Peniginsengins B–E, New Farnesylcyclohexenones from the Deep Sea-Derived Fungus Penicillium sp. YPGA11
Abstract
1. Introduction
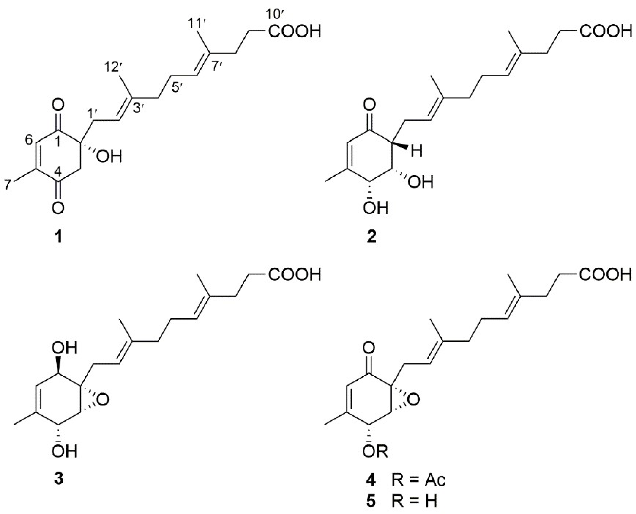
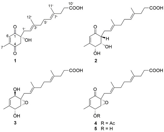
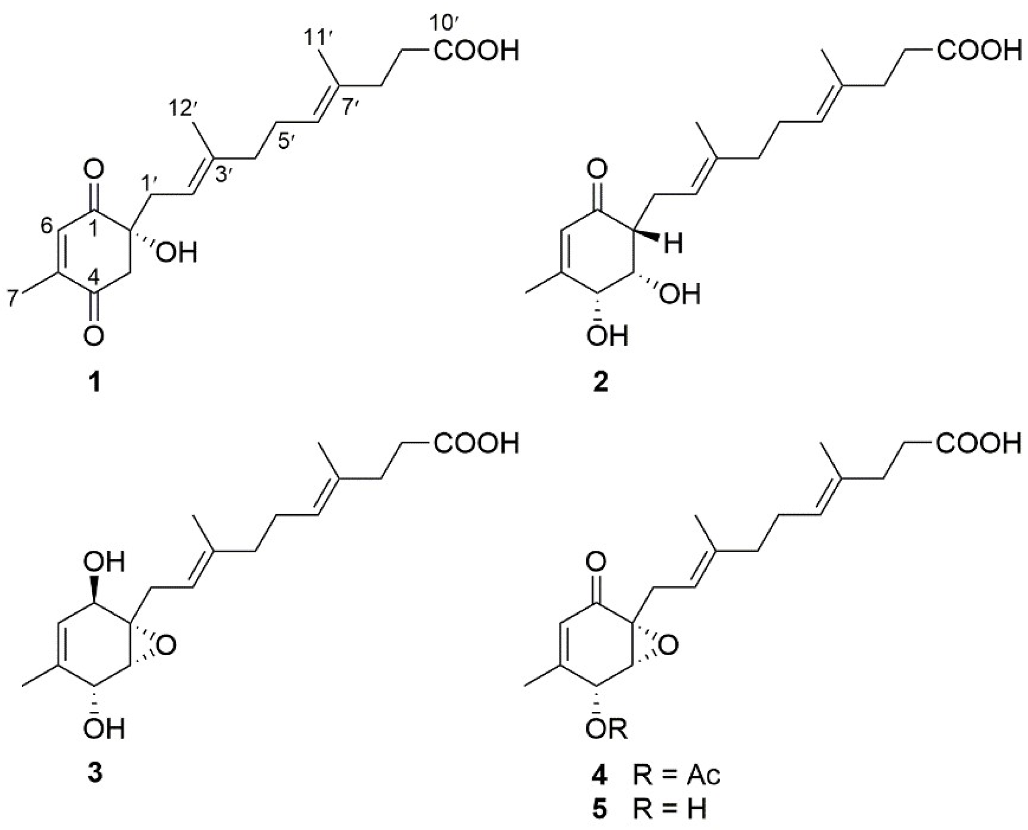
2. Results and Discussion
3. Experimental Section
3.1. General Experimental Procedure
3.2. Fungal Strain and Identification
3.3. Fermentation
3.4. Extraction and Isolation
3.5. Computation Section
3.6. Antibacterial Assay
4. Conclusions
Supplementary Materials
Author Contributions
Funding
Acknowledgments
Conflicts of Interest
References
- Vansteelandt, M.; Roullier, C.; Blanchet, E.; Guitton, Y.; Pouchus, Y.; Ruiz, N.; Grovel, O. Impact of Marine-Derived Penicillium Species in the Discovery of New Potential Antitumor Drugs. In Outstanding Marine Molecules; Barre, S.L., Kornprobst, J.M., Eds.; Wiley Blackwell Publishing: Malden, MA, USA, 2014; pp. 45–84. [Google Scholar]
- Kong, F.D.; Ma, Q.Y.; Huang, S.Z.; Wang, P.; Wang, J.F.; Zhou, L.M.; Yuan, J.Z.; Dai, H.F.; Zhao, Y.X. Chrodrimanins K–N and related meroterpenoids from the fungus Penicillium sp. SCS-KFD09 isolated from a marine worm, Sipunculus nudus. J. Nat. Prod. 2017, 80, 1039–1047. [Google Scholar] [CrossRef] [PubMed]
- Zhu, M.; Zhang, X.; Feng, H.; Dai, J.; Li, J.; Che, Q.; Gu, Q.; Zhu, T.; Li, D. Penicisulfuranols A–F, alkaloids from the mangrove endophytic fungus Penicillium janthinellum HDN13-309. J. Nat. Prod. 2017, 80, 71–75. [Google Scholar] [CrossRef] [PubMed]
- Li, H.L.; Xu, R.; Li, X.M.; Yang, S.Q.; Meng, L.H.; Wang, B.G. Simpterpenoid A, a meroterpenoid with a highly functionalized cyclohexadiene moiety featuring gem-propane-1,2-dione and methylformate groups, from the mangrove-derived Penicillium simplicissimum MA-332. Org. Lett. 2018, 20, 1465–1468. [Google Scholar] [CrossRef] [PubMed]
- Blunt, J.W.; Carroll, A.R.; Copp, B.R.; Davis, R.A.; Keyzers, R.A.; Prinsep, M.R. Marine natural products. Nat. Prod. Rep. 2018, 35, 8–53. [Google Scholar] [CrossRef] [PubMed]
- Guo, W.; Zhang, Z.; Zhu, T.; Gu, Q.; Li, D. Penicyclones A–E, antibacterial polyketides from the deep-sea-derived fungus Penicillium sp. F23-2. J. Nat. Prod. 2015, 78, 2699–2703. [Google Scholar] [CrossRef] [PubMed]
- Gao, S.S.; Li, X.M.; Du, F.Y.; Li, C.S.; Proksch, P.; Wang, B.G. Secondary metabolites from a marine-derived endophytic fungus Penicillium chrysogenum QEN-24S. Mar. Drugs 2011, 9, 59–70. [Google Scholar] [CrossRef] [PubMed]
- Hu, X.Y.; Meng, L.H.; Li, X.; Yang, S.Q.; Li, X.M.; Wang, B.G. Three new indole diterpenoids from the sea-anemone-derived fungus Penicillium sp. AS-79. Mar. Drugs 2017, 15, 137. [Google Scholar] [CrossRef] [PubMed]
- Nicoletti, R.; Trincone, A. Bioactive compounds produced by strains of Penicillium and Talaromyces of marine origin. Mar. Drugs 2016, 14, 37. [Google Scholar] [CrossRef] [PubMed]
- Cheng, Z.; Zhao, J.; Liu, D.; Proksch, P.; Zhao, Z.; Lin, W. Eremophilane-type sesquiterpenoids from an Acremonium sp. fungus isolated from deep-sea sediments. J. Nat. Prod. 2016, 79, 1035–1047. [Google Scholar] [CrossRef] [PubMed]
- Cheng, Z.; Lou, L.; Liu, D.; Li, X.; Proksch, P.; Yin, S.; Lin, W. Versiquinazolines A–K, fumiquinazoline-type alkaloids from the gorgonian-derived fungus Aspergillus versicolor LZD-14-1. J. Nat. Prod. 2016, 79, 2941–2952. [Google Scholar] [CrossRef] [PubMed]
- Chen, R.; Cheng, Z.; Huang, J.; Liu, D.; Wu, C.; Guo, P.; Lin, W. Versicotides D–F, new cyclopeptides with lipid-lowering activities. RSC Adv. 2017, 7, 49235–49243. [Google Scholar] [CrossRef]
- Liu, L.; Xu, W.; Li, S.; Chen, M.; Cheng, Y.; Yuan, W.; Cheng, Z.; Li, Q. Penicindopene A, A new indole diterpene from the deep-sea fungus Penicillium sp. YPCMAC1. Nat. Prod. Res. 2018, in press.. [Google Scholar]
- Yang, Y.; Yang, F.; Zhao, L.; Duang, R.; Chen, G.; Li, X.; Li, Q.; Qin, S.; Ding, Z. A new polyoxygenated farnesylcyclohexenone from Fungus Penicillium sp. Nat. Prod. Res. 2016, 30, 65–68. [Google Scholar] [CrossRef] [PubMed]
- Zhuang, P.; Tang, X.X.; Yi, Z.W.; Qiu, Y.K.; Wu, Z. Two new compounds from marine-derived fungus Penicillium sp. F11. J. Asian Nat. Prod. Res. 2012, 14, 197–203. [Google Scholar] [CrossRef] [PubMed]
- Liu, D.; Yang, A.; Wu, C.; Guo, P.; Proksch, P.; Lin, W. Lipid-lowering effects of farnesylquinone and related analogues from the marine-derived Streptomyces nitrosporeus. Bioorg. Med. Chem. Lett. 2014, 24, 5288–5293. [Google Scholar] [CrossRef] [PubMed]
- Zheng, C.J.; Shao, C.L.; Chen, M.; Niu, Z.G.; Zhao, D.L.; Wang, C.Y. Merosesquiterpenoids and ten-membered macrolides from a soft coral-derived lophiostoma sp. Fungus. Chem. Biodivers. 2015, 12, 1407–1414. [Google Scholar] [CrossRef] [PubMed]
- Li, J.Y.; Harper, J.K.; Grant, D.M.; Tombe, B.O.; Bashyal, B.; Hess, W.M.; Strobel, G.A. Ambuic acid, a highly functionalized cyclohexenone with antifungal activity from Pestalotiopsis spp. and Monochaetia sp. Phytochemistry 2001, 56, 463–468. [Google Scholar] [CrossRef]
- Li, C.S.; Yang, B.J.; Turkson, J.; Cao, S. Anti-proliferative ambuic acid derivatives from Hawaiian endophytic fungus Pestalotiopsis sp. FT172. Phytochemistry 2017, 140, 77–82. [Google Scholar] [CrossRef] [PubMed]
- Qi, Q.Y.; Li, E.W.; Han, J.J.; Pei, Y.F.; Ma, K.; Bao, L.; Huang, Y.; Zhao, F.; Liu, H.W. New ambuic acid derivatives from the solid culture of Pestalotiopsis neglecta and their nitric oxide inhibitory activity. Sci. Rep. 2015, 5, 9958. [Google Scholar] [CrossRef] [PubMed]
- Li, J.; Xie, J.; Yu, F.X.; Chen, Y.H.; Zhao, P.J. Pestalotic acids A–I, antibacterial ambuic acid analogues, from a mycoparasite (Pestalotipsis sp. cr014) of Cronartium ribicola. Arch. Pharmacal Res. 2016, 19, 1–9. [Google Scholar] [CrossRef] [PubMed]
- Ding, G.; Li, Y.; Fu, S.; Liu, S.; Wei, J.; Che, Y. Ambuic acid and torreyanic acid derivatives from the endolichenic fungus Pestalotiopsis sp. J. Nat. Prod. 2009, 72, 182–186. [Google Scholar] [CrossRef] [PubMed]
- Song, T.Y.; Xu, Z.F.; Chen, Y.H.; Ding, Q.Y.; Sun, Y.R.; Miao, Y.; Zhang, K.Q.; Niu, X.M. Potent nematicidal activity and new hybrid metabolite production by disruption of a Cytochrome P450 gene involved in the biosynthesis of morphological regulatory arthrosporols in nematode-trapping fungus Arthrobotrys oligospora. J. Agric. Food Chem. 2017, 65, 4111–4120. [Google Scholar] [CrossRef] [PubMed]
- Bugni, T.S.; Abbanat, D.; Bernan, V.S.; Maiese, W.M.; Greenstein, M.; Van Wagoner, R.M.; Ireland, C.M. Yanuthones: Novel metabolites from a marine isolate of Aspergillus niger. J. Org. Chem. 2000, 65, 7195–7200. [Google Scholar] [CrossRef] [PubMed]
- Petersen, L.M.; Holm, D.K.; Knudsen, P.B.; Nielsen, K.F.; Gotfredsen, C.H.; Mortensen, U.H.; Larsen, T.O. Characterization of four new antifungal yanuthones from Aspergillus niger. J. Antibiot. 2014, 68, 201–205. [Google Scholar] [CrossRef] [PubMed]
- Mehta, G.; Pan, S.C. First total synthesis of yanuthones: Novel farnesylated epoxycyclohexenoid marine natural products. Tetrahedron Lett. 2005, 46, 5219–5223. [Google Scholar] [CrossRef]
- Cheng, Z.B.; Xiao, H.; Fan, C.Q.; Lu, Y.N.; Zhang, G.; Yin, S. Bioactive polyhydroxylated sterols from the marine sponge Haliclona crassiloba. Steroids 2013, 78, 1353–1358. [Google Scholar] [CrossRef] [PubMed]





| No. | 1 | 2 | ||
|---|---|---|---|---|
| δH a (Mult, J in Hz) | δC b, Type | δH c (Mult, J in Hz) | δC d, Type | |
| 1 | 199.6, C | 201.4, C | ||
| 2 | 77.1, C | 2.43, ddd (10.2, 3.8, 2.3) | 53.4, CH | |
| 3 | 2.87, d (15.9) 2.80, d (15.9) | 49.5, CH2 | 4.20, dd (3.0, 2.3) | 73.7, CH |
| 4 | 197.1, C | 4.44, br s | 73.3, CH | |
| 5 | 150.3, C | 162.4, C | ||
| 6 | 6.69, d (1.34) | 135.7, CH | 5.84, br s | 126.8, CH |
| 7 | 1.89, d (1.34) | 15.5, CH3 | 2.02, br s | 20.3, CH3 |
| 1′ | 2.35, dd (14.0, 7.4) 2.22, dd (14.0, 7.4) | 36.8, CH2 | 2.25, m 2.60, ddd (14.5, 6.9, 3.8) | 24.4, CH2 |
| 2′ | 5.02, t (7.4) | 118.4, CH | 5.17, t (6.9) | 123.2, CH |
| 3′ | 138.1, C | 138.1, C | ||
| 4′ | 1.93, m | 39.5, CH2 | 2.05, m | 40.7, CH2 |
| 5′ | 1.99, m | 25.8, CH2 | 2.13, m | 27.5, CH2 |
| 6′ | 5.06, t (6.60) | 123.9, CH | 5.16, t (5.9) | 125.9, CH |
| 7′ | 133.7 C | 134.7, C | ||
| 8′ | 2.15, m | 34.2, CH2 | 2.27, m | 35.7, CH2 |
| 9′ | 2.24, m | 32.7, CH2 | 2.38, m | 34.0, CH2 |
| 10′ | 174.2, C | 177.4, C | ||
| 11′ | 1.55, s | 15.8, CH3 | 1.63, s | 16.1, CH3 |
| 12′ | 1.48, s | 16.0, CH3 | 1.66, s | 16.2, CH3 |
| No. | 3 | 4 | ||
|---|---|---|---|---|
| δH a (Mult, J in Hz) | δC b, Type | δH a (Mult, J in Hz) | δC b, Type | |
| 1 | 4.18, m | 67.2, CH | 194.9, C | |
| 2 | 63.8, C | 61.3, C | ||
| 3 | 3.31, m | 61.4, CH | 3.70, d (2.6) | 57.5, CH |
| 4 | 4.19, m | 68.3, CH | 5.85, d (2.6) | 70.3, CH |
| 5 | 134.9, C | 154.5, C | ||
| 6 | 5.23, m | 124.9, CH | 5.83, br s | 125.4, CH |
| 7 | 1.75, s | 19.2, CH3 | 1.89, br s | 19.8, CH3 |
| 1′ | 2.90, d (14.6, 8.9) 2.12, d (14.6, 8.9) | 32.1, CH2 | 2.74, dd (15.2, 7.9) 2.44, dd (15.2, 6.8) | 27.0, CH2 |
| 2′ | 5.14, m | 119.6, CH | 5.03, dd (7.9, 6.8) | 118.0, CH |
| 3′ | 139.8 C | 140.4, C | ||
| 4′ | 2.06, m | 40.7, CH2 | 2.02, m | 40.6, CH2 |
| 5′ | 2.13, m | 27.2, CH2 | 2.09, m | 27.2, CH2 |
| 6′ | 5.13, m | 125.7, CH | 5.12, dd (7.7, 6.9) | 125.6, CH |
| 7′ | 135.0, C | 135.1, C | ||
| 8′ | 2.25, t (7.7) | 35.9, CH2 | 2.25, m | 36.0, CH2 |
| 9′ | 2.35, t (7.7) | 34.3, CH2 | 2.35, m | 34.5, CH2 |
| 10′ | 177.7, C | 177.8, C | ||
| 11′ | 1.67, s | 16.4, CH3 | 1.64, s | 16.4, CH3 |
| 12′ | 1.62, s | 16.1, CH3 | 1.62, s | 16.1, CH3 |
| 1-OAc | 2.20, s | 20.6, CH3 171.9, C | ||
| No. | MIC (μg/mL) | |
|---|---|---|
| S. aureus ATCC 25913 | S. aureus ATCC 43300 | |
| 1 | >128 | >128 |
| 2 | 8 | 32 |
| 3 | 16 | >128 |
| 4 | 32 | 64 |
| Penicillin a | <0.5 | >128 |
| Vancomycin a | − b | <0.5 |
© 2018 by the authors. Licensee MDPI, Basel, Switzerland. This article is an open access article distributed under the terms and conditions of the Creative Commons Attribution (CC BY) license (http://creativecommons.org/licenses/by/4.0/).
Share and Cite
Cheng, Z.; Xu, W.; Liu, L.; Li, S.; Yuan, W.; Luo, Z.; Zhang, J.; Cheng, Y.; Li, Q. Peniginsengins B–E, New Farnesylcyclohexenones from the Deep Sea-Derived Fungus Penicillium sp. YPGA11. Mar. Drugs 2018, 16, 358. https://doi.org/10.3390/md16100358
Cheng Z, Xu W, Liu L, Li S, Yuan W, Luo Z, Zhang J, Cheng Y, Li Q. Peniginsengins B–E, New Farnesylcyclohexenones from the Deep Sea-Derived Fungus Penicillium sp. YPGA11. Marine Drugs. 2018; 16(10):358. https://doi.org/10.3390/md16100358
Chicago/Turabian StyleCheng, Zhongbin, Wei Xu, Lijun Liu, Shumin Li, Wangjun Yuan, Zhuhua Luo, Jingjie Zhang, Yongjun Cheng, and Qin Li. 2018. "Peniginsengins B–E, New Farnesylcyclohexenones from the Deep Sea-Derived Fungus Penicillium sp. YPGA11" Marine Drugs 16, no. 10: 358. https://doi.org/10.3390/md16100358
APA StyleCheng, Z., Xu, W., Liu, L., Li, S., Yuan, W., Luo, Z., Zhang, J., Cheng, Y., & Li, Q. (2018). Peniginsengins B–E, New Farnesylcyclohexenones from the Deep Sea-Derived Fungus Penicillium sp. YPGA11. Marine Drugs, 16(10), 358. https://doi.org/10.3390/md16100358
