Cembranoid-Related Metabolites and Biological Activities from the Soft Coral Sinularia flexibilis
Abstract
1. Introduction
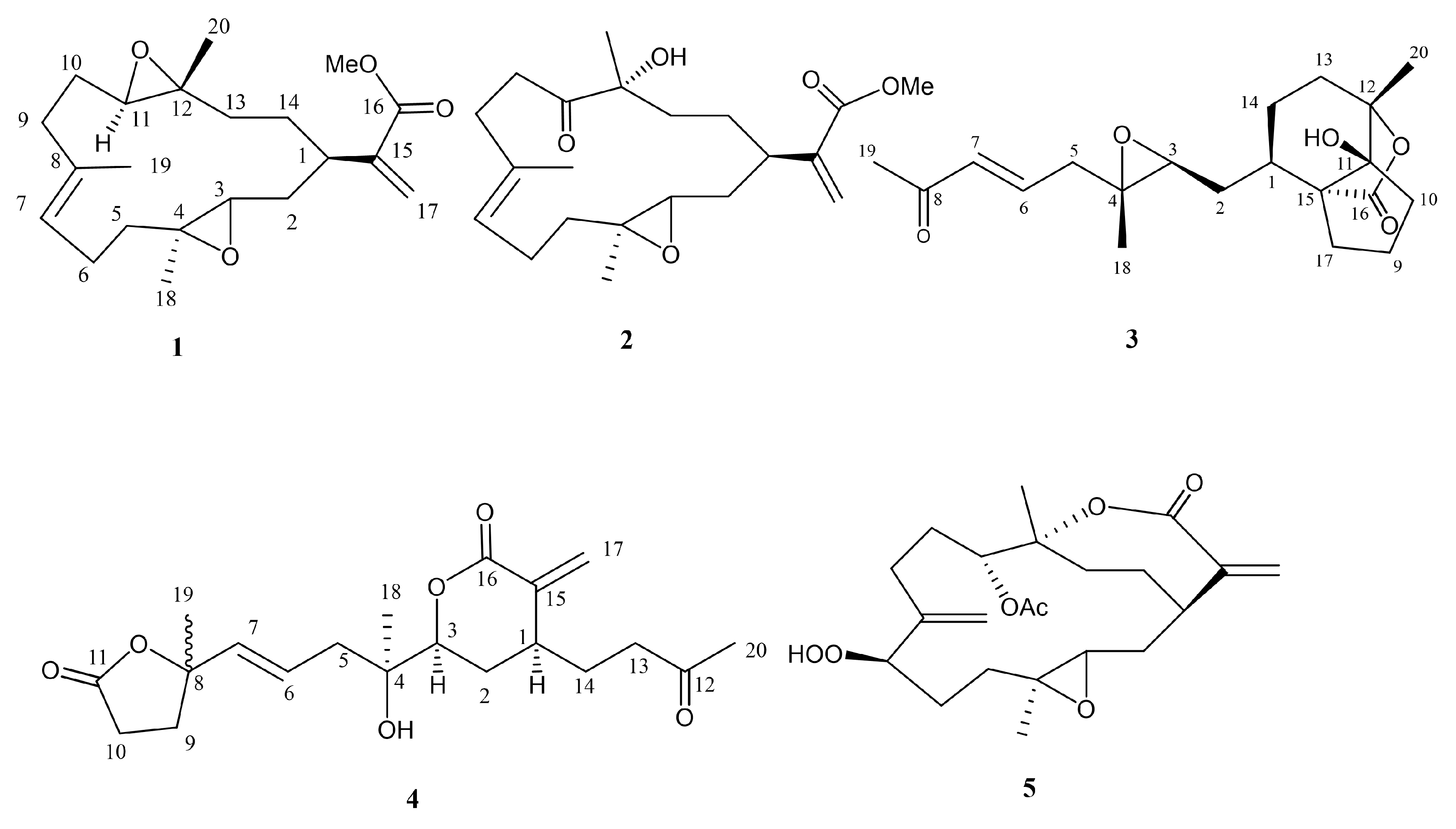
2. Results and Discussion
3. Experimental Section
3.1. General Experimental Procedures
3.2. Animal Material
3.3. Extraction and Separation
3.4. Alkaline Hydrolysis of 7
3.5. Cytotoxicity Testing
3.6. In Vitro Anti-Inflammatory Assay
4. Conclusions
Supplementary Materials
Author Contributions
Funding
Conflicts of Interest
References
- Blunt, J.W.; Carroll, A.R.; Copp, B.R.; Davis, R.A.; Keyzers, R.A.; Prinsep, M.R. Marine natural products. Nat. Prod. Rep. 2018, 35, 8–53. [Google Scholar] [CrossRef] [PubMed]
- Tursch, B.; Braekman, J.C.; Daloze, D.; Herin, M.; Karlsson, R.; Losman, D. Chemical studies of the marine invertebrates XI. Sinulariolide, a new cembranolide diterpene from the soft coral Sinularia flexibilis. Tetrahedron 1975, 31, 129–133. [Google Scholar] [CrossRef]
- Herin, M.; Colin, M.; Tursch, B. Chemical studies of marine invertebrates. XXV. Flexibilene, an unprecedented fifteen-membered ring diterpene hydrocarbon from the soft coral Sinularia flexibilis (Coelenterata, Octocorallia, Alcyonacea). Bull. Soc. Chim. Belg. 1976, 85, 801–803. [Google Scholar] [CrossRef]
- Weinheimer, A.J.; Matson, J.A.; Hossain, M.B.; van der Helm, D. Marine anticancer agents: Sinularin and dihydrosinularin, new cembranolides from the soft coral Sinularia flexibilis. Tetrahedron Lett. 1977, 34, 2923–2926. [Google Scholar] [CrossRef]
- Kazlauskao, R.; Murphy, P.I.; Wells, R.J.; Schonholzer, P.; Coll, J.C. Cembranoid constituents from an Australian collection of the soft coral Sinularia flexibilis. Aust. J. Chem. 1978, 31, 1817–1824. [Google Scholar] [CrossRef]
- Mori, K.; Suzuki, S.; Iguchi, K.; Yamada, Y. 8,11-Epoxy bridged cembranolide diterpene from the soft coral Sinularia flexibilis. Chem. Lett. 1983, 10, 1515–1516. [Google Scholar] [CrossRef]
- Guerrero, P.P.; Read, R.W.; Batley, M.; Janairo, G.C. The structure of a novel cembranoid diterpene from a Philipine collection of the soft coral Sinularia flexibilis. J. Nat. Prod. 1995, 58, 1185–1191. [Google Scholar] [CrossRef]
- Anjaneyulu, A.S.R.; Sagar, K.S. Flexibiolide and dihydroflexibiolide, the first trihydroxycembranolide lactones from the soft coral Sinularia flexibilis of the Indian Ocean. Nat. Prod. Lett. 1996, 9, 127–135. [Google Scholar] [CrossRef]
- Su, C.C.; Wong, B.S.; Chin, C.; Wu, Y.J.; Su, J.H. Oxygenated cembranoids from the soft coral Sinularia flexibilis. Int. J. Mol. Sci. 2013, 14, 4317–4325. [Google Scholar] [CrossRef] [PubMed]
- Wen, T.; Ding, Y.; Deng, Z.W.; van Ofwegen, L.; Proksch, P.; Lin, W.H. Sinulaflexiolides A–K, cembrane-type diterpenoids from the Chinese soft coral Sinularia flexibilis. J. Nat. Prod. 2008, 71, 1133–1140. [Google Scholar] [CrossRef] [PubMed]
- Duh, C.Y.; Wang, S.K.; Tseng, H.K.; Sheu, J.H. A novel cytotoxic biscembranoid from the Formosan soft coral Sinularia flexibilis. Tetrahedron Lett. 1998, 39, 7121–7122. [Google Scholar] [CrossRef]
- Duh, C.Y.; Wang, S.K.; Tseng, H.K.; Sheu, J.H.; Chiang, M.Y. Novel cytotoxic cembranoids from the Formosan soft coral Sinularia flexibilis. J. Nat. Prod. 1998, 61, 844–847. [Google Scholar] [CrossRef] [PubMed]
- Hsieh, P.W.; Chang, F.R.; Mcphail, A.T.; Lee, K.H.; Wu, Y.C. New cembranolide analogues from the Formosan soft coral Sinularia flexibilis and their cytotoxicity. Nat. Prod. Res. 2003, 17, 409–418. [Google Scholar] [CrossRef] [PubMed]
- Lo, K.L.; Khalil, A.T.; Chen, M.H.; Shen, Y.C. Sinuladiterpenes A–F, new cembrane diterpenes from Sinularia flexibilis. Chem. Biodivers. 2009, 6, 2227–2234. [Google Scholar] [CrossRef] [PubMed]
- Lin, Y.S.; Chen, C.H.; Liaw, C.C.; Chen, Y.C.; Kuo, Y.H.; Shen, Y.C. Cembrane diterpenoids from the Taiwanese soft coral Sinularia flexibilis. Tetrahedron 2009, 65, 9157–9164. [Google Scholar] [CrossRef]
- Chen, B.W.; Chao, C.H.; Su, J.H.; Huang, C.Y.; Dai, C.F.; Wen, Z.H.; Sheu, J.H. A novel symmetric sulfur-containing biscembranoid from the Formosan soft coral Sinularia flexibilis. Tetrahedron Lett. 2010, 51, 5764–5766. [Google Scholar] [CrossRef]
- Shih, H.J.; Tseng, Y.J.; Huang, C.Y.; Wen, Z.H.; Dai, C.F.; Sheu, J.H. Cytotoxic and anti-inflammatory diterpenoids from the Dongsha Atoll soft coral Sinularia flexibilis. Tetrahedron 2012, 68, 244–249. [Google Scholar] [CrossRef]
- Hu, L.C.; Yen, W.H.; Su, J.H.; Michael Chiang, Y.N.; Wen, Z.H.; Chen, W.F.; Lu, T.J.; Chang, Y.W.; Chen, Y.H.; Wang, W.H.; et al. Cembrane derivatives from the soft corals, Sinularia gaweli and Sinularia flexibilis. Mar. Drugs 2013, 11, 2154–2167. [Google Scholar] [CrossRef] [PubMed]
- Lin, Y.F.; Kuo, C.Y.; Wen, Z.H.; Lin, Y.Y.; Wang, W.H.; Su, J.H.; Sheu, J.H.; Sung, P.J. Flexibilisquinone, a new anti-inflammatory quinone from the cultured soft coral Sinularia flexibilis. Molecules 2013, 18, 8160–8167. [Google Scholar] [CrossRef] [PubMed]
- Rodríguez, A.D.; Martinez, N. Marine antitumor agents: 14-deoxycrassin and pseudoplexaurol, new cembranoid diterpenes from the Caribbean gorgonian Pseudoplexaura porosa. Experientia 1993, 49, 179–181. [Google Scholar] [CrossRef] [PubMed]
- Lu, Y.; Huang, C.Y.; Lin, Y.F.; Wen, Z.H.; Su, J.H.; Chiang, M.Y.; Sheu, J.H. Anti-inflammatory cembranoids from the soft corals Sinularia querciformis and Sinularia granosa. J. Nat. Prod. 2008, 71, 1754–1759. [Google Scholar] [CrossRef] [PubMed]
- Lin, C.K.; Tseng, C.K.; Liaw, C.C.; Huang, C.Y.; Wei, C.K.; Sheu, J.H.; Lee, J.C. Lobohedleolide suppresses hepatitis C virus replication via JNK/c-Jun-C/EBP-mediated downregulation of cyclooxygenase-2 expression. Sci. Rep. 2018, 8, 8676. [Google Scholar] [CrossRef] [PubMed]
- Ahmed, A.F.; Tsai, C.R.; Huang, C.Y.; Wang, S.Y.; Sheu, J.H. Klyflaccicembranols A–I, new cembranoids from the soft coral Klyxum flaccidum. Mar. Drugs 2017, 15, 23. [Google Scholar] [CrossRef] [PubMed]
- Huang, C.Y.; Teng, Y.J.; Chokkalingam, U.; Hwang, T.L.; Hu, C.H.; Dai, C.F.; Sung, P.J.; Sheu, J.H. Bioactive isoprenoid-derived natural products from a Dongsha Atoll soft coral Sinularia erecta. J. Nat. Prod. 2016, 79, 1339–1346. [Google Scholar] [CrossRef] [PubMed]
- Peng, B.R.; Lu, M.C.; El-Shazly, M.; Huang, C.Y.; Wu, S.L.; Lai, K.H.; Su, J.H. Aquaculture soft coral Lobophytum crassum as a producer of anti-proliferative cembranoids. Mar. Drugs 2018, 16, 15. [Google Scholar] [CrossRef] [PubMed]
- Cheng, T.C.; Din, Z.H.; Su, J.H.; Wu, Y.J.; Liu, C.I. Sinulariolide suppresses cell migration and invasion by inhibiting matrix metalloproteinase-2/-9 and urokinase through the PI3K/AKT/mTOR signaling pathway in human bladder cancer cells. Mar. Drugs 2017, 15, 238. [Google Scholar] [CrossRef] [PubMed]
- Tsai, T.C.; Lai, K.H.; Su, J.H.; Wu, Y.J.; Sheu, J.H. 7-Acetylsinumaximol B induces apoptosis and autophagy in human gastric carcinoma cells through mitochondria dysfunction and activation of the PERK/eIF2α/ATF4/CHOP signaling pathway. Mar. Drugs 2018, 16, 104. [Google Scholar] [CrossRef] [PubMed]
- Lin, M.X.; Lin, S.H.; Li, Y.R.; Chao, Y.H.; Lin, C.H.; Su, J.H.; Lin, C.C. Lobocrassin B induces apoptosis of human lung cancer and inhibits tumor xenograft growth. Mar. Drugs 2017, 15, 378. [Google Scholar] [CrossRef] [PubMed]
- Chao, C.H.; Li, W.L.; Huang, C.Y.; Ahmed, A.F.; Dai, C.F.; Wu, Y.C.; Lu, M.C.; Liaw, C.C.; Sheu, J.H. Isoprenoids from the soft coral Sarcophyton glaucum. Mar. Drugs 2017, 15, 202. [Google Scholar] [CrossRef] [PubMed]
- Chuang, C.P.; Gallucci, J.C.; Hart, D.J. Preparation of functionalized trans-perhydroindans from substituted benzoic acids: reductive alkylation-halolactonization-free radical cyclization. J. Org. Chem. 1988, 53, 3210–3218. [Google Scholar] [CrossRef]
- Demarco, P.V.; Farkas, E.; Doddrell, D.; Mylari, B.L.; Wenkert, E. Pyridine-induced solvent shifts in the nuclear magnetic resonance spectra of hydroxylic compounds. J. Am. Chem. Soc. 1968, 90, 5480–5486. [Google Scholar] [CrossRef]
- O’Brien, J.; Wilson, I.; Orton, T.; Pognan, F. Investigation of the Alamar Blue (resazurin) fluorescent dye for the assessment of mammalian cell cytotoxicity. Eur. J. Biochem. 2000, 267, 5421–5426. [Google Scholar] [CrossRef] [PubMed]
- Nakayama, G.R.; Caton, M.C.; Nova, M.P.; Parandoosh, Z. Assessment of the Alamar Blue assay for cellular growth and viability in vitro. J. Immunol. Methods 1997, 204, 205–208. [Google Scholar] [CrossRef]
- Hwang, T.L.; Wang, C.C.; Kuo, Y.H.; Huang, H.C.; Wu, Y.C.; Kuo, L.M.; Wu, Y.H. The hederagenin saponin SMG-1 is a natural FMLF receptor inhibitor that suppresses humanneutrophil activation. Biochem. Pharmacol. 2010, 80, 1190–1200. [Google Scholar] [CrossRef] [PubMed]
- Hwang, T.L.; Leu, Y.L.; Kao, S.H.; Tang, M.C.; Chang, H.L. Viscolin, a new chalcone fromViscum coloratum, inhibits human neutrophil superoxide anion and elastase release via acAMP-dependent pathway. Free Radic. Biol. Med. 2006, 41, 1433–1441. [Google Scholar] [CrossRef] [PubMed]








| Position | 1 | 2 | ||
|---|---|---|---|---|
| δH a (J in Hz) c | δC b (mult.) d | δH (J in Hz) | δC (mult.) | |
| 1 | 2.85, m | 35.2 (CH) | 2.79, m | 36.5 (CH) |
| 2 | 2.05, m; 1.36, m | 31.5 (CH2) | 1.98, m; 1.40, m | 32.5 (CH2) |
| 3 | 2.81, dd (10.0, 4.0) | 60.1 (CH) | 2.77, dd; (9.6, 4.4) | 59.4 (CH) |
| 4 | 60.2 (C) | 60.7 (C) | ||
| 5 | 2.00, m; 1.59, m | 36.9 (CH2) | 1.99, m; 1.54, m | 36.8 (CH2) |
| 6 | 2.12, m; 2.08, m | 22.2 (CH2) | 2.10, m; 2.00, m | 22.9 (CH2) |
| 7 | 5.18, t (5.6) | 126.5 (CH) | 5.11, t (5.2) | 126.4 (CH) |
| 8 | 134.2 (C) | 134.6 (C) | ||
| 9 | 2.26, m; 2.09, m | 36.0 (CH2) | 2.55, m, 2.22, m | 31.6 (CH2) |
| 10 | 2.09, m; 1.40, m | 24.6 (CH2 | 2.71, ddd (10.8, 8.0, 2.8) | 34.3 (CH2) |
| 2.65, ddd (10.8, 8.0, 2.8) | ||||
| 11 | 2.65, dd (10.0, 3.2) | 61.9 (CH) | 213.6 (C) | |
| 12 | 60.8 (C) | 78.8 (C) | ||
| 13 | 1.70, m; 1.20, m | 33.0 (CH2) | 1.74, ddd (12.8, 5.6. 2.0) 1.48, m | 36.1 (CH2) |
| 14 | 1.70, m; 1.58, m | 27.4 (CH2) | 1.54, m, 1.37, m | 25.2 (CH2) |
| 15 | 142.7 (C) | 142.2 (C) | ||
| 16 | 167.3 (C) | 167.4 (C) | ||
| 17 | 6.26, s; 5.48, s | 124.4 (CH2) | 6.31, s, 5.49, s | 124.4 (CH2) |
| 18 | 1.29, s | 17.8 (CH3) | 1.27, s | 18.2 (CH3) |
| 19 | 1.65, s | 15.3 (CH3) | 1.66, s | 17.1 (CH3) |
| 20 | 1.23, s | 17.0 (CH3) | 1.34, s | 25.7 (CH3) |
| 16-OMe | 3.76, s | 52.0 (CH3) | 3.76, s | 52.0 (CH3) |
| Position | δH a (J in Hz) c | δC b (mult.) d | COSY | HMBC |
|---|---|---|---|---|
| 1 | 2.13, m | 34.5 (CH) | H-2, 14 | C-3, 16 |
| 2 | 1.78, m; 1.38, m | 30.7 (CH2) | H-1, 3 | C-1, 3, 14, 15 |
| 3 | 2.74, dd (7.5, 6.5) | 61.9 (CH) | H-2 | C-2 |
| 4 | 58.8 (C) | |||
| 5 | 2.44, d (7.5) | 41.2 (CH2) | H-6 | C-3, 4, 6, 7, 18 |
| 6 | 6.73, m | 142.2 (CH) | H-5, 7 | C-4, 5, 7, 8 |
| 7 | 6.12, d (16.0) | 134.0 (CH) | H-6 | C-8 |
| 8 | 198.3 (C) | |||
| 9 | 1.82, m | 20.8 (CH2) | H-10, 17 | C-15 |
| 10 | 2.05, m; 1.68, m | 34.1 (CH2) | H-9 | C-9, 11, 12 |
| 11 | 85.3 (C) | |||
| 12 | 84.7 (C) | |||
| 13 | 2.10, m; 1.72, m | 30.4 (CH2) | C-11, 12 | |
| 14 | 1.96, m; 1.22, m | 25.8 (CH2) | C-12, 15 | |
| 15 | 60.9 (C) | |||
| 16 | 177.6 (C) | |||
| 17 | 2.26, m; 1.66, m | 28.4 (CH2) | H-9 | C-1, 15, 16 |
| 18 | 1.28, s | 17.2 (CH3) | C-3, 4, 5 | |
| 19 | 2.26, s | 27.0 (CH3) | C-7, 8 | |
| 20 | 1.39, s | 18.7 (CH3) | C-11, 12, 13 |
| Position | 4 | 5 | ||
|---|---|---|---|---|
| δH a (J in Hz) e | δC b (mult.) f | δH c (J in Hz) | δC d (mult.) | |
| 1 | 2.02, m | 35.9 (CH) | 2.92, m | 34.6 (CH) |
| 2 | 1.07, m; 1.02, m | 28.2 (CH2) | 2.14, m; 1.48, m | 33.3 (CH2) |
| 3 | 3.64, dd (11.6) | 83.0 (CH) | 3.07, dd (10.0, 4.0) | 61.7 (CH) |
| 4 | 72.5 (C) | 59.6 (C) | ||
| 5 | 2.14, m; 1.97, m | 41.3 (CH2) | 2.12, m; 1.48, m | 34.3 (CH2) |
| 6 | 5.66, m | 124.1 (CH) | 1.94, m; 1.91, m | 25.5 (CH2) |
| 7 | 5.20, dd (15.6, 6.8) | 136.9 (CH) | 4.53, d (10.0) | 81.2 (CH) |
| 8 | 83.9 (C) | 145.8 (C) | ||
| 9 | 1.44, m; 1.22, m | 33.9 (CH2) | 2.59, m; 2.23, m | 29.7 (CH2) |
| 10 | 2.05, m; 1.94, m | 28.7 (CH2) | 1.89, m; 1.78, m | 26.5 (CH2) |
| 11 | 175.4 (C) | 5.60, dd (12.8, 2.4) | 72.9 (CH) | |
| 12 | 205.6 (C) | 87.1 (C) | ||
| 13 | 1.76, m; 1.68, m | 39.4 (CH2) | 2.03, m; 1.92, m | 32.8 (CH2) |
| 14 | 1.62, m; 1.32, m | 28.0 (CH2) | 2.23, m; 1.38, m | 30.1 (CH2) |
| 15 | 139.5 (C) | 143.4 (C) | ||
| 16 | 165.3 (C) | 168.1 (C) | ||
| 17 | 6.40, s; 5.12, s | 126.0 (CH2) | 6.30, s; 5.50, s | 125.0 (CH2) |
| 18 | 1.00 s | 22.4 (CH3) | 1.40 s | 24.0 (CH3) |
| 19 | 1.04 s | 26.3 (CH3) | 5.09 s; 5.06 s | 115.0 (CH2) |
| 20 | 1.64 s | 29.4 (CH3) | 1.38 s | 15.5 (CH3) |
| OAc | 2.09 s | 20.9 (CH3) | ||
| 170.6 (C) | ||||
| Compound | IC50 (μM) | ||
|---|---|---|---|
| P-388 b | K-562 c | HT-29 d | |
| 7 | 9.3 | 23.4 | 15.9 |
| 8 | 6.9 | 12.2 | 9.6 |
| 9 | 16.0 | 26.7 | (–) |
| 11 | (–) e | 21.7 | 27.1 |
| Doxorubicin hydrochloride f | 0.3 | 1.0 | 0.9 |
© 2018 by the authors. Licensee MDPI, Basel, Switzerland. This article is an open access article distributed under the terms and conditions of the Creative Commons Attribution (CC BY) license (http://creativecommons.org/licenses/by/4.0/).
Share and Cite
Wu, C.-H.; Chao, C.-H.; Huang, T.-Z.; Huang, C.-Y.; Hwang, T.-L.; Dai, C.-F.; Sheu, J.-H. Cembranoid-Related Metabolites and Biological Activities from the Soft Coral Sinularia flexibilis. Mar. Drugs 2018, 16, 278. https://doi.org/10.3390/md16080278
Wu C-H, Chao C-H, Huang T-Z, Huang C-Y, Hwang T-L, Dai C-F, Sheu J-H. Cembranoid-Related Metabolites and Biological Activities from the Soft Coral Sinularia flexibilis. Marine Drugs. 2018; 16(8):278. https://doi.org/10.3390/md16080278
Chicago/Turabian StyleWu, Chia-Hua, Chih-Hua Chao, Tzu-Zin Huang, Chiung-Yao Huang, Tsong-Long Hwang, Chang-Feng Dai, and Jyh-Horng Sheu. 2018. "Cembranoid-Related Metabolites and Biological Activities from the Soft Coral Sinularia flexibilis" Marine Drugs 16, no. 8: 278. https://doi.org/10.3390/md16080278
APA StyleWu, C.-H., Chao, C.-H., Huang, T.-Z., Huang, C.-Y., Hwang, T.-L., Dai, C.-F., & Sheu, J.-H. (2018). Cembranoid-Related Metabolites and Biological Activities from the Soft Coral Sinularia flexibilis. Marine Drugs, 16(8), 278. https://doi.org/10.3390/md16080278

