Characterization of the Jomthonic Acids Biosynthesis Pathway and Isolation of Novel Analogues in Streptomyces caniferus GUA-06-05-006A
Abstract
1. Introduction
2. Results
2.1. Identification of the Jomthonic Acid Gene Cluster
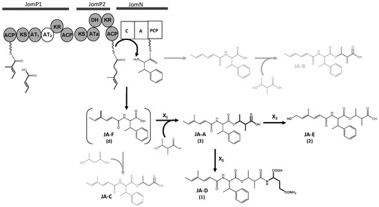
2.2. Bioinformatics Analysis of the Jomthonic Acid Gene Cluster and Proposed Biosynthesis Pathway
2.3. Cluster Boundaries Analysis
2.4. Heterologous Expression of the JAs BGC
3. Discussion
4. Materials and Methods
4.1. Strains, Tumor Cell Lines, Media and Cultivation Conditions
4.2. DNA Manipulation
4.3. Plasmids Construction and Strain Generation
4.4. Heterologous Expression of the JAs BGC
4.5. Sequencing and Bioinformatics Analysis
4.6. Analysis of Metabolite Production and Compound Purification
4.7. Mass Spectra and Structural Elucidation
Supplementary Materials
Author Contributions
Funding
Acknowledgments
Conflicts of Interest
References
- Waters, A.L.; Hill, R.T.; Place, A.R.; Hamann, M.T. The expanding role of marine microbes in pharmaceutical development. Curr. Opin. Biotechnol. 2010, 21, 780–786. [Google Scholar] [CrossRef] [PubMed]
- Snelgrove, P.V.R. An Ocean of Discovery: Biodiversity Beyond the Census of Marine Life. Planta Med. 2016, 82, 790–799. [Google Scholar] [CrossRef] [PubMed]
- Williams, J.A.; Day, M.; Heavner, J.E. Ziconotide: An update and review. Expert Opin. Pharmacother. 2008, 9, 1575–1583. [Google Scholar] [CrossRef] [PubMed]
- Yasuhara-Bell, J.; Lu, Y. Marine compounds and their antiviral activities. Antiviral Res. 2010, 86, 231–240. [Google Scholar] [CrossRef] [PubMed]
- Cuevas, C.; Francesch, A. Development of Yondelis (trabectedin, ET-743). A semisynthetic process solves the supply problem. Nat. Prod. Rep. 2009, 26, 322–337. [Google Scholar] [CrossRef] [PubMed]
- Stonik, V.A. Marine natural products: a way to new drugs. Acta Nat. 2009, 1, 15–25. [Google Scholar]
- Anjum, K.; Abbas, S.Q.; Akhter, N.; Shagufta, B.I.; Shah, S.A.A.; Hassan, S.S.U. Emerging biopharmaceuticals from bioactive peptides derived from marine organisms. Chem. Biol. Drug Des. 2017, 90, 12–30. [Google Scholar] [CrossRef] [PubMed]
- Sipkema, D.; Franssen, M.C.R.; Osinga, R.; Tramper, J.; Wijffels, R.H. Marine sponges as pharmacy. Mar. Biotechnol. (N.Y.) 2005, 7, 142–162. [Google Scholar] [CrossRef] [PubMed]
- Anjum, K.; Abbas, S.Q.; Shah, S.A.A.; Akhter, N.; Batool, S.; Hassan, S.S. ul Marine Sponges as a Drug Treasure. Biomol. Ther. (Seoul) 2016, 24, 347–362. [Google Scholar] [CrossRef] [PubMed]
- Bernan, V.S.; Greenstein, M.; Maiese, W.M. Marine microorganisms as a source of new natural products. Adv. Appl. Microbiol. 1997, 43, 57–90. [Google Scholar] [PubMed]
- Simmons, T.L.; Coates, R.C.; Clark, B.R.; Engene, N.; Gonzalez, D.; Esquenazi, E.; Dorrestein, P.C.; Gerwick, W.H. Biosynthetic origin of natural products isolated from marine microorganism-invertebrate assemblages. Proc. Natl. Acad. Sci. USA 2008, 105, 4587–4594. [Google Scholar] [CrossRef] [PubMed]
- Romano, G.; Costantini, M.; Sansone, C.; Lauritano, C.; Ruocco, N.; Ianora, A. Marine microorganisms as a promising and sustainable source of bioactive molecules. Mar. Environ. Res. 2017, 128, 58–69. [Google Scholar] [CrossRef] [PubMed]
- Sarmiento-Vizcaíno, A.; González, V.; Braña, A.F.; Palacios, J.J.; Otero, L.; Fernández, J.; Molina, A.; Kulik, A.; Vázquez, F.; Acuña, J.L.; et al. Pharmacological Potential of Phylogenetically Diverse Actinobacteria Isolated from Deep-Sea Coral Ecosystems of the Submarine Avilés Canyon in the Cantabrian Sea. Microb. Ecol. 2017, 73, 338–352. [Google Scholar] [CrossRef] [PubMed]
- Brady, S.F.; Simmons, L.; Kim, J.H.; Schmidt, E.W. Metagenomic approaches to natural products from free-living and symbiotic organisms. Nat. Prod. Rep. 2009, 26, 1488. [Google Scholar] [CrossRef] [PubMed]
- Heidelberg, K.B.; Gilbert, J.A.; Joint, I. Marine genomics: At the interface of marine microbial ecology and biodiscovery. Microb. Biotechnol. 2010, 3, 531–543. [Google Scholar] [CrossRef] [PubMed]
- Mühling, M.; Joint, I.; Willetts, A.J. The biodiscovery potential of marine bacteria: An investigation of phylogeny and function. Microb. Biotechnol. 2013, 6, 361–370. [Google Scholar] [CrossRef] [PubMed]
- Amoutzias, G.; Chaliotis, A.; Mossialos, D. Discovery Strategies of Bioactive Compounds Synthesized by Nonribosomal Peptide Synthetases and Type-I Polyketide Synthases Derived from Marine Microbiomes. Mar. Drugs 2016, 14, 80. [Google Scholar] [CrossRef] [PubMed]
- Singh, M.; Chaudhary, S.; Sareen, D. Non-ribosomal peptide synthetases: Identifying the cryptic gene clusters and decoding the natural product. J. Biosci. 2017, 42, 175–187. [Google Scholar] [CrossRef] [PubMed]
- Tseng, C.-H.; Tang, S.-L. Marine Microbial Metagenomics: From Individual to the Environment. Int. J. Mol. Sci. 2014, 15, 8878–8892. [Google Scholar] [CrossRef] [PubMed]
- Uchiyama, I.; Mihara, M.; Nishide, H.; Chiba, H. MBGD update 2015: Microbial genome database for flexible ortholog analysis utilizing a diverse set of genomic data. Nucleic Acids Res. 2015, 43, D270–D276. [Google Scholar] [CrossRef] [PubMed]
- Haroon, M.F.; Thompson, L.R.; Parks, D.H.; Hugenholtz, P.; Stingl, U. A catalogue of 136 microbial draft genomes from Red Sea metagenomes. Sci. Data 2016, 3, 160050. [Google Scholar] [CrossRef] [PubMed]
- Katz, L.; Baltz, R.H. Natural product discovery: Past, present, and future. J. Ind. Microbiol. Biotechnol. 2016, 43, 155–176. [Google Scholar] [CrossRef] [PubMed]
- Jensen, P.R. Natural Products and the Gene Cluster Revolution. Trends Microbiol. 2016, 24, 968–977. [Google Scholar] [CrossRef] [PubMed]
- Niu, G. Genomics-Driven Natural Product Discovery in Actinomycetes. Trends Biotechnol. 2018, 36, 238–241. [Google Scholar] [CrossRef] [PubMed]
- Challis, G.L. Mining microbial genomes for new natural products and biosynthetic pathways. Microbiology 2008, 154, 1555–1569. [Google Scholar] [CrossRef] [PubMed]
- McAlpine, J.B. Advances in the understanding and use of the genomic base of microbial secondary metabolite biosynthesis for the discovery of new natural products. J. Nat. Prod. 2009, 72, 566–572. [Google Scholar] [CrossRef] [PubMed]
- Nett, M.; Ikeda, H.; Moore, B.S. Genomic basis for natural product biosynthetic diversity in the actinomycetes. Nat. Prod. Rep. 2009, 26, 1362. [Google Scholar] [CrossRef] [PubMed]
- Li, J.W.-H.; Vederas, J.C. Drug Discovery and Natural Products: End of an Era or an Endless Frontier? Science 2009, 325, 161–165. [Google Scholar] [CrossRef] [PubMed]
- Abdelmohsen, U.R.; Grkovic, T.; Balasubramanian, S.; Kamel, M.S.; Quinn, R.J.; Hentschel, U. Elicitation of secondary metabolism in actinomycetes. Biotechnol. Adv. 2015, 33, 798–811. [Google Scholar] [CrossRef] [PubMed]
- Reen, F.J.; Romano, S.; Dobson, A.D.W.; O’Gara, F. The Sound of Silence: Activating Silent Biosynthetic Gene Clusters in Marine Microorganisms. Mar. Drugs 2015, 13, 4754–4783. [Google Scholar] [CrossRef] [PubMed]
- Baltz, R.H. Genetic manipulation of secondary metabolite biosynthesis for improved production in Streptomyces and other actinomycetes. J. Ind. Microbiol. Biotechnol. 2016, 43, 343–370. [Google Scholar] [CrossRef] [PubMed]
- Ochi, K. Insights into microbial cryptic gene activation and strain improvement: Principle, application and technical aspects. J. Antibiot. (Tokyo) 2017, 70, 25–40. [Google Scholar] [CrossRef] [PubMed]
- Jensen, P.R.; Chavarria, K.L.; Fenical, W.; Moore, B.S.; Ziemert, N. Challenges and triumphs to genomics-based natural product discovery. J. Ind. Microbiol. Biotechnol. 2014, 41, 203–209. [Google Scholar] [CrossRef] [PubMed]
- Gomez-Escribano, J.; Alt, S.; Bibb, M. Next Generation Sequencing of Actinobacteria for the Discovery of Novel Natural Products. Mar. Drugs 2016, 14, 78. [Google Scholar] [CrossRef] [PubMed]
- Luo, Y.; Huang, H.; Liang, J.; Wang, M.; Lu, L.; Shao, Z.; Cobb, R.E.; Zhao, H. Activation and characterization of a cryptic polycyclic tetramate macrolactam biosynthetic gene cluster. Nat. Commun. 2013, 4, 2894. [Google Scholar] [CrossRef] [PubMed]
- Olano, C.; García, I.; González, A.; Rodriguez, M.; Rozas, D.; Rubio, J.; Sánchez-Hidalgo, M.; Braña, A.F.; Méndez, C.; Salas, J.A. Activation and identification of five clusters for secondary metabolites in Streptomyces albus J1074. Microb. Biotechnol. 2014, 7, 242–256. [Google Scholar] [CrossRef] [PubMed]
- Yamanaka, K.; Reynolds, K.A.; Kersten, R.D.; Ryan, K.S.; Gonzalez, D.J.; Nizet, V.; Dorrestein, P.C.; Moore, B.S. Direct cloning and refactoring of a silent lipopeptide biosynthetic gene cluster yields the antibiotic taromycin A. Proc. Natl. Acad. Sci. USA 2014, 1–6. [Google Scholar] [CrossRef] [PubMed]
- Saha, S.; Zhang, W.; Zhang, G.; Zhu, Y.; Chen, Y.; Liu, W.; Yuan, C.; Zhang, Q.; Zhang, H.; Zhang, L.; et al. Activation and characterization of a cryptic gene cluster reveals a cyclization cascade for polycyclic tetramate macrolactams. Chem. Sci. 2017, 8, 1607–1612. [Google Scholar] [CrossRef] [PubMed]
- Frattaruolo, L.; Lacret, R.; Cappello, A.R.; Truman, A.W. A Genomics-Based Approach Identifies a Thioviridamide-Like Compound with Selective Anticancer Activity. ACS Chem. Biol. 2017, 12, 2815–2822. [Google Scholar] [CrossRef] [PubMed]
- Xu, J.; Zhang, J.; Zhuo, J.; Li, Y.; Tian, Y.; Tan, H. Activation and mechanism of a cryptic oviedomycin gene cluster via the disruption of a global regulatory gene, adpA, in Streptomyces ansochromogenes. J. Biol. Chem. 2017, 292, 19708–19720. [Google Scholar] [CrossRef] [PubMed]
- Kawahara, T.; Izumikawa, M.; Kozone, I.; Hashimoto, J.; Kagaya, N.; Koiwai, H.; Komatsu, M.; Fujie, M.; Sato, N.; Ikeda, H.; et al. Neothioviridamide, a Polythioamide Compound Produced by Heterologous Expression of a Streptomyces sp. Cryptic RiPP Biosynthetic Gene Cluster. J. Nat. Prod. 2018, 81, 264–269. [Google Scholar] [CrossRef] [PubMed]
- Igarashi, Y.; Yu, L.; Ikeda, M.; Oikawa, T.; Kitani, S.; Nihira, T.; Bayanmunkh, B.; Panbangred, W. Jomthonic acid A, a modified amino acid from a soil-derived Streptomyces. J. Nat. Prod. 2012, 75, 986–990. [Google Scholar] [CrossRef] [PubMed]
- Yu, L.; Oikawa, T.; Kitani, S.; Nihira, T.; Bayanmunkh, B.; Panbangred, W.; Igarashi, Y. Jomthonic acids B and C, two new modified amino acids from Streptomyces sp. J. Antibiot. (Tokyo) 2014, 67, 345–347. [Google Scholar] [CrossRef] [PubMed]
- Salcedo, R.G.; Olano, C.; Gómez, C.; Fernández, R.; Braña, A.F.; Méndez, C.; de la Calle, F.; Salas, J.A. Characterization and engineering of the biosynthesis gene cluster for antitumor macrolides PM100117 and PM100118 from a marine actinobacteria: Generation of a novel improved derivative. Microb. Cell Fact. 2016, 15, 44. [Google Scholar] [CrossRef] [PubMed]
- Magarvey, N.A.; Haltli, B.; He, M.; Greenstein, M.; Hucul, J.A. Biosynthetic pathway for mannopeptimycins, lipoglycopeptide antibiotics active against drug-resistant gram-positive pathogens. Antimicrob. Agents Chemother. 2006, 50, 2167–2177. [Google Scholar] [CrossRef] [PubMed]
- Gaitatzis, N.; Silakowski, B.; Kunze, B.; Nordsiek, G.; Blöcker, H.; Höfle, G.; Müller, R. The biosynthesis of the aromatic myxobacterial electron transport inhibitor stigmatellin is directed by a novel type of modular polyketide synthase. J. Biol. Chem. 2002, 277, 13082–13090. [Google Scholar] [CrossRef] [PubMed]
- Silakowski, B.; Schairer, H.U.; Ehret, H.; Kunze, B.; Weinig, S.; Nordsiek, G.; Brandt, P.; Blöcker, H.; Höfle, G.; Beyer, S.; et al. New lessons for combinatorial biosynthesis from myxobacteria. The myxothiazol biosynthetic gene cluster of Stigmatella aurantiaca DW4/3-1. J. Biol. Chem. 1999, 274, 37391–37399. [Google Scholar] [CrossRef] [PubMed]
- Silakowski, B.; Nordsiek, G.; Kunze, B.; Blöcker, H.; Müller, R. Novel features in a combined polyketide synthase/non-ribosomal peptide synthetase: The myxalamid biosynthetic gene cluster of the myxobacterium Stigmatella aurantiaca Sga15. Chem. Biol. 2001, 8, 59–69. [Google Scholar] [CrossRef]
- Ligon, J.; Hill, S.; Beck, J.; Zirkle, R.; Molnár, I.; Zawodny, J.; Money, S.; Schupp, T. Characterization of the biosynthetic gene cluster for the antifungal polyketide soraphen A from Sorangium cellulosum So ce26. Gene 2002, 285, 257–267. [Google Scholar] [CrossRef]
- Petković, H.; Sandmann, A.; Challis, I.R.; Hecht, H.-J.; Silakowski, B.; Low, L.; Beeston, N.; Kuščer, E.; Garcia-Bernardo, J.; Leadlay, P.F.; et al. Substrate specificity of the acyl transferase domains of EpoC from the epothilone polyketide synthase. Org. Biomol. Chem. 2008, 6, 500–506. [Google Scholar] [CrossRef] [PubMed]
- Liew, C.W.; Nilsson, M.; Chen, M.W.; Sun, H.; Cornvik, T.; Liang, Z.-X.; Lescar, J. Crystal structure of the acyltransferase domain of the iterative polyketide synthase in enediyne biosynthesis. J. Biol. Chem. 2012, 287, 23203–23215. [Google Scholar] [CrossRef] [PubMed]
- Huang, Y.-T.; Lyu, S.-Y.; Chuang, P.-H.; Hsu, N.-S.; Li, Y.-S.; Chan, H.-C.; Huang, C.-J.; Liu, Y.-C.; Wu, C.-J.; Yang, W.-B.; et al. In vitro characterization of enzymes involved in the synthesis of nonproteinogenic residue (2S,3S)-beta-methylphenylalanine in glycopeptide antibiotic mannopeptimycin. ChemBiochem 2009, 10, 2480–2487. [Google Scholar] [CrossRef] [PubMed]
- Wu, W.M.; Jain, M.K.; Zeikus, J.G. Anaerobic degradation of normal- and branched-chain Fatty acids with four or more carbons to methane by a syntrophic methanogenic triculture. Appl. Environ. Microbiol. 1994, 60, 2220–2226. [Google Scholar] [PubMed]
- Narihiro, T.; Nobu, M.K.; Tamaki, H.; Kamagata, Y.; Sekiguchi, Y.; Liu, W.-T. Comparative Genomics of Syntrophic Branched-Chain Fatty Acid Degrading Bacteria. Microbes Environ. 2016, 31, 288–292. [Google Scholar] [CrossRef] [PubMed]
- Felnagle, E.A.; Barkei, J.J.; Park, H.; Podevels, A.M.; McMahon, M.D.; Drott, D.W.; Thomas, M.G. MbtH-like proteins as integral components of bacterial nonribosomal peptide synthetases. Biochemistry 2010, 49, 8815–8817. [Google Scholar] [CrossRef] [PubMed]
- Zolova, O.E.; Garneau-Tsodikova, S. Importance of the MbtH-like protein TioT for production and activation of the thiocoraline adenylation domain of TioK. Medchemcomm 2012, 3, 950. [Google Scholar] [CrossRef]
- Camp, H.S.; Ren, D.; Leff, T. Adipogenesis and fat-cell function in obesity and diabetes. Trends Mol. Med. 2002, 8, 442–447. [Google Scholar] [CrossRef]
- Kassotis, C.D.; Masse, L.; Kim, S.; Schlezinger, J.J.; Webster, T.F.; Stapleton, H.M. Characterization of Adipogenic Chemicals in Three Different Cell Culture Systems: Implications for Reproducibility Based on Cell Source and Handling. Sci. Rep. 2017, 7, 42104. [Google Scholar] [CrossRef] [PubMed]
- Calabro, P.; Yeh, E.T. Obesity, inflammation, and vascular disease: The role of the adipose tissue as an endocrine organ. Subcell. Biochem. 2007, 42, 63–91. [Google Scholar] [PubMed]
- Moore, B.S.; Trischman, J.A.; Seng, D.; Kho, D.; Jensen, P.R.; Fenical, W. Salinamides, antiinflammatory depsipeptides from a marine streptomycete. J. Org. Chem. 1999, 64, 1145–1150. [Google Scholar] [CrossRef]
- Quang, D.N.; Hashimoto, T.; Tanaka, M.; Stadler, M.; Asakawa, Y. Cyclic azaphilones daldinins E and F from the ascomycete fungus Hypoxylon fuscum (Xylariaceae). Phytochemistry 2004, 65, 469–473. [Google Scholar] [CrossRef] [PubMed]
- Houge-Frydrych, C.S.; Gilpin, M.L.; Skett, P.W.; Tyler, J.W. SB-203207 and SB-203208, two novel isoleucyl tRNA synthetase inhibitors from a Streptomyces sp. II. Structure determination. J. Antibiot. (Tokyo) 2000, 53, 364–372. [Google Scholar] [CrossRef] [PubMed]
- Yamada, T.; Yagita, M.; Kobayashi, Y.; Sennari, G.; Shimamura, H.; Matsui, H.; Horimatsu, Y.; Hanaki, H.; Hirose, T.; Omura, S.; et al. Synthesis and Evaluation of Antibacterial Activity of Bottromycins. J. Org. Chem. 2018, 83, 7135–7149. [Google Scholar] [CrossRef] [PubMed]
- Takaoka, S.; Kurata, M.; Harimoto, Y.; Hatta, R.; Yamamoto, M.; Akimitsu, K.; Tsuge, T. Complex regulation of secondary metabolism controlling pathogenicity in the phytopathogenic fungus Alternaria alternata. New Phytol. 2014, 202, 1297–1309. [Google Scholar] [CrossRef] [PubMed]
- Rössner, E.; Zeeck, A.; König, W.A. Elucidation of the Structure of Hormaomycin. Angew. Chem. Int. Ed. Engl. 1990, 29, 64–65. [Google Scholar] [CrossRef]
- Fuse, S.; Koinuma, H.; Kimbara, A.; Izumikawa, M.; Mifune, Y.; He, H.; Shin-ya, K.; Takahashi, T.; Doi, T. Total synthesis and stereochemistry revision of mannopeptimycin aglycone. J. Am. Chem. Soc. 2014, 136, 12011–12017. [Google Scholar] [CrossRef] [PubMed]
- Dandekar, T.; Snel, B.; Huynen, M.; Bork, P. Conservation of gene order: A fingerprint of proteins that physically interact. Trends Biochem. Sci. 1998, 23, 324–328. [Google Scholar] [CrossRef]
- Ochman, H.; Moran, N.A. Genes lost and genes found: Evolution of bacterial pathogenesis and symbiosis. Science 2001, 292, 1096–1099. [Google Scholar] [CrossRef] [PubMed]
- Pérez, M.; Schleissner, C.; Fernández, R.; Rodríguez, P.; Reyes, F.; Zuñiga, P.; de la Calle, F.; Cuevas, C. PM100117 and PM100118, new antitumor macrolides produced by a marine Streptomyces caniferus GUA-06-05-006A. J. Antibiot. (Tokyo) 2015, 1–7. [Google Scholar] [CrossRef] [PubMed]
- Gomez-Escribano, J.P.; Bibb, M.J. Engineering Streptomyces coelicolor for heterologous expression of secondary metabolite gene clusters. Microb. Biotechnol. 2011, 4, 207–215. [Google Scholar] [CrossRef] [PubMed]
- Fernández, E.; Weissbach, U.; Sánchez Reillo, C.; Braña, A.F.; Méndez, C.; Rohr, J.; Salas, J.A. Identification of two genes from Streptomyces argillaceus encoding glycosyltransferases involved in transfer of a disaccharide during biosynthesis of the antitumor drug mithramycin. J. Bacteriol. 1998, 180, 4929–4937. [Google Scholar] [PubMed]
- Hu, H.; Zhang, Q.; Ochi, K. Activation of antibiotic biosynthesis by specified mutations in the rpoB gene (encoding the RNA polymerase beta subunit) of Streptomyces lividans. J. Bacteriol. 2002, 184, 3984–3991. [Google Scholar] [CrossRef] [PubMed]
- Grant, S.G.N.; Jessee, J.; Bloom, F.R.; Hanahan, D. Differential plasmid rescue from transgenic mouse DNAs into Escherichia coli methylation-restriction mutants. Proc. Natl. Acad. Sci. USA 1990, 87, 4645–4649. [Google Scholar] [CrossRef] [PubMed]
- Kieser, T.; Bibb, M.J.; Buttner, M.J.; Chater, K.F.; Hopwood, D. Practical Streptomyces Genetics; The John Innes Centre: Norwich, UK, 2000; ISBN 0708406238. [Google Scholar]
- Strain C5 Paranthaman, S.; Dharmalingam, K. Intergeneric conjugation in streptomyces peucetius and streptomyces sp. Strain C5: Chromosomal Integration and Expression of Recombinant Plasmids Carrying the chiC Gene. Appl. Environ. Microbiol. 2003, 69, 84–91. [Google Scholar] [CrossRef] [PubMed]
- Gietz, R.D. Yeast Transformation by the LiAc/SS Carrier DNA/PEG Method. In Methods in Molecular Biology (Clifton, N.J.); Springer Nature Switzerland AG: Basel, Switzerland, 2014; Volume 1205, pp. 1–12. [Google Scholar]
- Sambrook, J.; Russell, D.W. Molecular Cloning: A. Laboratory Manual; Cold Spring Harbor Laboratory: New York, NY, USA, 2001. [Google Scholar]
- Van Dessel, W.; Van Mellaert, L.; Geukens, N.; Anné, J. Improved PCR-based method for the direct screening of Streptomyces transformants. J. Microbiol. Methods 2003, 53, 401–403. [Google Scholar] [CrossRef]
- Bierman, M.; Logan, R.; O’Brien, K.; Seno, E.T.; Rao, R.N.; Schoner, B.E. Plasmid cloning vectors for the conjugal transfer of DNA from Escherichia coli to Streptomyces spp. Gene 1992, 116, 43–49. [Google Scholar] [CrossRef]
- Horna, D.H.; Gómez, C.; Olano, C.; Palomino-Schätzlein, M.; Pineda-Lucena, A.; Carbajo, R.J.; Braña, A.F.; Méndez, C.; Salas, J.A. Biosynthesis of the RNA polymerase inhibitor streptolydigin in Streptomyces lydicus: Tailoring modification of 3-methyl-aspartate. J. Bacteriol. 2011, 193, 2647–2651. [Google Scholar] [CrossRef] [PubMed]
- Olano, C.; Moss, S.J.; Braña, A.F.; Sheridan, R.M.; Math, V.; Weston, A.J.; Méndez, C.; Leadlay, P.F.; Wilkinson, B.; Salas, J.A. Biosynthesis of the angiogenesis inhibitor borrelidin by Streptomyces parvulus Tü4055: Insights into nitrile formation. Mol. Microbiol. 2004, 52, 1745–1756. [Google Scholar] [CrossRef] [PubMed]
- Cano-Prieto, C.; García-Salcedo, R.; Sánchez-Hidalgo, M.; Braña, A.F.; Fiedler, H.-P.; Méndez, C.; Salas, J.A.; Olano, C. Genome Mining of Streptomyces sp. Tü 6176: Characterization of the Nataxazole Biosynthesis Pathway. ChemBioChem 2015, 16, 1461–1473. [Google Scholar] [CrossRef] [PubMed]
- Gust, B.; Kieser, T.; Chater, K. Redirect Technology: PCR Targeting System in Streptomyces Coelicolor; The John Innes Centre: Norwich, UK, 2002. [Google Scholar]
- Blin, K.; Wolf, T.; Chevrette, M.G.; Lu, X.; Schwalen, C.J.; Kautsar, S.A.; Suarez Duran, H.G.; de Los Santos, E.L.C.; Kim, H.U.; Nave, M.; et al. Antismash 4.0-improvements in chemistry prediction and gene cluster boundary identification. Nucleic Acids Res. 2017, 45, W36–W41. [Google Scholar] [CrossRef] [PubMed]
- Skinnider, M.A.; Johnston, C.W.; Edgar, R.E.; Dejong, C.A.; Merwin, N.J.; Rees, P.N.; Magarvey, N.A. Genomic charting of ribosomally synthesized natural product chemical space facilitates targeted mining. Proc. Natl. Acad. Sci. USA 2016, 113, E6343–E6351. [Google Scholar] [CrossRef] [PubMed]
- Skinnider, M.A.; Dejong, C.A.; Rees, P.N.; Johnston, C.W.; Li, H.; Webster, A.L.H.; Wyatt, M.A.; Magarvey, N.A. Genomes to natural products PRediction Informatics for Secondary Metabolomes (PRISM). Nucleic Acids Res. 2015, 43, 9645–9662. [Google Scholar] [CrossRef] [PubMed]
- Altschul, S.F.; Madden, T.L.; Schäffer, A.A.; Zhang, J.; Zhang, Z.; Miller, W.; Lipman, D.J. Gapped BLAST and PSI-BLAST: A new generation of protein database search programs. Nucleic Acids Res. 1997, 25, 3389–3402. [Google Scholar] [CrossRef] [PubMed]
- Sievers, F.; Higgins, D.G. Clustal Omega, Accurate Alignment of Very Large Numbers of Sequences. In Methods in Molecular Biology (Clifton, N.J.); Springer Nature Switzerland AG: Basel, Switzerland, 2014; Volume 1079, pp. 105–116. [Google Scholar]
- Rice, P.; Longden, I.; Bleasby, A. EMBOSS: The European Molecular Biology Open Software Suite. Trends Genet. 2000, 16, 276–277. [Google Scholar] [CrossRef]
- Medema, M.H.; Kottmann, R.; Yilmaz, P.; Cummings, M.; Biggins, J.B.; Blin, K.; de Bruijn, I.; Chooi, Y.H.; Claesen, J.; Coates, R.C.; et al. Minimum Information about a Biosynthetic Gene cluster. Nat. Chem. Biol. 2015, 11, 625–631. [Google Scholar] [CrossRef] [PubMed]
- Losada, A.A.; Cano-Prieto, C.; García-Salcedo, R.; Braña, A.F.; Méndez, C.; Salas, J.A.; Olano, C. Caboxamycin biosynthesis pathway and identification of novel benzoxazoles produced by cross-talk in Streptomyces sp. NTK 937. Microb. Biotechnol. 2017, 10, 873–885. [Google Scholar] [CrossRef] [PubMed]
- Schleissner, C.; Cañedo, L.M.; Rodríguez, P.; Crespo, C.; Zúñiga, P.; Peñalver, A.; de la Calle, F.; Cuevas, C. Bacterial Production of a Pederin Analogue by a Free-Living Marine Alphaproteobacterium. J. Nat. Prod. 2017, 80, 2170–2173. [Google Scholar] [CrossRef] [PubMed]






| Gene | Deduced aa. Length | Protein Homologue (Accession No.) | Identity/Similarity (%) | Proposed Function |
|---|---|---|---|---|
| orf1 | 194 | WP_030077520.1 | 93/86 | RNA polymerase |
| orf2 | 313 | WP_053208602.1 | 95/96 | Hypothetical protein |
| orf3 | 1462 | WP_084771961.1 | 94/96 | Cell division protein FtsK |
| orf4 | 1525 | WP_055485092.1 | 59/70 | Type IV secretion protein Rhs |
| orf5 | 241 | WP_084771964.1 | 93/95 | Hypothetical protein |
| orf6 | 104 | WP_084771965.1 | 86/94 | Hypothetical protein |
| orf7 | 99 | WP_033268020.1 | 99/100 | WXG-like protein |
| orf8 | 289 | SDQ83237.1 | 89/91 | AraC-family transcriptional regulator |
| orf9 | 396 | SDQ83203.1 | 87/93 | Monooxygenase |
| orf10 | 315 | OSY47464.1 | 92/94 | FG-GAP repeat protein |
| orf11 | 95 | OSY47461.1 | 96/96 | Type II toxin–antitoxin system |
| orf12 | 286 | OSY47460.1 | 91/94 | Thioesterase |
| orf13 | 218 | WP_085923163.1 | 99/99 | ATP-dependent Clp protease proteolytic subunit |
| orf14 | 106 | OSY47458.1 | 95/97 | Hypothetical protein |
| orf15 | - | - | Unassigned | |
| jomP1 | 2093 | WP_020735335.1 | 47/58 | Type I polyketide synthase (PCP/KS/AT/AT/KR/PCP) |
| jomP2 | 1853 | CAD19087.1 | 43/57 | Type I polyketide synthase (KS/AT/DH/KR/PCP) |
| jomN | 1062 | SCL52665.1 | 48/63 | Non-ribosomal protein synthetase(C/A/PCP) |
| jomT | 254 | WP_025675064.1 | 35/51 | Thioesterase |
| jomB | 72 | WP_004933768.1 | 72/83 | mbtH-like protein |
| jomM | 329 | WP_004933770.1 | 78/85 | Methyltransferase |
| orf16 | 751 | WP_053684324.1 | 53/65 | LuxR-family transcriptional regulator |
| orf17 | 229 | WP_042159102.1 | 83/88 | Hypothetical protein |
| orf18 | 404 | WP_052718894.1 | 90/93 | Hypothetical protein |
| orf19 | 295 | SCK58100.1 | 86/91 | Putative nuclease |
| orf20 | 170 | WP_035838695.1 | 81/85 | MarR-family transcriptional regulator |
| orf21 | 123 | WP_039639044.1 | 93/95 | Glyoxalase |
| orf22 | 318 | WP_042157776.1 | 78/83 | DNA-3-methyladenine glycosylase 2 family protein |
| rf23 | 190 | WP_042159103.1 | 97/99 | Hypotheticalprotein |
| orf24 | 373 | WP_042159104.1 | 99/100 | ROK-familyglucokinase |
| orf25 | 269 | WP_085927837.1 | 100/100 | Sugar ABC transporter ATP-binding protein |
| orf26 | 356 | WP_085927838.1 | 99/99 | Ribose ABC transporter permease |
| orf27 | 337 | WP_042159107.1 | 99/100 | Sugar ABC transporter substrate-binding protein |
| orf28 | 358 | WP_042159108.1 | 96/97 | Sugar ABC transporter substrate-binding protein |
| orf29 | 258 | GAO11207.1 | 98/99 | GntR-family transcriptional regulator |
| orf30 | 126 | WP_018092820.1 | 84/90 | Glyoxalase |
| orf31 | 275 | WP_042159111.1 | 95/96 | Putative aminoacid ABC transporter |
| orf32 | 219 | WP_085927844.1 | 99/99 | 2-dehydro-3-deoxy-phosphogluconate aldolase |
© 2018 by the authors. Licensee MDPI, Basel, Switzerland. This article is an open access article distributed under the terms and conditions of the Creative Commons Attribution (CC BY) license (http://creativecommons.org/licenses/by/4.0/).
Share and Cite
García-Salcedo, R.; Álvarez-Álvarez, R.; Olano, C.; Cañedo, L.; Braña, A.F.; Méndez, C.; De la Calle, F.; Salas, J.A. Characterization of the Jomthonic Acids Biosynthesis Pathway and Isolation of Novel Analogues in Streptomyces caniferus GUA-06-05-006A. Mar. Drugs 2018, 16, 259. https://doi.org/10.3390/md16080259
García-Salcedo R, Álvarez-Álvarez R, Olano C, Cañedo L, Braña AF, Méndez C, De la Calle F, Salas JA. Characterization of the Jomthonic Acids Biosynthesis Pathway and Isolation of Novel Analogues in Streptomyces caniferus GUA-06-05-006A. Marine Drugs. 2018; 16(8):259. https://doi.org/10.3390/md16080259
Chicago/Turabian StyleGarcía-Salcedo, Raúl, Rubén Álvarez-Álvarez, Carlos Olano, Librada Cañedo, Alfredo F. Braña, Carmen Méndez, Fernando De la Calle, and José A. Salas. 2018. "Characterization of the Jomthonic Acids Biosynthesis Pathway and Isolation of Novel Analogues in Streptomyces caniferus GUA-06-05-006A" Marine Drugs 16, no. 8: 259. https://doi.org/10.3390/md16080259
APA StyleGarcía-Salcedo, R., Álvarez-Álvarez, R., Olano, C., Cañedo, L., Braña, A. F., Méndez, C., De la Calle, F., & Salas, J. A. (2018). Characterization of the Jomthonic Acids Biosynthesis Pathway and Isolation of Novel Analogues in Streptomyces caniferus GUA-06-05-006A. Marine Drugs, 16(8), 259. https://doi.org/10.3390/md16080259

