Antitumor Effect of a Polypeptide Fraction from Arca subcrenata in Vitro and in Vivo
Abstract
:1. Introduction
2. Results
2.1. In Vitro Cytotoxicity Evaluation
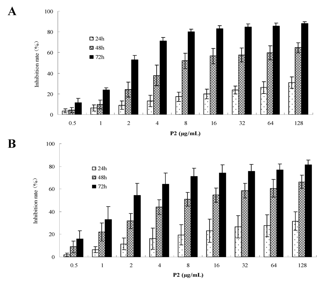
2.1.1. Effects of P2 on Human Tumor Cell Lines

2.1.2. Cytotoxicity on Tumor Cells and Normal Cells



2.2. Acute Toxicity Testing

| BA | AA | |||||||||||
| 1 day | 2 days | 3 days | 4 days | 5 days | 6 days | 7 days | 10 days | 14 days | ||||
| Intraperitoneal injection | Male | Saline | 18.68 ± 0.97 | 22.43 ± 1.06 | 22.34 ± 0.95 | 24.22 ± 1.39 | 25.22 ± 1.51 | 26.07 ± 1.89 | 28.22 ± 1.93 | 28.44 ± 2.02 | 32.53 ± 1.66 | 34.35 ± 1.76 |
| P2 | 18.52 ± 1.08 | 21.31 ± 0.78 * | 21.00 ± 0.65 ** | 23.05 ± 0.84 * | 24.75 ± 0.95 | 26.7 ± 1.05 | 28.24 ± 1.67 | 33.86 ± 1.42 | 33.86 ± 1.42 | 35.15 ± 1.56 | ||
| Female | Saline | 19.55 ± 0.85 | 21.97 ± 1.12 | 21.63 ± 1.06 | 23.25 ± 1.31 | 24.16 ± 1.68 | 24.21 ± 1.58 | 25.38 ± 1.45 | 25.19 ± 1.50 | 26.82 ± 1.48 | 27.83 ± 1.40 | |
| P2 | 19.31 ± 0.87 | 19.52 ± 1.07 ** | 19.47 ± 1.04 ** | 21.29 ± 1.24 ** | 23.12 ± 1.68 | 24.05 ± 1.60 | 24.82 ± 1.80 | 24.79 ± 1.71 | 27.47 ± 2.00 | 26.34 ± 2.64 | ||
| Intravenous injection | Male | Saline | 18.28 ± 0.94 | 23.54 ± 1.46 | 23.12 ± 1.31 | 25.16 ± 1.68 | 26.70 ± 1.77 | 28.19 ± 1.78 | 29.77 ± 1.84 | 30.40 ± 1.86 | 32.98 ± 1.95 | 34.52 ± 2.37 |
| P2 | 18.49 ± 0.82 | 21.17 ± 0.92 ** | 21.19 ± 0.90 ** | 23.41 ± 1.14 * | 25.06 ± 1.01 * | 26.48 ± 1.24 * | 28.62 ± 0.94 | 29.50 ± 1.00 | 33.18 ± 1.33 | 33.72 ± 1.23 | ||
| Female | Saline | 19.68 ± 0.77 | 22.75 ± 1.22 | 22.25 ± 1.21 | 23.79 ± 1.47 | 24.42 ± 1.59 | 24.87 ± 1.75 | 26.24 ± 1.47 | 26.25 ± 1.70 | 28.29 ± 1.79 | 29.47 ± 1.80 | |
| P2 | 19.52 ± 1.03 | 20.81 ± 1.36 ** | 20.47 ± 1.31 ** | 22.23 ± 1.60 * | 23.25 ± 1.37 | 23.94 ± 1.68 | 25.06 ± 1.62 | 24.87 ± 1.66 | 27.31 ± 1.66 | 28.62 ± 1.72 | ||
| Models | Drug | Dosage (mg *·kg/day × 9) | Tumor weight (Mean ± SD, g) | Tumor growth inhibition (%) | Spleen index (mg/10 g) | Thymus index (mg/10 g) |
|---|---|---|---|---|---|---|
| S-180 | Control | Normal Saline | 1.53 ± 0.48 | - | 5.32 ± 0.97 | 2.94 ± 0.53 |
| CTX | 25 | 0.30 ± 0.16 ** | 80.4 | 2.27 ± 0.91 ** | 1.04 ± 0.36 ** | |
| P2 | 7 | 1.01 ± 0.35 **∆∆ | 34.0 | 8.29 ± 0.72 **∆∆ | 2.97 ± 0.66 ∆∆ | |
| 21 | 0.83 ± 0.43 **∆∆ | 45.8 | 9.22 ± 1.70 **∆∆ | 2.98 ± 0.62 ∆∆ | ||
| 63 | 0.61 ± 0.27 **∆∆ | 60.1 | 10.58 ± 1.58 **∆∆ | 2.62 ± 0.57 ∆∆ | ||
| H-22 | Control | Normal Saline | 1.40 ± 0.34 | - | 6.52 ± 1.35 | 2.99 ± 0.46 |
| CTX | 25 | 0.39 ± 0.14 ** | 72.1 | 3.29 ± 1.03 ** | 1.56 ± 0.58 ** | |
| P2 | 7 | 1.03 ± 0.29 **∆∆ | 26.4 | 7.83 ± 1.87 *∆∆ | 2.68 ± 0.48 ∆∆ | |
| 21 | 0.82 ± 0.29 **∆∆ | 41.4 | 9.28 ± 1.20 **∆∆ | 2.64 ± 0.45 ∆∆ | ||
| 63 | 0.75 ± 0.25 **∆∆ | 46.4 | 11.20 ± 2.59 **∆∆ | 2.43 ± 0.66 *∆∆ |
2.3. Evaluation of Antitumor in Vivo

3. Discussion
4. Experimental Section
4.1. Chemical
4.2. Extraction Procedure and Sample Preparation
4.3. Cell Lines and Culture
4.4. Animals
4.5. Cytotoxicity Assay
4.6. Acute Toxicity Testing
4.7. Antitumor Activity in Vivo
4.8. Statistical Analysis
5. Conclusions
Acknowledgements
References
- Simmons, T.L.; Andrianasolo, E.; McPhail, K.; Flatt, P.; Gerwick, W.H. Marine natural products as anticancer drugs. Mol. Cancer Ther. 2005, 4, 333–342. [Google Scholar]
- Kumar, N.S.S.; Nazeer, R.A.; Jaiganesh, R. Purification and identification of antioxidant peptides from the skin protein hydrolysate of two marine fishes, horse mackerel (Magalaspis cordyla) and croaker (Otolithes ruber). Amino Acids 2012, 42, 1641–1649. [Google Scholar] [CrossRef]
- Wu, S.C.; Zhang, Z.X. Scavenging effects of extracts of Scapharca subcrenata on oxygen free radical. Mod. Food Sci. Technol. 2010, 26, 238–240. [Google Scholar]
- Jiao, G.L.; Yu, G.L.; Wang, W.; Zhao, X.L.; Zhang, J.Z.; Ewart, S.H. Properties of polysaccharides in several seaweeds from Atlantic Canada and their potential anti-influenza viral activities. J. Ocean Univ. China 2012, 11, 205–212. [Google Scholar] [CrossRef]
- Galeano, E.; Thomas, O.P.; Robledo, S.; Munoz, D.; Martinez, A. Antiparasitic bromotyrosine derivatives from the marine sponge Verongula rigida. Mar. Drugs 2011, 9, 1902–1913. [Google Scholar] [CrossRef]
- Yoon, N.Y.; Kim, H.R.; Chung, H.Y.; Choi, J.S. Anti-hyperlipidemic effect of an edible brown algae, Ecklonia stolonifera, and its constituents on poloxamer 407-induced hyperlipidemic and cholesterol-fed rats. Arch. Pharm. Res. 2008, 31, 1564–1571. [Google Scholar] [CrossRef]
- Salma, Y.; Lafont, E.; Therville, N.; Carpentier, S.; Bonnafé, M.J.; Levade, T.; Génisson, Y.; Nathalie, A.A. The natural marine anhydrophytosphingosine, Jaspine B, induces apoptosis in melanoma cells by interfering with ceramide metabolism. Biochem. Pharmacol. 2009, 78, 477–485. [Google Scholar] [CrossRef]
- Fukahori, S.; Yano, H.; Akiba, J.; Ogasawara, S.; Momosaki, S.; Sanada, S.; Kuratomi, K.; Ishizaki, Y.; Moriya, F.; Yagi, M. Fucoidan, a major component of brown seaweed, prohibits the growth of human cancer cell lines in vitro. Mol. Med. Rep. 2008, 1, 537–542. [Google Scholar]
- Hyun, J.H.; Kim, S.C.; Kang, J.I.; Kim, M.K.; Boo, H.J.; Kwon, J.M.; Koh, Y.S.; Hyun, J.W.; Park, D.B.; Yoo, E.S. Apoptosis inducing activity of fucoidan in HCT-15 colon carcinoma cells. Biol. Pharm. Bull. 2009, 32, 1760–1764. [Google Scholar] [CrossRef]
- Park, H.S.; Kim, G.Y.; Nam, T.J.; Kim, N.D.; Choi, Y.H. Anti-proliferative activity of fucoidan was associated with the induction of apoptosis and autophagy in AGS human gastric cancer cells. J. Food Sci. 2011, 76, 77–83. [Google Scholar]
- Wang, M.Y.; Nie, Y.X.; Peng, Y.; He, F.; Yang, J.Y.; Wu, C.F.; Li, X.B. Purification, characterization and antitumor activities of a new protein from Syngnathus acus, an officinal marine fish. Mar. Drugs 2012, 10, 35–50. [Google Scholar]
- Kimura, M.; Wakimoto, T.; Egami, Y.; Tan, K.C.; Ise, Y.; Abe, I. Calyxamides A and B, cytotoxic cyclic peptides from the marine sponge Discodermia calyx. J. Nat. Prod. 2012, 75, 290–294. [Google Scholar] [CrossRef]
- Ibrahim, S.R.M.; Min, C.C.; Teuscher, F.; Ebel, R.; Kakoschke, C.; Lin, W.; Wray, V.; Ebel, R.E.; Proksch, P. Callyaerins A–F and H, new cytotoxic cyclic peptides from the Indonesian marine sponge Callyspongia aerizusa. Bioorg. Med. Chem. 2010, 18, 4947–4956. [Google Scholar] [CrossRef]
- Guo, X.S.; Li, Y. Marine Traditional Chinese Medicines; Sciences Press: Beijing, China, 2003; pp. 138–141. [Google Scholar]
- Song, L.Y.; Li, T.F.; Yu, R.M.; Yan, C.Y.; Ren, S.F.; Zhao, Y. Antioxidant activities of hydrolysates of Arca subcrenata prepared with three proteases. Mar. Drugs 2008, 6, 607–619. [Google Scholar] [CrossRef]
- Hu, X.Q.; Wu, H.M.; Lin, Z.M.; Fan, X.P. Preliminary study on physicochemical property of glycosaminoglycan from Arca subcrenata Lischke and its effects on immune organs of mice. Modern Food Sci. Technol. 2008, 24, 763–766. [Google Scholar]
- Wang, L.; He, Y.M.; Yao, Q.S. Studies on immunomodulation of polysaccharide from Arca subcrenata Lischke. West China J. Pharm. Sci. 2009, 24, 340–342. [Google Scholar]
- He, Y.M.; Liu, C.H.; Yao, Q.S. Isolation and structural characterization of a novel polysaccharide prepared from Arca subcrenata Lischke. J. Biosci. Bioeng. 2007, 104, 111–116. [Google Scholar] [CrossRef]
- Ren, S.F.; Song, L.Y.; Yu, R.M. Fingerprint analysis of anti-tumor active polypeptides from Arca subcrenata by HPLC. J. Chin. Med. Mater. 2008, 31, 1134–1138. [Google Scholar]
- Song, L.Y.; Ren, S.F.; Yu, R.M.; Yan, C.Y.; Li, T.F.; Zhao, Y. Purification, characterization and in vitro antitumor activity of proteins from Arca subcrenata Lischke. Mar. Drugs 2008, 6, 418–430. [Google Scholar] [CrossRef]
- Zhang, G.K.; Liu, H.Y.; Qi, F.S.; Wang, Y.H. Changes of ATP content during keeping-alive Scapharca subcrenata. Food Sci. Technol. 2011, 36, 120–123. [Google Scholar]
- Kawabe, T. G2 checkpoint abrogators as anticancer drugs. Mol. Cancer Ther. 2004, 3, 513–519. [Google Scholar]
- Tokarska-Schlattner, M.; Zaugg, M.; Zuppinger, C.; Wallimann, T.; Schlattner, U. New insights into doxorubicin-induced cardiotoxicity: The critical role of cellular energetics. J. Mol. Cell. Cardiol. 2006, 41, 389–405. [Google Scholar] [CrossRef]
- Yeh, E.T.H.; Bickford, C.L. Cardiovascular complications of cancer therapy. J. Am. Coll. Cardiol. 2009, 53, 2231–2247. [Google Scholar] [CrossRef]
- Wang, J.X.; Tong, X.; Li, P.B.; Cao, H.; Su, W.W. Immuno-enhancement effects of Shenqi Fuzheng Injection on cyclophosphamide-induced immunosuppression in Balb/c mice. J. Ethnopharmacol. 2012, 139, 788–795. [Google Scholar] [CrossRef]
- Ghiringhelli, F.; Larmonier, N.; Schmitt, E.; Parcellier, A.; Cathelin, D.; Garrido, C.; Chauffert, B.; Solary, E.; Bonnotte, B.; Martin, F. CD4+CD25+ regulatory T cells suppress tumor immunity but are sensitive to cyclophosphamide which allows immunotherapy of established tumors to be curative. Eur. J. Immunol. 2004, 34, 336–344. [Google Scholar] [CrossRef]
- Mousinho, K.C.; de C. Oliveira, C.; de O. Ferreira, J.R.; Carvalho, A.A.; Magalhães, H.I.F.; Bezerra, D.P.; Alves, A.P.N.N.; Costa-Lotufo, L.V.; Pessoa, C.; de Matos, M.P.V.; et al. Antitumor effect of laticifer proteins of Himatanthus drasticus (Mart.) Plumel—Apocynaceae. J. Ethnopharmacol. 2011, 137, 421–426. [Google Scholar] [CrossRef]
- Zhang, N.; Kong, X.L.; Yan, S.; Yuan, C.Z.; Yang, Q.F. Huaier aqueous extract inhibits proliferation of breast cancer cells by inducing apoptosis. Cancer Sci. 2010, 101, 2375–2383. [Google Scholar] [CrossRef]
- Tong, H.B.; Song, X.F.; Sun, X.; Sun, G.R.; Du, F.F. Immunomodulatory and antitumor activities of grape seed proanthocyanidins. J. Agric. Food Chem. 2011, 59, 11543–11547. [Google Scholar]
- Huang, Y.J.; Song, L.Y.; Yu, R.M. Immunomodulatory activity of polypeptides extract from Arca subcrenata Lischke (PEAS) in vitro. Chin. J. Biochem. Pharm. 2011, 32, 273–277. [Google Scholar]
- Wang, W.; Guo, Q.L.; You, Q.D.; Zhang, K.; Yang, Y.; Yu, J.; Liu, W.; Zhao, L.; Gu, H.Y.; Hu, Y. The anticancer activities of wogonin in murine Sarcoma S-180 both in vitro and in vivo. Biol. Pharm. Bull. 2006, 29, 1132–1137. [Google Scholar] [CrossRef]
- Garrec, D.L.; Gori, S.; Luo, L.; Lessard, D.; Smith, D.C.; Yessine, M.A.; Ranger, M.; Leroux, J.C. Poly(N-vinylpyrrolidone)-block-poly(D, L-lactide) as a new polymeric solubilizer for hydrophobic anticancer drugs: In vitro and in vivo evaluation. J. Control. Release 2004, 99, 83–101. [Google Scholar] [CrossRef]
- Samples Availability: Available from the authors.
© 2012 by the authors; licensee MDPI, Basel, Switzerland. This article is an open-access article distributed under the terms and conditions of the Creative Commons Attribution license (http://creativecommons.org/licenses/by/3.0/).
Share and Cite
Hu, X.; Song, L.; Huang, L.; Zheng, Q.; Yu, R. Antitumor Effect of a Polypeptide Fraction from Arca subcrenata in Vitro and in Vivo. Mar. Drugs 2012, 10, 2782-2794. https://doi.org/10.3390/md10122782
Hu X, Song L, Huang L, Zheng Q, Yu R. Antitumor Effect of a Polypeptide Fraction from Arca subcrenata in Vitro and in Vivo. Marine Drugs. 2012; 10(12):2782-2794. https://doi.org/10.3390/md10122782
Chicago/Turabian StyleHu, Xianjing, Liyan Song, Lijiao Huang, Qin Zheng, and Rongmin Yu. 2012. "Antitumor Effect of a Polypeptide Fraction from Arca subcrenata in Vitro and in Vivo" Marine Drugs 10, no. 12: 2782-2794. https://doi.org/10.3390/md10122782
APA StyleHu, X., Song, L., Huang, L., Zheng, Q., & Yu, R. (2012). Antitumor Effect of a Polypeptide Fraction from Arca subcrenata in Vitro and in Vivo. Marine Drugs, 10(12), 2782-2794. https://doi.org/10.3390/md10122782
