Abstract
The first total synthesis of the marine bromotyrosine purpurealidin I (1) using trifluoroacetoxy protection group and its dimethylated analog (29) is reported along with 16 simplified bromotyrosine derivatives lacking the tyramine moiety. Their cytotoxicity was evaluated against the human malignant melanoma cell line (A-375) and normal skin fibroblast cells (Hs27) together with 33 purpurealidin-inspired simplified amides, and the structure–activity relationships were investigated. The synthesized simplified analogs without the tyramine part retained the cytotoxic activity. Purpurealidin I (1) showed no selectivity but its simplified pyridin-2-yl derivative (36) had the best improvement in selectivity (Selectivity index 4.1). This shows that the marine bromotyrosines are promising scaffolds for developing cytotoxic agents and the full understanding of the elements of their SAR and improving the selectivity requires further optimization of simplified bromotyrosine derivatives.
1. Introduction
Globally, cancer is the second leading cause of death and in 2018 it is estimated to lead to 9.6 million deaths [] and malignant melanoma is one of the most life-threatening cancers due to resistance to most therapies []. While prevention is important, there is a continuous need for novel treatments. The marine environment provides a potential source for discovering new drug lead molecules, especially against cancer. So far, four medicinal products originating from marine ecosystems have been registered for the treatment of different kinds of cancer such as leukemia, metastatic breast cancer, and ovarian cancer [,].
Bromotyrosines are a large and structurally diverse group of bromine-containing marine alkaloids which have shown a variety of biological functions including antimicrobial, antiviral, antifungal and in particular, anticancer activity [,,,] Bromotyrosines are mainly isolated from the marine sponges of the order Verongida. For representative articles about secondary metabolites of Verongida order, see, for example, Fattorusso group’s work [,].
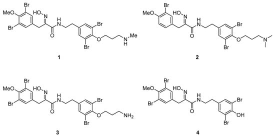
Purpurealidin I (1; Figure 1) together with several other bromotyrosines have been isolated from the Indian sea sponge Pseudoceratina (Psammaplysilla) purpurea []. Structurally similar aplysamine 2 (2) was isolated from the Australian marine sponge, Aplysina sp. []. Purpurealidin I (1) has been found to be cytotoxic when tested against various cancer cell lines (ovarian cancer A2780S and cisplatin-resistant variant A2780CP (SCP5), non-small cell lung cancer A549, human breast cancer MCF7 and glioma U251MG cells), as well as non-cancer cell line NIH3T3 (normal mouse fibroblasts) []. Two other bromotyrosines aplysamine 4 (3) [] and JBIR-44 (4) [] were isolated from P. purpurea and have been tested against human cervical carcinoma HeLa cells []. A comparably strong cytotoxic effect was observed and there was no difference between the compounds with a longer or shorter alkyl chain attached to the tyramine part. This presents the opportunity for the design of simplified analogs of marine bromotyrosines as the long alkyl chain does not seem to be essential for cytotoxicity. In our previous studies, simplified amide-linked bromotyrosines inspired by purpurealidin I (1) displayed good Kv10.1 channel inhibition []. Kv10.1 potassium channel regulates many fundamental functions in a cell, for example cell cycle progression and cellular proliferation []. We report here the total synthesis of the marine natural product purpurealidin I (1) and a related tetrabrominated analog of aplysamine 2 (2; also, a dimethyl analog of 1). Medicinal chemistry strategies to simplify their structures are also outlined. Furthermore, we have evaluated these compounds for selective cytotoxic effects to skin cancer cells and discussed their structure-activity relationships.

Figure 1.
Bromotyrosines purpurealidin I (1), aplysamine 2 (2), aplysamine 4 (3) and JBIR-44 (4).
2. Results
2.1. Chemistry
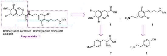
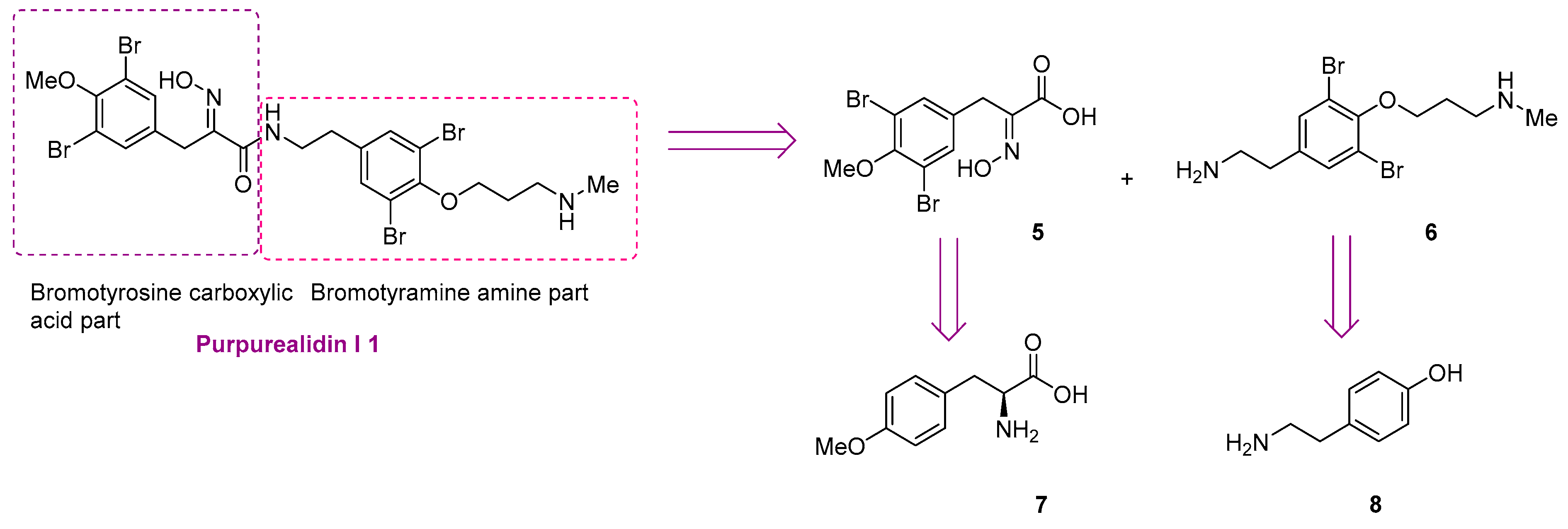
The purpurealidin I (1) skeleton can be viewed as a secondary amide. The retrosynthetic pathway (Scheme 1) illustrated that the synthesis of the bromotyrosine carboxylic acid part could be initiated from O-methyltyrosine (7) and the corresponding amine part from tyramine (8).

Scheme 1.
Retrosynthetic route to purpurealidin I (1).
For the synthesis of the bromotyrosine carboxylic acid moiety, commercially available O-methyltyrosine (7) was brominated [] and subjected to an esterification reaction with SOCl2 in MeOH. The ester (10) was converted to oxime (11) using sodium tungstate and hydrogen peroxide, following a literature procedure (Scheme 2) [,,,]. The corresponding carboxylic acid subunit (5) was then synthesized via the LiOH-mediated hydrolysis of methyl ester (11) in 90% yield (See the Supplementary Information for the experimental details).

Scheme 2.
Synthesis of the bromotyrosine carboxylic acid part (5) [] for the first amide coupling attempts.
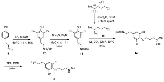
The first attempts of amide coupling were made using the free primary amine (6) (Scheme 3). Tyramine (8) underwent bromination followed by N-Boc protection to give (13) [,,,,] which was then subjected to O-alkylation with Boc-protected 3-chloro-N-methylpropan-1-amine (15) [] to give (14) in 83% yield. The trifluoroacetic acid (TFA)-mediated Boc deprotection of (14) gave the diamine (6) in quantitative yield.

Scheme 3.
Synthesis of the tyramine derivative (6) for use in the first amide coupling approach.
The direct coupling of compounds (5) and (6) with 1-ethyl-3-(3-dimethylaminopropyl)carbodiimide (EDC) was unsuccessful. This was likely due to the interfering free hydroxy group within (5). A condensation reaction of ester (11) with compound (6) also proved unsuccessful. Several alternative coupling conditions were tried (Supplementary Information, Table S1) Unfortunately, each resulted in the formation of inseparable mixtures with poor yields of the desired product, purpurealidin I (1), as determined by 1H NMR and LC-MS analyses. After several additional approaches proved unsuccessful (data not shown), trifluoroacetyl was found to be a suitable protecting group for the secondary amine (Scheme 4). The Boc-protected bromo tyramine (13) was O-alkylated with (18) to produce (16). Treatment of (16) with TFA led to the selective Boc deprotection and led to the formation of the desired target amine (17) in 77% overall yield [].

Scheme 4.
Synthesis of trifluoroacetyl protected tyramine part (17) [] for the purpurealidin I (1) synthesis.
An initial attempt to synthesize the immediate precursor of purpurealidin I (1) by direct condensation of (17) with hydroxylamine ester (11) was unsuccessful. This was likely due to the presence of the hydroxylamino moiety. We then decided to introduce the free hydroxylamino group after the amide coupling. The bromotyrosine carboxylic acid fragment (22a) was prepared via the Erlenmeyer–Plöchl azlactone method (Scheme 5) in 84% overall yield [,]. This procedure was also used for the preparation of the carboxylic acid fragments (22b–d) in the mono-brominated, mono-chlorinated and non-halogenated simplified derivatives (41–45). Reddy et al. have reported the synthesis of methyl carbamate containing bromotyrosine purpuramine K leaving the tetrahydropyranyl (THP) group to the molecule [].

Scheme 5.
Synthesis of the purpurealidin I (1) carboxylic part (22a) and a route to the simplified hydroxyimino propanamides (24a–d), R3 substituents are given in Table 1.
The synthesis of purpurealidin I (1), began with the bromination of p-hydroxybenzaldehyde, followed by methylation to give (19a). The requisite azlactone (20a) was then prepared by the condensation of (19a) with N-acetylglycine (Scheme 5) and subjecting the resulting product to hydrolysis using a 10% aqueous solution of HCl to give pyruvic acid (21a). Compound (21a) was then converted into the THP-protected oxime (22a) by reaction with O-(tetrahydropyran-2-yl)-hydroxylamine (THPONH2). The crude oxime was then subjected to EDC coupling with (17) under microwave conditions to produce (26) in a moderate yield (56%; Scheme 6). The THP group was removed with a 2 M solution of HCl in Et2O to give the free oxime (28). Trifluoroacetyl mediated deprotection of (28) using MeOH/K2CO3 resulted in purpurealidin I (1) in an overall yield of 12% (11 steps). The aplysamine 2 tetrabromo derivative (29), with a dimethylamino moiety at the tyramine fragment, was synthesized using purpurealidin E (25) [,] in the coupling with (22a) (Scheme 6).

Scheme 6.
Synthesis of purpurealidin I (1) and aplysamine 2 analog (29).
The simplified derivatives of purpurealidin I (1) were prepared in an analogous manner (Scheme 5) with the appropriate anilines and benzylamines (Table 1) followed by THP deprotection. The yields of the amide couplings ranged from 19–87%. The THP deprotection was achieved using TFA for the various simplified derivatives of (1), as heating with 2 M HCl in Et2O proved sluggish. Several different conditions were attempted in the synthesis of compound (31) (see Experimental Section 4.1.2). After purification on silica gel, the yields of the final hydroxyimino propanamides (30–45) ranged from 13–50%.

Table 1.
Structures of final hydroxyimino propanamides (30–45) from the Scheme 5. The corresponding THP-ethers (23a–d) are found in the Experimental part (Section 4.1.2) numbered as 30-THP–45-THP.
Before finalizing the purpurealidin I (1) synthesis, several synthetically simpler amide analogs containing the tyramine fragment and a series of compounds with substituted phenyl rings (Ar in Table 2) instead of the bromotyrosine part were synthesized and screened. The synthesis of these simplified amide derivatives (46–78) (Table 2) have previously been reported by our group [].

Table 2.
Structures of final amide compounds (46–78) [].
2.2. Stereochemistry
It has previously been reported that the configuration of the N-oxime can be determined by analysis of the 13C NMR C-8 carbon shifts, which are known to be approximately 26–30 ppm (E configuration) or over 35 ppm (Z configuration) []. The reported X-ray structure of a disulfide-bridged psammaplin A analog supported this observation []. We, therefore, expect the stereochemistry of all bromotyrosines synthesized herein to be E, since the benzylic C-8 shifts in 13C NMR were around 28 ppm. This was supported by the crystal structure of pyridin-2-yl analog (36), which was determined by the single crystal X-ray diffraction (Figure 2; see Supplementary Information for experimental details and crystallographic data). An intramolecular hydrogen bond between the secondary amide hydrogen atom H2 and the lone electron pair of oxime nitrogen atom N1 could explain the observed E geometry of the oxime.

Figure 2.
ORTEP representation (50% probability ellipsoids) of the molecular structure of (36). The CHCl3 molecule as a packing solvent has been omitted for clarity.
2.3. Biological Activity
The cytotoxicity of the synthetic purpurealidin I (1) and compounds (29–78) against cancer cells was primarily evaluated in human malignant melanoma A-375 cell line at the single concentration of 50 µM (Table 3). The compounds demonstrating over 80% cytotoxicity were selected for confirmatory dose-response experiments in the same cell line, and CC50 (cytotoxic concentration that caused death of 50% cells) was calculated (Table 3). We furthermore aimed to evaluate the potential of the compounds to selectively perturb the growth of cancer cells. Therefore, the compounds with the highest cytotoxic activities (CC50 below 15 µM) were studied for cytotoxicity in normal human fibroblast cell line Hs27 (Table 3). The degree of selectivity towards cancer cells can be expressed by selectivity index (SI). High values show selectivity towards cancer cells, while values <2 suggest general cytotoxicity of the compound []. Camptothecin, a naturally occurring alkaloid with known high selectivity to cancer cells (SI 92.3, Table 3) was used as a positive control. Most of the compounds demonstrated general cytotoxicity (SI < 2, Table 3). The highest selectivity to cancer cells (SI 4.1, Table 3) was shown for the compound (36).

Table 3.
Cytotoxicity of purpurealidin I (1) and compounds (29–78) against human malignant melanoma cell line (A-375) and normal skin fibroblast cell line (Hs27). Camptothecin, a compound with high selectivity to cancer cells, was used as a positive control. The selectivity index of individual compounds was calculated as a ratio of CC50 in normal fibroblasts over CC50 in melanoma cells. CC50 = cytotoxic concentration that caused death of 50% cells. ND = not determined.
3. Discussion
SAR
The observed melanoma cell line activity for the compounds was in the range of 4–43 µM (CC50 in A-375 cells, Table 3). Both Purpurealidin I (1) and its dimethylated analog (29) showed cytotoxicity to melanoma cells (CC50 4.3 and 6.3 μM, respectively). Maintaining the hydroxylamine linker but replacing the longer tyramine fragment with the aniline moiety (e.g., (36) 4.7 μM) or benzyl amine with a one-carbon chain (e.g., (31) 12.4 μM) retained the activity. This indicates that the tyramine part is not essential for the activity. The cytotoxic activity of the pyridine derivatives with a hydroxyimino amide was found to be in the order of pyridin-2-yl (36) > pyridin-3-yl (37) > pyridin-4-yl (38). Furthermore, pyridin-3-yl methyl amide (39) retained the activity. Two bromine atoms in the tyrosine part seem to be essential for the cytotoxicity since the non-halogenated (44) or mono-halogenated (42 and 45) pyridin-2-yls were inactive. However, compound (41) with two mono-brominated p-methoxyphenyl rings showed activity even though the mono-brominated (42), with pyridin-2-yl group, was inactive. This may imply a different binding mode exists for this bis mono-brominated p-methoxyphenyl compound. However, both structural data of the binding sites and the mechanism of action are currently unknown, and cytotoxicity of these compounds cannot be accounted for.
The synthesis of the simplified amides with the tyramine end allowed for the more feasibly exploration of the aromatic substituents at the tyrosine part of the molecule. The CC50 (A-375 cells) values were retained with the best compounds, monomethylamino m-dichloro-p-methoxy (65) (6.4 μM) and m-iodo-p-methoxy (74) (6.2 μM). Non-halogenated amides in the tyrosine part (59) and (61) were also inactive, and o-bromo (46) or o-fluoro (57) substitution resulted in low activity. The CC50 values did not show a significant difference when compared the monomethylated amines at the end of the tyramine part to the dimethylated ones (e.g., CC50 in A-375 cells 6.2 μM for (74) and 8.4 μM for (73)). Replacement of the amino group in the tyramine end to isopropyl in compounds (49) and (52), as well as the addition of the morpholine moiety in (55) resulted in the loss of the activity.
Purpurealidin I (1) and its dimethylated analog (29) showed no selectivity in cytotoxicity between melanoma A-375 cell line and normal human fibroblast cell line Hs27 (SI 1.2 and 0.7, respectively, Table 3). Changing the linker from hydroxyimino amide to amide did not improve the selectivity, and different aromatic substitution on the tyrosine fragment also had no effect (SI’s varied between 0.5–1.3) However, when the longer tyramine part was replaced with directly attached aniline, some improvement in the selectivity was observed (1 SI 1.2 compared to 33 SI 2.0 or 36 SI 4.1). The pyridin-2-yl compound 36 displayed the best, albeit only moderate, selectivity (SI 4.1, Table 3).
4. Materials and Methods
4.1. Synthesis Experimental
4.1.1. General
All reactions were carried out using commercially available starting materials unless otherwise stated. The melting points were measured using a Stuart SMP40 automated melting point apparatus and are uncorrected. 1H NMR (300 MHz) and 13C NMR (75 MHz) spectra were measured in CDCl3, d6-DMSO, CD3OD, or d6-acetone at room temperature and were recorded on a Varian Mercury Plus 300 spectrometer or Bruker AV400 MHz NMR with smart probe. Chemical shifts (δ) are given in parts per million (ppm) relative to the 1H and 13C NMR reference solvent signals (CDCl3: 7.26 and 77.16 ppm; CD3OD: 3.31 and 49.00 ppm; d6-DMSO: 2.50 ppm and 39.52; d6-acetone: 2.05 and 29.84 ppm). Multiplicities are indicated by s (singlet), br s (broad singlet), d (doublet), dd (doublet of doublet), ddd (doublet of doublet of doublets), t (triplet), dt (doublet of triplets), q (quartet) and m (multiplet). The coupling constants J are quoted in Hertz (Hz). LC-MS and HRMS-spectra were recorded using a Waters Acquity UPLC®-system (Milford MA, USA) with Acquity UPLC® BEH C18 column (1.7 µm, 50 × 2.1 mm, Waters, Wexford, Ireland) with Waters Synapt G2 HDMS (Milford MA, USA) with the ESI (+), high resolution mode. The mobile phase consisted of H2O (A) and acetonitrile (B) both containing 0.1% HCOOH. Microwave synthesis were performed in sealed tubes using Biotage Initiator+ instrument equipped with an external IR sensor. The flash chromatography was performed with Biotage SP1 flash chromatography purification system with 254 nm UV-detector or Biotage Isolera™ Spektra Systems with 200–800 nm UV-detector using SNAP 10, 25, 50 or 100 g cartridges (Uppsala, Sweden). The TLC-plates were provided by Merck (Darmstadt, Germany, Silica gel 60-F254) and visualization of the amine compounds was done using ninhydrin staining and THP ethers with vanillin staining.
4.1.2. Experimental Procedures
General Procedure for the Formation of Azlactones
Aldehyde 19a–d, acetylglycine (1.5 equiv.) and anhyd. NaOAc (1.5 equiv.) were dissolved in Ac2O (10–15 mL) and the reaction mixture was stirred at 80 °C overnight. Afterwards, the reaction mixture was cooled to room temperature and poured into water (50 mL). The formed precipitate was filtered, washed with water (4 × 20 mL) and dried in vacuo. The obtained crude product 20a–d was used in the subsequent step without further purification.

4-(3,5-Dibromo-4-methoxybenzylidene)-2-methyloxazol-5(4H)-one (20a).
3,5-Dibromo-4-methoxybenzaldehyde 19a (1.57 g, 5.33 mmol) gave 20a as a grey solid (1.94 g, 97%). 1H NMR (400 MHz, CDCl3) δ 8.26 (s, 2H), 6.92 (s, 1H), 3.93 (s, 3H), 2.43 (s, 3H). 1H NMR is in accordance with the literature [].

4-(3-Bromo-4-methoxybenzylidene)-2-methyloxazol-5(4H)-one (20b).
3-Bromo-4-methoxybenzaldehyde 19b (2.00 g, 9.30 mmol) gave 20b as a yellow solid (2.70 g, 98%) 1H NMR (400 MHz, CDCl3) δ 8.43 (d, J = 2.1 Hz, 1H), 7.98–7.94 (m, 1H), 7.02 (s, 1H), 6.95 (d, J = 8.6 Hz, 1H), 3.96 (s, 3H), 2.41 (d, J = 0.7 Hz, 3H). 1H NMR is in accordance with the literature [].

4-(3-Chloro-4-methoxybenzylidene)-2-methyloxazol-5(4H)-one (20c).
3-Chloro-4-methoxybenzaldehyde 19c (2.43 g, 14.3 mmol) gave 20c as a yellow solid (2.66 g, 74%). 1H NMR (400 MHz, CDCl3) δ 8.28 (d, J = 2.1 Hz, 1H), 7.89 (dd, J = 8.6, 2.1 Hz, 1H), 7.02 (s, 1H), 6.98 (d, J = 8.6 Hz, 1H), 3.97 (s, 3H), 2.41 (s, 3H).

4-(4-Methoxybenzylidene)-2-methyloxazol-5(4H)-one (20d).
4-Methoxybenzaldehyde 19d (3.03 g, 22.3 mmol) gave 20d as a yellow solid (2.21 g, 46%). 1H NMR (400 MHz, CDCl3) δ 8.06 (d, J = 8.5 Hz, 2H), 7.11 (s, 1H), 6.96 (d, J = 8.9 Hz, 2H), 3.87 (s, 3H), 2.39 (s, 3H).
General Method for the Hydrolysis of Azlactones
Azlactone 20a–d was dissolved in a 10% solution of HCl in H2O (30 mL). A capillary tube was introduced in the flask to allow the reflux despite a solid layer forming while heating. The reaction mixture was refluxed overnight. The reaction mixture was cooled to room temperature and poured into cold water (2 × 10 mL). The resulting precipitate was filtered, washed with water (4 × 20 mL) and dried in vacuo. The obtained crude product 21a–d was used in the subsequent step without further purification.

3-(3,5-Dibromo-4-methoxyphenyl)-2-oxopropanoic acid (21a)
Azlactone 20a (1.74 g, 4.63 mmol) gave acid 21a as a yellowish solid (1.46 g, 89%). 1H NMR (400 MHz, d6-DMSO) δ 8.06 (s, 2H), 3.80 (s, 3H), 3.32 (s, 2H); 13C NMR (101 MHz, d6-DMSO) δ 165.7, 151.8, 143.3, 134.5, 132.9, 117.3, 106.1, 60.5. NMR showed the enol tautomer. 1H NMR is in accordance with the literature [].

3-(3-Bromo-4-methoxyphenyl)-2-oxopropanoic acid (21b)
Azlactone 20b (3.33 g, 9.11 mmol) gave 21b as a dark red solid (1.89 g, 79%). 1H NMR (400 MHz, d6-DMSO) δ 9.26 (bs, 1H), 8.10 (d, J = 2.1 Hz, 1H), 7.69–7.64 (m, 1H), 7.10 (d, J = 8.7 Hz, 1H), 6.35 (s, 1H), 3.85 (s, 3H). NMR showed the enol tautomer. 1H NMR is in accordance with the literature [].

3-(3-Chloro-4-methoxyphenyl)-2-oxopropanoic acid (21c)
Azlactone 20c (2.66 g, 10.6 mmol) gave 21c as a brown solid (1.92 g, 79%). 1H NMR (400 MHz, CD3OD) δ 7.91 (d, J = 2.1 Hz, 1H), 7.59 (ddd, J = 8.6, 2.1, 0.5 Hz, 1H), 7.03 (d, J = 8.7 Hz, 1H), 6.40 (s, 1H), 3.89 (s, 3H). NMR showed the enol tautomer.

3-(4-Methoxyphenyl)-2-oxopropanoic acid (21d)
Azlactone 20d (2.21 g, 10.2 mmol) gave product 21d as a brown solid (1.78 g, 90%). 1H NMR (400 MHz, CDCl3) δ 7.75 (d, J = 8.7 Hz, 2H), 6.92 (d, J = 8.9 Hz, 2H), 6.64 (s, 1H), 3.84 (s, 3H). NMR showed the enol tautomer. 1H NMR is in accordance with the literature [].
General Procedure for THP-Protection
Carboxylic acid 21a–d and THPONH2 (2 equiv.) were dissolved in dry ethanol (15–20 mL). The reaction mixture was stirred at room temperature for 18–48 h under argon atmosphere. The reaction mixture was concentrated under reduced pressure and then EtOAc (20 mL) was added to the residue. The organic layer was washed with a 2 M solution of HCl in H2O (2 × 20 mL). The aqueous layer was extracted back with EtOAc (2 × 10 mL). The combined organic layers were dried over Na2SO4, filtered and concentrated in vacuo. The obtained crude product 22a–d was used in the subsequent step without further purification.

(E)-3-(3,5-Dibromo-4-methoxyphenyl)-2-[[(tetrahydro-2H-pyran-2-yl)oxy]imino]propanoic acid (22a)
Carboxylic acid 21a (1.16 g, 3.30 mmol) and THPONH2 (0.97 g, 8.3 mmol, 2 equiv.) were used. The product was purified by column chromatography, Biotage SNAP Cartridge KP-Sil 25 g, gradient elution: (DCM/MeOH, 0→10%) to give 22a as a yellow oil (1.44 g, 97%). 1H NMR (400 MHz, CDCl3) δ 7.48 (s, 2H), 5.50–5.41 (m, 1H), 3.95–3.88 (m, 2H), 3.84 (s, 3H), 3.69–3.54 (m, 2H), 1.93–1.83 (m, 2H), 1.77–1.65 (m, 2H), 1.64–1.58 (m, 2H). 13C NMR (101 MHz, CDCl3) δ 163.7, 163.3, 153.2, 149.9, 133.6, 118.2, 102.2, 62.4, 60.8, 29.6, 28.1, 24.9, 18.6.

(E)-3-(3-Bromo-4-methoxyphenyl)-2-[[(tetrahydro-2H-pyran-2-yl)oxy]imino]propanoic acid (22b)
Carboxylic acid 21b (2.00 g, 7.32 mmol) and THPONH2 (1.71 g, 14.6 mmol, 2 equiv.) were used. 22b was obtained as an oil (2.74 g, quant.). 1H NMR (400 MHz, CDCl3) δ 7.54 (d, J = 2.2 Hz, 1H), 7.23 (dd, J = 2.2, 8.5 Hz, 1H), 6.81 (d, J = 8.5 Hz, 1H), 5.46 (d, J = 3.1 Hz, 1H), 3.94–3.87 (m, 2H), 3.86 (s, 3H), 3.69–3.65 (m, 2H), 1.91–1.81 (m, 2H), 1.76–1.66 (m, 2H), 1.65–1.56 (m, 2H).

(E)-3-(3-Chloro-4-methoxyphenyl)-2-[[(tetrahydro-2H-pyran-2-yl)oxy]imino]propanoic acid (22c)
Carboxylic acid 21c (1.86 g, 8.13 mmol) and THPONH2 (1.90 g, 16.3 mmol, 2 equiv.) were used. 22c was obtained as a yellow oil (3.05 g, quant). 1H NMR (400 MHz, CDCl3) δ 7.36 (d, J = 2.2 Hz, 1H), 7.18 (dd, J = 8.4, 2.2 Hz, 1H), 6.84 (d, J = 8.4 Hz, 1H), 5.47 (d, J = 3.1 Hz, 1H), 3.87 (s, 3H), 3.86 (s, 2H), 3.63 (dd, J = 7.6, 3.4 Hz, 2H), 1.91–1.82 (m, 2H), 1.77–1.66 (m, 2H), 1.65–1.52 (m, 2H).

(E)-3-(4-Methoxyphenyl)-2-[[(tetrahydro-2H-pyran-2-yl)oxy]imino]propanoic acid (22d)
Carboxylic acid 21d (1.73 g, 7.98 mmol) and THPONH2 (1.87 g, 16.0 mmol, 2 equiv.) were used. 22d was obtained as a yellow oil (2.78 g, quant). 1H NMR (400 MHz, CDCl3) δ 7.23 (d, J = 8.7 Hz, 2H), 6.81 (d, J = 8.7 Hz, 2H), 5.47–5.43 (t, 1H), 3.87 (s, 2H), 3.76 (s, 3H), 3.67–3.59 (m, 2H), 1.93–1.80 (m, 2H), 1.72–1.65 (m, 2H), 1.60–1.51 (m, 2H).

(E)-N-[3,5-Dibromo-4-[3-(2,2,2-trifluoro-N-methylacetamido)propoxy]phenethyl]-3-(3,5-dibromo-4-methoxyphenyl)-2-[[(tetrahydro-2H-pyran-2-yl)oxy]imino]propanamide (26)
A 20 mL Biotage MW tube was charged with carboxylic acid 22a (0.24 g, 0.53 mmol), amine 17 [] (0.25 g, 0.53 mmol), EDC·HCl (0.15 g, 0.79 mmol, 1.5 equiv.), HOBt (0.11 g, 0.79 mmol, 1.5 equiv.), DIPEA (0.10 g, 0.79 mmol, 1.5 equiv.) and dry DCM (15 mL). The reaction was MW irradiated for 2 h at 60 °C (5 bar). The reaction mixture was diluted with DCM (25 mL), washed with water (2 × 15 mL) and a 1 M solution of HCl in H2O (15 mL). The organic layer was dried over Na2SO4 and concentrated in vacuo. The crude product was purified by flash chromatography twice, 25 g, gradient elution: (heptane/EtOAc, 0→40%) to 23 as a pale yellow viscous liquid (0.16 g, 34%). 1H NMR (400 MHz, CDCl3) δ 7.50 (s, 2H), 7.34 and 7.33 (2 s, 2H, rotamers ratio 2:1), 6.92 (t, J = 6.2 Hz, 1H), 5.38 (t, J = 2.8 Hz, 1H), 4.06–4.00 (m, 2H), 3.93 (d, J = 13.1 Hz, 1H), 3.84 (s, 3H), 3.83 (d, J = 13.1 Hz, 1H), 3.80–3.72 (m, 2H), 3.65–3.54 (m, 3H), 3.43 (ddt, J = 12.9, 8.2, 6.6 Hz, 1H), 3.23 (m) and 3.11 (m) N-CH3 rotamers 2:1, 2.77 (td, J = 7.3, 1.7 Hz, 2H), 2.23–2.09 (m, 2H), 1.89–1.54 (m, 6H).

(E)-N-[3,5-Dibromo-4-[3-(2,2,2-trifluoro-N-methylacetamido)propoxy]phenethyl]-3-(3,5-dibromo-4-methoxyphenyl)-2-(hydroxyimino)propanamide (28)
THP ether 26 (0.14 g, 0.16 mmol), a 2 M solution of HCl in Et2O (4 mL), dry DCM (4 mL) and dry MeOH (0.3 mL) were added to a 20-mL sealed tube and heated in an oil bath at 70 °C for 3 h. The reaction mixture was then concentrated in vacuo. The crude product was purified by column chromatography, Biotage SNAP Cartridge KP-Sil 10 g, gradient elution: (heptane/EtOAc, 0→30%) to give 28 as a pale yellow viscous liquid (0.068 g, 54%). 1H NMR (400 MHz, CD3OD) δ 7.48 (s, 2H), 7.43 and 7.42 (2 s, 2H, rotamers ratio 2:1), 4.00 (t, J = 6.0 Hz, 2H), 3.82 (m, 5H), 3.78–3.70 (m, 2H), 3.44 (t, J = 7.1 Hz, 2H), 3.24 (q) and 3.10 (m) N-CH3 rotamers 2:1, 2.76 (t, J = 7.1 Hz, 2H), 2.25–2.08 (m, 2H).

(E)-N-[3,5-Dibromo-4-[3-(methylamino)propoxy]phenethyl]-3-(3,5-dibromo-4-methoxyphenyl)-2-(hydroxyimino)propenamide, purpurealidin I, (1)
Compound 28 (0.050 g, 0.062 mmol) and K2CO3 (0.018 g, 0.12 mmol, 2.0 equiv.) in MeOH (5 mL) and H2O (0.5 mL) were refluxed for 2.5 h. The reaction mixture was concentrated in vacuo and partitioned between EtOAc (10 mL) and water (4 mL). The aqueous layer was back-extracted with EtOAc (10 mL). The combined organic layers ware dried over Na2SO4, filtered and the solvent was removed in vacuo to give 1, as a pale yellow viscous liquid (0.040 -g, 91%). 1H NMR (300 MHz, CDCl3) δ 7.49 (s, 2H), 7.26 (s, 2H), 4.16–4.11 (m, 2H), 3.84–3.83 (m, 5H), 3.42–3.35 (m, 2H), 2.93 (t, J = 7.2 Hz, 2H), 2.71 (t, J = 6.9 Hz, 2H), 2.53 (s, 3H), 2.09–2.00 (m, 2H). 13C NMR (75 MHz, CDCl3) δ 163.6, 152.5, 151.3, 150.4, 138.2, 135.9, 133.5, 133.0, 118.3, 117.8, 71.8, 60.7, 49.0, 40.0, 35.5, 34.3, 29.0, 28.0. HRMS (ESI+): calcd. for C22H26N3O4Br4 [M + H]+, 711.8657; found, 711.8660.

(E)-N-[3,5-Dibromo-4-[3-(dimethylamino)propoxy]phenethyl]-3-(3,5-dibromo-4-methoxyphenyl)-2-[[(tetrahydro-2H-pyran-2-yl)oxy]imino]propanamide (27)
A 20-mL Biotage MW tube was charged with purpurealidin E 25 [,] (0.17 g, 0.44 mmol), carboxylic acid 22a (0.20 g, 0.44 mmol), EDC·HCl (0.13 g, 0.66 mmol, 1.5 equiv.), HOBt (0.10 g, 0.66 mmol, 1.2 equiv.), DIPEA (0.12 mL, 0.66 mmol, 1.2 equiv.) and dry DCM (15 mL). The tube was sealed and microwave irradiated at 60 °C for 5 h. The reaction mixture was diluted with DCM (10 mL) and washed with water (2 × 15 mL), a 1 M solution of HCl in H2O (15 mL) and brine (15 mL). The organic phase was dried over Na2SO4 (anhyd.), filtered and volatiles were removed in vacuo. The crude product was purified by column chromatography, Biotage SNAP Cartridge KP-Sil 25 g, isocratic elution: (DCM/MeOH, 7:3) to give 27 as a yellow oil (0.30 g, 83%). 1H NMR (400 MHz, CDCl3) δ 7.48 (s, 2H), 7.31 (s, 2H), 6.94 (t, J = 6.2 Hz, 1H), 5.36 (t, J = 2.8 Hz, 1H), 4.03 (t, J = 5.7 Hz, 2H), 3.89 (s, 1H), 3.82 (s, 3H), 3.58 (dd, J = 4.9, 8.1 Hz, 3H), 3.42 (m, 1H), 3.23–3.10 (m, 2H), 2.75 (t, J = 7.3 Hz, 2H), 2.69 (s, 6H), 2.29 (m, 2H), 1.89–1.59 (m, 6H).

(E)-N-[3,5-Dibromo-4-[3-(dimethylamino)propoxy]phenethyl]-3-(3,5-dibromo-4-methoxyphenyl)-2-(hydroxyimino)propanamide (29)
THP ether 27 (0.30 g, 0.36 mmol) was dissolved to dry DCM (7 mL), and TFA (3 mL) was added under argon atmosphere. The reaction mixture was stirred at room temperature for 17 h. It was then diluted by adding DCM (10 mL) and washed with a 2 M solution of NaOH in H2O (15 mL) and water (15 mL) until pH was neutral. The aqueous phase was back extracted with DCM (10 mL) and the combined organic phase was dried over Na2SO4, filtered and concentrated in vacuo to give crude product (0.21 g, 80%). The crude product was purified by column chromatography, Biotage SNAP Cartridge KP-Sil 25 g, gradient elution: (DCM/MeOH, 2→20%) to give 29 as a yellow oil (0.074 g, 28%). 1H NMR (400 MHz, CD3OD) δ 7.48 (s, 2H), 7.43 (s, 2H), 4.02 (t, J = 5.9 Hz, 2H), 3.82 (s, 3H), 3.44 (dd, J = 6.7, 7.6 Hz, 2H), 3.35 (s, 2H), 3.15–2.98 (m, 2H), 2.85–2.69 (m, 2H), 2.64 (s, 6H), 2.15 (dq, J = 5.8, 7.7 Hz, 2H). 13C NMR (101 MHz, CD3OD) δ 165.4, 153.8, 152.5, 152.1, 140.0, 137.4, 134.5, 134.4, 118.8, 118.6, 71.8, 61.0, 57.3, 44.6, 41.4, 35.2, 28.8, 27.7. HRMS (ESI+): calcd. for C23H27Br4N3O4 [M+H]+ 725.8813, found: 725.8809.
General Method for the Amide Coupling
Carboxylic acid (0.20 g), aniline or amine (1–1.5 equiv.), EDC⋅HCl (1.5 equiv.), HOBt (1.5 equiv.), and DIPEA (1.5 equiv.) were dissolved in dry DCM (5 mL). The mixture was irradiated by microwaves for 2 h at 60 °C. The TLC indicated the completion of the reaction using vanillin as a visualization reagent. The reaction mixture was diluted with DCM (20 mL) and washed with water (2 × 15 mL) and a 2 M solution of HCl in H2O (2 × 15 mL). The organic layer was dried over anhyd. Na2SO4, filtered and concentrated in vacuo. The products were purified with flash column chromatography.

(E)-3-(3,5-Dibromo-4-methoxyphenyl)-N-(3,4-dichlorophenyl)-2-[[(tetrahydro-2H-pyran-2-yl)oxy]-imino]propanamide (30-THP)
Carboxylic acid 22a (0.20 g, 0.44 mmol) and 3,4-dichloroaniline (0.11 g, 0.67 mmol, 1.5 equiv.) were reacted according to the general procedure for amide coupling. The product was purified by column chromatography, Biotage SNAP Cartridge KP-Sil 25 g and Ultra 25 g, gradient elution: (heptane/EtOAc, 12→100%) to give 30-THP as a crude product (0.19 g, 73%). 1H NMR (400 MHz, CDCl3) δ 8.64 (s, 1H), 7.87 (d, J = 1.9 Hz, 1H), 7.52 (s, 2H), 7.41–7.38 (m, 2H), 5.49 (t, J = 2.6 Hz, 1H), 3.99 (d, J = 13.1 Hz, 1H), 3.89 (d, J = 13.1 Hz, 1H), 3.84 (s, 3H), 3.65–3.59 (m, 2H), 1.93–1.59 (m, 6H).

(E)-3-(3,5-Dibromo-4-methoxyphenyl)-N-(3,4-dichlorobenzyl)-2-[[(tetrahydro-2H-pyran-2-yl)oxy]-imino]propanamide (31-THP)
Carboxylic acid 22a (0.20 g, 0.44 mmol) and 3,4-dichlorobenzylamine (0.090 mL, 0.67 mmol, 1.5 equiv.) were reacted according to the general procedure for amide coupling. The product was purified by column chromatography, Biotage SNAP Cartridge KP-Sil 25 g, gradient elution: (heptane/EtOAc, 7→60%) to give 31-THP as a light yellow solid (0.23 g, 84%). 1H NMR (400 MHz, CDCl3) δ 7.50 (s, 2H), 7.39 (d, J = 8.2 Hz, 1H), 7.37 (d, J = 2.0 Hz, 1H), 7.19 (t, J = 5.9 Hz, 1H), 7.12 (dd, J = 2.1, 8.2 Hz, 1H), 5.38 (s, 1H), 4.54 (dd, J = 6.7, 15.2 Hz, 1H), 4.35 (dd, J = 5.8, 15.2 Hz, 1H), 3.95 (d, J = 13.1 Hz, 1H), 3.85 (d, 13.1 Hz, 1H), 3.84 (s, 1H), 3.61–3.55 (m, 2H), 1.87–1.56 (m, 6H).

(E)-N-[4-Chloro-3-(trifluoromethyl)phenyl]-3-(3,5-dibromo-4-methoxyphenyl)-2-[[(tetrahydro-2H-pyran-2-yl)oxy]imino]propanamide (32-THP)
Carboxylic acid 22a (0.19 g, 0.42 mmol) and 4-chloro-3-(trifluoromethyl)aniline (0.12 g, 0.63 mmol, 1.5 equiv.) were reacted according to the general procedure for amide coupling. The product was purified by column chromatography, Biotage SNAP Cartridge KP-Sil 25 g, gradient elution: (heptane/EtOAc, 7→60%). to give 32-THP as an oil (0.19 g, 72%). 1H NMR (400 MHz, CDCl3) δ 8.73 (s, 1H), 7.95 (d, J = 2.6 Hz, 1H), 7.79 (dd, J = 2.6, 8.7 Hz, 1H), 7.52 (s, 2H), 7.46 (d, J = 8.8 Hz, 1H), 5.50 (t, J = 2.7 Hz, 1H), 4.00 (d, J = 13.2 Hz, 1H), 3.90 (d, J = 13.2 Hz, 1H), 3.84 (s, 3H), 3.66–3.59 (m, 2H), 1.95–1.66 (m, 6H).

(E)-N-(3-Chloro-4-methoxyphenyl)-3-(3,5-dibromo-4-methoxyphenyl)-2-[[(tetrahydro-2H-pyran-2-yl)oxy]imino]propanamide (33-THP)
Carboxylic acid 22a (0.20 g, 0.44 mmol) and 3-chloro-4-methoxyaniline (0.11 g, 0.67 mmol, 1.5 equiv.) were reacted according to the general procedure for amide coupling. The product was purified by column chromatography, Biotage SNAP Cartridge KP-Sil 25 g, gradient elution: (hexane/EtOAc, 7→60%) to give 33-THP as a light yellow solid (0.20 g, 77%). 1H NMR (400 MHz, CDCl3) δ 8.51 (s, 1H), 7.70 (d, J = 2.6 Hz, 1H), 7.53 (s, 2H), 7.44 (dd, J = 2.6, 8.9 Hz, 1H), 6.89 (d, J = 8.9 Hz, 1H), 5.50–5.46 (m, 1H), 3.99 (d, J = 13.2 Hz, 1H), 3.89 (d, J = 13.2 Hz, 1H), 3.89 (s, 3H), 3.84 (s, 3H), 3.65–3.60 (m, 2H), 1.92–1.66 (m, 6H).

(E)-N-(3-Bromo-4-methoxyphenyl)-3-(3,5-dibromo-4-methoxyphenyl)-2-[[(tetrahydro-2H-pyran-2-yl)oxy]imino]propanamide (34-THP)
Carboxylic acid 22a (0.20 g, 0.44 mmol) and 3-bromo-4-methoxyaniline (0.13 g, 0.67 mmol, 1.5 equiv.) were reacted according to the general procedure for amide coupling. The product was purified by column chromatography, Biotage SNAP Cartridge KP-Sil 25 g, gradient elution: (heptane/EtOAc, 7→60%) to give 34-THP as a light yellow solid (0.20 g, 71%). 1H NMR (400 MHz, CDCl3) δ 8.51 (s, 1H), 7.85 (d, J = 2.6 Hz, 1H), 7.53 (s, 2H), 7.51 (dd, J = 2.6, 8.9 Hz, 1H), 6.86 (d, J = 8.9 Hz, 1H), 5.47 (d, J = 2.9 Hz, 1H), 3.99 (d, J = 13.1 Hz, 1H), 3.92–3.87 (m, 4H), 3.84 (s, 3H), 3.65–3.60 (m, 2H), 1.91–1.66 (m, 6H).

(E)-3-(3,5-Dibromo-4-methoxyphenyl)-N-(3,5-dichlorophenyl)-2-[[(tetrahydro-2H-pyran-2-yl)oxy]-imino]propenamide (35-THP)
Carboxylic acid 22a (0.20 g, 0.44 mmol) and 3,5-dichloroaniline (0.11 g, 0.67 mmol, 1.5 equiv.) were reacted according to the general procedure for amide coupling. The product was purified by column chromatography, Biotage SNAP Cartridge KP-Sil 25 g and SNAP KP-NH 11g, gradient elution: (heptane/EtOAc, 7→60%). to give 35-THP as a yellow oil (0.18 g, 69%). 1H NMR (400 MHz, CDCl3) δ 8.64 (s, 1H), 7.58 (d, J = 1.8 Hz, 2H), 7.52 (s, 2H), 7.12 (t, J = 1.8 Hz, 1H), 5.48 (t, J = 2.7 Hz, 1H), 3.98 (d, J = 13.2 Hz, 1H), 3.88 (d, J = 13.2 Hz, 1H) 3.84 (s, 3H), 3.65–3.59 (m, 2H), 1.92–1.66 (m, 6H).

(E)-3-(3,5-Dibromo-4-methoxyphenyl)-N-(pyridin-2-yl)-2-[[(tetrahydro-2H-pyran-2-yl)oxy]imino] propanamide (36-THP)
Carboxylic acid 22a (0.20 g, 0.44 mmol) and 2-aminopyridine (0.063 g, 0.67 mmol, 1.5 equiv.) were reacted according to the general procedure for amide coupling. The product was purified by column chromatography, Biotage SNAP Cartridge KP-Sil 25 g, gradient elution: (hexane/EtOAc, 12→60%) to give 36-THP as a light yellow solid (0.11 g, 45%). 1H NMR (400 MHz, CDCl3) δ 9.26 (s, 1H), 8.32–8.28 (m, 1H), 8.24 (d, J = 8.4 Hz, 1H), 7.76–7.70 (m, 1H), 7.53 (s, 2H), 7.06 (ddd, J = 0.8, 4.9, 7.3 Hz, 1H), 5.47 (t, J = 2.9 Hz, 1H), 3.99 (d, J = 13.2 Hz, 1H), 3.89 (d, J = 13.2 Hz, 1H), 3.83 (s, 3H), 3.64–3,61 (m, 2H), 1.91–1.64 (m, 6H). 13C NMR (100 MHz, CDCl3) δ 160.5, 153.0, 151.8, 150.7, 148.1, 138.6, 134.6, 133.7, 120.2, 118.0, 114.2, 102.3, 62.5, 60.7, 28.8, 28.5, 25.1, 19.0. HRMS (ESI+): calculated 525.9977 (C20H22Br2N3O4), found 525.9972.

(E)-3-(3,5-Dibromo-4-methoxyphenyl)-N-(pyridin-3-yl)-2-[[(tetrahydro-2H-pyran-2-yl)oxy]imino] propanamide (37-THP)
Carboxylic acid 22a (0.42 g, 0.94 mmol), 3-aminopyridine (0.11 g, 1.12 mmol, 1.2 equiv.) were reacted according to the general procedure for amide coupling. The product was purified by column chromatography Biotage SNAP Cartridge KP-Sil 25 g eluent (DCM/MeOH (0→10%) gradient to give the product 37-THP as an oil (0.34 g, 68%). 1H NMR (400 MHz, CDCl3) δ 8.71 (d, J = 10.1 Hz, 1H), 8.38 (s, 1H), 8.20 (ddd, J = 1.4, 2.7, 8.4 Hz, 1H), 7.53 (s, 2H), 7.30 (dd, J = 4.6, 8.4 Hz, 1H), 5.51 (t, J = 2.9 Hz, 1H), 4.06–3.87 (m, 2H), 3.84 (s, 3H), 3.67–3.59 (m, 2H), 1.90–1.59 (m, 6H).

(E)-3-(3,5-Dibromo-4-methoxyphenyl)-N-(pyridin-4-yl)-2-[[(tetrahydro-2H-pyran-2-yl)oxy]imino] propanamide (38-THP)
Carboxylic acid 22a (0.20 g, 0.45 mmol) and 4-aminopyridine (0.040 g, 0.45 mmol) were reacted according to the general procedure for amide coupling. The product was purified by column chromatography Biotage SNAP Cartridge KP-Sil 10 g, eluent (DCM/MeOH, 0→10%) gradient to give the product 38-THP as an oil (0.049 g, 21%). 1H NMR (400 MHz, CDCl3) δ 8.55 (d, J = 5.6 Hz, 2H), 7.64 (d, J = 5.8 Hz, 2H), 7.52 (s, 2H), 5.51 (t, 1H), 4.04–3.86 (m, 2H), 3.84 (s, 3H), 3.66–3.59 (m, 2H), 1.85–1.60 (m, 6H).

(E)-3-(3,5-Dibromo-4-methoxyphenyl)-N-(pyridin-3-ylmethyl)-2-[[(tetrahydro-2H-pyran-2-yl)oxy]imino) propanamide (39-THP)
Carboxylic acid 22a (0.20 g, 0.44 mmol) and 3-picolylamine (0.068 mL, 0.67 mmol, 1.5 equiv.) were reacted according to the general procedure for amide coupling. The product was purified by column chromatography, Biotage SNAP Cartridge KP-Sil 25 g, gradient elution: (DCM/MeOH, 0→10%) to give 39-THP as an oil (0.20 g, 82%). 1H NMR (400 MHz, CDCl3) δ 8.55 (br, 2H), 7.63 (d, J = 7.8 Hz, 1H), 7.51 (s, 2H), 7.30–7.25 (m, 1H), 7.22 (t, J = 6.1 Hz, 1H), 5.36 (t, J = 2.4 Hz, 1H), 4.61 (dd, J = 6.6, 15.1 Hz, 1H), 4.44 (dd, J = 5.8, 15.1 Hz, 1H), 3.94 (d, J = 13.2 Hz, 1H), 3.88–3.81 (m, 4H), 3.60–3.55 (m, 2H), 1.88–1.62 (m, 6H).

(E)-3-(3,5-Dibromo-4-methoxyphenyl)-N-(4-(dimethylamino)phenyl)-2-[[(tetrahydro-2H-pyran-2-yl)oxy]imino]propanamide (40-THP)
Carboxylic acid 22a (0.22 g, 0.49 mmol and 4-(dimethylamino)aniline (0.060 g, 0.49 mmol) were reacted according to the general procedure for amide coupling. The product was purified by column chromatography, Biotage SNAP Cartridge KP-Sil 25 g, gradient elution: (EtOAc/MeOH, 0→20%) to give 40-THP as an oil (0.16 g, 56%). 1H NMR (400 MHz, CDCl3) δ 7.55 (s, 2H), 7.45 (d, J = 9.0 Hz, 2H), 6.72 (d, J = 8.5 Hz, 2H), 5.47 (t, 1H), 4.03-3.89 (m, 2H), 3.83 (s, 3H), 3.65–3.60 (m, 2H), 2.93 (s, 6H), 1.91–1.57 (m, 6H)

(E)-N,3-Bis(3-bromo-4-methoxyphenyl)-2-[[(tetrahydro-2H-pyran-2-yl)oxy]imino]propenamide (41-THP)
Carboxylic acid 22b (0.40 g, 1.07 mmol) and 3-bromo-4-methoxyaniline (0.12 g, 1.29 mmol, 1.2 equiv.) were reacted according to the general procedure for amide coupling. The product was purified by column chromatography Biotage SNAP Cartridge KP-Sil 25 g eluent (DCM/MeOH (0→10%) gradient to give 41-THP as an oil (0.43 g, 72%). 1H NMR (400 MHz, CDCl3) δ 8.54 (s, 1H), 7.86 (d, J = 2.6 Hz, 1H), 7.58 (d, J = 2.2 Hz, 1H), 7.49 (dd, J = 2.6, 8.9 Hz, 1H), 7.29 (dd, J = 2.2, 8.4 Hz, 1H), 6.85 (d, J = 8.9 Hz, 1H), 6.80 (d, J = 8.5 Hz, 1H), 5.46 (t, J = 2.8 Hz, 1H), 3.99 (d, J = 13.0 Hz, 1H), 3.91 (d, J = 13.0 Hz, 1H), 3.87 (s, 3H), 3.85 (s, 3H), 3.71–3.58 (m, 2H), 1.92–1.60 (m, 6H).

(E)-3-(3-Bromo-4-methoxyphenyl)-N-(pyridin-2-yl)-2-[[(tetrahydro-2H-pyran-2-yl)oxy]imino]propanamide (42-THP)
Carboxylic acid 22b (0.40 g, 1.07 mmol) and 2-aminopyridine (0.12 g, 1.29 mmol, 1.2 equiv.) were reacted according to the general procedure for amide coupling. The product was purified by column chromatography Biotage SNAP Cartridge KP-Sil 25 g eluent (DCM/MeOH (0→10%) gradient to give 42-THP as an oil (0.31 g, 64%). 1H NMR (400 MHz, CDCl3) δ 9.27 (s, 1H), 8.29 (ddd, J = 0.9, 2.0, 4.9 Hz, 1H), 8.23 (dt, J = 1.0, 8.4 Hz, 1H), 7.70 (ddd, J = 1.9, 7.4, 8.5 Hz, 1H), 7.57 (d, J = 2.2 Hz, 1H), 7.07–7.01 (m, 1H), 6.80 (d, J = 8.4 Hz, 1H), 5.47–5.44 (m, 1H), 3.99 (d, J = 13.1 Hz, 1H), 3.91 (d, J = 13.1 Hz, 1H), 3.84 (s, 3H), 3.68–3.60 (m, 2H), 1.90–-1.61 (m, 6H).

(E)-N-(3,4-Dichlorobenzyl)-3-(4-methoxyphenyl)-2-[[(tetrahydro-2H-pyran-2-yl)oxy]imino]propanamide (43-THP)
Carboxylic acid 22d (0.40 g, 1.36 mmol) and 3,4-dichlorobenzylamine (0.11 g, 1.12 mmol, 1.2 equiv.) were reacted according to the general procedure for amide coupling. 43-THP was obtained as light brown solid (0.54 g, 87%). 1H NMR (400 MHz CDCl3) δ 7.37 (d, J = 8.2 Hz, 1H), 7.34 (d, J = 2.1 Hz, 1H), 7.24 (s, 1H), 7.11–7.06 (m, 1H), 6.83–6.79 (m, 2H), 5.38–5.35 (m, 1H), 4.52 (dd, J = 6.7, 15.3 Hz, 1H), 4.34 (dd, J = 5.8, 15.2 Hz, 1H), 3.95 (d, J = 13.1 Hz, 1H), 3.85 (d, J = 13.1 Hz, 1H), 3.77 (s, 3H), 3.69–3.55 (m, 2H), 1.88–1.54 (m, 6H).

(E)-3-(4-Methoxyphenyl)-N-(pyridin-2-yl)-2-[[(tetrahydro-2H-pyran-2-yl)oxy]imino]propanamide (44-THP)
Carboxylic acid 22d (0.40 g, 1.37 mmol), 2-aminopyridine (0.13 g, 1.37 mmol) were reacted according to the general procedure for amide coupling. The product was purified by column chromatography Biotage SNAP Cartridge KP-Sil 25 g and 10 g, eluent (EtOAc/MeOH, 0→10%) gradient to give 44-THP as an oil (0.095 g, 19%). 1H NMR (400 MHz, CD3OD) δ 8.28 (ddd, J = 5.0, 1.9, 0.9 Hz, 1H), 8.18 (dt, J = 8.4, 1.0 Hz, 1H), 7.81 (ddd, J = 8.4, 7.4, 1.9 Hz, 1H), 7.25 (d, J = 8.8 Hz, 2H), 7.13 (ddd, J = 7.4, 5.0, 1.0 Hz, 1H), 6.83 (d, J = 8.8 Hz, 2H), 3.96-3.79 (m, 2H), 3.73 (s, 3H), 3.66–3.48 (m, 2H), 1.91–1.46 (m, 6H).

(E)-3-(3-Chloro-4-methoxyphenyl)-N-(pyridin-2-yl)-2-[[(tetrahydro-2H-pyran-2-yl)oxy]imino]propanamide (45-THP)
Carboxylic acid 22c (0.32 g, 0.98 mmol) and 2-aminopyridine (0.093 g, 0.98 mmol) were reacted according to the general procedure for amide coupling. The product was purified by column chromatography Biotage SNAP Cartridge KP-Sil 10 g, eluent (DCM/MeOH, 0→10%) gradient to give 45-THP as an oil (0.29 g, 74%). 1H NMR (400 MHz, CDCl3) δ 8.28 (ddd, J = 4.9, 1.9, 0.9 Hz, 1H), 8.24 (dt, J = 8.4, 1.0 Hz, 1H), 7.71 (ddd, J = 8.4, 7.4, 1.9 Hz, 1H), 7.40 (d, J = 2.2 Hz, 1H), 7.22 (dd, J = 8.4, 2.2 Hz, 1H), 7.04 (ddd, J = 7.4, 4.9, 1.0 Hz, 1H), 6.82 (d, J = 8.5 Hz, 1H), 5.46 (t, 1H), 3.99 (d, J = 13.1 Hz, 1H), 3.91 (d, J = 13.1 Hz, 1H), 3.85 (s, 3H), 3.68–3.56 (m, 2H), 1.90–1.57 (m, 6H).
General Method for THP Deprotection
THP ethers 30-THP–45-THP (0.16 g, 0.27 mmol) and TFA (3 mL) were dissolved in dry DCM (7 mL). The reaction mixture was stirred under argon atmosphere for 3 d. Subsequently, the reaction mixture was quenched with a 2 M solution of NaOH in H2O (15 mL) and extracted with DCM (2 × 15 mL). The combined organic layers were dried over anhyd. Na2SO4, filtered and concentrated in vacuo. The crude products were purified using flash column chromatography.

(E)-3-(3,5-Dibromo-4-methoxyphenyl)-N-(3,4-dichlorophenyl)-2-(hydroxyimino)propanamide (30)
The general procedure for THP deprotection was used, starting from ether 30 (0.16 g, 0.27 mmol). The worked-up reaction mixture was attempted to be purified using column chromatography Biotage SNAP Cartridge KP-Sil 25 g and SNAP Ultra 10 g without success. A successful purification was achieved by using Biotage SNAP Cartridge KP-NH 11 g, gradient elution: (heptane/EtOAc, 12→100%). The obtained oil was recrystallized from CHCl3 to give 30 as a white solid (0.052 g, 36%). Mp: 198 °C (decomposed).1H NMR (400 MHz, d6-DMSO) δ 12.38 (s, 1H), 10.30 (s, 1H), 8.08 (d, J = 2.4 Hz, 1H), 7.71 (dd, J = 2.5, 8.9 Hz, 1H), 7.57 (d, J = 8.8 Hz, 1H), 7.50 (s, 2H), 3.86 (s, 2H), 3.76 (s, 3H). 13C NMR (101 MHz, d6-DMSO) δ 162.2, 151.9, 151.3, 138.4, 136.0, 132.9, 130.8, 130.5, 125.3, 121.4, 120.3, 117.2, 60.4, 27.9. HRMS (ESI+): calculated 508.8670 (C16H13Br2Cl2N2O3), found 508.8670.

(E)-3-(3,5-Dibromo-4-methoxyphenyl)-N-(3,4-dichlorobenzyl)-2-(hydroxyimino)propanamide (31)
Unlike in the general procedure, compound 31-THP (0.20 g, 0.33 mmol) was deprotected using a 2 M solution of HCl in Et2O (5 mL) in dry DCM (5 mL) under various conditions (sealed tube, 2 h, 60 °C, MW; sealed tube, 2 h, 70 °C, oil bath; sealed tube, 12 h, 30 °C, oil bath; reflux under argon, 60 h). The worked-up reaction mixture was purified twice by column chromatography, using Biotage SNAP KP-Sil 25 g, gradient elution: (heptane/EtOAc, 12→100%) to give 31 as a light yellow solid (0.038 g, 22%). 1H NMR (400 MHz, CDCl3) δ 7.79 (s, 1H), 7.49 (s, 2H), 7.39 (d, J = 8.2 Hz, 1H), 7.35 (d, J = 2.0 Hz, 1H), 7.10 (dd, J = 2.0, 8.2 Hz, 1H), 7.02 (t, J = 5.5 Hz, 1H), 4.45 (d, J = 6.2 Hz, 2H), 3.90 (s, 2H), 3.85 (s, 3H). 13C NMR (101 MHz, CDCl3) δ 162.5, 153.0, 152.6, 138.1, 134.6, 133.6, 132.9, 131.9, 130.9, 129.7, 127.1, 118.1, 60.7, 42.6, 28.1. HRMS (ESI+): calculated 522.8825 (C17H15Br2Cl2N2O3), found 522.8827.

(E)-N-[4-Chloro-3-(trifluoromethyl)phenyl]-3-(3,5-dibromo-4-methoxyphenyl)-2-(hydroxyimino) propanamide (32)
The general procedure for THP deprotection was employed to deprotect 32-THP (0.19 g, 0.30 mmol). The worked-up reaction mixture was purified by column chromatography, Biotage SNAP Cartridge KP-NH 11 g, gradient elution: (heptane/EtOAc, 12→100%) to give 32 as a light yellow solid (0.055 g, 33%). 1H NMR (400 MHz, CDCl3) δ 8.63 (s, 1H), 8.13 (s, 1H), 7.90 (d, J = 2.6 Hz, 1H), 7.77 (dd, J = 2.6, 8.7 Hz, 1H), 7.51 (s, 2H), 7.46 (d, J = 8.7 Hz, 1H), 3.95 (s, 2H), 3.84 (s, 3H). 13C NMR (101 MHz, CDCl3) δ 160.2, 153.0, 152.4, 135.9, 134.1, 133.5, 132.1, 129.1, 128.8, 127.2 (m), 123.6, 118.7 (q, JCF = 5.7), 118.0, 60.6, 27.7. HRMS (ESI+): calculated 542.8934 (C17H13Br2ClF3N2O3), found 542.8937.

(E)-N-(3-Chloro-4-methoxyphenyl)-3-(3,5-dibromo-4-methoxyphenyl)-2-(hydroxyimino)propanamide (33)
The general procedure for THP deprotection was used, starting from ether 33-THP (0.20 g, 0.34 mmol). The product was purified by column chromatography, Biotage SNAP Cartridge KP-NH 11 g, gradient elution: (cyclohexane/EtOAc, 12→100%) to give 33 as a light orange solid (0.086 g, 50%). 1H NMR (400 MHz, CDCl3) δ 8.41 (s, 1H), 8.07 (s, 1H), 7.64 (d, J = 2.6 Hz, 1H), 7.52 (s, 2H), 7.42 (dd, J = 2.6, 8.9 Hz, 1H), 6.88 (d, J = 8.9 Hz, 1H), 3.94 (s, 2H), 3.88 (s, 3H), 3.84 (s, 3H). 13C NMR (101 MHz, CDCl3) δ 160.0, 153.0, 152.7, 152.2, 134.5, 133.6, 130.8, 122.8, 122.4, 119.6, 118.1, 112.4, 60.7, 56.6, 27.9. HRMS (ESI+): calculated 504.9165 (C17H16Br2ClN2O4), found 504.9164.

(E)-N-(3-Bromo-4-methoxyphenyl)-3-(3,5-dibromo-4-methoxyphenyl)-2-(hydroxyimino)propanamide (34)
The general procedure for THP deprotection was used, starting from ether 34-THP (0.20 g, 0.31 mmol). The worked-up reaction mixture was attempted to be purified using Biotage SNAP Cartridge KP-Sil 25 g and SNAP Ultra 10 g. A successful purification was achieved by column chromatography using Biotage SNAP Cartridge KP-NH 11 g, gradient elution: (heptane/EtOAc, 12→100%) to give 34 as a yellow oily solid (0.087 g, 50%). 1H NMR (400 MHz, CDCl3) δ 8.45 (s, 1H), 8.42 (s, 1H), 7.78 (d, J = 2.6 Hz, 1H), 7.52 (s, 2H), 7.48 (dd, J = 2.6, 8.9 Hz, 1H), 6.85 (d, J = 8.9 Hz, 1H), 3.94 (s, 2H), 3.86 (s, 3H), 3.83 (s, 3H). 13C NMR (101 MHz, CDCl3) δ 160.1, 153.2, 152.9, 152.6, 134.6, 133.6, 131.1, 125.4, 120.4, 118.1, 112.2, 111.8, 60.7, 56.6, 27.9. HRMS (ESI+): calculated 548.8660 (C17H16Br3N2O4), found 548.8660.

(E)-3-(3,5-Dibromo-4-methxyphenyl)-N-(3,5-dichlorophenyl)-2-(hydroxyimino)propanamide (35)
The general procedure for THP deprotection was used, starting from ether 35-THP (0.18 g, 0.30 mmol). The worked-up reaction mixture was purified by column chromatography, Biotage SNAP Cartridge KP-NH 11 g, gradient elution: (heptane/EtOAc, 12→100%) to give 35 as a white solid (0.021 mg, 14%). 1H NMR (400 MHz, CD3OD) δ 7.71 (d, J = 1.8 Hz, 2H), 7.53 (s, 2H), 7.14 (t, J = 1.9 Hz, 1H), 3.90 (s, 2H), 3.81 (s, 3H). 13C NMR (101 MHz, CD3OD) δ 162.2, 152.6, 150.9, 140.2, 135.7, 134.7, 133.2, 123.2, 118.0, 117.3, 59.6, 27.3. HRMS (ESI+): calculated 508.8670 (C16H13Br2Cl2N2O3), found 508.8659.

(E)-3-(3,5-Dibromo-4-methoxyphenyl)-2-(hydroxyimino)-N-(pyridin-2-yl)propanamide (36)
The general procedure for THP deprotection was used, starting from ether 36-THP (0.087 g, 0.17 mmol). The product was purified by column chromatography, Biotage SNAP Cartridge KP-NH 11 g, gradient elution: (hexane/EtOAc, 12→100%). The obtained 36 as a white powder was further re-crystallized from CHCl3 for the X-ray to give transparent crystals (0.037 g, 51%). M.p.: 192–196 °C (decomposed). 1H NMR (400 MHz, CDCl3) δ 13.85 (s, 1H), 9.41 (s, 1H), 8.39 (d, J = 8.5 Hz, 1H), 8.32–8.27 (m, 1H), 7.89–7.84 (m, 1H), 7.57 (s, 2H), 7.19 (ddd, J = 0.8, 5.2, 7.3 Hz, 1H), 4.02 (s, 2H), 3.84 (s, 3H. 13C NMR (101 MHz, CDCl3) δ 161.7, 152.8, 151.7, 150.1, 146.4, 140.2, 135.2, 133.7, 120.4, 118.0, 115.7, 60.7, 28.2. HRMS (ESI+): calculated 441.9402 (C15H14Br2N3O3), found 441.9401. LC-MS: [M + H]+ m/z 442 (tR = 5.39 min), >99%.

(E)-3-(3,5-Dibromo-4-methoxyphenyl)-2-(hydroxyimino)-N-(pyridin-3-yl)propanamide (37)
The general procedure for THP deprotection was used, starting from ether 37-THP (0.34 g, 0.64 mmol). The product was purified by column chromatography, Biotage SNAP Cartridge KP-Sil 25 g, gradient elution: (hexane/acetone, 0→100%) to give 37 as a pale yellow solid (0.052 g, 18%). 1H NMR (400 MHz, CD3OD) δ 8.84 (dd, J = 2.5, 19.4 Hz, 1H), 8.30–8.16 (m, 2H), 7.53 (d, J = 8.4 Hz, 2H), 7.44–7.35 (m, 1H), 3.92 (s, 2H), 3.80 (s, 3H). 13C NMR (101 MHz, CD3OD) δ 163.8, 154.4, 153.9, 152.3, 145.3, 142.3, 137.1, 134.44, 129.41, 125.2, 118.7, 61.0, 28.7. HRMS (ESI+): calculated 441.9402 (C15H14N3O3Br2), found 441.9402.

(E)-3-(3,5-Dibromo-4-methoxyphenyl)2-(hydroxyimino)-N-(pyridin-4-yl)propanamide (38)
The general procedure for THP deprotection was used, starting from ether 38-THP (0.49 g, 0.093 mmol). The product was purified by column chromatography, Biotage SNAP Cartridge KP-Sil 10 g, gradient elution: (DCM/MeOH, 0→10%) to give 38 as a brownish solid (0.0099 g, 24%). 1H NMR (400 MHz, d6-acetone) δ 8.47 (s, 2H), 7.73 (d, J = 5.5 Hz, 2H), 7.59 (s, 2H), 3.98 (s, 2H), 3.82 (s, 3H). 13C NMR (101 MHz, d6-acetone) δ 162.9, 153.5, 152.2, 151.3, 145.8, 136.7, 134.3, 118.3, 114.5, 60.9, 28.4. HRMS (ESI+): calculated 441.9402 (C15H14N3O3Br2), found 441.9400.

(E)-3-(3,5-Dibromo-4-methoxyphenyl)-2-(hydroxyimino)-N-(pyridin-3-ylmethyl)propanamide (39)
The general procedure for THP deprotection was used, starting from ether 39-THP (0.17 g, 0.32 mmol). The product was purified by column chromatography, Biotage SNAP Cartridge KP-NH 11 g, gradient elution: (DCM/MeOH, 0→10%) to give 39 as a yellowish solid (0.039 g, 26%). 1H NMR (400 MHz, CDCl3) δ 8.52 (br s, 2H), 7.75 (d, J = 7.8 Hz, 1H), 7.52 (s, 2H), 7.39–7.33 (m, 1H), 7.16 (t, J = 6.1 Hz, 1H), 4.54 (d, J = 6.1 Hz, 2H), 3.91 (s, 2H), 3.84 (s, 3H). 13C NMR (101 MHz, CDCl3) δ 163.3, 152.7, 151.1, 148.0, 147.8, 137.5, 135.4, 134.7, 133.6, 124.4, 118.0, 60.7, 41.0, 28.2. HRMS (ESI+): calculated 455.9558 (C16H16Br2N3O3), found 455.9563.

(E)-3-(3,5-Dibromo-4-methoxyphenyl)-N-[4-(dimethylamino)phenyl]-2-(hydroxyimino)propanamide (40)
The general procedure for THP deprotection was used, starting from ether 40-THP (0.16 g, 0.27 mmol). The product was purified by column chromatography, Biotage SNAP Cartridge KP-Sil 25 g, gradient elution: (hexane/EtOAc, 7→60%). The obtained product was further re-crystallized from hexane and acetone to give 40 as a yellow solid (0.07 g, 50%). 1H NMR (400 MHz, d6-acetone) δ 7.61 (s, 2H), 7.56 (d, J = 9.1 Hz, 2H), 6.72 (d, J = 9.2 Hz, 2H), 3.96 (s, 2H), 3.82 (s, 3H), 2.90 (s, 6H). 13C NMR (101 MHz, d6-acetone) δ 161.2, 153.4, 153.0, 148.8, 137.2, 134.4, 129.1, 122.0, 118.2, 113.5, 60.9, 40.9, 28.5. HRMS (ESI+): calculated 483.9871 (C18H20N3O3Br2), found 483.9876.

(E)-N,3-Bis(3-bromo-4-methoxyphenyl)-2-(hydroxyimino)propanamide (41)
The general procedure for THP deprotection was used, starting from ether 41-THP (0.43 g, 0.78 mmol). The product was purified by column chromatography, Biotage SNAP Cartridge KP-Sil 25 g, gradient elution: (hexane/EtOAc, 0→60%) to give 41 as a yellow solid (0.087 g, 24%). 1H NMR (400 MHz, CD3OD) δ 7.85 (d, J = 2.5 Hz, 1H), 7.51–7.45 (m, 2H), 7.24 (dd, J = 2.2, 8.5 Hz, 1H), 6.92 (d, J = 8.9 Hz, 1H), 6.86 (d, J = 8.5 Hz, 1H), 3.88 (s, 2H), 3.81 (s, 3H), 3.78 (s, 3H). 13C NMR (101 MHz, CD3OD) δ 163.4, 155.9, 154.1, 153.3, 134.8, 133.0, 131.6, 130.5, 126.6, 121.9, 113.11, 113.09, 112.2, 112.1, 56.8, 56.6, 28.7. HRMS (ESI+): calculated 470.9555 (C17H17N2O4Br2), found 470.9554.

(E)-3-(3-Bromo-4-methoxyphenyl)-2-(hydroxyimino)-N-(pyridin-2-yl)propanamide (42)
The general procedure for THP deprotection was used, starting from ether 42-THP (0.31 g, 0.68 mmol). The product was purified by column chromatography, Biotage SNAP Cartridge KP-Sil 25 g, gradient elution: (DCM/MeOH, 0→10%). The obtained solid was further re-crystallized from hexane to give 42 as a white solid (0.062 g, 25%). M.p.: 214–7 °C (decomposed). 1H NMR (400 MHz, d6-DMSO) δ 12.47 (s, 1H), 9.55 (s, 1H), 8.33 (ddd, J = 4.9, 1.9, 0.9 Hz, 1H), 8.07 (dt, J = 8.3, 1.0 Hz, 1H), 7.83 (ddd, J = 8.5, 7.3, 1.9 Hz, 1H), 7.45 (d, J = 2.1 Hz, 1H), 7.23 (dd, J = 8.5, 2.2 Hz, 1H), 7.16 (ddd, J = 7.3, 4.9, 1.0 Hz, 1H), 7.03 (d, J = 8.5 Hz, 1H), 3.84 (s, 2H), 3.80 (s, 3H). 13C NMR (101 MHz, d6-DMSO) δ 161.6, 153.9, 151.1, 150.6, 148.3, 138.5, 133.0, 130.0, 129.3, 120.0, 113.4, 112.7, 110.3, 56.2, 27.4. HRMS (ESI+): calculated 364.0297 (C15H15N3O3Br), found 364.0299.

(E)-N-(3,4-Dichlorobenzyl)-2-(hydroxyimino)-3-(4-methoxyphenyl)propanamide (43)
The general procedure for THP deprotection was used, starting from ether 43-THP (0.53 g, 1.18 mmol). The product was purified by column chromatography, Biotage SNAP Cartridge KP-Sil 25 g, gradient elution: (heptane/EtOAc, 0→100%) to give 43 as a yellow solid (0.057 g, 13%). 1H NMR (400 MHz, CD3OD) δ 7.39 (d, J = 8.3 Hz, 1H), 7.35 (d, J = 2.0 Hz, 1H), 7.22–7.15 (m, 2H), 7.13–7.07 (m, 1H), 6.82–6.72 (m, 2H), 4.36 (s, 2H), 3.87 (s, 2H), 3.74 (s, 3H). 13C NMR (101 MHz, CD3OD) δ 166.3, 159.7, 153.9, 141.1, 133.2, 131.7, 131.5, 131.1, 130.3, 129.9, 128.1, 114.8, 55.6, 42.7, 29.2. HRMS (ESI+): calculated 367.0616 (C17H17N2O3Cl2), found 367.0615.

(E)-2-(Hydroxyimino)-3-(4-methoxyphenyl)-N-(pyridin-2-yl)propanamide (44)
The general procedure for THP deprotection was used, starting from ether 44-THP (0.095 g, 0.26 mmol). The product was purified by column chromatography, Biotage SNAP Cartridge KP-Sil 10 g, gradient elution: (DCM/MeOH, 2→10%). The obtained product was further re-crystallized from hexane and acetone to give 44 as a white solid (0.02 g, 28%). 1H NMR (400 MHz, CD3OD) δ 8.26 (ddd, J = 5.0, 1.9, 0.9 Hz, 1H), 8.19 (dt, J = 8.4, 1.0 Hz, 1H), 7.81 (ddd, J = 8.4, 7.4, 1.9 Hz, 1H), 7.30–7.21 (m, 2H), 7.12 (ddd, J = 7.4, 5.0, 1.1 Hz, 1H), 6.85–6.76 (m, 2H), 3.92 (s, 2H), 3.74 (s, 3H). 13C NMR (101 MHz, CD3OD) δ 163.4, 159.7, 153.2, 152.3, 149.0, 140.0, 131.2, 129.9, 121.1, 115.1, 114.8, 55.6, 28.6. HRMS (ESI+): calculated 286.1192 (C15H16N3O3), found 286.1195.

(E)-3-(3-Chloro-4-methoxyphenyl)-2-(hydroxyimino)-N-(pyridin-2-yl)propanamide (45)
The general procedure for THP deprotection was used, starting from ether 45-THP (0.29 g, 0.72 mmol). The obtained product was further re-crystallized from acetone to give 45 as a white solid (0.05 g, 20%). M.p.: 218–219 °C (decomposed) 1H NMR (400 MHz, d6-acetone) δ 8.29 (ddd, J = 4.9, 1.9, 0.9 Hz, 1H), 8.20 (d, J = 8.3 Hz, 1H), 7.84–7.78 (m, 1H), 7.42–7.40 (m, 1H), 7.29 (ddt, J = 8.4, 2.2, 0.6 Hz, 1H), 7.12 (ddd, J = 7.4, 4.9, 1.0 Hz, 1H), 7.02 (d, J = 8.5 Hz, 1H), 3.96 (s, 2H), 3.85 (s, 3H). 13C NMR (101 MHz, d6-acetone) δ 162.0, 154.7, 152.8, 151.9, 149.2, 139.1, 131.5, 130.6, 129.7, 122.4, 120.7, 114.0, 113.3, 56.4, 28.2. HRMS (ESI+): calculated 320.0802 (C15H15N3O3Cl), found 320.0802.
4.2. Cell Lines
Human malignant melanoma cell line A-375 was kindly provided by Prof. Marikki Laiho (University of Helsinki, Finland) and Hs27 human skin fibroblast cell line was kindly provided by Dr. Carmen Escobedo-Lucea (University of Helsinki, Finland). The cells were maintained in Glutamax high glucose Dulbecco’s Modified Eagle’s Medium (DMEM, Gibco), supplemented with 10% fetal bovine serum (FBS, Gibco), at 37 °C, 5% CO2.
4.3. Analysis of Selectivity to Cancer Cells
The cells were seeded to white frame and clear bottom 96-well plates (Perkin Elmer) at the density of 10,000 cells/well for A-375 cell line and 7500 cells/well for Hs27 cell line. The cells were grown at 37 °C, 5% CO2 until they reached 70–80% confluence (approximately 24 h). Stock solutions of test compounds and a positive control (camptothecin, Sigma-Aldrich, Saint Louis, MO, USA) were prepared in DMSO and diluted into assay medium (growth medium with 5% FBS) to the final concentration. Final DMSO concentration was 0.5% in all samples. The culture medium was removed from the plate and compounds added, 200 µL/well. After 48-h incubation, the amount of ATP, which is directly proportional to the number of cells present in culture, was quantified using CellTiter-Glo® Luminescent Cell Viability kit (Promega, Madison, WI, USA), according to manufacturer’s instructions.
Origin Graphing and Analysis, version 8.6 (OriginLab, Northampton, MA, USA) was used for determination of CC50 values. The cancer cell selectivity index (SI) was calculated as a ratio of CC50 values between Hs27 fibroblasts and A-375 melanoma cells.
5. Conclusions
Several syntheses of bromotyrosines have been reported but the synthesis of bromotyrosines with monomethylated tyramine part have not been reported before. The selective removal of the protective groups from the tyramine fragment before the coupling reaction is a challenging step in the total synthesis of purpurealidin I (1). We succeeded at this by using trifluoroacetyl protection. This route can be utilized further for the synthesis of additional bromotyrosine derivatives possessing the monomethylated tyramine fragment. The synthesized simplified analogs without the tyramine fragment retained the cytotoxic activity. The selectivity towards melanoma cell line was generally low. The highest selectivity (SI 4.1) was demonstrated in the case of pyridin-2-yl compound (36). This shows that the marine cytotoxic bromotyrosines are promising scaffolds for developing cytotoxic agents and the full understanding of the elements of their SAR is still in very early stage. Further optimization of simplified bromotyrosine derivatives is needed to attain high selectivity.
Supplementary Materials
The following are available online at http://www.mdpi.com/1660-3397/16/12/481/s1, Appendix.pdf (synthesis, NMR spectra of compounds 1 and 36, and single crystal X-ray diffraction measurements), Compound36.cif and checkcif-Compound36.pdf
Author Contributions
Synthesis, C.B., I.T., M.V., V.B., N.H., T.B. and E.M.-L.; X-ray analysis, T.R. and H.L.; Conceptualization, P.K., and P.T.; Biological screening, P.I., I.T., K.-E.L., T.B.; Writing—original draft preparation, P.K., C.B., I.T., M.V., P.I.; Writing—review and editing, P.K., J.Y.-K. and P.T.; Supervision, P.K., C.B., P.I. and P.T.; Resources, J.Y.-K., P.T. and H.L.; Funding acquisition J.Y.-K. and P.T.
Funding
This research was funded by European Union Seventh Framework Programme grant agreement No. FP7-KBBE-2009-3-245137 (MAREX) Exploring Marine Resources for Bioactive Compounds: From Discovery to Sustainable Production and Industrial Applications 2010–2014. J.Y.-K. thanks Academy of Finland for the project No. 285103 and P.K. thanks Academy of Finland for the project No. 315937.
Acknowledgments
We thank Paul Flemmich for the synthesis assistance, Heidi Mäkkylä for her excellent technical assistance in the biological experiments and Andrew Neal for checking the language. We also wish to thank the DDCB core facility supported by the University of Helsinki and Biocenter Finland.
Conflicts of Interest
The authors declare no conflict of interest.
References
- WHO Cancer. Available online: http://www.who.int/cancer/en/ (accessed on 24 October 2018).
- Rastrelli, M.; Tropea, S.; Pigozzo, J.; Bezzon, E.; Campana, L.G.; Stramare, R.; Alabaic, M.; Rossi, C.R. Melanoma m1: Diagnosis and therapy. In Vivo 2014, 28, 273–285. [Google Scholar] [PubMed]
- Mayer, A.; Glaser, K.; Cuevas, C.; Jacobs, R.; Kem, W.; Little, R.; McIntosh, J.; Newman, D.; Potts, B.; Shuster, D. The odyssey of marine pharmaceuticals: A current pipeline perspective. Trends Pharmacol. Sci. 2010, 31, 255–265. [Google Scholar] [CrossRef] [PubMed]
- Marine Pharmaceuticals: The Clinical Pipeline. Available online: http://marinepharmacology.midwestern.edu/clinical_pipeline.html (accessed on 24 October 2018).
- Shearman, J.W.; Myers, R.M.; Beale, T.M.; Brenton, J.D.; Ley, S.V. Total syntheses of the bromotyrosine-derived natural products ianthelline, 5-bromoverongamine and JBIR-44. Tetrahedron Lett. 2010, 51, 4812–4814. [Google Scholar] [CrossRef]
- Dai, J.; Parrish, S.; Yoshida, W.; Yip, M.; Turkson, J.; Kelly, M.; Williams, P. Bromotyrosine-derived metabolites from an Indonesian marine sponge in the family Aplysinellidae (Order Verongiida). Bioorg. Med. Chem. Lett. 2016, 26, 499–504. [Google Scholar] [CrossRef] [PubMed]
- Peng, J.; Li, J.; Hamann, M.T. The marine bromotyrosine derivatives. In The Alkaloids: Chemistry and Biology; Cordell, G.A., Ed.; Elsevier: Amsterdam, The Netherlands, 2007; Volume 61, pp. 59–262. ISBN 0-12469561-2. [Google Scholar]
- Tarazona, G.; Santamaría, G.; Cruz, P.G.; Fernández, R.; Pérez, M.; Martínez-Leal, J.F.; Rodríguez, J.; Jiménez, C.; Cuevas, C. Cytotoxic anomoian B and aplyzanzine B, new bromotyrosine alkaloids from Indonesian sponges. ACS Omega 2017, 2, 3494–3501. [Google Scholar] [CrossRef] [PubMed]
- Albrizio, S.; Ciminiello, P.; Fattorusso, E.; Magno, S.; Pansini, M. Chemistry of Verongida sponges. I. Constituents of the Caribbean sponge Pseudoceratina crassa. Tetrahedron 1994, 50, 783–788. [Google Scholar] [CrossRef]
- Ciminiello, P.; Dell’Aversano, C.; Fattorusso, E.; Magno, S.; Pansini, M. Chemistry of Verongida sponges. 10. Secondary metabolite composition of the Caribbean sponge Verongula gigantea. J. Nat. Prod. 2000, 63, 263–266. [Google Scholar] [CrossRef] [PubMed]
- Tilvi, S.; D’Souza, L. Identifying the related compounds using electrospray ionization tandem mass spectrometry: Bromotyrosine alkaloids from marine sponge Psammaplysilla purpurea. Eur. J. Mass Spectrom. 2012, 18, 333–343. [Google Scholar] [CrossRef] [PubMed]
- Xynas, R.; Capon, R.J. Two new bromotyrosine-derived metabolites from an Australian marine sponge, Aplysina sp. Aust. J. Chem. 1989, 42, 1427–1433. [Google Scholar] [CrossRef]
- Jurek, J.; Yoshida, W.Y.; Scheubr, P.J. Three new bromotyrosine-derived metabolites of the sponge Psammaplysilla purpurea. J. Nat. Prod. 1993, 63, 1609–1612. [Google Scholar] [CrossRef]
- Fujiwara, T.; Hwang, J.-H.; Kanamoto, A.; Nagai, H.; Takagi, M.; Shin-ya, K. JBIR-44, a new bromotyrosine compound from a marine sponge Psammaplysilla purpurea. J. Antibiot. 2009, 62, 393–395. [Google Scholar] [CrossRef] [PubMed]
- Moreels, L.; Bhat, C.; Voráčová, M.; Peigneur, S.; Goovaerts, H.; Galan, D.; Mäki-Lohiluoma, E.; Pardo, L.A.; Yli-Kauhaluoma, J.; Kiuru, P.; et al. Synthesis of novel purpurealidin analogs and evaluation of their effect on the cancer-relevant potassium channel KV10.1. PLoS ONE 2017, 12, e0188811. [Google Scholar] [CrossRef] [PubMed]
- Ouadid-Ahidouch, H.; Ahidouch, A.; Pardo, L.A. Kv10. 1 K+ channel: From physiology to cancer. Pflügers Arch.-Eur. J. Physiol. 2016, 468, 751–762. [Google Scholar] [CrossRef] [PubMed]
- García, J.; Pereira, R.; de Lera, A.R. Total synthesis of the natural isoprenylcysteine carboxyl methyltransferase inhibitor spermatinamine. Tetrahedron Lett. 2009, 50, 5028–5030. [Google Scholar] [CrossRef]
- Boehlow, T.R.; Harburn, J.J.; Spilling, C.D. Approaches to the synthesis of some tyrosine-derived marine sponge metabolites: Synthesis of verongamine and purealidin N. J. Org. Chem. 2001, 66, 3111–3118. [Google Scholar] [CrossRef] [PubMed]
- Kotoku, N.; Tsujita, H.; Hiramatsu, A.; Mori, C.; Koizumi, N.; Kobayashi, M. Efficient total synthesis of bastadin 6, an anti-angiogenic brominated tyrosine-derived metabolite from marine sponge. Tetrahedron 2005, 61, 7211–7218. [Google Scholar] [CrossRef]
- Hillgren, J.M.; Öberg, C.T.; Elofsson, M. Syntheses of pseudoceramines A–D and a new synthesis of spermatinamine, bromotyrosine natural products from marine sponges. Org. Biomol. Chem. 2012, 10, 1246–1254. [Google Scholar] [CrossRef] [PubMed]
- Diers, J.A.; Pennaka, H.K.; Peng, J.; Bowling, J.J.; Duke, S.O.; Hamann, M.T. Structural activity relationship studies of zebra mussel antifouling and antimicrobial agents from Verongid sponges. J. Nat. Prod. 2004, 67, 2117–2120. [Google Scholar] [CrossRef] [PubMed]
- Reddy, S.M.; Srinivasulu, M.; Venkateswarlu, Y. Total synthesis of antibacterial dibromotyrosine derived alkaloid purpuramine-K. Ind. J. Chem. 2006, 45B, 2757–2762. [Google Scholar] [CrossRef]
- García-Egido, E.; Paz, J.; Iglesias, B.; Muñoz, L. Synthesis of cyanoformamides from primary amines and carbon dioxide under mild conditions. Synthesis of ceratinamine. Org. Biomol. Chem. 2009, 7, 3991–3999. [Google Scholar] [CrossRef] [PubMed]
- Buchholz, M.; Heiser, U.; Schilling, S.; Niestroj, A.J.; Zunkel, K.; Demuth, H.U. The first potent inhibitors for human glutaminyl cyclase: Synthesis and structure− activity relationship. J. Med. Chem. 2006, 49, 664–677. [Google Scholar] [CrossRef] [PubMed]
- Baud, M.G.J.; Leiser, T.; Meyer-Almes, F.-J.; Fuchter, M.J. New synthetic strategies towards psammaplin A, access to natural product analogues for biological evaluation. Org. Biomol. Chem. 2011, 9, 659–662. [Google Scholar] [CrossRef] [PubMed]
- Ullah, N.; Haladu, S.A.; Mosa, B.A. An improved total synthesis of spermatinamine, an inhibitor of isoprenylcysteine carboxy methyltransferase. Tetrahedron Lett. 2011, 52, 212–214. [Google Scholar] [CrossRef]
- Kottakota, S.K.; Evangelopoulos, D.; Alnimr, A.; Bhakta, S.; McHugh, T.D.; Gray, M.; Paul, W.; Groundwater, P.W.; Marrs, E.C.L.; Perry, J.D.; et al. Synthesis and biological evaluation of purpurealidin E-derived marine sponge metabolites: Aplysamine-2, aplyzanzine A, and suberedamines A and B. J. Nat. Prod. 2012, 75, 1090–1101. [Google Scholar] [CrossRef] [PubMed]
- Arabshahi, L.; Schmitz, F.J. Brominated tyrosine metabolites from an unidentified sponge. J. Org. Chem. 1987, 52, 3584–3586. [Google Scholar] [CrossRef]
- Yang, Q.; Liu, D.; Sun, D.; Yang, S.; Hu, G.; Wu, Z.; Zhao, L. Synthesis of the marine bromotyrosine psammaplin F and crystal structure of a psammaplin A analogue. Molecules 2010, 15, 8784–8795. [Google Scholar] [CrossRef] [PubMed]
- Koch, A.; Tamez, P.; Pezzuto, J.; Soejarto, D. Evaluation of plants used for antimalarial treatment by the Maasai of Kenya. J. Ethnopharmacol. 2005, 101, 95–99. [Google Scholar] [CrossRef] [PubMed]
- Busca, P.; Paradisi, F.; Moynihan, E.; Maguire, A.R.; Engel, P.C. Enantioselective synthesis of non-natural amino acids using phenylalanine dehydrogenases modified by site-directed mutagenesis. Org. Biomol. Chem. 2004, 2, 2684–2691. [Google Scholar] [CrossRef] [PubMed]
© 2018 by the authors. Licensee MDPI, Basel, Switzerland. This article is an open access article distributed under the terms and conditions of the Creative Commons Attribution (CC BY) license (http://creativecommons.org/licenses/by/4.0/).