Next Article in Journal
Marennine, Promising Blue Pigments from a Widespread Haslea Diatom Species Complex
Next Article in Special Issue
An Improved High Yield Total Synthesis and Cytotoxicity Study of the Marine Alkaloid Neoamphimedine: An ATP-Competitive Inhibitor of Topoisomerase IIα and Potent Anticancer Agent
Previous Article in Journal
Nine New and Five Known Polyketides Derived from a Deep Sea-Sourced Aspergillus sp. 16-02-1
Previous Article in Special Issue
Synthesis and Anti-Tuberculosis Activity of the Marine Natural Product Caulerpin and Its Analogues
 
 
Font Type:
Arial Georgia Verdana
Font Size:
Aa Aa Aa
Line Spacing:
Column Width:
Background:
Article

Investigation of Indolglyoxamide and Indolacetamide Analogues of Polyamines as Antimalarial and Antitrypanosomal Agents

1
School of Chemical Sciences, University of Auckland, Private Bag 92019, Auckland 1142, New Zealand
2
Swiss Tropical and Public Health Institute, Socinstrasse 57, PO Box, Basel CH-4002, Switzerland
3
University of Basel, Basel CH-4003, Switzerland
*
Author to whom correspondence should be addressed.
Mar. Drugs 2014, 12(6), 3138-3160; https://doi.org/10.3390/md12063138
Submission received: 10 April 2014 / Revised: 30 April 2014 / Accepted: 4 May 2014 / Published: 28 May 2014

Abstract

:
Pure compound screening has previously identified the indolglyoxylamidospermidine ascidian metabolites didemnidine A and B (2 and 3) to be weak growth inhibitors of Trypanosoma brucei rhodesiense (IC50 59 and 44 μM, respectively) and Plasmodium falciparum (K1 dual drug resistant strain) (IC50 41 and 15 μM, respectively), but lacking in selectivity (L6 rat myoblast, IC50 24 μM and 25 μM, respectively). To expand the structure–activity relationship of this compound class towards both parasites, we have prepared and biologically tested a library of analogues that includes indoleglyoxyl and indoleacetic “capping acids”, and polyamines including spermine (PA3-4-3) and extended analogues PA3-8-3 and PA3-12-3. 7-Methoxy substituted indoleglyoxylamides were typically found to exhibit the most potent antimalarial activity (IC50 10–92 nM) but with varying degrees of selectivity versus the L6 rat myoblast cell line. A 6-methoxyindolglyoxylamide analogue was the most potent growth inhibitor of T. brucei (IC50 0.18 μM) identified in the study: it, however, also exhibited poor selectivity (L6 IC50 6.0 μM). There was no apparent correlation between antimalarial and anti-T. brucei activity in the series. In vivo evaluation of one analogue against Plasmodium berghei was undertaken, demonstrating a modest 20.9% reduction in parasitaemia.

Graphical Abstract

1. Introduction

Alkyl amines belonging to the polyamine family [1] are widely distributed in nature, being isolated from a diverse range of terrestrial and marine sources. From the simple diamines putresine and cadaverine through to more complex examples of spermidine and spermine, polyamines have been reported to exhibit biological activities towards a large number of cellular targets and processes. While N-alkyl derivatives are generally cytotoxic or act synergistically with cytotoxins [2,3,4], examples have been reported to act as potent epigenetic modulators [5,6,7], to act as antioxidants [8], and to exhibit anti-trypanosomal [9,10] and anti-malarial properties [11,12,13,14,15,16].
As part of our own continuing search for new natural product leads for the development of treatments for neglected human diseases [17,18,19,20,21], we recently reported the discovery of polyamine alkaloids orthidine F (1) [22,23] and didemnidines A (2) and B (3) [24] as in vitro growth inhibitors of Plasmodium falciparum (K1 dual drug-resistant strain) (Figure 1). In the case of orthidine F, the antimalarial potency of the natural product (IC50 0.89 μM) [23] was increased substantially (IC50 1.3 nM) by undertaking a structure–activity relationship study [25], which also identified optimal structural attributes for antimalarial activity to be either a polyamine PA3-8-3 or PA3-12-3 [1] scaffold, and bearing 1, ω-disubstitution. Didemnidines A and B were found to be more modest growth inhibitors of both P. falciparum (IC50 41 and 15 μM, respectively) and Trypanosoma brucei rhodesiense (IC50 59 and 44 μM, respectively) [24]. Analogue 4, prepared during the synthesis of 3, was identified as the most active anti-protozoal compound in the limited series (Pf IC50 8.4 μM, Tbr IC50 9.9 μM), again suggesting that 1, ω-disubstitution of this alkaloid family might lead to the identification of more active examples.
Figure 1. Structures of orthidine F (1); didemnidine A (2) and B (3) and analogue 4.
Figure 1. Structures of orthidine F (1); didemnidine A (2) and B (3) and analogue 4.
Marinedrugs 12 03138 g001
Herein we report the results of a structure–activity relationship study investigating the influence of indole substitution, the requirement for the side chain keto group and nature of the polyamine core to the observed anti-protozoal activity of didemnidines A and B. The library was evaluated for antimalarial activity against the NF54 drug sensitive strain of P. falciparum, for anti-trypanosomal activity against Trypanosoma brucei rhodesiense and for cytotoxicity towards the non-malignant L6 rat myoblast cell line. One analogue was also tested for in vivo antimalarial activity against Plasmodium berghei in mice.

2. Results and Discussion

2.1. Chemistry

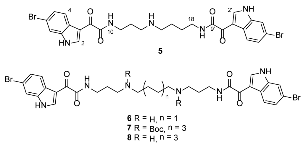
Reaction of each of spermidine, spermine and di-tert-butyl octane-1,8-diylbis ((3-aminopropyl)carbamate) [25] with 2-(6-bromoindol-3-yl)glyoxylic acid [24] using PyBop as the coupling agent afforded, after chromatographic purification, analogues 57 in yields of 58%, 86% and 26%, respectively (Figure 2). Subsequent removal of the Boc groups present in 7 with TFA in CH2Cl2 gave tetraaminediamide 8 as the TFA salt.
Figure 2. Structures of 6-bromoindolglyoxylamide analogues 58.
Figure 2. Structures of 6-bromoindolglyoxylamide analogues 58.
Marinedrugs 12 03138 g002
Previous studies by us have correlated electron-rich aryl substituents with enhanced anti-protozoal activity for 1, ω-disubstituted polyamines [23,25]. To explore similar properties in the context of the didemnidines, we prepared 2-(1H-indol-3-yl)-2-oxoacetic acid (9) and the 5-, 6- and 7-methoxy analogues (1012) (Figure 3) via a literature method [26].
Figure 3. Structures of indolyl-2-oxoacetic acids 912.
Figure 3. Structures of indolyl-2-oxoacetic acids 912.
Marinedrugs 12 03138 g003
Using each of 912, PyBop-mediated coupling with spermine, di-tert-butyl octane-1,8-diylbis((3-aminopropyl)carbamate) [25] and di-tert-butyl dodecane-1,12-diylbis((3-aminopropyl)carbamate) [27,28], afforded analogues 1324, while Boc group deprotection, again with TFA in CH2Cl2, gave tetraamine diamides 2532 as their corresponding di-TFA salts (Figure 4).
Figure 4. Structures of indolglyoxylamide analogues 1332.
Figure 4. Structures of indolglyoxylamide analogues 1332.
Marinedrugs 12 03138 g004
We finally sought to explore the influence of the sidechain keto group on the observed activity of the didemnidines. Thus PyBOP or HATU-mediated coupling of commercially available indole-3-acetic acid with di-tert-butyl butane-1,4-diylbis((3-aminopropyl)carbamate) [25,27], di-tert-butyl octane-1,8-diylbis((3-aminopropyl)carbamate) [25] and di-tert-butyl dodecane-1,12-diylbis ((3-aminopropyl)carbamate) [27,28] afforded polyamine amides 3335 with yields of 39%, 35% and 44%, respectively (Figure 5). Subsequent removal of the Boc groups with TFA in CH2Cl2 gave tetraamine diamides 3638 as TFA salts.
Figure 5. Structures of indolacetamide analogues 3338.
Figure 5. Structures of indolacetamide analogues 3338.
Marinedrugs 12 03138 g005

2.2. Biological Activities

2.2.1. In Vitro Biological Evaluation

The library of target analogues were screened against the protozoa T. brucei rhodesiense and P. falciparum and for cytotoxicity towards the rat skeletal myoblast cell line L6 and the results are summarized in Table 1.
Table 1. Anti-trypanosomal, antimalarial and cytotoxic activities of 28, 1316, 1838.
Table 1. Anti-trypanosomal, antimalarial and cytotoxic activities of 28, 1316, 1838.
EntryCompoundIC50 (μM a)Pf SI e
T. b. rhod.bP. falc.cL6 d
12 f5941 g240.59
23 f4415 g251.7
34 f9.98.4 g253.0
45NT h0.255.522
56NT0.367.721
67NT0.2792340
78NT0.415.614
813NT0.1260500
914NT0.4756120
1015NT0.5054110
1116451.36248
1218 6.20.13≥120≥920
13196.10.14≥120≥920
1420610.092≥120≥1300
1521611.8≥120≥67
16225.20.361953
1723621.9≥110≥58
1824631.7≥110≥65
19252.50.1119170
20260.780.1313100
21272.20.1721120
22282.10.126.655
23290.270.0332.370
24300.270.201785
25310.180.246.025
26320.260.0102.1210
27337.10.1619120
2834NT0.305.017
2935NT0.804556
3036750.1874410
3137NT0.1564430
3238NT0.1219160
Melarsoprol i0.005
Chloroquine i 0.004
Podophyllotoxin i 0.019
a IC50 values reported are the average of two independent assays. Assay protocols are described in [29]; b Trypanosoma brucei rhodesiense, STIB 900 strain, trypomastigotes stage; c Plasmodium falciparum, NF54 strain, IEF stage; d L6 rat skeletal myoblast cell line; e Selectivity index for P. falciparum = IC50 L6/IC50 Pf; f Data taken from reference [24]; g Plasmodium falciparum, K1 strain, IEF stage; h not tested; i Melarsoprol, chloroquine and podophyllotoxin were used as positive controls.
Bromoindoles 58 (entries 4–7) were all more active against Pf than the original natural products 2 and 3 and analogue 4. Only one analogue however, bis-tert-carboxylcarbonyl protected 7, demonstrated some degree of selectivity with L6 cytotoxicity of IC50 92 μM and a selectivity index of 340 (entry 6). Of spermine analogues 1316 (entries 8–11), debromoindole 13 (entry 8) exhibited good potency towards Pf (IC50 0.12 μM) with improved selectivity (L6 IC50 60 μM, Pf SI 500). All of the tert-butoxycarbonyl protected PA3-8-3 analogues tested (1820, entries 12–14) exhibited acceptable levels of selectivity, with 7-methoxyindole 20 (entry 14) identified as being a potent growth inhibitor of Pf (IC50 92 nM) with excellent selectivity (L6 IC50 ≥ 120 μM, Pf SI ≥ 1300). The corresponding Boc-protected PA3-12-3 analogues 2124 (entries 15–18) were less active towards Pf and only modestly selective. Removal of the Boc group afforded 2532 (entries 19–26), of which PA3-12-3 analogues 29 (entry 23) and 32 (entry 26) were identified as potent anti-Pf compounds but with only moderate selectivity (Pf SI 70 and 210, respectively). Using the rather crude tool of averaging anti-Pf IC50 values for all PA3-8-3 and PA3-12-3 analogues indicates that those that contain the PA3-8-3 core are typically 6–7 times more active (average IC50 0.13 μM) than the corresponding PA3-12-3 analogues (average IC50 0.89 μM). Examination of the anti-Pf data observed for the set of indole-3-acetic acid analogues 3338 (entries 27–32) suggested little influence of the keto group in the sidechain for potency, but that the analogues were typically of similar or more potent cytotoxicity. Compared to our previous studies of antimalarial benzamide, phenylacetamide, phenethylamide and phenyl-3-propanamide polyamine analogues [23,25], the present results indicate indoleglyoxyl and indoleacetamides to be more cytotoxic and less potent against Pf, suggesting future studies should be directed towards the former classes of “capping acids”.
In the case of anti-Trypanosoma brucei rhodesiense activity, PA3-12-3 analogues 2932 (entries 23–26) were the most active (IC50 0.18–0.27 μM), but unfortunately were also some of the more cytotoxic diamides prepared.

2.2.2. In Vivo Anti-Malarial Evaluation

Analogue 20 was selected for in vivo evaluation in Plasmodium berghei infected mice. Using a standard test protocol [30], a repeated ip dose of 50 (mg/kg)/day for four days led to a 20.9% reduction in parasitaemia. No increase in mean survival time was observed.

3. Experimental Section

3.1. General

HRMS data were acquired on a Bruker micrOTOF-QII mass spectrometer (Bruker Daltonik GmbH, Bremen, Germany). Infrared spectra were recorded on a Perkin-Elmer Spectrum 100 Fourier-transform IR spectrometer (Perkin Elmer, Waltham, MA,) equipped with a universal ATR accessory. Melting points were obtained on an Electrothermal melting point apparatus and are uncorrected. NMR spectra were recorded using either a Bruker Avance DRX 300 or 400 spectrometer (Bruker BioSpin GmbH, Rheinstetten, Germany) operating at 300 MHz or 400 MHz for 1H nuclei and 75 MHz or 100 MHz for 13C nuclei. Resonance assignments were made by interpretation of 2D data. NMR assignments marked by a superscripted letter are interchangeable. Proto-deutero solvent signals were used as internal references (DMSO-d6: δH 2.50, δC 39.52; CDCl3: δH 7.25, δC 77.0; CD3OD: δH 3.30, δC 49.05). Flash column chromatography was performed using reversed-phase Merck Lichroprep RP-18 (Merck, Manakau, New Zealand), or Kieselgel 60 PF silica gel (Merck, Manakau, New Zealand). Thin layer chromatography used 0.2 mm thick plates of Kiesegel F254 (Merck, Manakau, New Zealand). The syntheses of 2-(1H-indol-3-yl)-2-oxoacetic acid (9) [26], 2-(6-bromo-1H-indol-3-yl)-2-oxoacetic acid [24], di-tert-butyl butane-1,4-diylbis((3-aminopropyl)carbamate) [25,27], di-tert-butyl octane-1,8-diylbis((3-aminopropyl)carbamate) [25] and di-tert-butyl dodecane-1,12-diylbis((3-aminopropyl)carbamate) [27,28] have been reported previously.

3.2. Synthetic Procedures

3.2.1. General Procedure A: Amide Bond Formation

To a solution of carboxylic acid (2.05 equiv.), diamine (1 equiv.), and PyBOP (2.05 equiv.) in DMF (1 mL) was added Et3N (3 equiv.). The reaction mixture was allowed to stir under N2 at room temperature for 23 h. The solution was dried in vacuo and the crude reaction product purified by C8 reversed-phase column chromatography (20%–30% MeOH/H2O (+0.05%TFA)) to afford the target diamide as the bis-trifluoroacetate salt or by silica gel column chromatography (0%–1% MeOH in CH2Cl2) to afford the target diamide as the free base.

3.2.2. General Procedure B: Removal of Boc Protecting Group

A solution of tert-butyl-carbamate derivative in CH2Cl2 (2 mL) and TFA (0.2 mL) was stirred at room temperature under N2 for 2 h, then dried in vacuo to afford the deprotected analogue. In some cases the product required no further purification, while in other cases, purification was achieved by C18 reversed-phase column chromatography eluting with 0%–50% MeOH/H2O (+0.05% TFA).

3.2.3. 4-(2-(6-Bromo-1H-indol-3-yl)-2-oxoacetamido)-N-(3-(2-(6-bromo-1H-indol-3-yl)-2-oxoacetamido)propyl)butan-1-aminium 2,2,2-trifluoroacetate (5)

Using general procedure A, 2-(6-bromo-1H-indol-3-yl)-2-oxoacetic acid [24] (60 mg, 0.21 mmol), spermidine (15 mg, 0.10 mmol), PyBOP (109 mg, 0.21 mmol) and Et3N (83 μL, 0.60 mmol) afforded 5 as a yellow gum (37 mg, 58% yield).
Rf = 0.26 (CH2Cl2:MeOH:TEA 4:1:0.01); IR νmax (ATR) 3247, 1658, 1602, 1503, 1135, 841 cm−1; 1H NMR (DMSO-d6, 400 MHz) δH 12.38 (2H, br s, NH-1 and NH-1′), 8.91 (1H, t, J = 6.0 Hz, NH-10), 8.80 (1H, t, J = 6.1 Hz, NH-19), 8.78 (2H, d, J = 4.1 Hz, H-2 and H-2′), 8.42 (2H, br s, NH2-14), 8.15 (2H, d, J = 8.5 Hz, H-4 and H-4′), 7.75 (2H, d, J = 1.5 Hz, H-7 and H-7′), 7.40 (2H, dd, J = 8.5, 1.5 Hz, H-5 and H-5′), 3.30 (2H, td, J = 7.2, 6.0 Hz, H2-11), 3.25 (2H, td, J = 6.1, 5.8 Hz, H2-18), 3.02–2.88 (4H, m, H2-13 and H2-15), 1.85 (2H, tt, J = 7.2, 7.2 Hz, H2-12), 1.67–1.53 (4H, m, H2-16 and H2-17); 13C NMR (DMSO-d6, 100 MHz) δC 182.2 (C-8a), 181.8 (C-8′a), 163.5 (C-9), 163.4 (C-9′), 139.3 (C-2b), 139.3 (C-2′b), 137.3 (C-7a and C-7a′), 125.5 (C-5 and C-5′), 125.4 (C-3ac), 125.3 (C-3a′c), 122.9 (C-4 and C-4′), 116.0 (C-6d), 116.0 (C-6′d), 115.4 (C-7 and C-7′), 112.1 (C-3e), 112.1 (C-3′e), 46.6 (C-15), 44.8 (C-13), 37.9 (C-18), 35.8 (C-11), 25.9 (C-16f), 25.7 (C-12), 23.2 (C-17f); (+)-HRESIMS m/z 644.0506 [M + H]+ (calcd for C27H2879Br2N5O4, 644.0503).

3.2.4. N1,N4-Bis(3-(2-(6-bromo-1H-indol-3-yl)-2-oxoacetamido)propyl)butane-1,4-diaminium 2,2,2-trifluoroacetate (6)

Using general procedure A, 2-(6-bromo-1H-indol-3-yl)-2-oxoacetic acid [24] (50 mg, 0.18 mmol), spermine (17 mg, 0.083 mmol), PyBOP (91 mg, 0.18 mmol) and Et3N (69 μL, 0.50 mmol) afforded 6 as a brown oil (50 mg, 86% yield).
Rf = 0.17 (CH2Cl2:MeOH:TEA 1:1:0.01); IR νmax (ATR) 3278, 1672, 1628, 1441, 1201, 1131, 799, 721, 686 cm−1; 1H NMR (DMSO-d6, 400 MHz) δH 12.41 (1H, br s, NH-1), 8.91 (1H, t, J = 6.3 Hz, NH-10), 8.78 (1H, d, J = 3.5 Hz, H-2), 8.58 (2H, br s, NH2-14), 8.15 (1H, d, J = 8.5 Hz, H-4), 7.76 (1H, d, J = 1.8 Hz, H-7), 7.41 (1H, dd, J = 8.5, 1.8 Hz, H-5), 3.30 (2H, td, J = 6.9, 6.3 Hz, H2-11), 2.99–2.89 (4H, m, H2-13 and H2-15), 1.85 (2H, tt, J = 6.9, 6.9 Hz, H2-12), 1.68–1.56 (2H, m, H2-16); 13C NMR (DMSO-d6, 100 MHz) δC 181.8 (C-8), 163.5 (C-9), 139.3 (C-2), 137.2 (C-7a), 125.5 (C-5), 125.3 (C-3a), 122.9 (C-4), 116.0 (C-6), 115.4 (C-7), 112.1 (C-3), 46.1 (C-15), 44.7 (C-13), 35.9 (C-11), 25.7 (C-12), 22.7 (C-16); (+)-HRESIMS m/z 701.1087 [M + H]+ (calcd for C30H3579Br2N6O4, 701.1081).

3.2.5. Di-tert-butyl Octane-1,8-diylbis((3-(2-(6-bromo-1H-indol-3-yl)-2-oxoacetamido)propyl)carbamate) (7)

Using general procedure A, 2-(6-bromo-1H-indol-3-yl)-2-oxoacetic acid [24] (0.12 g, 0.42 mmol), di-tert-butyl octane-1,8-diylbis((3-aminopropyl)carbamate) [25] (91 mg, 0.20 mmol), PyBOP (0.22 g, 0.42 mmol) and Et3N (83 μL, 0.60 mmol) afforded 7 as a peach gum (51 mg, 26% yield).
Rf = 0.60 (hexane:EtOAc 3:7); IR νmax (ATR) 3226, 2929, 1666, 1631, 1417, 1156, 793, 633 cm−1; 1H NMR (DMSO-d6, 400 MHz) δH 12.27 (1H, br s, NH-1), 8.78 (1H, s, H-2), 8.74 (1H, br s, NH-10), 8.15 (1H, d, J = 8.4 Hz, H-4), 7.73 (1H, d, J = 1.7 Hz, H-7), 7.39 (1H, dd, J = 8.4, 1.7 Hz, H-5), 3.18 (2H, td, J = 7.1, 6.9 Hz, H2-11), 3.13 (2H, t, J = 7.1 Hz, H2-13), 3.08 (2H, t, J = 7.2 Hz, H2-15), 1.75–1.64 (2H, m, H2-12), 1.46–1.32 (2H, m, H2-16), 1.36 (9H, s, 3H3-21), 1.26–1.11 (4H, m, H2-17 and H2-18); 13C NMR (DMSO-d6, 100 MHz) δC 182.1 (C-8), 163.2 (C-9), 154.7 (C-19), 139.2 (C-2), 137.2 (C-7a), 125.4 (C-5), 125.3 (C-3a), 122.9 (C-4), 115.9 (C-6), 115.3 (C-7), 112.1 (C-3), 78.2 (C-20), 46.3 (C-15), 44.4, 44.0 (C-13), 36.4 (C-11), 28.7 (C-18), 28.0 (C-21), 27.7 (C-16 and C-12), 26.1 (C-17); (+)-HRESIMS m/z 979.2573 [M + Na]+ (calcd for C44H5879Br2N6NaO8, 979.2575).

3.2.6. N1,N8-Bis(3-(2-(6-bromo-1H-indol-3-yl)-2-oxoacetamido)propyl)octane-1,8-diaminium 2,2,2-trifluoroacetate (8)

Using general procedure B, reaction of 7 (9 mg, 9.4 μmol) in CH2Cl2 (1.7 mL) with TFA (0.3 mL) afforded 8 as a yellow gum (9 mg, quant. yield) which required no further purification.
Rf = 0.19 (CH2Cl2:MeOH:TEA 4:1:0.01); IR νmax (ATR) 3321, 3180, 1717, 1597, 1184, 1133, 719, 655 cm−1; 1H NMR (DMSO-d6, 400 MHz) δH 12.46 (1H, br s, NH-1), 8.91 (1H, t, J = 6.3 Hz, NH-10), 8.77 (1H, s, H-2), 8.68 (2H, br s, NH2-14), 8.15 (1H, d, J = 8.4, H-4), 7.75 (1H, d, J = 1.9 Hz, H-7), 7.40 (1H, dd, J = 8.4, 1.9 Hz, H-5), 3.29 (2H, td, J = 7.3, 6.3 Hz, H2-11), 2.95–2.88 (2H, m, H2-13), 2.88–2.82 (2H, m, H2-15), 1.86 (2H, tt, J =7.3, 6.6 Hz, H2-12), 1.63–1.52 (2H, m, H2-16), 1.34–1.21 (4H, m, H2-17 and H2-18); 13C NMR (DMSO-d6, 100 MHz) δC 181.9 (C-8), 163.5 (C-9), 139.2 (C-2), 137.2 (C-7a), 125.4 (C-5), 125.3 (C-3a), 122.9 (C-4), 116.0 (C-6), 115.4 (C-7), 112.0 (C-3), 46.7 (C-15), 44.6 (C-13), 35.9 (C-11), 28.3 (C-18), 25.8 (C-12a), 25.6 (C-17a), 25.4 (C-16a); (+)-HRESIMS m/z 757.1708 [M + H]+ (calcd for C34H4379Br2N6O4, 757.1707).

3.2.7. 2-(5-Methoxy-1H-indol-3-yl)-2-oxoacetic Acid (10)

The target compound 10 was prepared using a previously published method [26]. To a solution of 5-methoxyindole (0.15 g, 0.985 mmol) in anhydrous diethyl ether (18 mL) was added oxalyl chloride (0.13 mL, 1.48 mmol) dropwise at 0 °C. Reaction was stirred at 0 °C for 2 h, during which time an orange precipitate was formed. Saturated aq. NaHCO3 (6 mL) was added, and the reaction mixture heated at reflux for 2 h. After cooling to r.t., 10% HCl was added to adjust the solution to pH 1, the resulting precipitate filtered and dried under vacuum to yield 10 as an orange powder (0.20 g, 91% yield).
Mp 236 °C decomp. (lit. [31] 248 °C); Rf = 0.09 (20% MeOH/EtOAc); IR νmax (ATR) 3157, 2918, 1732, 1612, 1475, 1460, 1420, 1438, 1273, 1196, 1166, 913, 818, 809, 760, 709 cm−1; 1H NMR (DMSO-d6, 400 MHz) δH 12.29 (1H, br s, NH), 8.32 (1H, d, J = 3.4 Hz, H-2), 7.67 (1H, d, J = 2.5 Hz, H-4), 7.44 (1H, d, J = 8.8 Hz, H-7), 6.91 (1H, dd, J = 8.8, 2.5 Hz, H-6), 3.79 (3H, s, H3-10), OH not observed; 13C NMR (DMSO-d6, 100 MHz) δC 180.8 (C-8), 165.5 (C-9), 156.2 (C-5), 138.0 (C-2), 131.5 (C-7a), 126.6 (C-3a), 113.6 (C-7), 113.4 (C-6), 112.3 (C-3), 103.2 (C-4), 55.5 (C-10); (−)-HRESIMS m/z 218.0470 [M − H] (calcd for C11H8NO4, 218.0459).

3.2.8. 2-(6-Methoxy-1H-indol-3-yl)-2-oxoacetic Acid (11)

The target compound 11 was prepared using a previously published method [26]. To a solution of 6-methoxyindole (0.13 g, 0.866 mmol) in anhydrous diethyl ether (10 mL) was added oxalyl chloride (0.11 mL, 1.30 mmol) dropwise at 0 °C. The reaction mixture was allowed to stir at 0 °C for 3 h before it was warmed to r.t. Saturated aq. NaHCO3 (10 mL) was then added, and the reaction mixture heated at reflux for 1 h. After cooling to r.t., the pH of the reaction mixture was adjusted to 1 using 10% HCl. The resulting green precipitate was filtered, washed with cold diethyl ether (30 mL) and dried under vacuum to yield 11 as a green powder (0.18 g, 97% yield) which was used in the next step without further purification.
Mp 226 °C decomp.; Rf = 0.09 (20% MeOH/EtOAc); IR νmax (ATR) 3167, 1733, 1608, 1394, 1142, 1093, 710, 653 cm−1; 1H NMR (DMSO-d6, 400 MHz) δH 12.11 (1H, br s, NH), 8.30 (1H, s, H-2), 8.03 (1H, d, J = 8.6 Hz, H-4), 7.03 (1H, s, H-7), 6.90 (1H, dd, J = 8.6, 1.8 Hz, H-5), 3.80 (3H, s, H3-10), OH not observed; 13C NMR (DMSO-d6, 100 MHz) δC 180.8 (C-8), 165.3 (C-9), 156.9 (C-6), 137.7 (C-7a), 137.2 (C-2), 121.8 (C-4), 119.4 (C-3a), 112.5 (C-3), 112.3 (C-5), 95.8 (C-7), 55.3 (C-10); (+)-HRESIMS m/z 220.0615 [M + H]+ (calcd for C11H10NO4, 220.0604).

3.2.9. 2-(7-Methoxy-1H-indol-3-yl)-2-oxoacetic Acid (12)

The target compound 12 was prepared using a previously published method [26]. To a solution of 7-methoxyindole (0.30 g, 2.04 mmol) in anhydrous diethyl ether (9 mL) was added oxalyl chloride (0.52 mL, 6.11 mmol) dropwise at 0 °C. The reaction mixture was stirred at 0 °C for 1.5 h, followed by dropwise addition of saturated aq. NaHCO3 (10 mL), and then heated at reflux for 20.5 h. After cooling to r.t., 10% HCl was added to the reaction mixture to adjust pH to 1 and the resulting brown precipitate was filtered, washed with cold diethyl ether (20 mL), and dried under vacuum to yield 12 as a brown solid (0.45 g, quant. yield) which was used in the next step without further purification.
Mp 206 °C decomp.; Rf = 0.14 (20% MeOH/EtOAc); IR νmax (ATR) 3129, 1712, 1615, 1567, 1450, 1234, 1221, 956, 782 cm−1; 1H NMR (DMSO-d6, 300 MHz) δH 12.51 (1H, br s, NH), 8.23 (1H, d, J = 2.9 Hz, H-2), 7.74 (1H, d, J = 7.9 Hz, H-4), 7.19 (1H, t, J = 7.9 Hz, H-5), 6.87 (1H, d, J = 7.9 Hz, H-6), 3.95 (3H, s, H3-10), OH not observed; 13C NMR (DMSO-d6, 100 MHz) δC 180.8 (C-8), 165.2 (C-9), 146.5 (C-7), 136.8 (C-2), 127.2 (C-3a), 126.6 (C-7a), 123.7 (C-5), 113.6 (C-4), 112.9 (C-3), 104.6 (C-6), 55.4 (C-10); (−)-HRESIMS m/z 220.0603 [M + H]+ (calcd for C11H8NO4, 220.0604).

3.2.10. N1,N4-Bis(3-(2-(1H-indol-3-yl)-2-oxoacetamido)propyl)butane-1,4-diaminium 2,2,2-trifluoroacetate (13)

Using general procedure A, 2-(1H-indol-3-yl)-2-oxoacetic acid (9) (100 mg, 0.53 mmol), spermine (49 mg, 0.24 mmol), PyBOP (275 mg, 0.53 mmol) and Et3N (107 μL, 1.4 mmol) afforded 13 as a creamy gum (191 mg, quant. yield).
Rf = 0.26 (CH2Cl2:MeOH:TEA 4:1:0.01); IR νmax (ATR) 3361, 3093, 1679, 1626, 1428, 1125, 721 cm−1; 1H NMR (DMSO-d6, 400 MHz) δH 12.29 (1H, s, NH-1), 8.89 (1H, t, J = 6.0 Hz, NH-10), 8.76 (1H, s, H-2), 8.26–8.20 (1H, m, H-4), 7.57–7.51 (1H, m, H-7), 7.31–7.22 (2H, m, H-5 and H-6), 3.33–3.26 (2H, m, H2-11), 2.99–2.89 (4H, m, H2-13 and H2-15), 1.92–1.79 (2H, m, H2-12), 1.67–1.58 (2H, m, H2-16); 13C NMR (DMSO-d6, 100 MHz) δC 181.7 (C-8), 163.8 (C-9), 138.5 (C-2), 136.3 (C-7a), 126.2 (C-3a), 123.5 (C-5a), 122.6 (C-6a), 121.2 (C-4), 112.6 (C-7), 112.1 (C-3), 46.1 (C-15b), 44.8 (C-13b), 35.8 (C-11), 25.7 (C-12), 22.8 (C-16); (+)-HRESIMS m/z 545.2866 [M + H]+ (calcd for C30H37N6O4, 545.2871).

3.2.11. N1,N4-Bis(3-(2-(5-methoxy-1H-indol-3-yl)acetamido)propyl)butane-1,4-diaminium 2,2,2-trifluoroacetate (14)

Using general procedure A, 2-(5-methoxy-1H-indol-3-yl)-2-oxoacetic acid (10) (60 mg, 0.27 mmol), spermine (25 mg, 0.12 mmol), PyBOP (142 mg, 0.27 mmol), and Et3N (103 μL, 0.74 mmol) afforded 14 as a green gum (19 mg, 26% yield).
Rf = 0.06 (MeOH:TEA 5:0.01); IR νmax (ATR) 3347, 1679, 1438, 1127, 721 cm−1; 1H NMR (DMSO-d6, 400 MHz) δH 12.21 (1H, br s, NH-1), 8.84 (1H, t, J = 5.8 Hz, NH-10), 8.68 (1H, s, H-2), 7.74 (1H, d, J = 1.8 Hz, H-4), 7.44 (1H, d, J = 8.6 Hz, H-7), 6.90 (1H, dd, J = 8.6, 1.8 Hz, H-6), 3.79 (3H, s, H3-17), 3.33–3.25 (2H, td, J = 6.8, 5.8 Hz, H2-11), 2.91–2.80 (4H, m, H2-13 and H2-15), 1.88–1.77 (2H, m, H2-12), 1.65–1.58 (2H, m, H2-16); 13C NMR (DMSO-d6, 100 MHz) δC 181.7 (C-8), 163.9 (C-9), 156.1 (C-5), 138.5 (C-2), 131.1 (C-7a), 127.2 (C-3a), 113.4 (C-7), 112.9 (C-6), 112.0 (C-3), 103.5 (C-4), 55.3 (C-17), 46.7 (C-15), 45.0 (C-13), 36.1 (C-11), 26.3 (C-12), 23.8 (C-16); (+)-HRESIMS m/z 605.3089 [M + H]+ (calcd for C32H41N6O6, 605.3082).

3.2.12. N1,N4-Bis(3-(2-(6-methoxy-1H-indol-3-yl)acetamido)propyl)butane-1,4-diaminium 2,2,2-trifluoroacetate (15)

Using general procedure A, 2-(6-methoxy-1H-indol-3-yl)-2-oxoacetic acid (11) (70 mg, 0.32 mmol), spermine (29 mg, 0.15 mmol), PyBOP (116 mg, 0.32 mmol) and Et3N (121 μL, 0.87 mmol) afforded 15 as a yellow solid (44 mg, 52% yield).
Mp 223 °C decomp.; Rf = 0.03 (MeOH:TEA 5:0.01); IR νmax (ATR) 3173, 2780, 1655, 1600, 1435, 1162, 665 cm−1; 1H NMR (DMSO-d6, 400 MHz) δH12.07 (1H, s, NH-1), 8.86 (1H, t, J = 6.3Hz, NH-10), 8.64 (1H, d, J = 3.1 Hz, H-2), 8.50 (1H, br s, NH-14), 8.07 (1H, d, J = 8.7 Hz, H-4), 7.04 (1H, d, J = 2.4 Hz, H-7), 6.89 (1H, dd, J = 8.7, 2.4 Hz, H-6), 3.79 (3H, s, H3-17), 3.29 (2H, td, J = 7.2, 6.3 Hz, H2-11), 3.02–2.86 (4H, m, H2-13 and H2-15), 1.92–1.80 (2H, m, H2-12), 1.68–1.58 (2H, m, H2-16); 13C NMR (DMSO-d6, 100 MHz) δC 181.6 (C-8), 163.8 (C-9), 156.8 (C-6), 137.7 (C-2), 137.3 (C-7a), 121.9 (C-4), 120.0 (C-3a), 112.2 (C-3a), 112.2 (C-5), 95.8 (C-7), 55.3 (C-17), 46.1 (C-15a), 44.7 (C-13a), 35.8 (C-11), 25.7 (C-12), 22.7 (C-16); (+)-HRESIMS m/z 605.3071 [M + H]+ (calcd for C32H41N6O6, 605.3082).

3.2.13. N1,N4-Bis(3-(2-(7-methoxy-1H-indol-3-yl)acetamido)propyl)butane-1,4-diaminium 2,2,2-trifluoroacetate (16)

Using general procedure A, 2-(7-methoxy-1H-indol-3-yl)-2-oxoacetic acid (12) (110 mg, 0.50 mmol), spermine (48 mg, 0.24 mmol), PyBOP (261 mg, 0.50 mmol) and Et3N (417 μL, 3.0 mmol) afforded 16 as a yellow gum (67 mg, 49% yield).
Rf = 0.03 (MeOH:TEA 5:0.01); IR νmax (ATR) 3191, 1671, 1623, 1432, 1179, 785 cm−1; 1H NMR (DMSO-d6, 400 MHz) δH12.45 (1H, s, NH-1), 8.89 (1H, t, J = 6.1 Hz, NH-10), 8.62 (1H, d, J = 3.4 Hz, H-2), 8.52 (1H, br s, NH-14), 7.80 (1H, d, J = 8.1 Hz, H-4), 7.19 (1H, t, J = 8.1 Hz, H-5), 6.86 (1H, d, J = 8.1 Hz, H-6), 3.95 (3H, s, H3-17), 3.33–3.23 (2H, m, H2-11), 2.99–2.89 (4H, m, H2-13 and H2-15), 1.90–1.80 (2H, m, H2-12), 1.65–1.58 (2H, m, H2-16); 13C NMR (DMSO-d6, 100 MHz) δC 181.7 (C-8), 163.7 (C-9), 146.4 (C-7), 137.4 (C-2), 127.8 (C-3a), 126.1 (C-7a), 123.6 (C-5), 113.7 (C-4), 112.6 (C-3), 104.4 (C-6), 55.4 (C-17), 46.1 (C-15a), 44.7 (C-13a), 35.8 (C-11), 25.7 (C-12), 22.7 (C-16); (+)-HRESIMS m/z 605.3065 [M + H]+ (calcd for C32H41N6O6, 605.3082).

3.2.14. Di-tert-butyl Octane-1,8-diylbis((3-(2-(1H-indol-3-yl)-2-oxoacetamido)propyl)carbamate) (17)

Using general procedure A, 2-(1H-indol-3-yl)-2-oxoacetic acid (9) (109 mg, 0.58 mmol), di-tert-butyl octane-1,8-diylbis((3-aminopropyl)carbamate) [25] (120 mg, 0.26 mmol), PyBOP (300 mg, 0.58 mmol) and Et3N (218 μL, 1.5 mmol) afforded 17 as a white gum (34 mg, 16% yield).
Rf = 0.66 (CH2Cl2:EtOAc 1:1); IR νmax (ATR) 3215, 2925, 1618, 1420, 1152, 746 cm−1; 1H NMR (DMSO-d6, 300 MHz) δ 12.20 (1H, s, NH-1), 8.75 (1H, d, J = 3.0 Hz, H-2), 8.71 (1H, t, J = 6.0 Hz, NH-10), 8.26–8.19 (1H, m, H-4), 7.57–7.49 (1H, m, H-7), 7.30–7.20 (2H, m, H-5 and H-6), 3.25–3.05 (6H, m, H2-11, H2-13 and H2-15), 1.78–1.62 (2H, m, H2-12), 1.49–1.31 (2H, m, H2-16), 1.37 (9H, s, 3H3-21), 1.27–1.11 (4H, m, H2-17 and H2-18); 13C NMR (DMSO-d6, 100 MHz) δC 182.1 (C-8), 163.5 (C-9), 155.6 (C-19), 138.4 (C-2), 136.2 (C-7a), 126.2 (C-3a), 123.4 (C-5a), 122.5 (C-6a), 121.2 (C-4), 112.5 (C-3), 112.1 (C-7), 78.2 (C-20), 46.4 (C-15), 44.4, 44.0 (C-13), 36.3 (C-11), 28.7 (C-18), 28.0 (C-21), 27.8 (C-16 and C-12), 26.1 (C-17); (+)-HRESIMS m/z 801.4510 [M + H]+ (calcd for C44H61N6O8, 801.4545).

3.2.15. Di-tert-butyl Octane-1,8-diylbis((3-(2-(5-methoxy-1H-indol-3-yl)-2-oxoacetamido)propyl)carbamate) (18)

Using general procedure A, 2-(5-methoxy-1H-indol-3-yl)-2-oxoacetic acid (10) (93 mg, 0.42 mmol), di-tert-butyl octane-1,8-diylbis((3-aminopropyl)carbamate) [25] (97 mg, 0.21 mmol), PyBOP (242 mg, 0.47 mmol) and Et3N (176 μL, 1.3 mmol) afforded 18 as a yellow oil (83 mg, 46% yield).
Rf = 0.39 (hexane:EtOAc 2:3); IR νmax (ATR) 3371, 2929, 1619, 1420, 1153, 736 cm−1; 1H NMR (DMSO-d6, 300 MHz) δH 12.08 (1H, s, NH-1), 8.69 (1H, d, J = 2.3 Hz, H-2), 8.67 (1H, m, NH-10), 7.74 (1H, d, J = 2.6 Hz, H-4), 7.42 (1H, d, J = 8.1 Hz, H-7), 6.89 (1H, dd, J = 8.1, 2.6 Hz, H-6), 3.79 (3H, s, H3-19), 3.24–3.03 (6H, m, H2-11, H2-13 and H2-15), 1.77–1.62 (2H, m, H2-12), 1.49–1.32 (2H, m, H2-16), 1.37 (9H, s, 3H3-22), 1.27–1.11 (4H, m, H2-17 and H2-18); 13C NMR (DMSO-d6, 75 MHz) δC 181.9 (C-8), 163.6 (C-9), 155.9 (C-5), 154.6 (C-20), 138.4 (C-2), 131.0 (C-7a), 127.2 (C-3a), 113.2 (C-6), 112.8 (C-7), 112.0 (C-3), 103.4 (C-4), 78.2 (C-21), 55.2 (C-19), 46.3 (C-15), 44.3, 44.0 (C-13), 36.3 (C-11), 28.7 (C-18), 28.0 (C-22), 27.8 (C-16 and C-12), 26.1 (C-17); (+)-HRESIMS m/z 861.4725 [M + H]+ (calcd for C46H65N6O10, 861.4757).

3.2.16. Di-tert-butyl Octane-1,8-diylbis((3-(2-(6-methoxy-1H-indol-3-yl)-2-oxoacetamido)propyl)carbamate) (19)

Using general procedure A, 2-(6-methoxy-1H-indol-3-yl)-2-oxoacetic acid (11) (94 mg, 0.43 mmol), di-tert-butyl octane-1,8-diylbis((3-aminopropyl)carbamate) [25] (98 mg, 0.21 mmol), PyBOP (245 mg, 0.47 mmol) and Et3N (178 μL, 1.3 mmol) afforded 19 as a creamy solid (92 mg, 50% yield).
Mp 92 °C ; Rf = 0.23 (CH2Cl2:EtOAc 1:1); IR νmax (ATR) 3329, 2933, 1612, 1423, 1159, 740 cm−1; 1H NMR (DMSO-d6, 300 MHz) δH 11.99 (1H, d, J = 2.8 Hz, NH-1), 8.68 (1H, t, J = 5.7 Hz, NH-10), 8.64 (1H, d, J = 2.8 Hz, H-2), 8.07 (1H, d, J = 8.8 Hz, H-4), 7.02 (1H, d, J = 2.2 Hz, H-7), 6.88 (1H, dd, J = 8.8, 2.2 Hz, H-5), 3.79 (3H, s, H3-19), 3.23–3.05 (6H, m, H2-11, H2-13 and H2-15), 1.77–1.63 (2H, m, H2-12), 1.48–1.32 (2H, m, H2-16), 1.36 (9H, s, 3H3-22), 1.28–1.13 (4H, m, H2-17 and H2-18); 13C NMR (DMSO-d6, 75 MHz) δC 181.9 (C-8), 163.5 (C-9), 156.7 (C-6), 154.6 (C-20), 137.6 (C-2), 137.2 (C-7a), 121.9 (C-4), 120.0 (C-3a), 112.3 (C-3), 112.0 (C-5), 95.7 (C-7), 78.2 (C-21), 55.2 (C-19), 46.3 (C-15), 44.3, 44.0 (C-13), 36.3 (C-11), 28.7 (C-18), 28.0 (C-22), 27.7 (C-16 and C-12), 26.1 (C-17); (+)-HRESIMS m/z 861.4743 [M + H]+ (calcd for C46H65N6O10, 861.4757).

3.2.17. Di-tert-butyl Octane-1,8-diylbis((3-(2-(7-methoxy-1H-indol-3-yl)-2-oxoacetamido)propyl)carbamate) (20)

Using general procedure A, 2-(7-methoxy-1H-indol-3-yl)-2-oxoacetic acid (12) (86 mg, 0.39 mmol), di-tert-butyl octane-1,8-diylbis((3-aminopropyl)carbamate) [25] (90 mg, 0.20 mmol), PyBOP (225 mg, 0.43 mmol) and Et3N (163 μL, 1.2 mmol) afforded 20 as a green gum (94 mg, 56% yield).
Rf = 0.57 (CH2Cl2:EtOAc 1:1) 0.57; IR νmax (ATR) 3366, 2933, 1617, 1455, 1160, 778 cm−1; 1H NMR (DMSO-d6, 400 MHz) δH 12.39 (1H, br d, J = 3.1 Hz, NH-1), 8.71 (1H, br t, J = 5.0 Hz, NH-10), 8.61 (1H, d, J = 3.1 Hz, H-2), 7.80 (1H, d, J = 7.8 Hz, H-4), 7.17 (1H, t, J = 7.8 Hz, H-5), 6.85 (1H, d, J = 7.8 Hz, H-6), 3.94 (3H, s, H3-19), 3.22–3.05 (6H, m, H2-11, H2-13 and H2-15), 1.76–1.64 (2H, m, H2-12), 1.47–1.37 (2H, m, H2-16), 1.36 (9H, s, 3H3-22), 1.27–1.12 (4H, m, H2-17 and H2-18); 13C NMR (DMSO-d6, 100 MHz) δC 182.1 (C-8), 163.4 (C-9), 154.7 (C-20), 146.4 (C-7), 137.3 (C-2), 127.8 (C-3a), 126.1 (C-7a), 123.4 (C-5), 113.8 (C-4), 112.7 (C-3), 104.3 (C-6), 78.2 (C-21), 55.4 (C-19), 46.3 (C-15), 44.4, 44.0 (C-13), 36.3 (C-11), 28.7 (C-18), 28.0 (C-22), 27.7 (C-16 and C-12), 26.1 (C-17); (+)-HRESIMS m/z 861.4778 [M + H]+ (calcd for C46H65N6O10, 861.4757).

3.2.18. Di-tert-butyl Dodecane-1,12-diylbis((3-(2-(1H-indol-3-yl)-2-oxoacetamido)propyl)carbamate) (21)

Using general procedure A, 2-(1H-indol-3-yl)-2-oxoacetic acid (9) (19 mg, 0.10 mmol), di-tert-butyl dodecane-1,12-diylbis((3-aminopropyl)carbamate) [27,28] (23 mg, 45 μmol), PyBOP (51 mg, 0.10 mmol) and Et3N (82 μL, 0.60 mmol) afforded 21 as a white gum (25 mg, 65% yield).
Rf = 0.60 (CH2Cl2:EtOAc 1:1); IR νmax (ATR) 2927, 1621, 1420, 1156, 746 cm−1; 1H NMR (DMSO-d6, 400 MHz) δH 12.20 (1H, s, NH-1), 8.75 (1H, s, H-2), 8.72 (1H, t, J = 6.1 Hz, NH-10), 8.25–8.19 (1H, m, H-4), 7.56–7.50 (1H, m, H-7), 7.30–7.21 (2H, m, H-5 and H-6), 3.24–3.06 (6H, m, H2-11, H2-13 and H2-15), 1.77–1.64 (2H, m, H2-12), 1.49–1.33 (2H, m, H2-16), 1.37 (9H, s, 3H3-23), 1.25–1.16 (8H, m, H2-17 to H2-20); 13C NMR (DMSO-d6, 100 MHz) δC 182.1 (C-8), 163.5 (C-9), 155.0 (C-21), 138.4 (C-2), 136.2 (C-7a), 126.2 (C-3a), 123.4 (C-4), 122.5 (C-5a), 121.3 (C-6a), 112.5 (C-7), 112.2 (C-3), 78.2 (C-22), 46.3 (C-15), 44.0 (C-13), 36.3 (C-11), 28.9 (C-18b), 28.9 (C-19b), 28.7 (C-20b), 28.3 (C-16), 28.0 (C-23), 27.7 (C-12), 26.1 (C-17b); (+)-HRESIMS m/z 879.4967 [M + Na]+ (calcd for C48H68N6NaO8, 879.4991).

3.2.19. Di-tert-butyl Dodecane-1,12-diylbis((3-(2-(5-methoxy-1H-indol-3-yl)-2-oxoacetamido)propyl)carbamate) (22)

Using general procedure A, 2-(5-methoxy-1H-indol-3-yl)-2-oxoacetic acid (10) (50 mg, 0.23 mmol), di-tert-butyl dodecane-1,12-diylbis((3-aminopropyl)carbamate) [27,28] (53 mg, 0.10 mmol), PyBOP (117 mg, 0.23 mmol) and Et3N (86 μL, 0.62 mmol) afforded 22 as an orange gum (53 mg, 58% yield).
Rf = 0.54 (hexane:EtOAc 3:7); IR νmax (ATR) 3237, 2927, 1621, 1420, 1139, 735 cm−1; 1H NMR (DMSO-d6, 400 MHz) δH 12.09 (1H, s, NH-1), 8.69 (1H, d, J = 3.0 Hz, H-2), 8.67 (1H, m, NH-10), 7.74 (1H, d, J = 2.5 Hz, H-4), 7.42 (1H, d, J = 8.8 Hz, H-7), 6.89 (1H, dd, J = 8.8, 2.5 Hz, H-6), 3.79 (3H, s, H3-21), 3.23–3.05 (6H, m, H2-11, H2-13 and H2-15), 1.75–1.64 (2H, m, H2-12), 1.47–1.32 (2H, m, H2-16), 1.37 (9H, s, 3H3-24), 1.25–1.12 (8H, m, H2-17 to H2-20); 13C NMR (DMSO-d6, 100 MHz) δC 181.9 (C-8), 163.6 (C-9), 155.9 (C-5), 154.7 (C-22), 138.4 (C-2), 131.0 (C-7a), 127.2 (C-3a), 113.2 (C-7), 112.8 (C-6), 112.0 (C-3), 103.4 (C-4), 78.2 (C-23), 55.2 (C-21), 46.3 (C-15), 44.4, 44.0 (C-13), 36.3 (C-11), 28.9 (C-18a), 28.9 (C-19a), 28.6 (C-20a), 28.0 (C-24), 27.7 (C-12 and C-16), 26.2 (C-17a); (+)-HRESIMS m/z 917.5363 [M + H]+ (calcd for C50H73N6O10, 917.5383).

3.2.20. Di-tert-butyl Dodecane-1,12-diylbis((3-(2-(6-methoxy-1H-indol-3-yl)-2-oxoacetamido)propyl)carbamate) (23)

Using general procedure A, 2-(6-methoxy-1H-indol-3-yl)-2-oxoacetic acid (11) (33 mg, 0.15 mmol), di-tert-butyl dodecane-1,12-diylbis((3-aminopropyl)carbamate) [27,28] (35 mg, 68 μmol), PyBOP (78 mg, 0.15 mmol) and Et3N (57 μL, 0.41 mmol) afforded 23 as a creamy gum (35 mg, 58% yield).
Rf = 0.47 (EtOAc); IR νmax (ATR) 3641, 2929, 1625, 1421, 1150, 831 cm−1; 1H NMR (DMSO-d6, 400 MHz) δH11.99 (1H, br d, J = 2.5 Hz, NH-1), 8.68 (1H, t, J = 5.5 Hz, NH-10), 8.63 (1H, d, J = 2.5 Hz, H-2), 8.07 (1H, d, J = 8.8 Hz, H-4), 7.02 (1H, d, J = 2.3 Hz, H-7), 6.88 (1H, dd, J = 8.8, 2.3 Hz, H-5), 3.79 (3H, s, H3-21), 3.23–3.06 (6H, m, H2-11, H2-13 and H2-15), 1.76–1.63 (2H, m, H2-12), 1.47–1.33 (2H, m, H2-16), 1.37 (9H, s, 3H3-22), 1.25–1.12 (8H, m, H2-17, H2-18, H2-19 and H2-20); 13C NMR (DMSO-d6, 100 MHz) δC181.4 (C-8), 163.0 (C-9), 156.2 (C-6), 154.2 (C-20), 137.2 (C-2), 136.7 (C-7a), 121.4 (C-4), 119.5 (C-3a), 111.8 (C-3), 111.6 (C-5), 95.2 (C-7), 77.8 (C-21), 54.8 (C-21), 45.8 (C-15), 43.9, 43.5 (C-13), 35.8 (C-11), 28.5 (C-18a), 28.4 (C-19a), 28.2 (C-20a), 27.5 (C-24), 27.2 (C-12 and C-16), 25.7 (C-17a); (+)-HRESIMS m/z 939.5161 [M + Na]+ (calcd for C50H72N6NaO10, 939.5202).

3.2.21. Di-tert-butyl Dodecane-1,12-diylbis((3-(2-(7-methoxy-1H-indol-3-yl)-2-oxoacetamido)propyl)carbamate) (24)

Using general procedure A, 2-(7-methoxy-1H-indol-3-yl)-2-oxoacetic acid (12) (45 mg, 0.21 mmol), di-tert-butyl dodecane-1,12-diylbis((3-aminopropyl)carbamate) [27,28] (48 mg, 93 μmol), PyBOP (107 mg, 0.21 mmol) and Et3N (78 μL, 0.56 mmol) afforded 24 as a yellow oil (48 mg, 58% yield).
Rf = 0.66 (hexane:EtOAc 3:7); IR νmax (ATR) 3233, 2927, 1623, 1420, 1157, 782 cm−1; 1H NMR (DMSO-d6, 400 MHz) δH 12.39 (1H, s, NH-1), 8.71 (1H, br s, NH-10), 8.61 (1H, s, H-2), 7.80 (1H, d, J = 7.9 Hz, H-4), 7.17 (1H, t, J = 7.9 Hz, H-5), 6.84 (1H, d, J = 7.9 Hz, H-6), 3.94 (3H, s, H3-21), 3.22–3.06 (6H, m, H2-11, H2-13 and H2-15), 1.75–1.64 (2H, m, H2-12), 1.47–1.34 (2H, m, H2-16), 1.37 (9H, s, 3H3-24), 1.25–1.10 (8H, m, H2-17, H2-18, H2-19 and H2-20); 13C NMR (DMSO-d6, 100 MHz) δC 182.0 (C-8), 163.4 (C-9), 154.8 (C-22), 146.4 (C-7), 137.3 (C-2), 127.8 (C-3a), 126.1 (C-7a), 123.4 (C-5), 113.8 (C-4), 112.7 (C-3), 104.3 (C-6), 78.2 (C-23), 55.3 (C-21), 46.3 (C-15), 44.4, 44.0 (C-13), 36.3 (C-11), 28.9 (C-18a), 28.9 (C-19a), 28.6 (C-20a), 28.0 (C-24), 27.7 (C-12 and C-16), 26.2 (C-17a); (+)-HRESIMS m/z 917.5369 [M + H]+ (calcd for C50H73N6O10, 917.5383).

3.2.22. N1,N8-Bis(3-(2-(1H-indol-3-yl)-2-oxoacetamido)propyl)octane-1,8-diaminium 2,2,2-trifluoroacetate (25)

Using general procedure B, reaction of 17 (12 mg, 15 μmol) in CH2Cl2 (1.7 mL) with TFA (0.3 mL) followed by purification by C18 reversed-phase column chromatography (30% MeOH/H2O (TFA)) afforded 25 as a yellow oil (12 mg, quant. yield).
Rf = 0.23 (CH2Cl2:MeOH:TEA 4:1:0.01); IR νmax (ATR) 3235, 1669, 1431, 1200, 1130, 721 cm−1; 1H NMR (DMSO-d6, 400 MHz) δH 12.29 (1H, s, NH-1), 8.88 (1H, t, J = 6.2 Hz, NH-10), 8.76 (1H, s, H-2), 8.26–8.20 (1H, m, H-4), 7.57–7.51 (1H, m, H-7), 7.30–7.23 (2H, m, H-5 and H-6), 3.30 (2H, t, J = 6.2 Hz, H2-11), 2.98–2.91 (2H, m, H2-13), 2.91–2.84 (2H, m, H2-15), 1.91–1.80 (2H, m, H2-12), 1.61–1.50 (2H, m, H2-16), 1.35–1.21 (4H, m, H2-17 and H2-18); 13C NMR (DMSO-d6, 100 MHz) δC 181.7 (C-8), 163.7 (C-9), 138.3 (C-7a), 136.2 (C-2), 126.3 (C-3a), 123.6 (C-5a), 122.7 (C-6a), 121.3 (C-4), 112.6 (C-7), 112.2 (C-3), 46.7 (C-15), 44.6 (C-13), 35.7 (C-11), 28.4 (C-18), 25.9 (C-12b), 25.7 (C-17b), 22.8 (C-16b); (+)-HRESIMS m/z 601.3488 [M + H]+ (calcd for C34H45N6O4, 601.3497).

3.2.23. N1,N8-Bis(3-(2-(5-methoxy-1H-indol-3-yl)-2-oxoacetamido)propyl)octane-1,8-diaminium 2,2,2-trifluoroacetate (26)

Using general procedure B, reaction of 18 (27 mg, 31 μmol) in CH2Cl2 (1.7 mL) with TFA (0.3 mL) afforded 26 as a brown gum (20 mg, 96% yield) which required no further purification.
Rf = 0.20 (CH2Cl2:MeOH:TEA 4:1:0.01); IR νmax (ATR) 3407, 1674, 1478, 1181, 1025, 723 cm−1; 1H NMR (CD3OD, 400 MHz) δH8.73 (1H, s, H-2), 7.84 (1H, d, J = 2.5 Hz, H-4), 7.38 (1H, d, J = 8.8 Hz, H-7), 6.91 (1H, dd, J = 8.8, 2.5 Hz, H-6), 3.85 (3H, s, H3-19), 3.49–3.43 (2H, t, J = 6.5 Hz, H2-11), 3.08–3.02 (2H, m, H2-13), 3.01–2.95 (2H, m, H2-15), 1.99 (2H, tt, J = 7.1, 6.5 Hz, H2-12), 1.73–1.63 (2H, m, H2-16), 1.44–1.33 (4H, m, H2-17 and H2-18); 13C NMR (CD3OD, 100 MHz) δC 182.0 (C-8), 166.5 (C-9), 158.2 (C-5), 139.6 (C-2), 132.7 (C-7a), 128.9 (C-3a), 114.6 (C-6), 113.9 (C-3 and C-7), 105.1 (C-4), 56.1 (C-19), 48.8 (C-15), 46.4 (C-13), 36.9 (C-11), 29.9 (C-18a), 27.4 (C-12a), 27.4 (C-17a), 27.2 (C-16a); (+)-HRESIMS m/z 661.3690 [M + H]+ (calcd for C36H49N6O6, 661.3708).

3.2.24. N1,N8-Bis(3-(2-(6-methoxy-1H-indol-3-yl)-2-oxoacetamido)propyl)octane-1,8-diaminium 2,2,2-trifluoroacetate (27)

Using general procedure B, reaction of 19 (11 mg, 13 μmol) in CH2Cl2 (1.7 mL) with TFA (0.3 mL) afforded 27 as a yellow oil (5 mg, 59% yield) which required no further purification.
Rf = 0.19 (CH2Cl2:MeOH:TEA 4:1:0.01); IR νmax (ATR) 3395, 1671, 1150, 1199, 1022, 722 cm−1; 1H NMR (CD3OD, 400 MHz) δH 8.67 (1H, s, H-2), 8.15 (1H, d, J = 8.8 Hz, H-4), 7.01 (1H, d, J = 2.4 Hz, H-7), 6.90 (1H, dd, J = 8.8, 2.4 Hz, H-6), 3.84 (3H, s, H3-19), 3.45 (2H, t, J = 6.6 Hz, H2-11), 3.05 (2H, t, J = 7.6, H2-13), 3.02–2.96 (2H, m, H2-15), 1.98 (2H, tt, J = 7.6, 6.6 Hz, H2-12), 1.73–1.63 (2H, m, H2-16), 1.45–1.35 (4H, m, H2-17 and H2-18); 13C NMR (CD3OD, 100 MHz) δC 182.0 (C-8), 166.5 (C-9), 159.1 (C-6), 139.0 (C-7a), 138.9 (C-2), 123.6 (C-4), 121.7 (C-3a), 114.1 (C-3), 113.5 (C-5), 96.5 (C-7), 56.0 (C-19), 49.2 (C-15), 46.5 (C-13), 36.9 (C-11), 30.0 (C-18), 27.5 (C-12a), 27.5 (C-17a), 27.3 (C-16a); (+)-HRESIMS m/z 661.3687 [M + H]+ (calcd for C36H49N6O6, 661.3708).

3.2.25. N1,N8-Bis(3-(2-(7-methoxy-1H-indol-3-yl)-2-oxoacetamido)propyl)octane-1,8-diaminium 2,2,2-trifluoroacetate (28)

Using general procedure B, reaction of 20 (20 mg, 13 μmol) in CH2Cl2 (1.8 mL) with TFA (0.2 mL) afforded 28 as a yellow oil (12 mg, quant. yield) which required no further purification.
Rf = 0.26 (CH2Cl2:MeOH:TEA 4:1:0.01); IR νmax (ATR) 3337, 2941, 1622, 1432, 1132, 721 cm−1; 1H NMR (CD3OD, 400 MHz) δH 8.70 (1H, br d, J = 1.0 Hz, H-2), 7.86 (1H, d, J = 8.2 Hz, H-4), 7.18 (1H, t, J = 8.2 Hz, H-5), 6.81 (1H, d, J = 8.2 Hz, H-6), 3.97 (3H, s, H3-19), 3.45 (2H, t, J = 6.5 Hz, H2-11), 3.04 (2H, t, J = 7.1 Hz, H2-13), 2.97 (2H, t, J = 8.0 Hz, H2-15), 1.98 (2H, tt, J = 7.1, 6.5 Hz, H2-12), 1.72–1.62 (2H, m, H2-16), 1.37–1.23 (4H, m, H2-17 and H2-18); 13C NMR (CD3OD, 100 MHz) δC182.2 (C-8), 166.4 (C-9), 148.1 (C-7), 138.6 (C-2), 129.5 (C-3a), 128.0 (C-7a), 124.8 (C-5), 115.4 (C-4), 114.4 (C-3), 105.3 (C-6), 56.0 (C-19), 49.2 (C-15), 46.4 (C-13), 36.9 (C-11), 29.9 (C-18a), 27.4 (C-12a), 27.4 (C-17a), 27.2 (C-16a); (+)-HRESIMS m/z 661.3695 [M + H]+ (calcd for C36H49N6O6, 661.3708).

3.2.26. N1,N12-Bis(3-(2-(1H-indol-3-yl)-2-oxoacetamido)propyl)dodecane-1,12-diaminium 2,2,2-trifluoroacetate (29)

Using general procedure B, reaction of 21 (14 mg, 16 μmol) in CH2Cl2 (1.8 mL) with TFA (0.2 mL) afforded 29 as a white gum (5 mg, 47% yield) which required no further purification.
Rf = 0.26 (CH2Cl2:MeOH:TEA 4:1:0.01); IR νmax (ATR) 3391, 2949, 1675, 1434, 1132, 1034, 722 cm−1; 1H NMR (CD3OD, 400 MHz) δH 8.80 (1H, d, J = 1.7 Hz, H-2), 8.34–8.28 (1H, m, H-4), 7.52–7.46 (1H, m, H-7), 7.31–7.23 (2H, m, H-5 and H-6), 3.51–3.42 (2H, m, H2-11), 3.11–3.03 (2H, m, H2-13), 3.03–2.95 (2H, m, H2-15), 2.05–1.93 (2H, m, H2-12), 1.74–1.62 (2H, m, H2-16), 1.44–1.23 (8H, m, H2-17 to H2-20); 13C NMR (CD3OD, 100 MHz) δC 182.0 (C-8), 166.4 (C-9), 139.6 (C-2), 138.0 (C-7a), 127.9 (C-3a), 124.9 (C-5a), 123.9 (C-6a), 123.0 (C-4), 114.0 (C-7), 113.2 (C-3), 48.6 (C-15), 46.4 (C-13), 36.9 (C-11), 30.6 (C-18b), 30.5 (C-19b), 30.2 (C-20b), 27.5 (C-12b), 27.5 (C-17b), 27.3 (C-16b); (+)-HRESIMS m/z 329.2098 [M + 2H]2+ (calcd for C38H54N6O4, 329.2098).

3.2.27. N1,N12-Bis(3-(2-(5-methoxy-1H-indol-3-yl)-2-oxoacetamido)propyl)dodecane-1,12-diaminium 2,2,2-trifluoroacetate (30)

Using general procedure B, reaction of 22 (11 mg, 12 μmol) in CH2Cl2 (1.8 mL) with TFA (0.2 mL) afforded 30 as a yellow gum (8 mg, 90% yield) which required no further purification.
Rf = 0.29 (CH2Cl2:MeOH:TEA 4:1:0.01); IR νmax (ATR) 3033, 2930, 1670, 1618, 1434, 1178, 1130, 721 cm−1; 1H NMR (CD3OD, 400 MHz) δH 8.74 (1H, s, H-2), 7.85 (1H, d, J = 2.3 Hz, H-4), 7.38 (1H, d, J = 8.8 Hz, H-7), 6.91 (1H, dd, J = 8.8, 2.3 Hz, H-6), 3.85 (3H, s, H3-21), 3.46 (2H, t, J = 6.4 Hz, H2-11), 3.06 (2H, t, J = 7.2 Hz, H2-13), 3.00 (2H, t, J = 7.6 Hz, H2-15), 1.99 (2H, tt, J = 7.2, 6.4 Hz, H2-12), 1.74–1.63 (2H, m, H2-16), 1.43–1.25 (8H, m, H2-17 to H2-20); 13C NMR (CD3OD, 100 MHz) δC 181.9 (C-8), 166.5 (C-9), 158.2 (C-5), 139.6 (C-2), 132.7 (C-7a), 128.9 (C-3a), 114.6 (C-6), 113.9 (C-3 and C-7), 105.1 (C-4), 56.1 (C-21), 49.0 (C-15), 46.4 (C-13), 36.9 (C-11), 30.6 (C-18a), 30.5 (C-19a), 30.2 (C-20a), 27.5 (C-12b) 27.5 (C-17b), 27.3 (C-16); (+)-HRESIMS m/z 717.4304 [M + H]+ (calcd for C40H57N6O6, 717.4334).

3.2.28. N1,N12-Bis(3-(2-(6-methoxy-1H-indol-3-yl)-2-oxoacetamido)propyl)dodecane-1,12-diaminium 2,2,2-trifluoroacetate (31)

Using general procedure B, reaction of 23 (14 mg, 16 μmol) in CH2Cl2 (1.8 mL) with TFA (0.2 mL) afforded 31 as a yellow gum (16 mg, quant. yield) which required no further purification.
Rf = 0.31 (CH2Cl2:MeOH:TEA 4:1:0.01); IR νmax (ATR) 3346, 1626, 1449, 1153, 518 cm−1; 1H NMR (CD3OD, 400 MHz) δH8.70 (1H, s, H-2), 8.17 (1H, d, J = 8.7 Hz, H-4), 7.05 (1H, d, J = 2.3 Hz, H-7), 6.93 (1H, dd, J = 8.7, 2.3 Hz, H-6), 3.87 (3H, s, H3-21), 3.49 (2H, t, J = 6.6 Hz, H2-11), 3.08 (2H, t, J = 7.5, H2-13), 3.02 (2H, t, J = 7.6 Hz, H2-15), 2.02 (2H, tt, J = 7.5, 6.6 Hz, H2-12), 1.76–1.66 (2H, m, H2-16), 1.47–1.23 (4H, m, H2-17 to H2-20); 13C NMR (CD3OD, 100 MHz) δC 182.0 (C-8), 166.4 (C-9), 159.0 (C-6), 139.2 (C-7a), 139.0 (C-2), 123.5 (C-6), 121.7 (C-3a), 114.0 (C-3), 113.5 (C-5), 96.6 (C-7), 56.1 (C-21), 49.0 (C-15), 46.4 (C-13), 36.9 (C-11), 30.6 (C-18a), 30.4 (C-19a), 30.2 (C-20a), 27.5 (C-12a), 27.4 (C-17a), 27.2 (C-16a); (+)-HRESIMS m/z 717.4327 [M + H]+ (calcd for C40H57N6O6, 717.4334).

3.2.29. N1,N12-Bis(3-(2-(7-methoxy-1H-indol-3-yl)-2-oxoacetamido)propyl)dodecane-1,12-diaminium 2,2,2-trifluoroacetate (32)

Using general procedure B, reaction of 24 (8 mg, 9.0 μmol) in CH2Cl2 (1.8 mL) with TFA (0.2 mL) afforded 32 as a yellow oil (5 mg, 77% yield) which required no further purification.
Rf = 0.43 (CH2Cl2:MeOH:TEA 4:1:0.01); IR νmax (ATR) 3408, 1670, 1623, 1432, 1135, 737 cm−1; 1H NMR (CD3OD, 400 MHz) δH 8.71 (1H, s, H-2), 7.87 (1H, d, J = 7.9 Hz, H-4), 7.19 (1H, t, J = 7.9 Hz, H-5), 6.82 (1H, d, J = 7.9 Hz, H-6), 3.98 (3H, s, H3-21), 3.46 (2H, t, J = 6.2 Hz, H2-11), 3.05 (2H, t, J = 7.9 Hz, H2-13), 2.99 (2H, t, J = 8.4 Hz, H2-15), 2.02–1.93 (2H, m, H2-12), 1.73–1.63 (2H, m, H2-16), 1.43–1.26 (8H, m, H2-17, H2-18, H2-19 and H2-18); 13C NMR (CD3OD, 100 MHz) δC 182.1 (C-8), 166.4 (C-9), 148.1 (C-7), 138.6 (C-2), 129.5 (C-3a), 128.0 (C-7a), 124.8 (C-5), 115.4 (C-4), 114.4 (C-3), 105.3 (C-6), 56.0 (C-21), 47.9 (C-15), 46.4 (C-13), 36.9 (C-11), 30.6 (C-18a), 30.5 (C-19a), 30.2 (C-20a), 27.5 (C-12a), 27.5 (C-17a), 27.3 (C-16a); (+)-HRESIMS m/z 717.4326 [M + H]+ (calcd for C40H57N6O6, 717.4334).

3.2.30. Di-tert-butyl Butane-1,4-diylbis((3-(2-(1H-indol-3-yl)acetamido)propyl)carbamate) (33)

Using general procedure A, 2-(1H-indol-3-yl)acetic acid [26] (40 mg, 0.23 mmol), di-tert-butyl butane-1,4-diylbis((3-aminopropyl)carbamate) [25,27] (42 mg, 0.10 mmol), PyBOP (119 mg, 0.23 mmol) and Et3N (87 μL, 0.63 mmol) afforded 33 as a yellow oil (29 mg, 39% yield).
Rf = 0.14 (EtOAc); IR νmax (ATR) 3320, 2942, 1660, 1421, 1162, 1025, 742 cm−1; 1H NMR (DMSO-d6, 400 MHz) δH10.84 (1H, s, NH-1), 7.83 (1H, t, J = 5.6 Hz, NH-10), 7.54 (1H, d, J = 8.1 Hz, H-4), 7.33 (1H, d, J = 8.3 Hz, H-7), 7.17 (1H, d, J = 2.3 Hz, H-2), 7.05 (1H, ddd, J = 8.6, 8.3, 1.0 Hz, H-6), 6.95 (1H, ddd, J = 8.6, 8.1, 1.0 Hz, H-5), 3.48 (2H, s, H2-8), 3.13–2.96 (6H, m, H2-11, H2-13 and H2-15), 1.64–1.51 (2H, m, H2-12), 1.36 (9H, s, 3H3-19), 1.33–1.27 (2H, m, H2-16); 13C NMR (DMSO-d6, 100 MHz) δC 170.6 (C-9), 154.6 (C-17), 136.1 (C-7a), 127.2 (C-3a), 123.7 (C-2), 120.9 (C-6), 118.6 (C-4), 118.2 (C-5), 111.3 (C-7), 108.9 (C-3), 78.2 (C-18), 46.5, 46.1 (C-15), 44.6, 44.4 (C-13), 36.4 (C-11), 32.8 (C-8), 28.8 (C-12), 28.0 (C-19), 25.6, 25.1 (C-16); (+)-HRESIMS m/z 717.4310 [M + H]+ (calcd for C40H57N6O6, 717.4334).

3.2.31. Di-tert-butyl Octane-1,8-diylbis((3-(2-(1H-indol-3-yl)acetamido)propyl)carbamate) (34)

To a stirred solution of 2-(1H-indol-3-yl)acetic acid [26] (51 mg, 0.29 mmol), DIPEA (68 μL, 0.41 mmol) in DMF (1 mL) was added HATU (110 mg, 0.29 mmol). The reaction mixture was stirred under N2 at r.t. for 80 min, followed by the addition of di-tert-butyl octane-1,8-diylbis((3-aminopropyl)carbamate) [25] (63 mg, 0.14 mmol). The reaction mixture was further stirred for 22 h and then partitioned between H2O (30 mL) and CH2Cl2 (3 × 40 mL). The combined organic extracts were washed with brine (20 mL) and dried over MgSO4 and concentrated in vacuo. Purification by silica gel flash column chromatography (hexanes/EtOAc 1:1 to EtOAc/MeOH 4:1) afforded 34 as a yellow gum (79 mg, 35% yield).
Rf = 0.46 (EtOAc); IR νmax (ATR) 3283, 2930, 1658, 1419, 1156, 740 cm−1; 1H NMR (DMSO-d6, 400 MHz) δH 10.84 (1H, s, NH-1), 7.82 (1H, t, J = 5.6 Hz, NH-10), 7.53 (1H, d, J = 7.9 Hz, H-4), 7.33 (1H, m, H-7), 7.17 (1H, d, J = 2.1 Hz, H-2), 7.05 (1H, ddd, J = 8.1, 8.0, 1.0 Hz, H-6), 6.95 (1H, ddd, J = 8.1, 7.9, 1.0 Hz, H-5), 3.48 (2H, s, H2-8), 3.13–2.96 (6H, m, H2-11, H2-13 and H2-15), 1.63–1.52 (2H, m, H2-12), 1.44–1.33 (2H, m, H2-16), 1.36 (9H, s, 3H3-21), 1.26–1.19 (2H, m, H2-18), 1.17–1.11 (2H, m, H2-17); 13C NMR (DMSO-d6, 100 MHz) δC 170.6 (C-9), 154.6 (C-19), 136.1 (C-7a), 127.2 (C-3a), 123.7 (C-2), 120.8 (C-6), 118.6 (C-4), 118.2 (C-5), 111.3 (C-7), 108.9 (C-3), 78.2 (C-20), 46.4 (C-15), 44.6, 44.2 (C-13), 36.4 (C-11), 32.8 (C-8), 28.7 (C-18), 28.0 (C-21), 27.8 (C-16 and C-12), 26.1 (C-17); (+)-HRESIMS m/z 773.4937 [M + H]+ (calcd for C44H65N6O6, 773.4960).

3.2.32. Di-tert-butyl Dodecane-1,12-diylbis((3-(2-(1H-indol-3-yl)acetamido)propyl)carbamate) (35)

Using general procedure A, 2-(1H-indol-3-yl)acetic acid [26] (58 mg, 0.33 mmol), di-tert-butyl dodecane-1,12-diylbis((3-aminopropyl)carbamate) [27,28] (78 mg, 0.15 mmol), PyBOP (174 mg, 0.33 mmol) and Et3N (126 μL, 0.91 mmol) afforded 35 as a yellow oil (55 mg, 44% yield).
Rf = 0.60 (EtOAc); IR νmax (ATR) 3279, 2925, 1659, 1417, 1155, 740 cm−1; 1H NMR (DMSO-d6, 400 MHz) δH 10.84 (1H, s, NH-1), 7.83 (1H, t, J = 5.5 Hz, NH-10), 7.54 (1H, d, J = 8.0 Hz, H-4), 7.33 (1H, d, J = 8.1 Hz, H-7), 7.17 (1H, d, J = 1.8 Hz, H-2), 7.05 (1H, t, J = 8.1 Hz, H-6), 6.95 (1H, t, J = 8.0 Hz, H-5), 3.48 (2H, s, H2-8), 3.14–2.96 (6H, m, H2-11, H2-13 and H2-15), 1.63–1.52 (2H, m, H2-12), 1.44–1.32 (2H, m, H2-16), 1.36 (9H, s, 3H3-23), 1.27–1.20 (6H, m, H2-18 to H2-20), 1.19–1.11 (2H, m, H2-17); 13C NMR (DMSO-d6, 100 MHz) δC 170.6 (C-9), 154.6 (C-21), 136.1 (C-7a), 127.2 (C-3a), 123.7 (C-2), 120.9 (C-6), 118.6 (C-4), 118.2 (C-5), 111.3 (C-7), 108.9 (C-3), 78.2 (C-22), 46.5 (C-15), 44.5, 44.2 (C-13), 36.4 (C-11), 32.8 (C-8), 29.0 (C-18a), 28.9 (C-19a), 28.7 (C-20a), 28.0 (C-23), 27.8 (C-12 and C-16), 26.2 (C-17); (+)-HRESIMS m/z 851.5418 [M + Na]+ (calcd for C48H72N6NaO6, 851.5406).

3.2.33. N1,N4-Bis(3-(2-(1H-indol-3-yl)acetamido)propyl)butane-1,4-diaminium 2,2,2-trifluoroacetate (36)

Using general procedure B, reaction of 33 (10 mg, 14 μmol) in CH2Cl2 (1.7 mL) with TFA (0.3 mL) and subsequent purification by C18 reversed-phase column chromatography (30% MeOH/H2O (TFA)) afforded 36 as a red oil (6 mg, 83% yield).
Rf = 0.09 (CH2Cl2:MeOH:TEA 1:1:0.01); IR νmax (ATR) 3284, 1672, 1551, 1456, 1340, 1180, 721 cm−1; 1H NMR (DMSO-d6, 300 MHz) δH 10.89 (1H, s, NH-1), 8.40 (2H, br s, NH2-14), 8.07 (1H, t, J = 6.2 Hz, NH-10), 7.54 (1H, d, J = 8.1 Hz, H-4), 7.35 (1H, ddd, J = 8.0, 0.9, 0.7 Hz, H-7), 7.19 (1H, d, J = 2.2 Hz, H-2) 7.07 (1H, ddd, J = 8.0, 8.0, 1.2 Hz, H-6), 6.97 (1H, ddd, J = 8.1, 8.0, 0.9 Hz, H-5), 3.52 (2H, s, H2-8), 3.13 (2H, td, J = 6.9, 6.2 Hz, H2-11), 2.89–2.70 (4H, m, H2-13 and H2-15), 1.78–1.65 (2H, m, H2-12), 1.60–1.46 (2H, m, H2-16); 13C NMR (DMSO-d6, 75 MHz) δC 171.5 (C-9), 136.1 (C-7a), 127.1 (C-3a), 123.9 (C-2), 121.0 (C-6), 118.5 (C-5), 118.3 (C-4), 111.4 (C-7), 108.6 (C-3), 46.1 (C-15a), 44.5 (C-13a), 35.7 (C-11), 32.7 (C-8), 26.2 (C-12), 22.7 (C-16); (+)-HRESIMS m/z 517.3277 [M + H]+ (calcd for C30H41N6O2, 517.3286).

3.2.34. N1,N8-Bis(3-(2-(1H-indol-3-yl)acetamido)propyl)octane-1,8-diaminium 2,2,2-trifluoroacetate (37)

Using general procedure B, reaction of 34 (9 mg, 12 μmol) in CH2Cl2 (1.7 mL) with TFA (0.3 mL) followed by purification by LH20 column chromatography (MeOH) afforded 37 as a brown oil (6 mg, 90% yield).
Rf = 0.46 (EtOAc); IR νmax (ATR) 3277, 2940, 1672, 1132, 1023, 721 cm−1; 1H NMR (CD3OD, 400 MHz) δH7.57 (1H, d, J = 8.0 Hz, H-4), 7.37 (1H, d, J = 8.2 Hz, H-7), 7.21 (1H, s, H-2), 7.12 (1H, ddd, J = 8.2, 8.2, 1.0 Hz, H-6), 7.03 (1H, ddd, J = 8.2, 8.0, 1.0 Hz, H-5), 3.69 (2H, s, H2-8), 3.31–3.27 (2H, m, H2-11), 2.78 (2H, t, J = 6.8 Hz, H2-13), 2.75–2.70 (2H, m, H2-15), 1.79 (2H, tt, J = 6.8, 6.8 Hz, H2-12), 1.60–1.50 (2H, m, H2-16), 1.43–1.27 (4H, m, H2-17 and H2-18); 13C NMR (CD3OD, 100 MHz) δC 176.5 (C-9), 138.2 (C-7a), 128.4 (C-3a), 125.2 (C-2), 122.7 (C-6), 120.1 (C-5), 119.3 (C-4), 112.6 (C-7), 109.4 (C-3), 48.8 (C-15), 46.0 (C-13), 36.7 (C-11), 34.0 (C-8), 29.9 (C-18), 27.6 (C-12), 27.3 (C-17a), 27.1 (C-16a); (+)-HRESIMS m/z 573.3899 [M + H]+ (calcd for C34H49N6O2, 573.3912).

3.2.35. N1,N12-Bis(3-(2-(1H-indol-3-yl)acetamido)propyl)dodecane-1,12-diaminium 2,2,2-trifluoroacetate (38)

Using general procedure B, reaction of 35 (10 mg, 12 μmol) in CH2Cl2 (1.7 mL) with TFA (0.3 mL) followed by purification using LH20 column chromatography to afford 38 as a pink oil (8 mg, 92% yield).
Rf = 0.20 (CH2Cl2:MeOH:TEA 4:1:0.01); IR νmax (ATR) 3319, 2929, 1672, 1433, 1133, 721 cm−1; 1H NMR (CD3OD, 400 MHz) δH 7.59–7.56 (1H, m, H-4), 7.39–7.35 (1H, m, H-7), 7.21 (1H, s, H-2), 7.12 (1H, ddd, J = 8.3, 8.0, 1.2 Hz, H-6), 7.03 (1H, ddd, J = 8.3, 8.0, 1.0 Hz, H-5), 3.69 (2H, s, H2-8), 3.31–3.26 (2H, m, H2-11), 2.77 (2H, t, J = 7.1 Hz, H2-13), 2.74–2.68 (2H, m, H2-15), 1.78 (2H, tt, J = 7.1, 6.8 Hz, H2-12), 1.59–1.49 (2H, m, H2-16), 1.36–1.29 (8H, m, H2-17 to H2-20); 13C NMR (CD3OD, 100 MHz) δC 176.4 (C-9), 138.2 (C-7a), 128.4 (C-3a), 125.2 (C-2), 122.7 (C-6), 120.1 (C-5), 119.3 (C-4), 112.6 (C-7), 109.4 (C-3), 48.8 (C-15), 46.0 (C-13), 36.7 (C-11), 34.0 (C-8), 30.6 (C-18a), 30.5 (C-19a), 30.2 (C-20a), 27.6 (C-12), 27.5 (C-17a), 27.2 (C-16); (+)-HRESIMS m/z 629.4553 [M + H]+ (calcd for C38H57N6O2, 629.4538).

3.3. Biological Assays

3.3.1. In Vitro Anti-Protozoal Activity

The in vitro activities against the protozoan parasites T.b. rhodesiense, and P. falciparum and cytotoxicity assessment against L6 cells were determined as reported elsewhere [29]. The following strains, parasite forms and positive controls were used: T.b. rhodesiense, STIB900, trypomastigote forms, melarsoprol, IC50 of 0.005 μM; P. falciparum, NF54, erythrocytic stages, chloroquine, IC50 of 0.004 μM and L6 cells, rat skeletal myoblasts, podophyllotoxin, IC50 of 0.019 μM.

3.3.2. In Vivo Anti-Malarial Efficacy Studies

In vivo anti-malarial activity was assessed as previously described [30]. Groups of three female NMRI mice (20–22 g) were intravenously infected with 2 × 107 parasitized erythrocytes on day 0 with GFP-transfected P. berghei strain ANKA [32]. Compounds were formulated in 100% DMSO, diluted 10-fold in distilled water and administered intraperitoneally in a volume of 10 mL·kg−1 on four consecutive days (4, 24, 48 and 72 h post infection). Parasitemia was determined on day 4 post infection (24 h after last treatment) by FACS analysis. Activity was calculated as the difference between the mean per cent parasitaemia for the control (n = 5 mice) and treated groups expressed as a per cent relative to the control group. The survival of the animals was usually monitored up to 30 days: a compound was considered curative if the animal survived to day 30 after infection with no detectable parasites. In vivo efficacy studies in mice were conducted according to the rules and regulations for the protection of animal rights (“Tierschutzverordnung”) of the Swiss “Bundesamt für Veterinärwesen”. They were approved by the veterinary office of Canton Basel-Stadt, Switzerland.

4. Conclusions

The polyamine marine natural products didemnidine A (2) and B (3) have been previously identified as weak in vitro growth inhibitors of Trypanosoma brucei rhodesiense and Plasmodium falciparum. A series of 1, ω-substituted polyamine analogues were prepared that explored the influence of “capping acids” indole-3-glyoxylic acid and indole-3-acetic acid, length of polyamine chain and the presence or absence of mid-chain nitrogen substitution on antiprotozoal activity. Three analogues, one containing a PA3-8-3 core (20) and two containing PA3-12-3 cores (29, 32) were identified as particularly potent antimalarials, with the former example also exhibiting good selectivity. Several analogues were identified that exhibit more enhanced anti-Trypanosoma brucei activity than the original natural product hits, but these same analogues also exhibited cytotoxicity, making them poorly selective. PA3-8-3 analogue 20 was only mildly active against P. berghei infection in a mouse model.

Supplementary Files

  • Supplementary File 1:

    Supplementary Materials (ZIP, 26 KB)

  • Acknowledgments

    We acknowledge funding from the University of Auckland Biopharma Thematic Research Initiative (76639). We thank M. Cal, C. Braghiroli and G. Riccio (Swiss TPH) for parasite assay results, M. Schmitz for assistance with NMR data acquisition, and R. Imatdieva and N. Lloyd for MS data.

    Author Contributions

    Conceived and designed the experiments: JW MK BRC. Performed the experiments: JW MK. Analyzed the data: MK BRC. Wrote the paper: JW MK BRC.

    Conflicts of Interest

    The authors declare no conflict of interest.

    References

    1. Bienz, S.; Bisegger, P.; Guggisberg, A.; Hesse, M. Polyamine alkaloids. Nat. Prod. Rep. 2005, 22, 647–658. [Google Scholar] [CrossRef]
    2. Basu, H.S.; Marton, L.J.; Pellarin, M.; Deen, D.F.; McManis, J.S.; Liu, C.Z.; Bergeron, R.J.; Feuerstein, B.G. Design and testing of novel cytotoxic polyamine analogues. Cancer Res. 1994, 54, 6210–6214. [Google Scholar]
    3. Hahm, H.A.; Dunn, V.R.; Butash, K.A.; Deveraux, W.L.; Woster, P.M.; Casero, R.A.; Davidson, N.E. Combination of standard cytotoxic agents with polyamine analogues in the treatment of breast cancer cell lines. Clin. Cancer Res. 2001, 7, 391–399. [Google Scholar]
    4. Casero, R.A.; Woster, P.M. Terminally alkylated polyamine analogues as chemotherapeutic agents. J. Med. Chem. 2001, 44, 1–26. [Google Scholar] [CrossRef]
    5. Pachaiyappan, B.; Woster, P.M. Design of small molecule epigenetic modulators. Bioorgan. Med. Chem. Lett. 2014, 24, 21–32. [Google Scholar] [CrossRef]
    6. Huang, Y.; Stewart, T.M.; Wu, Y.; Baylin, S.B.; Marton, L.J.; Perkins, B.; Jones, R.J.; Woster, P.M.; Casero, R.A. Novel oligoamine analogues inhibit lysine-specific demethylase 1 (LSD1) and induce re-expression of epigenetically silenced genes. Clin. Cancer Res. 2009, 15, 7217–7228. [Google Scholar] [CrossRef]
    7. Huang, Y.; Greene, E.; Stewart, T.M.; Goodwin, A.C.; Baylin, S.B.; Woster, P.M.; Casero, R.A. Inhibition of lysine-specific demethylase 1 by polyamine analogues results in reexpression of aberrantly silenced genes. Proc. Natl. Acad. Sci. USA 2007, 104, 8023–8028. [Google Scholar]
    8. Matkovics, B.; Kecskemetic, V.; Varga, S.I.; Novak, Z.; Kertesz, Z. Antioxidant properties of di- and polyamines. Comp. Biochem. Physiol. 1993, 104, 475–479. [Google Scholar] [CrossRef]
    9. Zou, Y.; Wu, Z.; Sirisoma, N.; Woster, P.M.; Casero, R.A.; Weiss, L.M.; Rattendi, D.; Lane, S.; Bacchi, C.J. Novel alkylpolyamine analogues that possess both antitrypanosomal and antimicrosporidial activity. Bioorg. Med. Chem. Lett. 2001, 11, 1613–1617. [Google Scholar] [CrossRef]
    10. Bi, X.; Lopez, C.; Bacchi, C.J.; Rattendi, D.; Woster, P.M. Novel alkylpolyaminoguanidines and alkylpolyaminobiguanidines with potent antitrypanosomal activity. Bioorg. Med. Chem. Lett. 2006, 16, 3229–3232. [Google Scholar] [CrossRef]
    11. Bitonti, A.J.; Dumont, J.A.; Bush, T.L.; Edwards, M.L.; Stemerick, D.M.; McCann, P.P.; Sjoerdsma, A. Bis(benzyl)polyamine analogs inhibit the growth of chloroquine-resistant human malaria parasites (Plasmodium falciparum) in vitro and in combination with alpha-difluoromethylornithine cure murine malaria. Proc. Natl. Acad. Sci. USA 1989, 86, 651–655. [Google Scholar] [CrossRef]
    12. Bitonti, A.J.; Dumont, J.A.; McCann, P.P. Uptake of antimalarial bis(benzyl)polyamine analogs by human erythrocytes. Biochem. Pharmacol. 1989, 38, 3638–3642. [Google Scholar] [CrossRef]
    13. Bitonti, A.J.; McCann, P.P.; Sjoerdsma, A. The effects of polyamine analogues on malaria parasites in vitro and in vivo. Adv. Exp. Med. Biol. 1988, 250, 717–726. [Google Scholar] [CrossRef]
    14. Edwards, M.L.; Stemerick, D.M.; Bitonti, A.J.; Dumont, J.A.; McCann, P.P.; Bey, P.; Sjoerdsma, A. Antimalarial polyamine analogues. J. Med. Chem. 1991, 34, 569–574. [Google Scholar] [CrossRef]
    15. Verlinden, B.K.; Niemand, J.; Snyman, J.; Sharma, S.K.; Beattie, R.J.; Woster, P.M.; Birkholtz, L.-M. Discovery of novel alkylated (bis)urea and (bis)thiourea polyamine analogues with potent antimalarial activities. J. Med. Chem. 2011, 54, 6624–6633. [Google Scholar] [CrossRef]
    16. Choomuenwai, V.; Schwartz, B.D.; Beattie, K.D.; Andrews, K.T.; Khokhar, S.; Davis, R.A. The discovery, synthesis and antimalarial evaluation of natural product-based polyamine alkaloids. Bioorg. Med. Chem. Lett. 2014, 54, 5188–5191. [Google Scholar]
    17. Copp, B.R.; Kayser, O.; Brun, R.; Kinderlen, A.F. Antiparasitic activity of marine pyridoacridone alkaloids related to the ascididemins. Planta Med. 2003, 69, 527–531. [Google Scholar] [CrossRef]
    18. McCracken, S.T.; Kaiser, M.; Boshoff, H.I.; Boyd, P.D.W.; Copp, B.R. Synthesis and antimalarial and antituberculosis activities of a series of natural and unnatural 4-methoxy-6-styryl-pyran-2-ones, dihydro analogues and photo-dimers. Bioorg. Med. Chem. 2012, 20, 1482–1493. [Google Scholar] [CrossRef]
    19. Chan, S.T.S.; Pearce, A.N.; Januario, A.H.; Page, M.J.; Kaiser, M.; McLaughlin, R.J.; Harper, J.L.; Webb, V.L.; Barker, D.; Copp, B.R. Anti-inflammatory and antimalarial meroterpenoids from the New Zealand ascidian Aplidium scabellum. J. Org. Chem. 2011, 76, 9151–9156. [Google Scholar] [CrossRef]
    20. Chan, S.T.S.; Pearce, A.N.; Page, M.J.; Kaiser, M.; Copp, B.R. Antimalarial β-carbolines from the New Zealand ascidian Pseudodistoma opacum. J. Nat. Prod. 2011, 74, 1972–1979. [Google Scholar] [CrossRef]
    21. Lam, C.F.C.; Pearce, A.N.; Tan, S.H.; Kaiser, M.; Copp, B.R. Discovery and evaluation of thiazinoquinones as anti-protozoal agents. Mar. Drugs 2013, 11, 3472–3499. [Google Scholar] [CrossRef]
    22. Pearce, A.N.; Chia, E.W.; Berridge, M.V.; Maas, E.W.; Page, M.J.; Harper, J.L.; Webb, V.L.; Copp, B.R. Orthidines A–E, tubastrine, 3,4-dimethoxyphenethyl-β-guanidine, and 1,14-sperminedihomovanillamide: potential anti-inflammatory alkaloids isolated from the New Zealand ascidian Aplidium orthium that act as inhibitors of neutrophil respiratory burst. Tetrahedron 2008, 64, 5748–5755. [Google Scholar] [CrossRef]
    23. Liew, L.P.P.; Kaiser, M.; Copp, B.R. Discovery and preliminary structure-activity relationship analysis of 1,14-sperminediphenylacetamides as potent and selective antimalarial lead compounds. Bioorg. Med. Chem. Lett. 2013, 23, 452–454. [Google Scholar] [CrossRef]
    24. Finlayson, R.; Pearce, A.N.; Page, M.J.; Kaiser, M.; Bourguet-Kondracki, M.-L.; Harper, J.L.; Webb, V.L.; Copp, B.R. Didemnidines A and B, indole spermidine alkaloids from the New Zealand ascidian Didemnum sp. J. Nat. Prod. 2011, 74, 888–892. [Google Scholar] [CrossRef]
    25. Liew, L.P.P.; Pearce, A.N.; Kaiser, M.; Copp, B.R. Synthesis and in vitro and in vivo evaluation of antimalarial polyamines. Eur. J. Med. Chem. 2013, 69, 22–31. [Google Scholar] [CrossRef]
    26. Guan, X.; Borchardt, R.T. A convenient method for the synthesis of indole-3-acetic acids. Tetrahedron Lett. 1994, 35, 3013–3016. [Google Scholar] [CrossRef]
    27. Klenke, B.; Stewart, M.; Barrett, M.P.; Brun, R.; Gilbert, I.H. Synthesis and biological evaluation of S-triazine substituted polyamines as potential new anti-trypanosomal drugs. J. Med. Chem. 2001, 44, 3440–3452. [Google Scholar] [CrossRef]
    28. Klenke, B.; Gilbert, I.H. Nitrile reduction in the presence of Boc-protected amino groups by catalytic hydrogenation over Palladium-activated Raney-Nickel. J. Org. Chem. 2001, 66, 2480–2483. [Google Scholar] [CrossRef]
    29. Orhan, I.; Şener, B.; Kaiser, M.; Brun, R.; Tasdemir, D. Inhibitory activity of marine sponge-derived natural products against parasitic protozoa. Mar. Drugs 2010, 8, 47–58. [Google Scholar] [CrossRef]
    30. Peters, W. Chemotherapy, and Drug Resistance in Malaria; Academic Press, Inc.: New York, NY, USA, 1987; pp. 145–273. [Google Scholar]
    31. Ballantine, J.A.; Barrett, C.B.; Beer, R.J.S.; Boggiano, B.G.; Clarke, K.; Eardley, S.; Jennings, B.E.; Robertson, A. The chemistry of bacteria. Part IV. A C20-acid from violacein. J. Chem. Soc. 1957, 2222–2227. [Google Scholar] [CrossRef]
    32. Franke-Fayard, B.; Trueman, H.; Ramesar, J.; Mendoza, J.; van der Keur, M.; van der Linden, R.; Sinden, R.E.; Waters, A.P.; Janse, C.J. A Plasmodium berghei reference line that constitutively expresses GFP at a high level throughout the complete life cycle. Mol. Biochem. Parasitol. 2004, 137, 23–33. [Google Scholar] [CrossRef]

    Share and Cite

    MDPI and ACS Style

    Wang, J.; Kaiser, M.; Copp, B.R. Investigation of Indolglyoxamide and Indolacetamide Analogues of Polyamines as Antimalarial and Antitrypanosomal Agents. Mar. Drugs 2014, 12, 3138-3160. https://doi.org/10.3390/md12063138

    AMA Style

    Wang J, Kaiser M, Copp BR. Investigation of Indolglyoxamide and Indolacetamide Analogues of Polyamines as Antimalarial and Antitrypanosomal Agents. Marine Drugs. 2014; 12(6):3138-3160. https://doi.org/10.3390/md12063138

    Chicago/Turabian Style

    Wang, Jiayi, Marcel Kaiser, and Brent R. Copp. 2014. "Investigation of Indolglyoxamide and Indolacetamide Analogues of Polyamines as Antimalarial and Antitrypanosomal Agents" Marine Drugs 12, no. 6: 3138-3160. https://doi.org/10.3390/md12063138

    APA Style

    Wang, J., Kaiser, M., & Copp, B. R. (2014). Investigation of Indolglyoxamide and Indolacetamide Analogues of Polyamines as Antimalarial and Antitrypanosomal Agents. Marine Drugs, 12(6), 3138-3160. https://doi.org/10.3390/md12063138

    Article Metrics

    Back to TopTop