New Meroterpenoids from the Endophytic Fungus Aspergillus flavipes AIL8 Derived from the Mangrove Plant Acanthus ilicifolius
Abstract
:1. Introduction

2. Results and Discussion
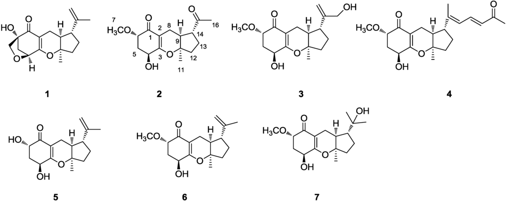
2.1. Structure Elucidation


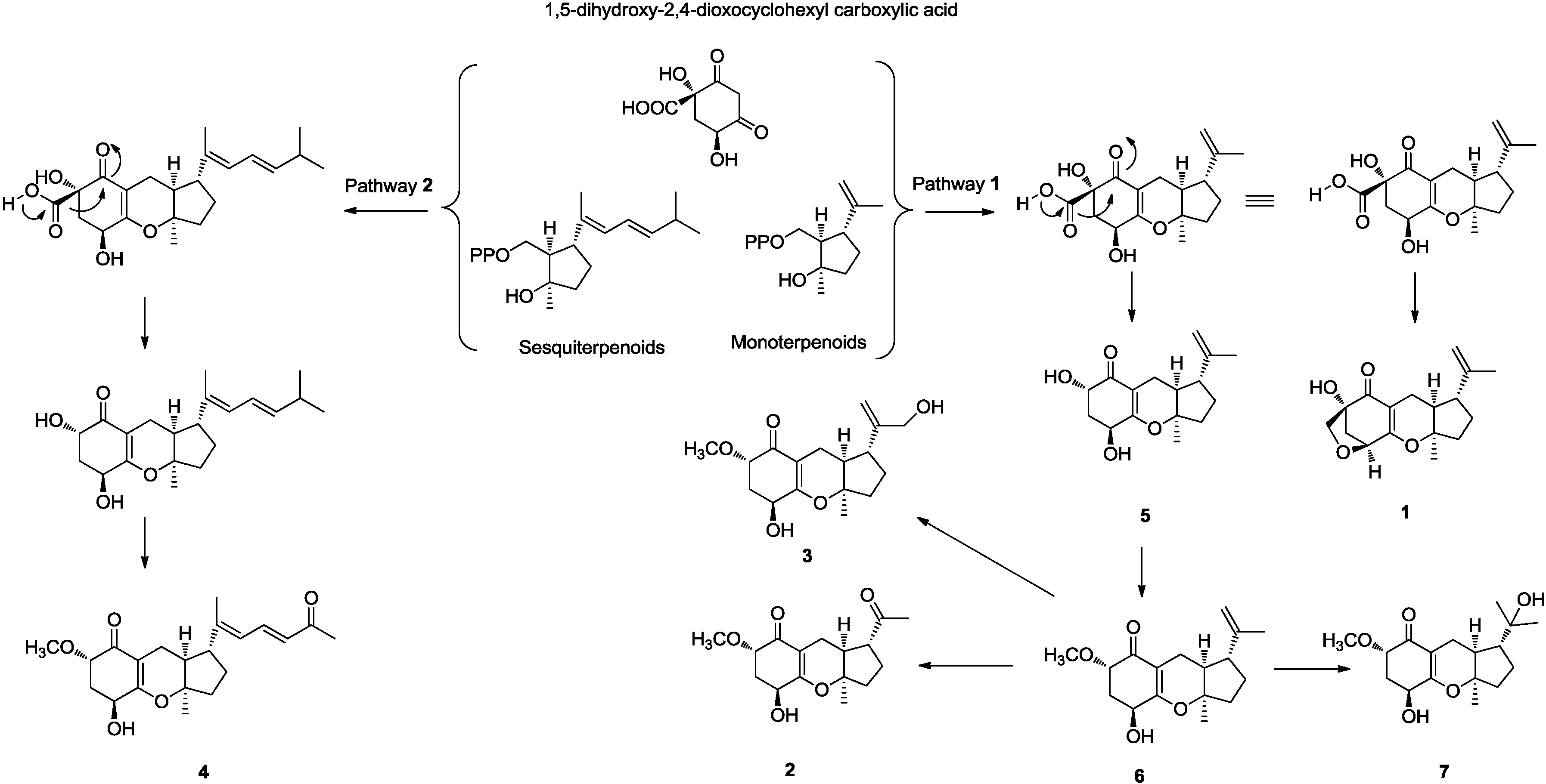
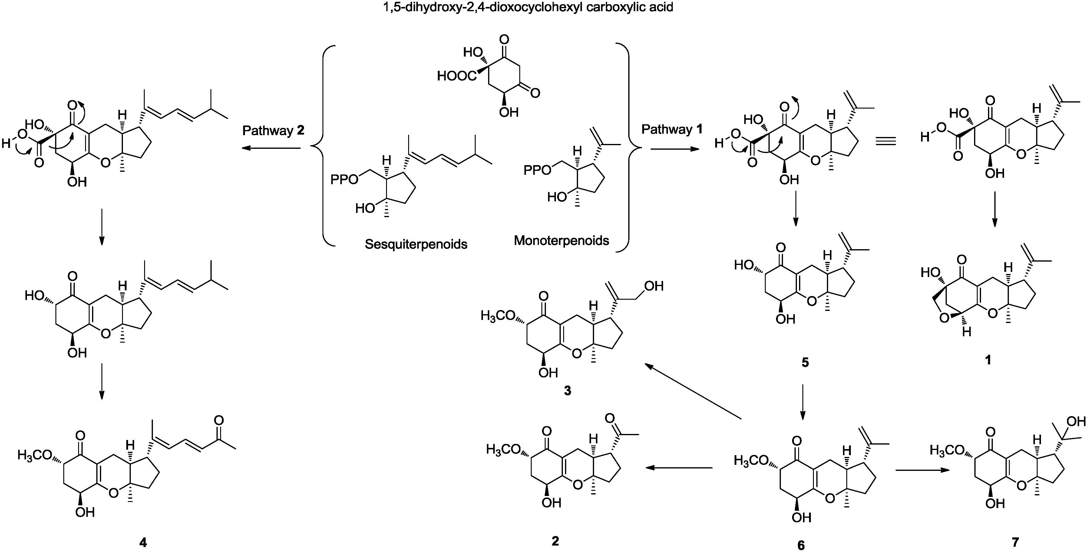
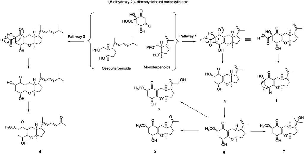
2.2. Plausible Biosynthetic Pathway
| 2 | 3 | 4 | 5 | |||||
|---|---|---|---|---|---|---|---|---|
| 1H | 13C | 1H | 13C | 1H | 13C | 1H | 13C | |
| 1 | 198.6 s | 194.9 s | 194.9 s | 198.0 s | ||||
| 2 | 106.2 s | 105.7 s | 105.7 s | 104.2 s | ||||
| 3 | 171.9 s | 166.7 s | 167.8 s | 169.0 s | ||||
| 4 | 4.54 brt 5.0 | 66.4 d | 4.28 brt 5.0 | 65.8 d | 4.26 t 5.0 | 65.7 d | 4.55 t 5.5 | 65.4 d |
| 5 | 1.90 m | 37.4 t | 2.30 m | 34.5 t | 1.96 m | 34.4 t | 2.12 m | 38.2 t |
| 2.64 m | 2.41 m | 2.40 m | 2.28 m | |||||
| 6 | 3.88 dd 5.0, 3.0 | 79.5 d | 3.75 dd, 5.0, 3.0 | 79.2 d | 3.73 dd 5.0, 3.0 | 79.2 d | 4.09 dd 5.5, 3.0 | 69.4 d |
| 7 | 3.53 s | 58.5 q | 3.47 s | 58.4 q | 3.50 s | 58.5 q | ||
| 8 | 2.28 m | 18.6 t | 2.35 m | 16.3 t | 2.31 m | 16.2 t | 2.26 m | 16.4 t |
| 2.19 m | ||||||||
| 9 | 2.46 m | 42.8 d | 2.12 m | 43.8 d | 2.06 m | 43.5 d | 1.96 m | 43.3 d |
| 10 | 89.6 s | 87.6 s | 87.5 s | 89.0 s | ||||
| 11 | 1.36 s | 22.4 q | 1.35 s | 22.4 q | 1.36 s | 22.2 q | 1.35 s | 23.1 q |
| 12 | 1.90 m | 38.7 t | 1.88 m | 37.3 t | 2.00 m | 37.7 t | 1.89 m | 37.6 t |
| 2.22 m | 2.15 m | 2.25 m | 2.15 m | |||||
| 13 | 1.82 m | 26.1 t | 2.06 m | 28.4 t | 1.84 m | 26.9 t | 1.59 m | 26.9 t |
| 2.20 m | 1.57 m | 2.30 m | 1.95 m | |||||
| 14 | 2.68 m | 55.4 d | 2.27 m | 44.8 d | 2.37 m | 51.4 d | 2.16 m | 49.1 d |
| 15 | 212.0 s | 149.7 s | 150.2 s | 145.3 s | ||||
| 16 | 4.88 s | 109.9 t | 1.85 s | 14.4 q | 4.74 s | 111.5 t | ||
| 5.10 s | 4.63 s | |||||||
| 17 | 2.16, s | 29.2 q | 4.11 d 1.5 | 65.3 d | 5.94 d 10.0 | 124.7 d | 1.67 s | 19.2 q |
| 18 | 7.41 dd 15.0, 10.0 | 138.8 d | ||||||
| 19 | 6.09 d 15.0 | 129.3 d | ||||||
| 20 | 198.7 s | |||||||
| 21 | 2.27 s | 27.7 q | ||||||

2.3. Discussion
3. Experimental Section
3.1. General Experimental Procedures
3.2. Fungal Material
3.3. Extraction and Isolation
3.4. X-ray Crystallographic Analysis of Guignarenone A (1)
3.5. Antimicrobial Activity
3.6. Cytotoxicity
4. Conclusions
Acknowledgments
Author Contributions
Supplementary Information
Conflicts of Interest
References
- Blunt, J.W.; Copp, B.R.; Keyzers, R.A.; Munro, M.H.G.; Prinsep, M.R. Marine natural products. Nat. Prod. Rep. 2014, 31, 160–258. [Google Scholar] [CrossRef] [PubMed]
- Lin, Z.-J.; Zhang, G.-J.; Zhu, T.-J.; Liu, R.; Wei, H.-J.; Gu, Q.-Q. Bioactive cytochalasins from Aspergillus flavipes, an endophytic fungus associated with the mangrove plant Acanthus ilicifolius. Helv. Chim. Acta 2009, 92, 1538–1544. [Google Scholar] [CrossRef]
- Barrow, C.J.; Sun, H.H. Spiroquinazoline, a novel substance-p inhibitor with a new carbon skeleton, isolated from Aspergillus flavipes. J. Nat. Prod. 1994, 57, 471–476. [Google Scholar] [CrossRef] [PubMed]
- Jiang, T.; Li, T.; Li, J.; Fu, H.Z.; Pei, Y.H.; Lin, W.H. Cerebroside analogues from marine-derived fungus Aspergillus flavipes. J. Asian Nat. Prod. Res. 2004, 6, 249–257. [Google Scholar] [CrossRef] [PubMed]
- Kwon, Y.-J.; Sohn, M.-J.; Kim, C.-J.; Koshino, H.; Kim, W.-G. Flavimycins A and B, dimeric 1,3-dihydroisobenzofurans with peptide deformylase inhibitory activity from Aspergillus flavipes. J. Nat. Prod. 2012, 75, 271–274. [Google Scholar] [CrossRef] [PubMed]
- Kwon, Y.-J.; Zheng, C.-J.; Kim, W.-G. Isolation and identification of FR198248, a hydroxylated 1,3-dihydroisobenzofuran, from Aspergillus flavipes as an inhibitor of peptide deformylase. Biosci. Biotechnol. Biochem. 2010, 74, 390–393. [Google Scholar] [CrossRef] [PubMed]
- Zhou, G.X.; Wijeratne, E.M.K.; Bigelow, D.; Pierson, L.S.; VanEtten, H.D.; Gunatilaka, A.A.L.; Aspochalasins, I.J.K. Three new cytotoxic cytochalasans of Aspergillus flavipes from the rhizosphere of Ericameria laricifolia of the Sonoran Desert. J. Nat. Prod. 2004, 67, 328–332. [Google Scholar] [CrossRef]
- Rochfort, S.; Ford, J.; Ovenden, S.; Wan, S.S.; George, S.; Wildman, H.; Tait, R.M.; Meurer-Grimes, B.; Cox, S.; Coates, J.; et al. A novel aspochalasin with HIV-1 integrase inhibitory activity from Aspergillus flavipes. J. Antibiot. 2005, 58, 279–283. [Google Scholar] [CrossRef] [PubMed]
- Kohno, J.; Nonaka, N.; Nishio, M.; Ohnuki, T.; Kawano, K.; Okuda, T.; Komatsubara, S. TMC-169, a new antibiotic of the aspochalasin group produced by Aspergillus flavipes. J. Antibiot. 1999, 52, 575–577. [Google Scholar] [CrossRef] [PubMed]
- Nagia, M.M.; El-Metwally, M.M.; Shaaban, M.; El-Zalabani, S.M.; Hanna, A.G. Four butyrolactones and diverse bioactive secondary metabolites from terrestrial Aspergillus flavipes MM2: Isolation and structure determination. Org. Med. Chem. Lett. 2012, 2, 9. [Google Scholar] [CrossRef] [PubMed]
- Casinovi, C.G.; Grandoli, G.; Mercanti, R.; Oddo, N.; Olivieri, R.; Tonolo, A. A new antibiotic produced by a strain of Aspergillus flavipes. Tetrahedron Lett. 1968, 27, 3175–3178. [Google Scholar] [CrossRef] [PubMed]
- Findlay, J.A.; Radics, L. Flavipucine (3′-isovaleryl-6-methylpyridine-3-spiro-2′-oxiran-2(1H),-4(3H)-dione), an antibiotic from Aspergillus flavipes. J. Chem. Soc. Perkin. 1. 1972, 16, 2071–2074. [Google Scholar] [CrossRef] [PubMed]
- Lin, X.; Zhou, X.; Wang, F.; Liu, K.; Yang, B.; Yang, X.; Peng, Y.; Liu, J.; Ren, Z.; Liu, Y. A new cytotoxic sesquiterpene quinone produced by Penicillium sp. F00120 isolated from a deep sea sediment sample. Mar. Drugs 2012, 10, 106–115. [Google Scholar] [CrossRef] [PubMed]
- Zhou, X.; Lin, X.; Ma, W.; Fang, W.; Chen, Z.; Yang, B.; Liu, Y. A new aromatic amine from fungus Pestalotiopsis vaccinii. Phytochem. Lett. 2014, 7, 35–37. [Google Scholar] [CrossRef]
- Yang, B.; Dong, J.; Lin, X.; Zhou, X.; Zhang, Y.; Liu, Y. New prenylated indole alkaloids from fungus Penicillium sp. derived of mangrove soil sample. Tetrahedron 2014, 70, 3859–3863. [Google Scholar] [CrossRef]
- Fredimoses, M.; Zhou, X.; Lin, X.; Tian, X.; Ai, W.; Wang, J.; Liao, S.; Liu, J.; Yang, B.; Yang, X.; et al. New prenylxanthones from the deep-sea derived fungus Emericella sp. SCSIO 05240. Mar. Drugs 2014, 12, 3190–3202. [Google Scholar] [CrossRef] [PubMed]
- Bai, Z.-Q.; Lin, X.; Wang, Y.; Wang, J.; Zhou, X.; Yang, B.; Liu, J.; Yang, X.; Wang, Y.; Liu, Y. New phenyl derivatives from endophytic fungus Aspergillus flavipes AIL8 derived of mangrove plant Acanthus ilicifolius. Fitoterapia 2014, 95, 194–202. [Google Scholar] [CrossRef] [PubMed]
- Yuan, W.H.; Liu, M.; Jiang, N.; Guo, Z.K.; Ma, J.; Zhang, J.; Song, Y.C.; Tan, R.X. Guignardones A-C: Three Meroterpenes from Guignardia mangiferae. Eur. J. Org. Chem. 2010, 33, 6348–6353. [Google Scholar] [CrossRef]
- Mei, W.L.; Zheng, B.; Zhao, Y.X.; Zhong, H.M.; Chen, X.L.W.; Zeng, Y.B.; Dong, W.H.; Huang, J.L.; Proksch, P.; Dai, H.F. Meroterpenes from endophytic fungus A1 of mangrove plant Scyphiphora hydrophyllacea. Mar. Drugs 2012, 10, 1993–2001. [Google Scholar] [CrossRef] [PubMed]
- Molinar, E.; Rios, N.; Spadafora, C.; Arnold, A.E.; Coley, P.D.; Kursar, T.A.; Gerwick, W.H.; Cubilla-Rios, L. Coibanoles, a new class of meroterpenoids produced by Pycnoporus sanguineus. Tetrahedron Lett. 2012, 53, 919–922. [Google Scholar] [CrossRef] [PubMed]
- Sommart, U.; Rukachaisirikul, V.; Trisuwan, K.; Tadpetch, K.; Phongpaichit, S.; Preedanon, S.; Sakayaroj, J. Tricycloalternarene derivatives from the endophytic fungus Guignardia bidwellii PSU-G11. Phytochemistry Lett. 2012, 5, 139–143. [Google Scholar] [CrossRef]
- Wang, Q.-X.; Bao, L.; Yang, X.-L.; Guo, H.; Ren, B.; Guo, L.-D.; Song, F.-H.; Wang, W.-Z.; Liu, H.-W.; Zhang, L.-X. Tricycloalternarenes F-H: Three new mixed terpenoids produced by an endolichenic fungus Ulocladium sp. using OSMAC method. Fitoterapia 2013, 85, 8–13. [Google Scholar] [CrossRef] [PubMed]
- Liebermann, B.; Elliger, R.; Gunther, W.; Ihn, W.; Gallander, H. Tricycloalternarenes produced by Alternaria alternata related to ACTG-toxins. Phytochemistry 1997, 46, 297–303. [Google Scholar] [CrossRef]
- Liebermann, B.; Nussbaum, R.P.; Gunther, W. Bicycloalternarenes produced by the phytopathogenic fungus Alternaria alternata. Phytochemistry 2000, 55, 987–992. [Google Scholar] [CrossRef] [PubMed]
- Sugawara, F.; Uzawa, J.; Esumi, Y.; Suzuki, M.; Yoshida, S.; Strobel, G.; Steiner, J.L.R.; Clardy, J. Phytotoxins from the Septoria spp. plant pathogenic fungus on leafy spurge. Biosci. Biotechnol. Biochem. 1998, 62, 638–642. [Google Scholar] [CrossRef] [PubMed]
- Kono, Y.; Gardner, J.M.; Suzuki, Y.; Takeuchi, S. Studies on host-selective toxins produced by a pathotype of Alternaria citri causing brown spot disease of mandarins. Agric. Biol. Chem. 1986, 50, 1597–1606. [Google Scholar] [CrossRef]
- Yuan, L.; Zhao, P.-J.; Ma, J.; Li, G.-H.; Shen, Y.-M. Tricycloalternarenes A-E: Five new mixed terpenoids from the endophytic fungal strain Alternaria alternata Ly83. Helv. Chim. Acta 2008, 91, 1588–1594. [Google Scholar] [CrossRef]
- Qiao, L.-R.; Yuan, L.; Gao, J.-M.; Zhao, P.-J.; Kang, Q.-J.; Shen, Y.-M. Tricycloalternarene derivatives produced by an endophyte Alternaria alternata isolated from Maytenus hookeri. J. Basic Microbiol. 2007, 47, 340–343. [Google Scholar] [CrossRef] [PubMed]
- Liebermann, B.; Nussbaum, R.P.; Gunther, W.; Teuscher, J.M. Biosynthesis of the bicycloalternarenes, mixed terpenoids of Alternaria alternata. Phytochemistry 2001, 56, 551–557. [Google Scholar] [CrossRef] [PubMed]
- Nussbaum, R.P.; Gunther, W.; Heinze, S.; Liebermann, B. New tricycloalternarenes produced by the phytopathogenic fungus Alternaria alternata. Phytochemistry 1999, 52, 593–599. [Google Scholar] [CrossRef]
- Sun, H.; Gao, S.; Li, X.; Li, C.; Wang, B. Chemical constituents of marine mangrove-derived endophytic fungus Alternaria tenuissima EN-192. Chin. J. Oceanol. Limnol. 2013, 31, 464–470. [Google Scholar] [CrossRef]
- Li, D.-M.; Zhang, Y.-H.; Ji, H.-X.; Wu, X.; Pei, Y.-H.; Bai, J. Tricycloalternarene derivatives from endophytic fungus Alternaria tenuissima SY-P-07. Nat. Prod. Res. 2013, 27, 1877–1881. [Google Scholar] [CrossRef] [PubMed]
- Guimaraes, D.O.; Lopes, N.P.; Pupo, M.T. Meroterpenes isolated from the endophytic fungus Guignardia mangiferae. Phytochemistry Lett. 2012, 5, 519–523. [Google Scholar] [CrossRef]
- Liang, F.; Li, D.; Chen, Y.; Tao, M.; Zhang, W.; Zhang, D. Secondary metabolites of endophytic Guignardia mangiferae from Smilax glabra and their antitumor activities. Chin. Tradit. Herb. Drugs 2012, 43, 856–860. [Google Scholar]
- Kjer, J.; Debbab, A.; Aly, A.H.; Proksch, P. Methods for isolation of marine-derived endophytic fungi and their bioactive secondary products. Nat. Protoc. 2010, 5, 479–490. [Google Scholar] [CrossRef] [PubMed]
- Pugachev, M.V.; Shtyrlin, N.V.; Sapozhnikov, S.V.; Sysoeva, L.P.; Iksanova, A.G.; Nikitina, E.V.; Musin, R.Z.; Lodochnikova, O.A.; Berdnikov, E.A.; Shtyrlin, Y.G. Bis-phosphonium salts of pyridoxine: The relationship between structure and antibacterial activity. Biorg. Med. Chem. 2013, 21, 7330–7342. [Google Scholar] [CrossRef]
- Li, Z.; Shen, J.; Wu, W.K.K.; Yu, X.; Liang, J.; Qiu, G.; Liu, J. Leptin induces cyclin D1 expression and proliferation of human nucleus pulposus Cells via JAK/STAT, PI3K/Akt and MEK/ERK pathways. PLoS One 2012, 7, e53176. [Google Scholar] [CrossRef] [PubMed]
- Wang, X.; Li, J.-P.; Yang, Y.; Ding, J.; Meng, L.-H. A pharmacological model reveals biased dependency on PI3K isoforms for tumor cell growth. Acta Pharmacol. Sin. 2013, 34, 1201–1207. [Google Scholar] [CrossRef] [PubMed]
© 2015 by the authors; licensee MDPI, Basel, Switzerland. This article is an open access article distributed under the terms and conditions of the Creative Commons Attribution license (http://creativecommons.org/licenses/by/4.0/).
Share and Cite
Bai, Z.-Q.; Lin, X.; Wang, J.; Zhou, X.; Liu, J.; Yang, B.; Yang, X.; Liao, S.; Wang, L.; Liu, Y. New Meroterpenoids from the Endophytic Fungus Aspergillus flavipes AIL8 Derived from the Mangrove Plant Acanthus ilicifolius. Mar. Drugs 2015, 13, 237-248. https://doi.org/10.3390/md13010237
Bai Z-Q, Lin X, Wang J, Zhou X, Liu J, Yang B, Yang X, Liao S, Wang L, Liu Y. New Meroterpenoids from the Endophytic Fungus Aspergillus flavipes AIL8 Derived from the Mangrove Plant Acanthus ilicifolius. Marine Drugs. 2015; 13(1):237-248. https://doi.org/10.3390/md13010237
Chicago/Turabian StyleBai, Zhi-Qiang, Xiuping Lin, Junfeng Wang, Xuefeng Zhou, Juan Liu, Bin Yang, Xianwen Yang, Shengrong Liao, Lishu Wang, and Yonghong Liu. 2015. "New Meroterpenoids from the Endophytic Fungus Aspergillus flavipes AIL8 Derived from the Mangrove Plant Acanthus ilicifolius" Marine Drugs 13, no. 1: 237-248. https://doi.org/10.3390/md13010237
APA StyleBai, Z.-Q., Lin, X., Wang, J., Zhou, X., Liu, J., Yang, B., Yang, X., Liao, S., Wang, L., & Liu, Y. (2015). New Meroterpenoids from the Endophytic Fungus Aspergillus flavipes AIL8 Derived from the Mangrove Plant Acanthus ilicifolius. Marine Drugs, 13(1), 237-248. https://doi.org/10.3390/md13010237

