 (m, 3H, Ar-H), 5.52 and 5.09 (two s, 1H, CH), 5.12 (s, 2H, O-CH2), 3.87 (s, 3H, O-CH3), 3.62 and 3.59 (two s, 3H, O-CH3), 3.18 and 3.15 (two s, 3H, N-CH3), 3.15–2.86 (m, 2H, CH2), 2.84 (s, 3H, N-CH3), 1.37 and 1.24 (two s, 9H, C-CH3); 13C NMR (100 MHz, CDCl3) δ 155.6, 154.9, 149.5, 149.4, 146.8, 146.7, 137.3, 131.2, 130.6, 128.5, 127.7, 127.2, 121.3, 114.2, 114.1, 113.1, 112.9, 79.7, 71.1, 61.3, 60.4, 57.3, 55.9, 54.4, 34.5, 32.3, 30.2, 29.9, 28.3, 28.1, 21.0, 14.2; HRMS (ESI) calcd. for C25H35N2O6+ [M + H]+ 459.2490, found 459.2498.
For tert-butyl (3-(3-(benzyloxy)-4-methoxyphenyl)-1-(methoxy(methyl)amino)-1-oxopropan-2-yl)(methyl)carbamate (12b): Yellow oil; Yield 80%; 1H NMR (400 MHz, CDCl3, exists as a complex mixture of two rotamers at room temperature) δ 7.50–7.28 (m, 5H, Ar-H), 6.87–6.70 (m, 3H, Ar-H), 5.49 and 5.06 (two s, 1H, CHCH2), 5.12 (s, 2H, O-CH2), 3.85 (s, 3H, O-CH3), 3.62 and 3.57 (two s, 3H, O-CH3), 3.17 and 3.14 (two s, 3H, N-CH3), 3.11–2.81 (m, 2H, CHCH2), 2.79 and 2.78 (two s, 3H, N-CH3), 1.38 and 1.28 (two s, 9H, C-CH3); 13C NMR (100 MHz, CDCl3) δ 155.7, 155.0, 148.5, 148.3, 148.2, 148.0, 137.3, 137.2, 130.6, 129.9, 128.6, 127.8, 127.4, 127.3, 122.1, 122.0, 115.4, 115.1, 112.1, 111.9, 79.8, 79.7, 77.3, 71.1, 71.0, 61.6, 61.3, 57.4, 56.2, 56.1, 54.5, 34.5, 32.4, 32.1, 30.2, 30.0, 28.3, 28.2; HRMS (ESI) calcd. for C25H35N2O6+ [M + H]+ 459.2490, found 459.2490.
For tert-butyl (3-(4-(benzyloxy)-3,5-dimethoxyphenyl)-1-(methoxy(methyl)amino)-1-oxopropan-2-yl)(methyl)carbamate (12c): Brown oil; Yield 67%; 1H NMR (400 MHz, CDCl3) δ 7.53–7.45 (m, 2H, Ar-H), 7.38–7.28 (m, 3H, Ar-H), 6.46 and 6.37 (two s, 2H, Ar-H), 5.57 and 5.12 (two s, 1H, CH), 4.96 (s, 2H, O-CH2), 3.80 (s, 6H, O-CH3), 3.63 and 3.60 (two s, 3H, O-CH3), 3.20 and 3.16 (two s, 3H, N-CH3), 3.14–3.07 (m, 1H, CH2), 2.96–2.88 (m, 1H, CH2), 2.85 and 2.84 (two s, 3H, N-CH3), 1.39 and 1.27 (two s, 9H, C-CH3); 13C NMR (100 MHz, CDCl3) δ 155.6, 154.9, 153.4, 153.2, 137.9, 137.8, 135.6, 135.4, 134.0, 133.1, 128.5, 128.1, 128.1, 127.8, 127.7, 106.3, 106.1, 79.8, 75.0, 75.0, 61.5, 61.3, 60.8, 60.4, 57.4, 56.1, 56.0, 53.9, 35.3, 32.3, 32.0, 30.2, 30.0, 28.3, 28.15, 21.0, 14.2; HRMS (ESI) calcd. for C26H37N2O7+ [M + H]+ 489.2595, found 489.2603.
For tert-butyl (3-(4-(benzyloxy)phenyl)-1-(methoxy(methyl)amino)-1-oxopropan-2-yl)(methyl)carbamate (12d): Yellow oil; Yield 85%; 1H NMR (400 MHz, CDCl3, exists as a complex mixture of two rotamers at room temperature) δ 7.43–7.30 (m, 5H, Ar-H), 7.16 and 7.08 (two d, J = 8.2 Hz, 2H, Ar-H), 6.93–6.85 (m, 2H, Ar-H), 5.50 and 5.12 (two s, 1H, CHCH2), 5.03 (s, 2H, O-CH2), 3.63 and 3.60 (two s, 3H, O-CH3), 3.19 and 3.16 (two s, 3H, N-CH3), 3.10–2.89 (m, 2H, CHCH2), 2.84 (s, 3H, N-CH3), 1.36 and 1.25 (two s, 9H, CCH3).
General procedure for the preparation of carbamates 13. To the stirring mixture of magnesium ribbon (22.50 mmol) in THF (20 mL) was added dropwise the solution of 4- methoxy benzyl chloride (13.58 mmol) in THF (10 mL) and absolute ether (5 mL) at 0 °C under argon atmosphere. The mixture was stirred at room temperature for 1 h. Then, to the reaction mixture was added the solution of 12 (6.79 mmol) in THF (50 mL) at 0 °C. The mixture was stirred at room temperature for 3 h. Then, saturated ammonium chloride solution (30 mL) and H2O (20 mL) were added. The reaction solution was extracted with absolute ether (50 mL × 3). The combined organic layer was washed with brine (100 mL) and dried with MgSO4 anhydrous. The solution was filtered and evaporated under vacuum. The residue was purified by column chromatography on silica gel to give carbamates 13.
For tert-butyl (1-(4-(benzyloxy)-3-methoxyphenyl)-4-(4-methoxyphenyl)-3-oxobutan-2-yl)(methyl)carbamate (13a): Yellow oil; Yield 85%; 1H NMR (400 MHz, CDCl3, exists as a complex mixture of two rotamers at room temperature) δ 7.45–7.28 (m, 5H, Ar-H), 7.12–7.04 (m, 2H, Ar-H), 6.88–6.80 (m, 2H, Ar-H), 6.77–6.74 (m, 1H, Ar-H), 6.68–6.52 (m, 2H, Ar-H), 5.11 (s, 2H, O-CH2), 4.78–4.70 and 4.30–4.20 (two m, 1H, CH), 3.83 (s, 3H, O-CH3), 3.79 and 3.78 (two s, 3H, O-CH3), 3.74–3.61 (m, 2H, C-CH2), 3.19–3.01 (m, 1H, CH2), 2.85–2.76 (m, 1H, CH2), 2.58 and 2.51 (two s, 3H, N-CH3), 1.43 and 1.34 (two s, 9H, C-CH3); 13C NMR (100 MHz, CDCl3) δ 206.0, 205.9, 158.7, 158.6, 155.8, 154.9, 149.6, 149.5, 146.8, 146.6, 137.3, 137.2, 131.2, 130.8, 130.5, 130.5, 128.5, 127.8, 127.3, 127.3, 125.8, 125.7, 121.2, 121.1, 114.3, 114.2, 114.1, 114.0, 112.8, 112.7, 80.8, 80.3, 71.1, 66.8, 65.9, 64.4, 56.0, 55.9, 55.3, 55.2, 46.2, 45.7, 33.4, 32.9, 32.3, 28.4, 28.2; HRMS (ESI) calcd. for C31H37NNaO6+ [M + Na]+ 542.2513, found 542.2515.
For tert-butyl (1-(3-(benzyloxy)-4-methoxyphenyl)-4-(4-methoxyphenyl)-3-oxobutan-2-yl)(methyl)carbamate (13b): Yellow oil; Yield 91%; 1H NMR (400 MHz, CDCl3, exists as a complex mixture of two rotamers at room temperature) δ 7.48–7.27 (m, 5H, Ar-H), 7.07 (dd, J = 8.5, 3.1 Hz, 2H, Ar-H), 6.91–6.73 (m, 3H, Ar-H), 6.71–6.58 (m, 2H, Ar-H), 5.15–5.01 (m, 2H, O-CH2), 4.70–4.60 and 4.19–4.09 (two m, 1H, CHCH2), 3.84 (s, 3H, O-CH3), 3.79–3.76 (m, 3H, O-CH3), 3.73–3.58 (m, 2H, CO-CH2), 3.14–3.00 (m, 1H, CHCH2), 2.83–2.70 (m, 1H, CHCH2), 2.48 and 2.43 (two s, 3H, N-CH3), 1.44 and 1.36 (two s, 9H, C-CH3); 13C NMR (100 MHz, CDCl3) δ 205.9, 158.7, 154.8, 148.5, 148.1, 137.1, 130.5, 130.5, 130.1, 128.6, 127.8, 127.4, 127.3, 125.8, 125.7, 121.9, 115.2, 115.0, 114.2, 114.0, 112.0, 111.9, 80.9, 80.3, 71.0, 70.9, 67.0, 64.5, 56.1, 55.3, 46.2, 45.7, 33.4, 32.8, 32.3, 28.4, 28.3; HRMS (ESI) calcd. for C31H37NNaO6+ [M + Na]+ 542.2513, found 542.2517.
For tert-butyl (1-(4-(benzyloxy)-3,5-dimethoxyphenyl)-4-(4-methoxyphenyl)-3-oxobutan-2-yl)(methyl)carbamate (13c): Yellow oil; Yield 85%; 1H NMR (400 MHz, CDCl3) δ 7.46 (d, J = 7.4 Hz, 2H, Ar-H), 7.35–7.26 (m, 3H, Ar-H), 7.16–7.05 (m, 2H, Ar-H), 6.92–6.81 (m, 2H, Ar-H), 6.33 and 6.26 (two s, 2H, Ar-H), 4.96 (s, 2H, O-CH2), 4.76–4.70 and 4.25–4.15 (two m, 1H, CH), 3.79 and 3.78 (two s, 3H, O-CH3), 3.76 (s, 6H, O-CH3), 3.74–3.61 (m, 2H, CO-CH2), 3.17–3.05 (m, 1H, CHCH2), 2.89–2.72 (m, 1H, CHCH2), 2.56 and 2.51 (two s, 3H, N-CH3), 1.46 and 1.37 (two s, 9H, C-CH3); 13C NMR (100 MHz, CDCl3) δ 205.9, 205.8, 158.8, 158.6, 155.8, 154.8, 153.6, 153.4, 138.0, 137.8, 135.5, 135.4, 134.0, 133.5, 130.6, 130.5, 128.6, 128.6, 128.2, 127.9, 127.8, 125.8, 125.7, 114.2, 114.1, 113.9, 113.6, 106.1, 106.1, 80.9, 80.4, 75.0, 67.0, 64.9, 64.3, 56.2, 56.1, 56.0, 55.3, 55.3, 55.2, 46.2, 45.7, 34.2, 33.7, 28.4, 28.3; HRMS (ESI) calcd. for C32H39NNaO7+ [M + Na]+ 572.2619, found 572.2614.
For tert-butyl (1-(4-(benzyloxy)phenyl)-4-(4-methoxyphenyl)-3-oxobutan-2-yl)(methyl)carbamate (13d): Light liquid; Yield 92%; 1H NMR (400 MHz, CDCl3, exists as a 1:1 mixture of two rotamers) δ 7.45–7.27 (m, 5H, Ar-H), 7.10–6.98 (m, 4H, Ar-H), 6.89–6.79 (m, 4H, Ar-H), 5.02 (s, 2H, O-CH2), 4.76–4.70 and 4.35–4.25 (two m, 1H, CH), 3.78 and 3.79 (two s, 3H, O-CH3), 3.73–3.61 (m, 2H, CH2CO), 3.15–3.07 (m, 1H, CHCH2), 2.87–2.75 (m, 1H, CHCH2), 2.58 and 2.52 (two s, 3H, N-CH3), 1.43 and 1.34 (two s, 9H, CCH3).
General procedure for the preparation of amines 15. To the solution of absolute ether (11.4 mL) and ethanol (8.7 mL) was added dropwise acetyl chloride (7.9 mL) at -30 °C, and stirred at room temperature for 10 min. Then, carbamates 13 (1.43 mmol) was added. The reaction solution was stirred at room temperature for 1 h and concentrated. Then, absolute ether (20 mL) was added. The mixture was filtrated to give hydrochlorides 14, which was used for the next step directly. The mixture of hydrochlorides 14 and NH2CN (1.32 mmol) in H2O (30 mL) was stirred at 90 °C for 1 h, cooled to room temperature, filtrated to give amines 15.
For 5-(4-(benzyloxy)-3-methoxybenzyl)-4-(4-methoxybenzyl)-1-methyl-1H-imidazol-2-amine (15a): Brown powder; Yield 73%; m.p.: 95 °C (dec.); 1H NMR (400 MHz, CDCl3) δ 7.44–7.29 (m, 5H, Ar-H), 7.18 (d, J = 8.4 Hz, 2H, Ar-H), 6.79–6.76 (m, 3H, Ar-H), 6.55–6.48 (m, 2H, Ar-H), 5.64 (s, 2H, NH2), 5.12 (s, 2H, O-CH2), 3.80 (s, 2H, CH2), 3.77 (s, 2H, CH2), 3.75 (s, 3H, O-CH3), 3.71 (s, 3H, O-CH3), 3.08 (s, 3H, N-CH3); 13C NMR (100 MHz, CDCl3) δ 157.8, 149.9, 147.0, 146.8, 137.2, 132.9, 132.1, 131.8, 129.4, 128.5, 127.8, 127.3, 120.8, 119.8, 114.1, 113.8, 111.6, 71.1, 55.9, 55.2, 32.1, 29.2, 29.1; HRMS (ESI) calcd. for C27H30N3O3+ [M + H]+ 444.2282, found 444.2289.
For 5-(3-(benzyloxy)-4-methoxybenzyl)-4-(4-methoxybenzyl)-1-methyl-1H-imidazol-2-amine (15b): Brown powder; Yield 88%; m.p.: 56–58 °C; 1H NMR (400 MHz, CDCl3) δ 7.35–7.24 (m, 5H, Ar-H), 7.19 (d, J = 8.4 Hz, 2H, Ar-H), 6.85–6.75 (m, 3H, Ar-H), 6.64 (d, J = 7.8 Hz, 1H, Ar-H), 6.40 (s, 1H, Ar-H), 5.11 (brs, 2H, NH2), 4.93 (s, 2H, O-CH2), 3.86 (s, 3H, O-CH3), 3.74 (s, 2H, CH2), 3.73 (s, 2H, CH2), 3.71 (s, 3H, O-CH3), 2.87 (s, 3H, N-CH3); 13C NMR (100 MHz, CDCl3) δ 158.0, 148.3, 148.1, 146.9, 137.1, 132.8, 131.6, 130. 9, 129.6, 129.6, 128.6, 127.8, 127.4, 120.8, 120.4, 113.9, 111.9, 70.6, 56.1, 55.2, 32.0, 29.1, 28.9; HRMS (ESI) calcd. for C27H30N3O3+ [M + H]+ 444.2282, found 444.2291.
For 5-(4-(benzyloxy)-3,5-dimethoxybenzyl)-4-(4-methoxybenzyl)-1-methyl-1H-imidazol-2-amine (15c): Brown powder; Yield 77%; m.p.: 90–93 °C; 1H NMR (400 MHz, CDCl3) δ 7.46 (d, J = 7.0 Hz, 2H, Ar-H), 7.36–7.27 (m, 3H, Ar-H), 7.19 (d, J = 8.3 Hz, 2H, Ar-H), 6.78 (d, J = 8.3 Hz, 2H, Ar-H), 6.22 (s, 2H, Ar-H), 4.96 (s, 2H, O-CH2), 4.69 (brs, 2H, NH2), 3.81 (s, 2H, CH2), 3.76 (s, 2H, CH2), 3.75 (s, 3H, O-CH3), 3.67 (s, 6H, O-CH3), 3.07 (s, 3H, N-CH3); 13C NMR (100 MHz, CDCl3) δ 158.0, 153.7, 147.0, 137.8, 135.5, 134.2, 132.5, 129.5, 128.5, 128.1, 127.8, 120.6, 113.9, 104.9, 75.0, 56.1, 55.3, 31.9, 29.8, 29.3; HRMS (ESI) calcd. for C28H32N3O4+ [M + H]+ 474.2387, found 474.2389.
For 5-(4-(benzyloxy)benzyl)-4-(4-methoxybenzyl)-1-methyl-1H-imidazol-2-amine (15d): Brown powder; Yield 70%; m.p.: 120–123 °C; 1H NMR (400 MHz, CDCl3) δ 7.43–7.30 (m, 5H, Ar-H), 7.16 (d, J = 8.3 Hz, 2H, Ar-H), 6.98 (d, J = 8.3 Hz, 2H, Ar-H), 6.87 (d, J = 8.4 Hz, 2H, Ar-H), 6.79 (d, J = 8.4 Hz, 2H, Ar-H), 5.03 (s, 2H, O-CH2), 3.85 (s, 2H, NH2), 3.81 (s, 2H, CH2), 3.75 (s, 3H, O-CH3), 3.74 (s, 2H, CH2), 3.07 (s, 3H, N-CH3); HRMS (ESI) calcd. for C26H28N3O2+ [M + H]+ 414.2176, found 414.2179.
General procedure for the preparation of naamines 1ad. The mixture of amines 15 (10.45 mmol), Pd/C (10 wt%) (0.56 g), methanol (400 mL) and acetic acid (4 mL) was bubbled with hydrogen and stirred at room temperature for 24 h. Then, the mixture was filtered and concentrated. Then acetone (15 mL) was added, and filtered to give naamines 1.
For naamine F (1a): Brick red powder; Yield 95%; m.p.: 163–165 °C; 1H NMR (400 MHz, CD3OD) δ 7.14 (d, J = 8.5 Hz, 2H, Ar-H), 6.77 (d, J = 8.5 Hz, 2H, Ar-H), 6.66 (d, J = 8.0 Hz, 1H, Ar-H), 6.53 (dd, J = 8.0, 1.4 Hz, 1H, Ar-H), 6.45 (d, J = 1.4 Hz, 1H, Ar-H), 3.80 (s, 2H, CH2), 3.73 (s, 3H, O-CH3), 3.72 (s, 2H, CH2), 3.58 (s, 3H, O-CH3), 3.09 (s, 3H, N-CH3); 13C NMR (100 MHz, CD3OD) δ 159.4, 149.7, 149.2, 146.1, 134.7, 132.7, 131.8, 130.5, 122.6, 121.6, 116.1, 114.7, 112.6, 56.2, 55.7, 32.8, 29.7, 29.5; HRMS (ESI) calcd. for C20H24N3O3+ [M + H]+ 354.1812, found 354.1818.
For 1b: Brown powder; Yield 96%; m.p.: 80–83 °C; 1H NMR (400 MHz, CD3OD) δ 7.13 (d, J = 8.5 Hz, 2H, Ar-H), 6.88–6.83 (m, 3H, Ar-H), 6.61–6.58 (m, 2H, Ar-H), 3.88 (s, 2H, CH2), 3.84 (s, 2H, CH2), 3.82 (s, 3H, O-CH3), 3.75 (s, 3H, O-CH3), 3.20 (s, 3H, N-CH3); 13C NMR (100 MHz, CD3OD) δ 160.2, 148.2, 148.1, 147.8, 130.8, 130.8, 130.6, 124.0, 123.8, 120.3, 116.1, 115.3, 113.1, 56.5, 55.8, 30.1, 29.8, 28.5; HRMS (ESI) calcd. for C20H24N3O3+ [M + H]+ 354.1812, found 354.1818.
For naamine G (1c): Brick red powder; Yield 97%; m.p.: 172–174 °C; 1H NMR (400 MHz, CD3OD) δ 7.05 (d, J = 8.3 Hz, 2H, Ar-H), 6.67 (d, J = 8.3 Hz, 2H, Ar-H), 6.16 (s, 2H, Ar-H), 3.71 (s, 2H, CH2), 3.62 (s, 5H, CH2 and O-CH3), 3.54 (s, 6H, O-CH3), 3.01 (s, 3H, N-CH3); 13C NMR (100 MHz, CD3OD) δ 159.4, 149.7, 149.3, 134.9, 134.7, 132.8, 131.1, 130.5, 122.4, 114.7, 106.2, 56.6, 55.7, 32.8, 30.1, 29.5; HRMS (ESI) calcd. for C21H26N3O4+ [M + H]+ 384.1918, found 384.1919.
For naamine A (1d): Grey powder; Yield 87%; m.p.: 202–205 °C; 1H NMR (400 MHz, CD3OD) δ 7.09 (d, J = 8.6 Hz, 2H, Ar-H), 6.85 (d, J = 8.4 Hz, 2H, Ar-H), 6.77 (d, J = 8.6 Hz, 2H, Ar-H), 6.65 (d, J = 8.4 Hz, 2H, Ar-H), 3.78 (s, 2H, CH2), 3.73 (s, 3H, O-CH3), 3.71 (s, 2H, CH2), 3.09 (s, 3H, N-CH3); 13C NMR (100 MHz, CD3OD) δ 160.0, 157.5, 148.4, 131.5, 130.5, 130.2, 129.0, 125.2, 123.8, 116.6, 115.1, 55.7, 30.2, 29.8, 28.5; HRMS (ESI) calcd. for C19H22N3O2+ [M + H]+ 324.1707, found 324.1707.
Synthesis of 1-methylimidazolidine-2,4,5-trione (16). The mixture of N-monomethylurea (2.96 g, 0.04 mol), (COCl)2 (3.3 mL, 0.04 mol) in absolute ether (100 mL) was refluxed under argon for 2 h and concentrated. Then, dichloromethane (10 mL) was added, filtered to give 16 (2.87 g, 59%) as a white powder. m.p.: 146–149 °C, 1H NMR (400 MHz, DMSO-d6) δ 11.99 (s, 1H, NH), 2.92 (s, 3H, N-CH3).
General procedure for the preparation of naamidines 2ad. The solution of 16 (1.28 g, 10 mmol) and N,O-bis(trimethylsilyl)acetamide (2.52 g, 12.4 mmol) in acetonitrile was refluxed under argon for 45 min and concentrated to give 17. The mixture of naamines 1 (2 mmol) and 17 in toluene (16 mL) was refluxed for 18 h. The mixture was diluted with ethyl acetate (180 mL), washed with dilute hydrochloric acid (100 mL), H2O (100 mL), brine (100 mL), dried with MgSO4 anhydrous, and evaporated under vacuum. The residue was purified by column chromatography on silica gel to give naamidines 2.
For 2a: Yellow powder; Yield 54%; m.p.: 162–164 °C; 1H NMR (400 MHz, CDCl3) δ 7.14 (d, J = 8.6 Hz, 2H, Ar-H), 6.84–6.77 (m, 3H, Ar-H), 6.54 (dd, J = 8.1, 1.8 Hz, 1H, Ar-H), 6.34 (d, J = 1.8 Hz, 1H, Ar-H), 3.90 (s, 4H, CH2), 3.77 (s, 3H, O-CH3), 3.65 (s, 3H, O-CH3), 3.49 (s, 3H, N-CH3), 3.18 (s, 3H, N-CH3); 13C NMR (100 MHz, CDCl3) δ 162.2, 158.2, 155.4, 146.8, 146.4, 144.6, 144.5, 135.8, 131.6, 129.3, 128.8, 126.9, 120.7, 114.5, 114.0, 110.2, 55.8, 55.3, 32.2, 30.0, 29.2, 24.7; HRMS (ESI) calcd. for C24H26N5O5+ [M + H]+ 464.1928, found 464.1932.
For naamidine B (2b): Yellow powder; Yield 37%; m.p.: 157–159 °C; 1H NMR (400 MHz, CDCl3) δ 7.12 (d, J = 8.5 Hz, 2H, Ar-H), 6.82 (d, J = 8.5 Hz, 2H, Ar-H), 6.72 (d, J = 8.1 Hz, 1H, Ar-H), 6.58 (s, 1H, Ar-H), 6.46 (d, J = 8.1 Hz, 1H, Ar-H), 3.89 (s, 2H, CH2), 3.86 (s, 5H, CH2 and O-CH3), 3.78 (s, 3H, O-CH3), 3.49 (s, 3H, N-CH3), 3.17 (s, 3H, N-CH3); 13C NMR (100 MHz, CDCl3) δ 162.4, 158.2, 155.8, 146.4, 145.9, 145.4, 145.2, 135.5, 131.4, 130.2, 129.3, 126.7, 119.2, 114.2, 114.0, 110.8, 56.0, 55.3, 32.2, 29.9, 28.8, 24.7; HRMS (ESI) calcd. for C24H26N5O5+ [M + H]+ 464.1928, found 464.1934.
For naamidine H (2c): Brown powder; Yield 81%; m.p.: 144–146 °C; 1H NMR (400 MHz, CDCl3) δ 7.15 (d, J = 7.9 Hz, 2H, Ar-H), 6.80 (d, J = 7.9 Hz, 2H, Ar-H), 6.15 (s, 2H, Ar-H), 3.91 (s, 2H, CH2), 3.89 (s, 2H, CH2), 3.76 (s, 3H, O-CH3), 3.70 (s, 6H, O-CH3), 3.50 (s, 3H, N-CH3), 3.18 (s, 3H, N-CH3); 13C NMR (100 MHz, CDCl3) δ 162.1, 158.2, 155.2, 147.2, 146.5, 144.2, 136.2, 133.5, 131.7, 129.3, 128.1, 126.7, 114.0, 104.6, 56.2, 55.3, 32.2, 30.0, 29.7, 24.7; HRMS (ESI) calcd. for C25H28N5O6+ [M + H]+ 494.2034, found 494.2030.
For naamidine A (2d): Yellow powder; Yield 85%; m.p.: 186–190 °C; 1H NMR (400 MHz, CDCl3) δ 7.11 (d, J = 8.5 Hz, 2H, Ar-H), 6.85–6.79 (m, 4H, Ar-H), 6.74 (d, J = 8.4 Hz, 2H, Ar-H), 3.88 (s, 2H, CH2), 3.87 (s, 2H, CH2), 3.77 (s, 3H, O-CH3), 3.37 (s, 3H, N-CH3), 3.17 (s, 3H, N-CH3); 13C NMR (100 MHz, CDCl3) δ 163.5, 158.3, 157.7, 155.2, 148.5, 146.4, 133.7, 130.9, 129.3, 129.0, 128.1, 126.8, 115.8, 114.1, 55.3, 31.7, 29.7, 28.6, 24.8; HRMS (ESI) calcd. for C23H24N5O4+ [M + H]+ 434.1823, found 434.1826.
General procedure for the preparation of naamines 1ei. To the solution of 15d (4.84 mmol) and Et3N (9.68 mmol) in dichloromethane (120 mL) was added dropwise the solution of corresponding acyl chlorides (9.68 mmol) in dichloromethane (10 mL), and stirred at room temperature for 20 min. Then, con. HCl solution (50 mL) was added and stirred for further 20 min. The layers were separated. The organic layer was washed with saturated NaHCO3 (100 mL), dried over MgSO4 anhydrous, and evaporated to give 19. The solution of 19 and Pd/C (10 wt%) (0.3 g) in methanol (100 mL) was bubbled H2 and stirred at room temperature for 24 h. The mixture was filtered and concentrated to give naamines 1ei.
For 1e: White powder; Yield 92% for three steps; m.p.: 161–163 °C; 1H NMR (400 MHz, CDCl3) δ 13.41 (s, 1H), 11.03 (s, 1H), 7.13 (d, J = 8.1 Hz, 2H, Ar-H), 6.85–6.77 (m, 6H, Ar-H), 3.90 (s, 2H, CH2), 3.86 (s, 2H, CH2), 3.76 (s, 3H, O-CH3), 3.38 (s, 3H, N-CH3), 1.37 (s, 9H, CCH3); 13C NMR (100 MHz, DMSO-d6) δ 178.2, 158.1, 156.2, 136.3, 129.7, 129.5, 129.0, 127.4, 127.0, 126.3, 115.5, 114.0, 55.1, 31.5, 28.0, 26.8, 26.6; HRMS (ESI) calcd. for C24H30N3O3+ [M + H]+ 408.2282, found 408.2282.
For 1f: White powder; Yield 87% for three steps; m.p.: 162–164 °C; 1H NMR (400 MHz, CDCl3) δ 7.09 (d, J = 8.5 Hz, 2H, Ar-H), 6.85–6.77 (m, 4H, Ar-H), 6.63 (d, J = 8.3 Hz, 2H, Ar-H), 3.85 (s, 2H, CH2), 3.79 (s, 2H, CH2), 3.76 (s, 3H, O-CH3), 3.13 (s, 3H, N-CH3), 2.39 (t, J = 7.5 Hz, 2H, COCH2), 1.68–1.59 (m, 2H, CH2), 1.30–1.25 (m, 4H, CH2 CH2), 0.84 (t, J = 6.6 Hz, 3H, CH3); 13C NMR (100 MHz, CDCl3) δ 158.3, 156.0, 130.5, 129.4, 128.7, 127.7, 123.1, 115.9, 114.1, 55.2, 37.7, 31.5, 30.8, 30.0, 28.2, 25.6, 22.5, 14.0; HRMS (ESI) calcd. for C25H32N3O3+ [M + H]+ 422.2438, found 422.2440.
For 1g: White powder; Yield 68% for three steps; m.p.: 172–174 °C; 1H NMR (400 MHz, CDCl3) δ 9.57 (s, 1H, NH), 7.84 (d, J = 7.3 Hz, 2H, Ar-H), 7.48–7.35 (m, 3H, Ar-H), 7.03 (d, J = 8.6 Hz, 2H, Ar-H), 6.91 (d, J = 8.5 Hz, 2H, Ar-H), 6.85 (d, J = 8.6 Hz, 2H, Ar-H), 6.78 (d, J = 8.6 Hz, 2H, Ar-H), 3.81 (s, 3H, O-CH3), 3.76 (s, 4H, CH2), 3.07 (s, 3H, N-CH3); 13C NMR (100 MHz, DMSO-d6) δ 157.7, 156.0, 145.2, 144.8, 131.3, 130.9, 129.1, 128.9, 128.5, 127.3, 125.5, 121.5, 121.4, 115.3, 113.7, 55.0, 28.7, 27.8, 27.0; HRMS (ESI) calcd. for C25H26N3O4S+ [M + H]+ 464.1639, found 464.1632.
For 1h: White powder; Yield 57% for three steps; m.p.: 207–209 °C; 1H NMR (400 MHz, DMSO-d6) δ 12.16 (s, 1H), 9.28 (s, 1H), 8.09 (s, 2H, Ar-H), 7.43 (s, 3H, Ar-H), 7.20 (d, J = 7.6 Hz, 2H, Ar-H), 6.91 (d, J = 7.8 Hz, 2H, Ar-H), 6.85 (d, J = 7.7 Hz, 2H, Ar-H), 6.68 (d, J = 7.3 Hz, 2H, Ar-H), 3.93 (s, 4H, CH2), 3.71 (s, 3H, O-CH3), 3.25 (s, 3H, N-CH3); 13C NMR (100 MHz, DMSO-d6) δ 157.7, 155.9, 131.4, 130.6, 129.4, 129.0, 128.4, 128.2, 127.8, 127.6, 115.4, 113.8, 55.0, 28.9, 27.2; HRMS (ESI) calcd. for C26H26N3O3+ [M + H]+ 428.1969, found 428.1971.
For 1i: White powder; Yield 59% for three steps; m.p.: 153–154 °C; 1H NMR (400 MHz, CDCl3) δ 10.47 (s, 1H), 7.08 (d, J = 8.0 Hz, 2H, Ar-H), 6.91 (d, J = 7.9 Hz, 2H, Ar-H), 6.84 (d, J = 8.0 Hz, 2H, Ar-H), 6.80 (d, J = 7.9 Hz, 2H, Ar-H), 3.80 (s, 4H, CH2), 3.79 (s, 3H, O-CH3), 3.15 (s, 3H, N-CH3), 3.02 (s, 3H, S-CH3); 13C NMR (100 MHz, CDCl3) δ 158.7, 155.4, 145.5, 129.3, 128.9, 128.8, 127.5, 121.7, 121.2, 116.0, 114.4, 100.0, 55.4, 42.4, 29.3, 28.0; HRMS (ESI) calcd. for C20H24N3O4S+ [M + H]+ 402.1482, found 402.1481.
General procedure for the preparation of naamines 1j and k. The solution of naamine A (1d, 3.00 mmol), benzaldehyde (12.36 mmol) and acetic acid (0.5 mL) in ethanol (120 mL) was refluxed for 12 h, evaporated part of ethanol, filtered to give 20. The mixture of 20 and NaBH4 (6.5 mmol) in ethanol (100 mL) was stirred at 65 °C for 2 h, quenched with H2O (10 mL), and then concentrated. The residue was purified by column chromatography on silica gel to give naamines 1j and 1k.
For 1j: White powder; Yield 16%; m.p.: 226 °C; 1H NMR (400 MHz, DMSO-d6) δ 9.18 (s, 1H, OH), 7.37 (d, J = 7.6 Hz, 2H, Ar-H), 7.33–7.19 (m, 3H, Ar-H), 7.12 (d, J = 8.2 Hz, 2H, Ar-H), 6.84 (d, J = 7.9 Hz, 2H, Ar-H), 6.77 (d, J = 8.2 Hz, 2H, Ar-H), 6.62 (d, J = 7.9 Hz, 2H, Ar-H), 5.88 (t, J = 5.8 Hz, 1H, NHCH2), 4.32 (d, J = 5.8 Hz, 2H, NHCH2), 3.71 (s, 2H, CH2), 3.69 (s, 3H, O-CH3), 3.63 (s, 2H, CH2), 3.03 (s, 3H, N-CH3); 13C NMR (101 MHz, DMSO-d6) δ 157.1, 155.5, 148.8, 140.7, 133.8, 131.5, 129.7, 129.3, 128.8, 128.0, 127.7, 126.5, 120.6, 115.1, 113.3, 54.9, 46.5, 31.9, 28.6, 27.8; HRMS (ESI) calcd. for C26H28N3O2+ [M + H]+ 414.2176, found 414.2167.
For 1k: White powder; Yield 16%; m.p.: 226–228 °C; 1H NMR (400 MHz, DMSO-d6) δ 9.20 (s, 1H), 7.12 (d, J = 7.9 Hz, 2H, Ar-H), 6.83 (d, J = 7.8 Hz, 2H, Ar-H), 6.77 (d, J = 7.9 Hz, 2H, Ar-H), 6.61 (d, J = 7.8 Hz, 2H, Ar-H), 5.02 (t, J = 6.1 Hz, 1H, NH), 3.69 (s, 5H, O-CH3 and CH2), 3.62 (s, 2H, CH2), 3.02 (s, 3H, N-CH3), 2.96 (d, J = 6.1 Hz, 2H, NHCH2), 0.88 (s, 9H, CCH3); 13C NMR (100 MHz, DMSO-d6) δ 157.1, 155.4, 149.5, 133.8, 131.2, 129.8, 129.2, 128.8, 120.4, 115.0, 113.3, 54.9, 54.3, 31.8, 31.8, 28.6, 27.8, 27.4; HRMS (ESI) calcd. for C24H32N3O2+ [M + H]+ 394.2489, found 394.2483.
Synthesis of 4,5-bis(4-methoxybenzyl)-1,3-dimethyl-1H-imidazol-2(3H)-one (1l). To the solution of 1d (0.50 g, 1.54 mmol) in THF (100 mL) was added 70% NaH (12.36 mmol) and methyliodide (12.36 mmol) successively at 0 °C under argon. Then the mixture was stirred at 70 °C for 24 h, quenched with H2O (10 mL), concentrated, acidified to pH 4–5 with dilute hydrochloric acid and extracted with dichloromethane. The combined organic layer was washed successively with saturated aqueous NaHCO3 solution (100 mL), H2O (100 mL), and brine (100 mL), then dried over MgSO4 anhydrous, filtered and concentrated. The residue was purified by column chromatography on silica gel to give 1l (0.37 g, 68%) as a white powder. m.p.: 157–159 °C; 1H NMR (400 MHz, DMSO-d6) δ 7.08 (d, J = 8.6 Hz, 4H, Ar-H), 6.86 (d, J = 8.6 Hz, 4H, Ar-H), 3.84 (s, 4H, CH2), 3.72 (s, 6H, O-CH3), 2.89 (s, 6H, N-CH3); 13C NMR (100 MHz, CDCl3) δ 158.4, 153.8, 129.9, 128.8, 117.5, 114.1, 55.3, 28.3, 27.8; HRMS (ESI) calcd. for C21H25N2O3+ [M + H]+ 353.1860, found 353.1879.
General procedure for the preparation of naamines 1mo. The solution of 1d (0.35 g, 1.08 mmol) and corresponding acids (2.16 mmol) in methanol (100 mL) was stirred at 50 °C for 2 h and concentrated. Then, acetone (5 mL) and petroleum ether (5 mL) were added, filtered to give 1mo.
For 1m: White powder; Yield 98%; m.p.: 45–47 °C; 1H NMR (400 MHz, DMSO) δ 12.14 (s, 1H, OH), 9.37 (s, 1H, NH), 7.47 (s, 2H, NH2), 7.15 (d, J = 8.7 Hz, 2H, Ar-H), 6.91 (d, J = 8.5 Hz, 2H, Ar-H), 6.86 (d, J = 8.7 Hz, 2H, Ar-H), 6.69 (d, J = 8.5 Hz, 2H, Ar-H), 3.86 (s, 2H, CH2), 3.81 (s, 2H, CH2), 3.72 (s, 3H, O-CH3), 3.15 (s, 3H, N-CH3); 13C NMR (101 MHz, DMSO) δ 157.9, 156.1, 146.1, 130.2, 129.4, 128.9, 127.1, 122.2, 121.7, 115.4, 113.9, 55.1, 29.5, 27.9, 26.6.
For 1n: White powder; Yield 98%; m.p.: 123–125 °C; 1H NMR (400 MHz, DMSO) δ 12.21 (s, 1H, OH), 9.36 (s, 1H, NH), 7.47 (s, 2H, NH2), 7.14 (d, J = 8.5 Hz, 2H, Ar-H), 6.92 (d, J = 8.3 Hz, 2H, Ar-H), 6.86 (d, J = 8.5 Hz, 2H, Ar-H), 6.68 (d, J = 8.3 Hz, 2H, Ar-H), 3.87 (s, 2H, CH2), 3.81 (s, 2H, CH2), 3.72 (s, 3H, O-CH3), 3.15 (s, 3H, N-CH3); 13C NMR (100 MHz, DMSO) δ 158.8 (q, J = 32.7 Hz), 158.0, 156.1, 146.2, 130.1, 129.3, 129.0, 127.1, 122.2, 121.7, 118.2, 115.4, 113.9, 55.0, 29.3, 28.0, 26.6.
For 1o: White powder; Yield 58%; m.p.: 172–174 °C; 1H NMR (400 MHz, DMSO) δ 7.94 (d, J = 7.4 Hz, 2H, Ar-H), 7.54–7.40 (m, 3H, Ar-H), 7.20 (d, J = 8.3 Hz, 2H, Ar-H), 6.95–6.84 (m, 4H, Ar-H and NH2), 6.80 (d, J = 8.3 Hz, 2H, Ar-H), 6.66 (d, J = 8.2 Hz, 2H, Ar-H), 3.81 (s, 2H, CH2), 3.70 (s, 2H, CH2), 3.69 (s, 3H, O-CH3), 3.06 (s, 3H, N-CH3); 13C NMR (100 MHz, DMSO) δ 170.5, 158.1, 156.3, 148.3, 132.0, 131.4, 130.0, 129.6, 129.4, 128.7, 128.4, 121.1, 115.8, 114.1, 55.5, 30.0, 29.4, 27.5.
Synthesis of naamidine-metal complex 2e. The mixture of 2d (0.50 g, 1.15 mmol), ZnSO4·7H2O (69 mmol) in H2O (200 mL) and dichloromethane (100 mL) was stirred at room temperature for 3 h, filtered to give 2e. Yellow powder; Yield 38%; m.p.: 185–187 °C; 1H NMR (400 MHz, DMSO-d6) δ 9.30 (s, 2H, OH), 6.95 (d, J = 8.2 Hz, 4H, Ar-H), 6.69 (d, J = 8.2 Hz, 4H, Ar-H), 6.50 (s, 8H, Ar-H), 4.04–3.90 (m, 4H, CH2), 3.82 (d, J = 16.7 Hz, 2H, CH2), 3.62 (s, 6H, O-CH3), 3.57 (s, 6H, N-CH3), 3.26 (d, J = 16.7 Hz, 2H, CH2), 2.80 (s, 6H, N-CH3); 13C NMR (100 MHz, DMSO-d6) δ 163.7, 160.5, 157.3, 155.9, 153.2, 146.8, 132.0, 129.9, 129.0, 128.4, 128.3, 127.7, 115.4, 113.0, 54.7, 30.2, 29.9, 27.4, 24.0; HRMS (ESI) calcd. for C46H45N10O8Zn+ [M + H]+ 929.2708, found 929.2709.

3.2. Biological Assay

Each bioassay was repeated three times at 25 ± 1 °C. Activity results were estimated according to a percentage scale of 0–100 (0: no activity; 100: total kill).
Detailed bioassay procedures for the anti-TMV [15] and fungicidal [24] activity were described in our published literature.

4. Conclusions

Marine natural products naamines A, F and G, naamidines A, B and H, and various derivatives were synthesized, and their activities against a plant virus and phytopathogenic fungi were evaluated for the first time. The introduction of a benzyl group on the aromatic ring was favorable for activity. Derivative 15d, which had higher antiviral activity than ribavirin in all the assays, emerged as a new lead compound for antiviral research. Salification and derivatization of amino-group attenuated activity. Assays on 14 kinds of phytopathogenic fungi revealed that these compounds displayed very good fungicidal activity at 50 μg/mL. Again, 15d emerged as a new lead compound for fungicidal research, owing to its broad-spectrum fungicidal activity. We expect that the results of our study will provide a basis for the development of these alkaloids as antiviral and fungicidal agents.

Supplementary Materials

The following are available online at https://www.mdpi.com/1660-3397/16/9/311/s1, 1H and 13C NMR, HRMS spectra of compounds 1, 2 and 15.

Author Contributions

Conceptualization, Z.W. and Q.W.; Methodology, Z.W.; Software, Z.W.; Validation, P.G., Z.W. and Q.W.; Formal Analysis, G.L.; Investigation, Y.L.; Resources, A.L.; Data Curation, A.L.; Writing-Original Draft Preparation, P.G.; Writing-Review & Editing, Z.W.; Visualization, Z.W.; Supervision, Q.W.; Project Administration, Z.W.; Funding Acquisition, Q.W.

Funding

This research was funded by the National Natural Science Foundation of China (21772145, 21732002, 21672117), Tianjin Natural Science Foundation (16JCZDJC32400).

Conflicts of Interest

The authors declare no conflict of interest. The funders had no role in the design of the study; in the collection, analyses, or interpretation of data; in the writing of the manuscript, and in the decision to publish the results.

References

  1. Godfrey, H.C.J.; Beddington, J.R.; Crute, I.R.; Haddad, L.; Lawrence, D.; Muir, J.F.; Pretty, J.; Robinson, S.; Thomas, S.M.; Toulmin, C. Food security: The challenge of feeding 9 billion people. Science 2010, 327, 812–818. [Google Scholar] [CrossRef] [PubMed]
  2. Ray, D.K.; Mueller, N.D.; West, P.C.; Foley, J.A. Yield trends are insufficient to double global crop production by 2050. PLoS ONE 2013, 8, e66428. [Google Scholar] [CrossRef] [PubMed]
  3. Liu, L.R. The Control of Disease and Pests of Tobacco; Science Press: Beijing, China, 1998; p. 31. [Google Scholar]
  4. Song, B.A.; Yang, S.; Jin, L.H.; Bhadury, P.S. Environment-Friendly Anti-Plant Viral Agents; Springer Chemical Industry Press: Beijing, China, 2009; pp. 1–305. [Google Scholar]
  5. Cheer, C.J.; Pickles, F.J. The crystal and molecular structure of 1,3-bis (thiocarbamoyl)-2-NN-dimethylaminopropane hydrochloride (Cartap). J. Chem. Soc. Perkin Trans. 2 1980, 12, 1805–1808. [Google Scholar] [CrossRef]
  6. Kumar, A.S.P.; Amalnath, D.; Dutta, T.K. Cartap poisoning: A rare case report. Indian J. Crit. Care Med. 2011, 15, 233–235. [Google Scholar] [CrossRef] [PubMed]
  7. Molinski, T.F.; Dalisay, D.S.; Lievens, S.L.; Saludes, J.P. Drug development from marine natural products. Nat. Rev. Drug. Discov. 2009, 8, 69–85. [Google Scholar] [CrossRef] [PubMed]
  8. Carmely, S.; Kashman, Y. Naamines and Naamidines, novel imidazole alkaloids from the calcareous sponge Leucetta chagosensis. Tetrahedron Lett. 1987, 28, 3003–3006. [Google Scholar] [CrossRef]
  9. Carmely, S.; Ilan, M.; Kashman, Y. 2-Amino imidazole alkaloids from the marine sponge Leucetta chagosensis. Tetrahedron 1989, 45, 2193–2200. [Google Scholar] [CrossRef]
  10. Gross, H.; Kehraus, S.; König, G.M.; Woerheide, G.; Wright, A.D. New and biologically active imidazole alkaloids from two sponges of the genus Leucetta. J. Nat. Prod. 2002, 65, 1190–1193. [Google Scholar] [CrossRef] [PubMed]
  11. Plubrukarn, A.; Smith, D.; Cramer, R.; Davidson, B. (2E,9E)-Pyronaamidine 9-(N-methylimine), a new imidazole alkaloid from the Northern Mariana Islands Sponge Leucetta sp. cf. Chagosensis. J. Nat. Prod. 1997, 60, 712–715. [Google Scholar] [CrossRef] [PubMed]
  12. Akee, R.K.; Carroll, T.R.; Yoshida, W.Y.; Scheuer, P.J.; Stout, T.J.; Clardy, J. Two imidazole alkaloids from a sponge. J. Org. Chem. 1990, 55, 1944–1946. [Google Scholar] [CrossRef]
  13. Crews, P.; Clark, D.; Tenney, K. Variation in the alkaloids among Indo-Pacific Leucetta Sponges. J. Nat. Prod. 2003, 66, 177–182. [Google Scholar] [CrossRef] [PubMed]
  14. James, R.D.; Jones, D.A.; Aalbersberg, W.; Ireland, C.M. Naamidine A intensifies the phosphotransferase activity of extracellular signal-regulated kinases causing A-431 cells to arrest in G1. Mol. Cancer Ther. 2003, 2, 747–751. [Google Scholar] [PubMed]
  15. Wang, Z.W.; Wei, P.; Wang, L.Z.; Wang, Q.M. Design, synthesis, and anti-tobacco mosaic virus (TMV) activity of phenanthroindolizidines and their analogues. J. Agric. Food Chem. 2012, 60, 10212–10219. [Google Scholar] [CrossRef] [PubMed]
  16. Song, H.J.; Liu, Y.X.; Liu, Y.X.; Wang, L.Z.; Wang, Q.M. Synthesis and antiviral and fungicidal activity evaluation of β-carboline, dihydro-β-carboline, tetrahydro-β-carboline alkaloids, and their derivatives. J. Agric. Food Chem. 2014, 62, 1010–1018. [Google Scholar] [CrossRef] [PubMed]
  17. Ji, X.F.; Wang, Z.W.; Dong, J.; Liu, Y.X.; Lu, A.D.; Wang, Q.M. Discovery of Topsentin alkaloids and their derivatives as novel antiviral and anti-phytopathogenic fungus agents. J. Agric. Food Chem. 2016, 64, 9143–9151. [Google Scholar] [CrossRef] [PubMed]
  18. Ni, W.J.; Li, C.J.; Liu, Y.X.; Song, H.J.; Wang, L.Z.; Song, H.B.; Wang, Q.M. Various bioactivity and relationship of structure-activity of matrine analogues. J. Agric. Food Chem. 2017, 65, 2039–2047. [Google Scholar] [CrossRef] [PubMed]
  19. Ohta, S.; Tsuno, N.; Nakamura, S. Total syntheses of naamine A and naamidine A, marine imidazole alkaloids. Heterocycles 2000, 53, 1939–1955. [Google Scholar] [CrossRef]
  20. Kawasaki, I.; Nakamura, S.; Yanagitani, S.; Kakuno, A.; Yamashita, M.; Ohta, S. New access to 1,3-dialkyl-2,3-dihydro-2-imino-1H-imidazoles and their application to the first total synthesis of naamine B, a marine 2,3-dihydro-2-imino-1,3-dimethyl-1H-imidazole alkaloid. J. Chem. Soc. Perkin Trans. 1 2001, 23, 3095–3099. [Google Scholar] [CrossRef]
  21. Ermolat’ev, D.S.; Bariwal, J.B.; Steenackers, H.P.; De Keersmaecker, S.C.; Van der Eycken, E.V. Concise and diversity-oriented route toward polysubstituted 2-aminoimidazole alkaloids and their analogues. Angew. Chem. Int. Ed. 2010, 49, 9465–9468. [Google Scholar] [CrossRef] [PubMed]
  22. Koswatta, P.B.; Lovely, C.J. Total syntheses of naamidine G and 14-methoxynaamidine G. Tetrahedron Lett. 2010, 51, 164–166. [Google Scholar] [CrossRef] [PubMed]
  23. Koswatta, P.B.; Lovely, C.J. Concise total synthesis of naamine G and naamidine H. Chem. Commun. 2010, 46, 2148–2150. [Google Scholar] [CrossRef] [PubMed]
  24. Zhao, H.P.; Liu, Y.X.; Cui, Z.P.; Beattie, D.; Gu, Y.C.; Wang, Q.M. Design, synthesis, and biological activities of arylmethylamine substituted chlorotriazine and methylthiotriazine compounds. J. Agric. Food Chem. 2011, 59, 11711–11717. [Google Scholar] [CrossRef] [PubMed]
Figure 1. Structures of naamines 1ad and naamidines 2ad.
Figure 1. Structures of naamines 1ad and naamidines 2ad.
Marinedrugs 16 00311 g001
Figure 2. Synthesis of amino acids 8ac.
Figure 2. Synthesis of amino acids 8ac.
Marinedrugs 16 00311 g002
Figure 3. Synthesis of naamines 1ad and naamidines 2ad.
Figure 3. Synthesis of naamines 1ad and naamidines 2ad.
Marinedrugs 16 00311 g003
Figure 4. Synthesis of naamines 1ei.
Figure 4. Synthesis of naamines 1ei.
Marinedrugs 16 00311 g004
Figure 5. Synthesis of naamines 1j and 1k.
Figure 5. Synthesis of naamines 1j and 1k.
Marinedrugs 16 00311 g005
Figure 6. Synthesis of naamine 1l.
Figure 6. Synthesis of naamine 1l.
Marinedrugs 16 00311 g006
Figure 7. Synthesis of naamines 1mo.
Figure 7. Synthesis of naamines 1mo.
Marinedrugs 16 00311 g007
Figure 8. Synthesis of naamidine-metal complex 2e.
Figure 8. Synthesis of naamidine-metal complex 2e.
Marinedrugs 16 00311 g008
Table 1. Activities of 1ao, 2ae and 15ad against tobacco mosaic virus (TMV) at 500 µg/mL.
Table 1. Activities of 1ao, 2ae and 15ad against tobacco mosaic virus (TMV) at 500 µg/mL.
CompoundIn Vitro Inhibition Rate (%) aIn Vivo
Inactivation Effect (%) aCurative Effect (%) aProtection Effect (%) a
1a26 ± 232 ± 235 ± 128 ± 2
1b32 ± 131 ± 127 ± 235 ± 1
1c07 ± 200
1d014 ± 206 ± 2
1e9 ± 222 ± 312 ± 216 ± 2
1f014 ± 2018 ± 2
1g18 ± 134 ± 229 ± 137 ± 2
1h018 ± 110 ± 20
1i17 ± 215 ± 2012 ± 2
1j22 ± 126 ± 229 ± 317 ± 2
1k10 ± 217 ± 222 ± 112 ± 2
1l0010 ± 20
1m12 ± 132 ± 224 ± 122 ± 2
1n18 ± 323 ± 212 ± 120 ± 2
1o16 ± 214 ± 29 ± 20
2a031 ± 220 ± 122 ± 2
2b21 ± 1012 ± 216 ± 2
2c08 ± 210 ± 10
2d12 ± 20010 ± 2
2e25 ± 234 ± 237 ± 129 ± 2
15a23 ± 135 ± 229 ± 232 ± 2
15b36 ± 230 ± 233 ± 227 ± 2
15c12 ± 221 ± 216 ± 122 ± 2
15d43 ± 246 ± 249 ± 241 ± 2
Tween-800000
Ribavirin39 ± 132 ± 135 ± 234 ± 1
a Average of three replicates; all results are expressed as means ± SD.
Table 2. In vitro activities of 1ao, 2ae and 15ad against 14 kinds of fungi.
Table 2. In vitro activities of 1ao, 2ae and 15ad against 14 kinds of fungi.
CompoundFungicidal Activity a (%)/50 μg/mL
F.C cC.HP.PR.CB.MW.AF.MA.SF.GP.IP.CS.SR.SB.C
1a12 ± 130 ± 211 ± 121 ± 220 ± 228 ± 122 ± 225 ± 328 ± 217 ± 29 ± 138 ± 240 ± 138 ± 2
1b12 ± 230 ± 367 ± 221 ± 128 ± 228 ± 119 ± 238 ± 236 ± 125 ± 217 ± 230 ± 347 ± 224 ± 1
1c20 ± 127 ± 2018 ± 223 ± 133 ± 226 ± 150 ± 224 ± 217 ± 19 ± 227 ± 120 ± 224 ± 1
1d32 ± 247 ± 144 ± 270 ± 135 ± 247 ± 337 ± 244 ± 156 ± 225 ± 222 ± 138 ± 227 ± 127 ± 2
1e7 ± 227 ± 230 ± 211 ± 220 ± 239 ± 211 ± 213 ± 256 ± 28 ± 235 ± 233 ± 133 ± 229 ± 2
1f29 ± 117 ± 29 ± 134 ± 228 ± 128 ± 230 ± 125 ± 244 ± 14 ± 222 ± 330 ± 240 ± 229 ± 3
1g37 ± 227 ± 141 ± 247 ± 145 ± 233 ± 322 ± 219 ± 128 ± 28 ± 28 ± 127 ± 240 ± 238 ± 1
1h17 ± 130 ± 220 ± 120 ± 218 ± 228 ± 119 ± 225 ± 244 ± 18 ± 213 ± 223 ± 220 ± 321 ± 2
1i24 ± 220 ± 34 ± 228 ± 223 ± 328 ± 222 ± 213 ± 152 ± 24 ± 19 ± 28 ± 113 ± 238 ± 3
1j27 ± 140 ± 222 ± 170 ± 230 ± 233 ± 148 ± 219 ± 256 ± 18 ± 29 ± 233 ± 327 ± 229 ± 1
1k20 ± 233 ± 154 ± 248 ± 233 ± 133 ± 241 ± 119 ± 244 ± 28 ± 130 ± 233 ± 127 ± 224 ± 2
1l15 ± 140 ± 2021 ± 323 ± 225 ± 115 ± 238 ± 132 ± 28 ± 24 ± 156 ± 247 ± 153 ± 2
1m22 ± 247 ± 126 ± 272 ± 233 ± 344 ± 230 ± 238 ± 136 ± 225 ± 19 ± 233 ± 120 ± 212 ± 1
1n22 ± 123 ± 222 ± 142 ± 233 ± 347 ± 230 ± 138 ± 232 ± 18 ± 24 ± 267 ± 127 ± 256 ± 1
1o22 ± 230 ± 122 ± 225 ± 130 ± 242 ± 222 ± 131 ± 240 ± 217 ± 14 ± 235 ± 220 ± 321 ± 2
2a7 ± 127 ± 228 ± 316 ± 215 ± 125 ± 215 ± 150 ± 268 ± 117 ± 217 ± 211 ± 113 ± 247 ± 3
2b12 ± 223 ± 37 ± 220 ± 115 ± 228 ± 111 ± 219 ± 224 ± 113 ± 213 ± 118 ± 217 ± 124 ± 2
2c7 ± 167 ± 222 ± 262 ± 335 ± 225 ± 115 ± 238 ± 256 ± 18 ± 230 ± 321 ± 220 ± 247 ± 3
2d10 ± 223 ± 333 ± 214 ± 215 ± 214 ± 215 ± 138 ± 168 ± 250 ± 144 ± 223 ± 147 ± 253 ± 2
2e12 ± 127 ± 24 ± 114 ± 210 ± 125 ± 222 ± 26 ± 220 ± 14 ± 29 ± 18 ± 240 ± 112 ± 2
15a17 ± 140 ± 257 ± 128 ± 223 ± 128 ± 226 ± 119 ± 228 ± 125 ± 257 ± 124 ± 210 ± 124 ± 2
15b12 ± 230 ± 2021 ± 123 ± 242 ± 230 ± 238 ± 332 ± 242 ± 252 ± 238 ± 347 ± 250 ± 1
15c12 ± 137 ± 265 ± 132 ± 235 ± 139 ± 237 ± 144 ± 232 ± 333 ± 265 ± 136 ± 247 ± 121 ± 2
15d17 ± 250 ± 154 ± 248 ± 133 ± 242 ± 133 ± 250 ± 236 ± 158 ± 274 ± 361 ± 263 ± 150 ± 2
water00000000000000
chlorothalonil b10073 ± 210073 ± 1<50100<5010010091 ± 191 ± 286 ± 3100100
carbendazim b<50<50<50<50100<50100<50100100100100100<50
a Average of three replicates. b The commercial agricultural fungicides chlorothalonil and carbendazim were used for comparison of antifungal activity. c F.C, Fusarium oxysporium f. sp. cucumeris; C.H, Cercospora arachidicola Hori; P.P, Physalospora piricola; R.C, Rhizoctonia cerealis; B.M, Bipolaris maydis; W.A, watermelon anthracnose; F.M, Fusarium moniliforme; A.S, Alternaria solani; F.G, Fusarium graminearum; P.I,Phytophthora infestans; P.C, Phytophthora capsici; S.S, Sclerotinia sclerotiorum; R.S, Rhizoctonia solani; B.C, Botrytis cinerea.
Table 3. In vivo fungicidal activities of 1ao, 2ae and 15ad against 6 kinds of Fungi.
Table 3. In vivo fungicidal activities of 1ao, 2ae and 15ad against 6 kinds of Fungi.
CompoundInhibition Rate (%) b/200 μg/mL
S.S aR.CB.CP.CC.CB.G
1a25 ± 228 ± 127 ± 215 ± 236 ± 10
1b15 ± 228 ± 29 ± 220 ± 125 ± 20
1c13 ± 117 ± 29 ± 210 ± 236 ± 20
1d10 ± 211 ± 218 ± 220 ± 115 ± 20
1e10 ± 217 ± 19 ± 230 ± 218 ± 20
1f13 ± 228 ± 29 ± 125 ± 232 ± 10
1g10 ± 132 ± 218 ± 215 ± 236 ± 20
1h8 ± 211 ± 118 ± 215 ± 215 ± 10
1i8 ± 26 ± 227 ± 215 ± 111 ± 20
1j19 ± 211 ± 127 ± 210 ± 211 ± 20
1k21 ± 222 ± 29 ± 130 ± 218 ± 20
1l27 ± 117 ± 227 ± 15 ± 225 ± 20
1m10 ± 26 ± 29 ± 210 ± 115 ± 20
1n27 ± 16 ± 218 ± 15 ± 221 ± 20
1o27 ± 228 ± 29 ± 210 ± 215 ± 10
2a8 ± 228 ± 127 ± 210 ± 225 ± 20
2b8 ± 211 ± 29 ± 215 ± 211 ± 20
2c19 ± 217 ± 118 ± 215 ± 132 ± 20
2d10 ± 117 ± 218 ± 120 ± 218 ± 10
2e8 ± 222 ± 19 ± 210 ± 132 ± 20
15a27 ± 217 ± 19 ± 225 ± 115 ± 20
15b27 ± 132 ± 227 ± 140 ± 225 ± 10
15c19 ± 225 ± 118 ± 240 ± 136 ± 20
15d35 ± 132 ± 227 ± 140 ± 215 ± 10
water000000
azoxystrobin c10010010083 ± 281 ± 182 ± 2
a S.S, Sclerotinia sclerotiorum (rape-protection); R.C, Rhizoctonia cerealis; B.C, Botrytis cinerea. (cucumber-protection); P.C, Phytophthora capsici; C.C, Corynespora cassiicola (cucumber-protection); B.G, Blum eria graminis f. sp. tritici (wheat-protection). b Average of five replicates. c The dilution of azoxystrobin is 1000 times.

Share and Cite

MDPI and ACS Style

Guo, P.; Li, G.; Liu, Y.; Lu, A.; Wang, Z.; Wang, Q. Naamines and Naamidines as Novel Agents against a Plant Virus and Phytopathogenic Fungi. Mar. Drugs 2018, 16, 311. https://doi.org/10.3390/md16090311

AMA Style

Guo P, Li G, Liu Y, Lu A, Wang Z, Wang Q. Naamines and Naamidines as Novel Agents against a Plant Virus and Phytopathogenic Fungi. Marine Drugs. 2018; 16(9):311. https://doi.org/10.3390/md16090311

Chicago/Turabian Style

Guo, Pengbin, Gang Li, Yuxiu Liu, Aidang Lu, Ziwen Wang, and Qingmin Wang. 2018. "Naamines and Naamidines as Novel Agents against a Plant Virus and Phytopathogenic Fungi" Marine Drugs 16, no. 9: 311. https://doi.org/10.3390/md16090311

APA Style

Guo, P., Li, G., Liu, Y., Lu, A., Wang, Z., & Wang, Q. (2018). Naamines and Naamidines as Novel Agents against a Plant Virus and Phytopathogenic Fungi. Marine Drugs, 16(9), 311. https://doi.org/10.3390/md16090311

Note that from the first issue of 2016, this journal uses article numbers instead of page numbers. See further details here.

Article Metrics

Back to TopTop