Investigation of the Relationship Between Glycemic Control and Inflammation–Nutrition Indices in Older Adults with Type 2 Diabetes
Abstract
1. Introduction
2. Materials and Methods
2.1. Study Design and Participants
2.2. Sample Size
2.2.1. Inclusion Criteria
- –
- Age ≥ 65 years at hospital admission.
- –
- Diagnosis of type 2 diabetes mellitus according to American Diabetes Association criteria.
- –
- Availability of complete laboratory data required to calculate inflammation–nutrition indices, including HALP, EASIX, and UHR.
2.2.2. Exclusion Criteria
- –
- Diagnosis of type 1 diabetes mellitus or secondary forms of diabetes.
- –
- Active malignancy or hematological disorders affecting hemoglobin, platelet, or lymphocyte counts.
- –
- Chronic liver disease or advanced liver failure.
- –
- Acute or chronic inflammatory diseases unrelated to diabetes that may affect inflammation–nutrition indices (e.g., sepsis unrelated to diabetes, autoimmune disorders).
- –
- Missing or insufficient laboratory or clinical data required for study analyses.
- –
- Hospitalization due to trauma or planned surgery.
2.3. Data Collection
2.4. Laboratory Measurements
2.5. Inflammation–Nutrition Indices
2.6. Statistical Analysis
3. Results
3.1. Key Characteristics of the Participants
3.2. The Relationship Between HALP, EASIX, and UHR Scores and Glycemic Control
4. Discussion
Glycemic Control and Mortality
5. Conclusions
Author Contributions
Funding
Institutional Review Board Statement
Informed Consent Statement
Data Availability Statement
Acknowledgments
Conflicts of Interest
Abbreviations
| EASIX | Endothelial activation and stress index |
| HALP | Hemoglobin, albumin, lymphocyte, platelet score |
| UHR | Uric acid-to-high-density cholesterol ratio |
References
- Sun, H.; Saeedi, P.; Karuranga, S.; Pinkepank, M.; Ogurtsova, K.; Duncan, B.B.; Stein, C.; Basit, A.; Chan, J.C.; Mbanya, J.C.; et al. IDF Diabetes Atlas: Global, regional and country-level diabetes prevalence estimates for 2021 and projections for 2045. Diabetes Res. Clin. Pract. 2022, 183, 109119. [Google Scholar] [CrossRef]
- Hayes, A.; Arima, H.; Woodward, M.; Chalmers, J.; Poulter, N.; Hamet, P.; Clarke, P. Changes in quality of life associated with complications of diabetes: Results from the ADVANCE study. Value Health 2016, 19, 36–41. [Google Scholar] [CrossRef] [PubMed]
- Stevens, P.E.; Ahmed, S.B.; Carrero, J.J.; Foster, B.; Francis, A.; Hall, R.K. KDIGO 2024 clinical practice guideline for the evaluation and management of chronic kidney disease. Kidney Int. 2024, 105, S117–S314. [Google Scholar] [CrossRef] [PubMed]
- Mesinovic, J.; Fyfe, J.J.; Talevski, J.; Wheeler, M.J.; Leung, G.K.; George, E.S.; Hunegnaw, M.T.; Glavas, C.; Jansons, P.; Daly, R.M.; et al. Type 2 diabetes mellitus and sarcopenia as comorbid chronic diseases in older adults: Established and emerging treatments and therapies. Diabetes Metab. J. 2023, 47, 719–742. [Google Scholar] [CrossRef] [PubMed]
- Wang, S.; Jia, B.; Niu, S.; Chen, S. Relationship between the hemoglobin, albumin, lymphocyte count, platelet count (HALP) score and type 2 diabetes retinopathy. Diabetes Metab. Syndr. Obes. 2024, 17, 2693–2706. [Google Scholar] [CrossRef]
- Luft, T.; Benner, A.; Jodele, S.; Dandoy, C.E.; Storb, R.; Gooley, T.; Sandmaier, B.M.; Becker, N.; Radujkovic, A.; Dreger, P.; et al. EASIX in patients with acute graft-versus-host disease: A retrospective cohort analysis. Lancet Haematol. 2017, 4, e414–e423. [Google Scholar] [CrossRef]
- Aktas, G.; Kocak, M.Z.; Bilgin, S.; Atak, B.M.; Duman, T.T.; Kurtkulagi, O. Uric acid to HDL cholesterol ratio is a strong predictor of diabetic control in men with type 2 diabetes mellitus. Aging Male 2020, 23, 1098–1102. [Google Scholar] [CrossRef]
- He, Y.; Ma, Z.; Chen, X.; Wang, J.; Chen, X.; Deng, Z.; Lin, K. Association between hemoglobin, albumin, lymphocyte, and platelet score and all-cause and cardiovascular mortality among population with diabetes: Evidence from the NHANES 2003–2016. Diabetes Res. Clin. Pract. 2025, 224, 112212. [Google Scholar] [CrossRef]
- Zhao, P.; Zhang, Z.; Li, M.; Hao, J.; Wang, Y. Association between Hemoglobin–albumin–lymphocyte–platelet score and all-cause or cardiovascular mortality in patients with diabetes or prediabetes: Mediated effects of renal function. BMC Cardiovasc. Disord. 2025, 25, 331. [Google Scholar] [CrossRef]
- Erbay, İ.; Aladağ, P. The hemoglobin, albumin, lymphocyte, and platelet score as a simple blood-based predictor of residual coronary disease burden in diabetic patients with non-ST-elevation myocardial infarction. Turk Kardiyol. Dern. Ars. 2025, 53, 483. [Google Scholar] [CrossRef]
- Chen, X.L.; Xue, L.; Wang, W.; Chen, H.N.; Zhang, W.H.; Liu, K. Prognostic significance of the combination of preoperative hemoglobin, albumin, lymphocyte and platelet in patients with gastric carcinoma: A retrospective cohort study. Oncotarget 2015, 6, 41370. [Google Scholar] [CrossRef]
- Chen, Z.; Cheang, I.; Qu, Q.; Zhu, X.; Fu, Y.; Gao, R.; Zhou, Y.; Li, X. Associations of serum uric acid-to-high density lipoprotein cholesterol ratio with age-related diseases and mortality among older population in the United States. Arch. Gerontol. Geriatr. 2025, 130, 105707. [Google Scholar] [CrossRef] [PubMed]
- Rollins, K.E.; Varadhan, K.K.; Dhatariya, K.; Lobo, D.N. Systematic review of the impact of HbA1c on outcomes following surgery in patients with diabetes mellitus. Clin. Nutr. 2016, 35, 308–316. [Google Scholar] [CrossRef] [PubMed]
- Huang, Y.; Zheng, H.; Chen, P.; Yang, J.; Lin, S.; Liu, T.; Chen, S.; Lu, S.; Chen, J.; Chen, W.; et al. An elevated HbA1c level is associated with short-term adverse outcomes in patients with gastrointestinal cancer and type 2 diabetes mellitus. J. Clin. Med. Res. 2017, 9, 303–309. [Google Scholar] [CrossRef] [PubMed][Green Version]
- Meshkani, R.; Zargari, M.; Larijani, B. The relationship between uric acid and metabolic syndrome in normal glucose tolerance and normal fasting glucose subjects. Acta Diabetol. 2011, 48, 79–88. [Google Scholar] [CrossRef]
- Zhu, X.; Zhang, Y.; Wang, A.; Zhang, X.; Yu, G.; Xiang, S.; Wu, Y.; Meng, X. Association between HALP (hemoglobin, albumin, lymphocyte, and platelet) score and poor outcomes in acute ischemic stroke patients with type 2 diabetes mellitus: A study from the Third China National Stroke Registry. Front. Neurol. 2025, 15, 1461188. [Google Scholar] [CrossRef]
- Zhang, T.; Liu, P. Association of hemoglobin, albumin, lymphocyte, and platelet score with all-cause and cardiovascular mortality in adults with diabetes or prediabetes: Results from NHANES 2005–2018. Prev. Med. Rep. 2025, 54, 103101. [Google Scholar] [CrossRef]
- Kopaliani, I.; Elsaid, B.; Speier, S.; Deussen, A. Immune and metabolic mechanisms of endothelial dysfunction. Int. J. Mol. Sci. 2024, 25, 13337. [Google Scholar] [CrossRef]
- Finke, D.; Hund, H.; Frey, N.; Luft, T.; Lehmann, L.H. EASIX (endothelial activation and stress index) predicts mortality in patients with coronary artery disease. Clin. Res. Cardiol. 2025, 114, 1008–1018. [Google Scholar] [CrossRef]
- Huang, Y.; Li, Z.; Wang, J.; Wang, D.; Yin, X. Endothelial activation and stress index is a reliable predictor for the prevalence and mortality outcomes of stroke. Sci. Rep. 2025, 15, 23285. [Google Scholar] [CrossRef]
- He, R.; Sun, H.; Liu, H.; Li, J. The relationship between novel inflammatory markers SII, SIRI, MHR, UHR and insulin resistance in patients with type 2 diabetes: Based on a retrospective analysis. Front. Endocrinol. 2025, 16, 1648823. [Google Scholar] [CrossRef]
- Zhu, Y.; Zhu, Z.; He, W.; Wang, M.; Yang, W. Uric acid-to-high-density lipoprotein ratio and diabetes mellitus in stroke survivors: A cross-sectional analysis of NHANES 1998 to 2018. Medicine 2025, 104, e45639. [Google Scholar] [CrossRef]
- Chen, X.; Zhang, J.; Lu, F.; Hu, R.; Du, X.; Xu, C.; Liang, M.; Chen, L.; Yao, W.; Ma, Z.; et al. Association between uric acid to high-density lipoprotein cholesterol ratio and chronic kidney disease in Chinese patients with type 2 diabetes mellitus: A cross-sectional study. Front. Nutr. 2025, 12, 1582495. [Google Scholar] [CrossRef]



| Primary Reason for Hospital Admission | n = 372 (%) |
|---|---|
| Renal and Electrolyte Disorders | 103 (27.7) |
| Endocrine and Metabolic Disorders | 83 (22.3) |
| Anemia-Related Disorders | 70 (18.8) |
| Infectious Diseases | 49 (13.2) |
| Gastrointestinal Disorders | 30 (8.1) |
| Cardiovascular Disorders | 24 (6.5) |
| Respiratory Disorders | 13 (3.5) |
| Illness Severity Scores |
HbA1c < 7.5%
n = 215 (57.8%) |
HbA1c ≥ 7.5%
n = 157 (42.2%) | p Value |
|---|---|---|---|
| HALP, median (IQR) | 18.58 (11.81–31.55) | 26.87 (14.75–42.58) | <0.001 |
| EASIX, median (IQR) | 0.93 (0.50–1.70) | 0.83 (0.58–1.36) | 0.566 |
| UHR, median (IQR) | 14.69 (9.55–21.11) | 14.05 (10.00–19.41) | 0.720 |
| Parameters |
Survivors
n = 315 (84.7%) |
30-Day Mortality,
n = 57 (15.3%) | p Value |
|---|---|---|---|
| Demographic and Clinical Characteristics | |||
| Sex (Male/Female), n (%) | 98 (31.1) | 25 (43.9) | 0.060 |
| Age (year), mean ± SD | 76.2 ± 6.9 | 79.8 ± 7.6 | <0.001 |
| Glycemic Control Status (Good/Poor), n (%) | 180/135 (57.1/42.9) | 35/22 (61.4/38.6) | 0.549 |
| Mean arterial pressure (mmHg), mean ± SD | 91.1 ± 13.7 | 90.6 ± 14.7 | 0.808 |
| Hypertension, n (%) | 268 (85.1) | 46 (80.7) | 0.402 |
| Chronic renal failure, n (%) | 42 (13.3) | 8 (14.0) | 0.886 |
| Coronary artery disease, n (%) | 148 (47.0) | 30 (52.6) | 0.432 |
| Stroke history, n (%) | 37 (11.7) | 10 (17.5) | 0.225 |
| Number of chronic medications, mean ± SD | 6.3 ± 2.8 | 6.20 ± 2.6 | 0.913 |
| Length of hospital stay (days), median (IQR) | 6 (4.0–8.5) | 9.0 (5.0–15.0) | <0.001 |
| ICU admission, n (%) | 28 (8.9) | 15 (26.3) | <0.001 |
| Laboratory Parameters | |||
| Hemoglobin (g/dL), mean ± SD | 10.6 ± 1.9 | 10.5 ± 1.9 | 0.785 |
| Hemoglobin A1c (%), median (IQR) | 7.2 (6.3–8.8) | 7.0 (6.4–8.5) | 0.615 |
| eGFR (mL/dk/1.73 m2), mean ± SD | 57.7 ± 24.8 | 51.2 ± 28.2 | 0.078 |
| Glucose (mg/dL), median (IQR) | 138.0 (104.0–192.0) | 123.0 (96.0–182.0) | 0.318 |
| Uric Acid (mg/dL), mean ± SD | 5.9 ± 2.4 | 7.0 ± 3.1 | 0.019 |
| Creatinine (mg/dL), median (IQR) | 1.06 (0.80–1.47) | 1.28 (0.90–1.80) | 0.038 |
| Lactate dehydrogenase (U/L), median (IQR) | 195.0 (161.0–239.5) | 227.0 (179.0–313.0) | 0.003 |
| Total Cholesterol (mg/dL), mean ± SD | 161.7 ± 49.9 | 154.3 ± 49.2 | 0.314 |
| LDL (mg/dL), mean ± SD | 93.0 ± 41.5 | 89.5 ± 38.0 | 0.567 |
| HDL (mg/dL), mean ± SD | 42.6 ± 14.6 | 36.6 ± 15.1 | 0.001 |
| Platelet count (×103/µL) median (IQR) | 257.0 (189.5–334.5) | 233.0 (166.0–287.0) | 0.067 |
| Lymphocyte count (×103/µL), median (IQR) | 1.55 (1.10–2.21) | 1.17 (0.8–1.6) | 0.001 |
| Triglyceride (mg/dL), median (IQR) | 137.0 (98.0–186.0) | 122.0 (82.0–188.0) | 0.339 |
| C-reactive protein (mg/L), median (IQR) | 11.7 (2.9–41.0) | 37.0 (13.0–89.9) | <0.001 |
| Albumin (g/dL), mean ± SD | 3.7 (3.2–4.0) | 3.1 (2.7–3.8) | <0.001 |
| Ferritin (µg/L), median (IQR) | 115.0 (41.0–285.0) | 201.0 (70.0–431.5) | 0.011 |
| Vitamin B12 (ng/L), mean ± SD | 653.6 ± 509.8 | 755.8 ± 579.9 | 0.191 |
| 25-Hydroxyvitamin D (µg/L), mean ± SD | 18.2 ± 11.6 | 14.3 ± 10.3 | 0.023 |
| Illness severity scores | |||
| HALP score, median (IQR) | 21.98 (13.68–36.76) | 16.94 (9.49–29.28) | 0.010 |
| EASIX score, median (IQR) | 0.84 (0.51–1.46) | 1.23 (0.68–2.81) | 0.001 |
| UHR score, median (IQR) | 13.82 (9.45–19.40) | 16.92 (11.92–30.45) | 0.002 |
| Univariate Analysis | Multivariate Analysis | |||||||
|---|---|---|---|---|---|---|---|---|
| HR (95% CI) | p Value | Wald | β | HR (95% CI) | p Value | Wald | β | |
| Sex | 1.679 (0.995–2.833) | 0.052 | 3.768 | 0.518 | ||||
| Age (years) | 1.068 (1.031–1.107) | <0.001 | 13.253 | 0.066 | 1.066 (1.024–1.109) | 0.002 | 9.824 | 0.064 |
| Length of hospital stay (days) | 1.048 (1.029–1.067) | <0.001 | 25.164 | 0.047 | 1.050 (1.026–1.074) | <0.001 | 17.077 | 0.048 |
| ICU admission | 3.133 (1.737–5.653) | <0.001 | 14.391 | 1.142 | 2.394 (1.227–4.672) | 0.010 | 10.454 | 1.312 |
| eGFR (mL/min/1.73 m2) | 0.990 (0.980–1.001) | 0.079 | 3.092 | −0.010 | ||||
| Uric Acid (mg/dL) | 1.146 (1.048–1.254) | 0.003 | 8.891 | 0.137 | Excluded | |||
| HDL cholesterol (mg/dL) | 0.967 (0.948–0.986) | 0.001 | 11.232 | −0.034 | ||||
| C-reactive protein (mg/L) | 1.006 (1.002–1.009) | 0.002 | 9.702 | 0.006 | ||||
| Ferritin (µg/L) | 1.001 (1.000–1.001) | 0.055 | 3.675 | 0.001 | ||||
| 25-Hydroxyvitamin D (µg/L) | 0.968 (0.942–0.996) | 0.025 | 5.053 | −0.032 | ||||
| HALP score | 0.986 (0.970–1.001) | 0.073 | 3.209 | −0.014 | ||||
| EASIX score | 1.088 (1.030–1.150) | 0.003 | 8.990 | 0.085 | ||||
| UHR score | 1.045 (1.024–1.067) | <0.001 | 25.885 | 0.033 | 1.028 (1.013–1.042) | <0.001 | 14.236 | 0.027 |
| Hazard Ratio (95% CI) | |||||
|---|---|---|---|---|---|
| EASIX/UHR (Model 1) | Deaths/Total (%) | Crude HR (95% CI) | pValue | Adjusted HR (95% CI) | p Value |
| EASIX ≤ 1.07/UHR < 12.93 | 8/108 (7.4) | Reference | - | Reference | - |
| EASIX ≤ 1.07/UHR ≥ 12.93 | 16/103 (15.5) | 2.192 (0.938–5.123) | 0.070 | 2.112 (0.904–4.937) | 0.084 |
| EASIX > 1.07/UHR < 12.93 | 7/47 (14.9) | 2.119 (0.768–5.843) | 0.147 | 1.850 (0.669–5.116) | 0.236 |
| EASIX > 1.07/UHR ≥ 12.93 | 26/114 (22.8) | 3.380 (1.530–7.467) | 0.003 | 1.062 (1.023–1.103) | 0.020 |
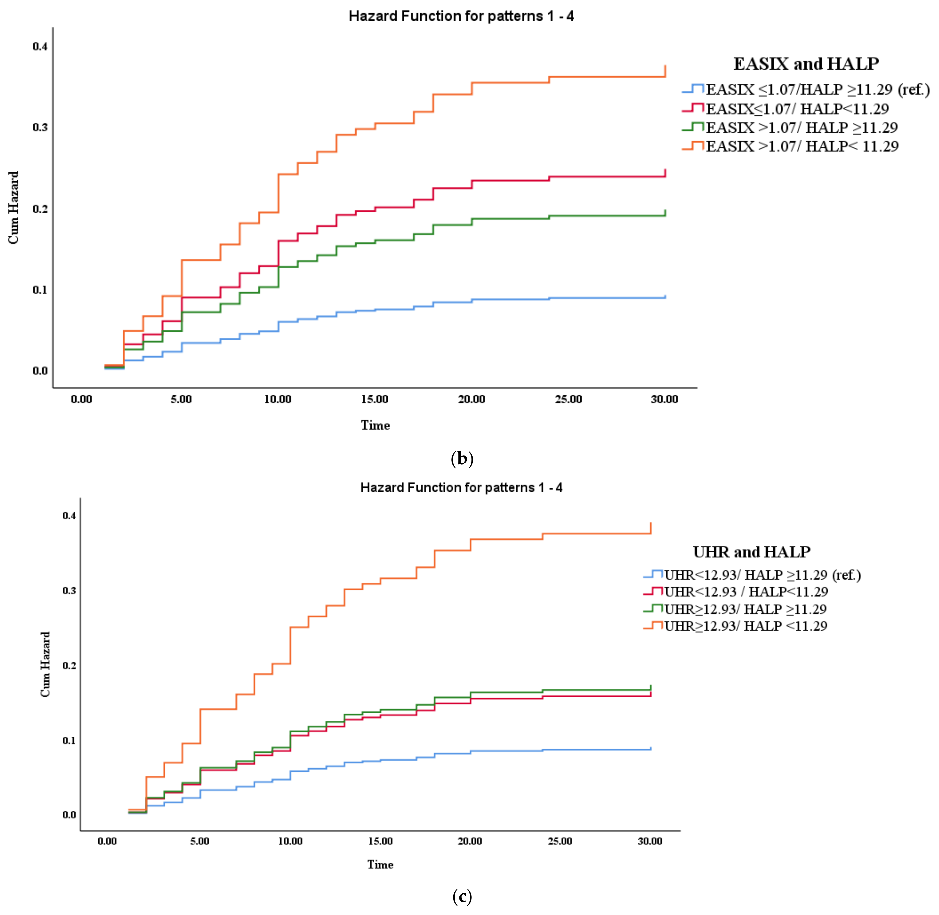
| EASIX/HALP (Model 2) | |||||
| EASIX ≤ 1.07/HALP ≥ 11.29 | 15/170 (8.8) | Reference | - | Reference | - |
| EASIX ≤ 1.07/HALP < 11.29 | 9/41 (21.9) | 2.686 (1.175–6.140) | 0.019 | 2.639 (1.150–6.052) | 0.022 |
| EASIX > 1.07/HALP ≥11.29 | 23/129 (17.8) | 2.143 (1.118–4.108) | 0.022 | 1.664 (0.857–3.233) | 0.133 |
| EASIX > 1.07/HALP < 11.29 | 10/32 (31.3) | 4.074 (1.829–9.072) | 0.001 | 3.685 (1.650–8.229) | 0.001 |
| UHR/HALP (Model 3) | |||||
| UHR < 12.93/HALP ≥ 11.29 | 11/128 (8.5) | Reference | - | Reference | - |
| UHR < 12.93/HALP < 11.29 | 4/27 (14.8) | 1.826 (0.581–5.734) | 0.303 | 1.735 (0.549–5.484) | 0.348 |
| UHR ≥ 12.93/HALP ≥ 11.29 | 27/171 (15.8) | 1.924 (0.954–3.879) | 0.067 | 1.626 (0.802–3.296) | 0.177 |
| UHR ≥ 12.93/HALP < 11.29 | 15/46 (32.6) | 4.341 (1.993–9.455) | <0.001 | 4.206 (1.930–9.166) | <0.001 |
Disclaimer/Publisher’s Note: The statements, opinions and data contained in all publications are solely those of the individual author(s) and contributor(s) and not of MDPI and/or the editor(s). MDPI and/or the editor(s) disclaim responsibility for any injury to people or property resulting from any ideas, methods, instructions or products referred to in the content. |
© 2026 by the authors. Published by MDPI on behalf of the Lithuanian University of Health Sciences. Licensee MDPI, Basel, Switzerland. This article is an open access article distributed under the terms and conditions of the Creative Commons Attribution (CC BY) license.
Share and Cite
Mutlay, F.; Das, M.; Yıldız, M.D.; Aydemir, F.D.; Çetin, E.Ü.; Kurtkulağı, Ö. Investigation of the Relationship Between Glycemic Control and Inflammation–Nutrition Indices in Older Adults with Type 2 Diabetes. Medicina 2026, 62, 369. https://doi.org/10.3390/medicina62020369
Mutlay F, Das M, Yıldız MD, Aydemir FD, Çetin EÜ, Kurtkulağı Ö. Investigation of the Relationship Between Glycemic Control and Inflammation–Nutrition Indices in Older Adults with Type 2 Diabetes. Medicina. 2026; 62(2):369. https://doi.org/10.3390/medicina62020369
Chicago/Turabian StyleMutlay, Feyza, Murat Das, Merve Durmaz Yıldız, Ferhan Demirer Aydemir, Ece Ünal Çetin, and Özge Kurtkulağı. 2026. "Investigation of the Relationship Between Glycemic Control and Inflammation–Nutrition Indices in Older Adults with Type 2 Diabetes" Medicina 62, no. 2: 369. https://doi.org/10.3390/medicina62020369
APA StyleMutlay, F., Das, M., Yıldız, M. D., Aydemir, F. D., Çetin, E. Ü., & Kurtkulağı, Ö. (2026). Investigation of the Relationship Between Glycemic Control and Inflammation–Nutrition Indices in Older Adults with Type 2 Diabetes. Medicina, 62(2), 369. https://doi.org/10.3390/medicina62020369

