Male Rat Model of Chemical Androgen Deprivation and Estrogenization from the Perspective of Anthropometric, Histological, and Biochemical Parameters
Abstract
1. Introduction
2. Materials and Methods
2.1. Animals and Experimental Design
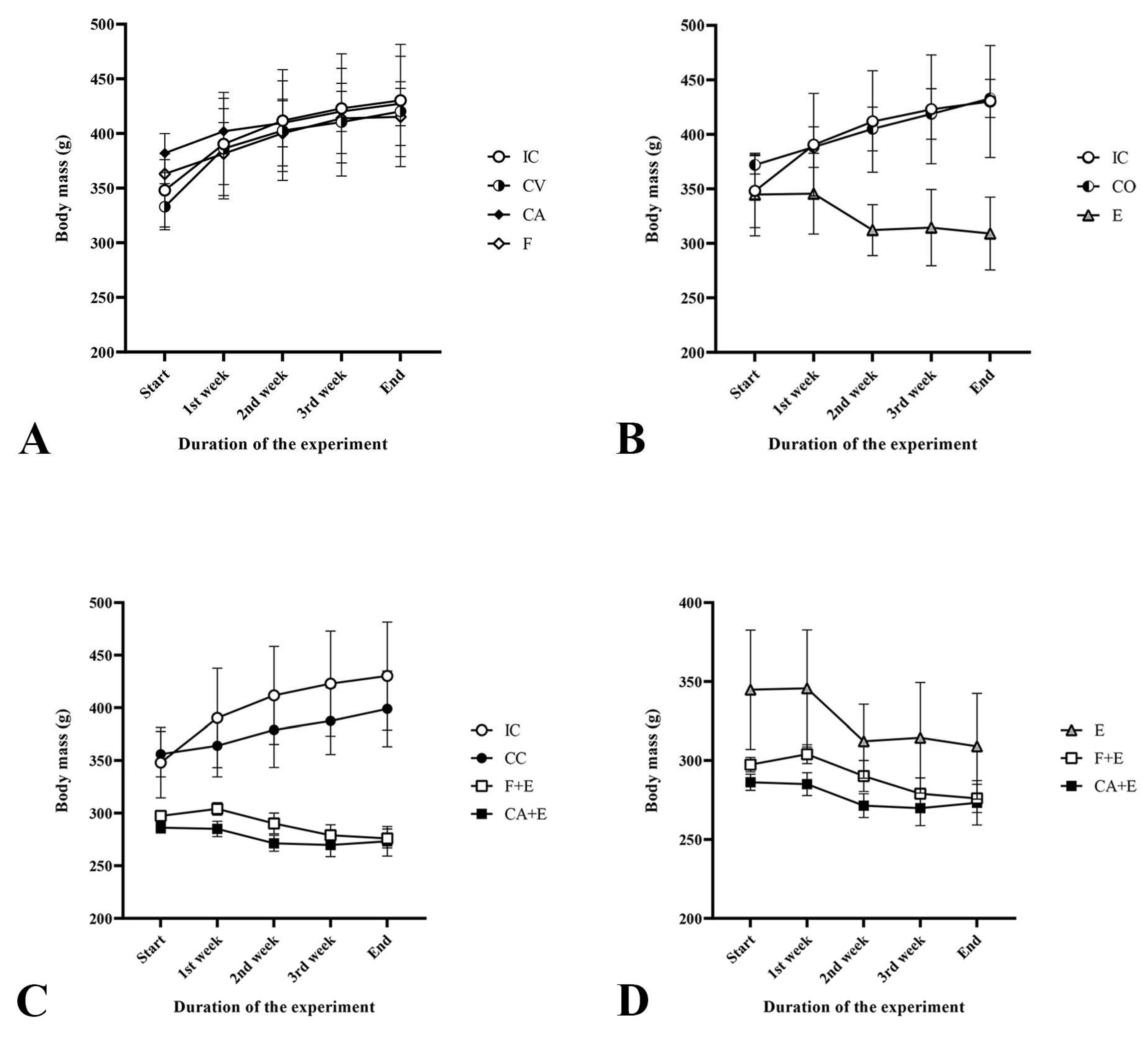
2.2. Anthropometric Measurements
2.3. Organ Processing, Histochemistry, and Light Microscopy
2.4. Quantification of Binuclear Cell and Collagen Volume Density, and PAS Staining Intensity
2.4.1. Volume Density Estimation
2.4.2. PAS Staining Intensity Calculation
2.5. Biochemical Analyses
2.6. Statistical Analysis
3. Results
3.1. Final Body Mass, Full Body Length, Absolute and Relative White Adipose Tissue (WAT) Mass, and Body Mass Fluctuation
3.2. Complex Anthropometric Parameters—Body Mass Index (BMI), Lee’s Index, Adiposity Index, and Specific Rate of Body Mass Gain
3.3. Absolute Organ Mass
3.4. Relative Organ Mass
3.5. Liver Macroscopic, Qualitative, and Quantitative Histological Evaluation
3.6. Biochemical Parameters
4. Discussion
5. Conclusions
Supplementary Materials
Author Contributions
Funding
Institutional Review Board Statement
Informed Consent Statement
Data Availability Statement
Acknowledgments
Conflicts of Interest
Abbreviations
| AR | Androgen receptor |
| LHRH | Luteinizing hormone releasing hormone |
| WAT | White adipose tissue |
| BMI | Body mass index |
| HDLs | High-density lipoproteins |
| LDLs | Low-density lipoproteins |
| ALP | Alkaline phosphatase |
| ALT | Alanine aminotransferase |
| AST | Aspartate aminotransferase |
| Bil-T | Bilirubin |
| GGT | Gamma-glutamil transferase |
| ER | Estrogen receptor |
| ERαKO | Estrogen receptor α knockout |
| WT | Wild type |
| ACTH | Adrenocorticotropic hormone |
References
- Crawford, E.D.; Heidenreich, A.; Lawrentschuk, N.; Tombal, B.; Pompeo, A.C.L.; Mendoza-Valdes, A.; Miller, K.; Debruyne, F.M.J.; Klotz, L. Androgen-targeted therapy in men with prostate cancer: Evolving practice and future considerations. Prostate Cancer Prostatic Dis. 2018, 22, 24–38. [Google Scholar] [CrossRef]
- Harris, W.P.; Mostaghel, E.A.; Nelson, P.S.; Montgomery, B. Androgen deprivation therapy: Progress in understanding mechanisms of resistance and optimizing androgen depletion. Nat. Clin. Pract. Urol. 2009, 6, 76–85. [Google Scholar] [CrossRef] [PubMed]
- T’sJoen, G.; Arcelus, J.; Gooren, L.; Klink, D.T.; Tangpricha, V. Endocrinology of Transgender Medicine. Endocr. Rev. 2018, 40, 97–117. [Google Scholar] [CrossRef] [PubMed]
- Chen, Y.; Clegg, N.J.; IScher, H. Anti-androgens and androgen-depleting therapies in prostate cancer: New agents for an established target. Lancet Oncol. 2009, 10, 981–991. [Google Scholar] [CrossRef] [PubMed]
- Goldenberg, S.L.; Bruchovsky, N. Use of Cyproterone Acetate in Prostate Cancer. Urol. Clin. N. Am. 1991, 18, 111–122. [Google Scholar] [CrossRef] [PubMed]
- Dahl, M.; Feldman, J.L.; Goldberg, J.M.; Jaberi, A. Physical Aspects of Transgender Endocrine Therapy. Int. J. Transgenderism 2006, 9, 111–134. [Google Scholar] [CrossRef]
- Tammela, T. Endocrine treatment of prostate cancer. J. Steroid Biochem. Mol. Biol. 2004, 92, 287–295. [Google Scholar] [CrossRef]
- Arnold, J.D.; Sarkodie, E.P.; Coleman, M.E.; Goldstein, D.A. Incidence of Venous Thromboembolism in Transgender Women Receiving Oral Estradiol. J. Sex. Med. 2016, 13, 1773–1777. [Google Scholar] [CrossRef]
- Connelly, P.J.; Freel, E.M.; Perry, C.; Ewan, J.; Touyz, R.M.; Currie, G.; Delles, C. Gender-Affirming Hormone Therapy, Vascular Health and Cardiovascular Disease in Transgender Adults. Hypertension 2019, 74, 1266–1274. [Google Scholar] [CrossRef]
- Wirth, M.P.; Hakenberg, O.W.; Froehner, M. Antiandrogens in the treatment of prostate cancer. Eur. Urol. 2007, 51, 306–314. [Google Scholar] [CrossRef]
- Meyer, G.; Boczek, U.; Bojunga, J. Hormonal Gender Reassignment Treatment for Gender Dysphoria. Dtsch. Ärztebl. Int. 2020, 117, 725. [Google Scholar] [CrossRef] [PubMed]
- Haupt, C.; Henke, M.; Kutschmar, A.; Hauser, B.; Baldinger, S.; Schreiber, G. Antiandrogens or estradiol treatments or both during hormone replacement therapy in transitioning transgender women. Cochrane Database Syst. Rev. 2018, 2018, CD013138. [Google Scholar] [CrossRef]
- D’Hoore, L.; T’Sjoen, G. Gender—affirming hormone therapy: An updated literature review with an eye on the future. J. Intern. Med. 2022, 291, 574–592. [Google Scholar] [CrossRef]
- Ghasemi, A.; Jeddi, S.; Kashfi, K. The laboratory rat: Age and body weight matter. EXCLI J. 2021, 20, 1431. [Google Scholar]
- Krahn, M.; Bremner, K.E.; Tomlinson, G.; Luo, J.; Ritvo, P.; Naglie, G.; Alibhai, S.M. Androgen deprivation therapy in prostate cancer: Are rising concerns leading to falling use? BJU Int. 2011, 108, 1588–1596. [Google Scholar] [CrossRef]
- Ajdzanovic, V.Z.; Sosic-Jurjevic, B.T.; Filipoviç, B.R.; Trifunovic, S.L.; Milosevic, V.L. Daidzein effects on ACTH cells: Immunohistomorphometric and hormonal study in an animal model of the andropause. Histol. Histopathol. 2011, 26, 1257–1264. [Google Scholar] [CrossRef]
- Ajdžanović, V.; Miler, M.; Živanović, J.; Filipović, B.; Šošić-Jurjević, B.; Popovska-Perčinić, F.; Milošević, V. The adrenal cortex after estradiol or daidzein application in a rat model of the andropause: Structural and hormonal study. Ann. Anat.-Anat. Anz. 2020, 230, 151487. [Google Scholar] [CrossRef]
- Ajdžanović, V.; Ćosić, P.; Trifunović, S.; Šošić-Jurjević, B.; Miler, M.; Filipović, B.; Manojlović-Stojanoski, M. Structure and hormonal output of the adrenal gland after experimental estrogenization of male rats. Histol. Histopathol. 2025, 40, 1377–1396. [Google Scholar] [CrossRef]
- Filipović, B.; Šošić-Jurjević, B.; Ajdžanović, V.; Pantelić, J.; Nestorović, N.; Milošević, V.; Sekulić, M. The effects of sex steroids on thyroid C cells and trabecular bone structure in the rat model of male osteoporosis. Am. J. Anat. 2012, 222, 313–320. [Google Scholar] [CrossRef] [PubMed]
- Trifunović, S.; Manojlović-Stojanoski, M.; Ajdzanović, V.; Nestorović, N.; Ristić, N.; Medigović, I.; Milošević, V. Genistein stimulates the hypothalamo-pituitary-adrenal axis in adult rats: Morphological and hormonal study. Histol. Histopathol. 2012, 27, 627–640. [Google Scholar] [CrossRef]
- Sosić-Jurjević, B.; Filipović, B.; Ajdzanović, V.; Brkić, D.; Ristić, N.; Stojanoski, M.M.; Nestorović, N.; Trifunović, S.; Sekulić, M. Subcutaneously administrated genistein and daidzein decrease serum cholesterol and increase triglyceride levels in male middle-aged rats. Exp. Biol. Med. 2007, 232, 1222–1227. [Google Scholar] [CrossRef]
- Ajdžanović, V.; Jarić, I.; Živanović, J.; Filipović, B.; Ristić, N.; Miler, M.; Milošević, V. Testosterone application decreases the capacity for ACTH and corticosterone secretion in a rat model of the andropause. Acta Histochem. 2015, 117, 528–535. [Google Scholar] [CrossRef]
- Hembree, W.C.; Cohen-Kettenis, P.; Delemarre-Van De Waal, H.A.; Gooren, L.J.; Meyer, W.J., III; Spack, N.P.; Tangpricha, V.; Montori, V.M. Endocrine treatment of transsexual persons: An Endocrine Society clinical practice guideline. J. Clin. Endocrinol. Metab. 2009, 94, 3132–3154. [Google Scholar] [CrossRef] [PubMed]
- Tack, L.J.; Heyse, R.; Craen, M.; Dhondt, K.; Bossche, H.V.; Laridaen, J.; Cools, M. Consecutive Cyproterone Acetate and Estradiol Treatment in Late-Pubertal Transgender Female Adolescents. J. Sex. Med. 2017, 14, 747–757. [Google Scholar] [CrossRef]
- Cox, R.L.; Crawford, E.D. Estrogens in the treatment of prostate cancer. J. Urol. 1995, 154, 1991–1998. [Google Scholar] [CrossRef] [PubMed]
- Nair, A.B.; Jacob, S. A simple practice guide for dose conversion between animals and human. J. Basic Clin. Pharm. 2016, 7, 27–31. [Google Scholar] [CrossRef]
- U.S. Food and Drug Administration. Guidance for Industry: Estimating the Maximum Safe Starting Dose in Initial Clinical Trials for Therapeutics in Adult Healthy Volunteers; FDA: Silver Spring, MD, USA, 2005. [Google Scholar]
- Ajdžanović, V.; Šošić-Jurjević, B.; Živanović, J.; Miler, M.; Stanković, S.; Ranin, J.; Filipović, B. Vitamin D3 application and factors of its activity in the adrenal cortex of andropausal rats: A functionally-histological study. Ann. Anat.-Anat. Anz. 2024, 256, 152322. [Google Scholar] [CrossRef] [PubMed]
- Haseen, F.; Murray, L.J.; Cardwell, C.R.; O’sUllivan, J.M.; Cantwell, M.M. The effect of androgen deprivation therapy on body composition in men with prostate cancer: Systematic review and meta-analysis. J. Cancer Surviv. 2010, 4, 128–139. [Google Scholar] [CrossRef]
- Cooke, P.S.; Heine, P.A.; Taylor, J.A.; Lubahn, D.B. The role of estrogen and estrogen receptor-α in male adipose tissue. Mol. Cell. Endocrinol. 2001, 178, 147–154. [Google Scholar] [CrossRef]
- Sengupta, P. The Laboratory Rat: Relating Its Age with Human’s. Int. J. Prev. Med. 2013, 4, 624–630. [Google Scholar]
- Saylor, P.J.; Smith, M.R. Metabolic complications of androgen deprivation therapy for prostate cancer. J. Urol. 2009, 181, 1998–2008. [Google Scholar] [CrossRef]
- Homma, H.; Kurachi, H.; Nishio, Y.; Takeda, T.; Yamamoto, T.; Adachi, K.; Morishige, K.; Ohmichi, M.; Matsuzawa, Y.; Murata, Y. Estrogen suppresses transcription of lipoprotein lipase gene: Existence of a unique estrogen response element on the lipoprotein lipase pro-moter. J. Biol. Chem. 2000, 275, 11404–11411. [Google Scholar] [CrossRef] [PubMed]
- Pedersen, S.B.; Kristensen, K.; Hermann, P.A.; Katzenellenbogen, J.A.; Richelsen, B. Estrogen Controls Lipolysis by Up-Regulating α2A-Adrenergic Receptors Directly in Human Adipose Tissue through the Estrogen Receptor α. Implications for the Female Fat Distribution. J. Clin. Endocrinol. Metab. 2004, 89, 1869–1878. [Google Scholar] [CrossRef]
- Foryst-Ludwig, A.; Kintscher, U. Metabolic impact of estrogen signalling through ERalpha and ERbeta. J. Steroid Biochem. Mol. Biol. 2010, 122, 74–81. [Google Scholar] [CrossRef] [PubMed]
- Lv, X.; Jiang, Y.-T.; Zhang, X.-Y.; Li, L.-L.; Zhang, H.-G.; Liu, R.-Z. Associations of sex hormone levels with body mass index (BMI) in men: A cross-sectional study using quantile regression analysis. Asian J. Androl. 2022, 25, 98–102. [Google Scholar] [CrossRef] [PubMed]
- Malhotra, A.; Buttrick, P.; Scheuer, J.; Vutthasathien, P.; Wattanapermpool, J.; Reiser, P.J.; Moravec, C.S.; Bupha-Intr, T.; Laosiripisan, J.; Palmer, B.M.; et al. Effects of sex hormones on development of physiological and pathological cardiac hypertrophy in male and female rats. Am. J. Physiol. Circ. Physiol. 1990, 259, H866–H871. [Google Scholar] [CrossRef]
- Douglas, P.S.; Katz, S.E.; Weinberg, E.O.; Chen, M.H.; Bishop, S.P.; Lorell, B.H. Hypertrophic remodeling: Gender differences in the early response to left ventricular pressure overload. J. Am. Coll. Cardiol. 1998, 32, 1118–1125. [Google Scholar] [CrossRef]
- Zhang, H.; Liu, Y.; Wang, L.; Li, Z.; Zhang, H.; Wu, J.; Rahman, N.; Guo, Y.; Li, D.; Li, N.; et al. Differential effects of estrogen/androgen on the prevention of nonalcoholic fatty liver disease in the male rat. J. Lipid Res. 2013, 54, 345–357. [Google Scholar] [CrossRef]
- Marchetti, B.; Labrie, F. Characteristics of flutamide action on prostatic and testicular functions in the rat. J. Steroid Biochem. Mol. Biol. 1988, 29, 691–698. [Google Scholar] [CrossRef]
- Ghosh, C.; Mallick, C. Protective effect of ethanolic extract of Hygrophila auriculata seeds in cyproterone acetate—induced sexual dysfunction in male albino rats. Andrologia 2019, 52, e13482. [Google Scholar] [CrossRef]
- Trost, L.W.; Serefoglu, E.; Gokce, A.; Linder, B.J.; Sartor, A.O.; Hellstrom, W.J. Androgen Deprivation Therapy Impact on Quality of Life and Cardiovascular Health, Monitoring Therapeutic Replacement. J. Sex. Med. 2013, 10, 84–101. [Google Scholar] [CrossRef] [PubMed]
- Robaire, B.; Ewing, L.L.; Irby, D.C.; Desjardins, C. Interactions of Testosterone and Estradiol-17β on the Reproductive Tract of the Male Rat1. Biol. Reprod. 1979, 21, 455–463. [Google Scholar] [CrossRef]
- Leavy, M.; Trottmann, M.; Liedl, B.; Reese, S.; Stief, C.; Freitag, B.; Baugh, J.; Spagnoli, G.; Kölle, S. Effects of Elevated β-Estradiol Levels on the Functional Morphology of the Testis—New Insights. Sci. Rep. 2017, 7, 39931. [Google Scholar] [CrossRef] [PubMed]
- Bulusu, N.V.; Lewis, S.B.; Das, S.; Clayton, W.E., Jr. Serum lipid changes after estrogen therapy in prostatic carcinoma. Urology 1982, 20, 147–150. [Google Scholar] [CrossRef]
- Borger, O.; Perl, L.; Yackobovitch-Gavan, M.; Sides, R.; Brener, A.; Segev-Becker, A.; Sheppes, T.; Weinstein, G.; Oren, A.; Lebenthal, Y. Body Composition and Metabolic Syndrome Components in Transgender/Gender Diverse Adolescents and Young Adults. LGBT Health 2024, 11, 359–369. [Google Scholar] [CrossRef] [PubMed]
- Guidotti, J.E.; Brégerie, O.; Robert, A.; Debey, P.; Brechot, C.; Desdouets, C. Liver cell polyploidization: A pivotal role for binuclear hepatocytes. J. Biol. Chem. 2003, 278, 19095–19101. [Google Scholar] [CrossRef] [PubMed]
- Baghaei, K.; Mazhari, S.; Tokhanbigli, S.; Parsamanesh, G.; Alavifard, H.; Schaafsma, D.; Ghavami, S. Therapeutic potential of targeting regulatory mechanisms of hepatic stellate cell activation in liver fibrosis. Drug Discov. Today 2022, 27, 1044–1061. [Google Scholar] [CrossRef]
- Muthusamy, T.; Murugesan, P.; Balasubramanian, K. Sex steroids deficiency impairs glucose transporter 4 expression and its translocation through defective Akt phosphorylation in target tissues of adult male rat. Metabolism 2009, 58, 1581–1592. [Google Scholar] [CrossRef] [PubMed]
- Khaksari, M.; Pourali, M.; Talabon, S.R.; Navashenaq, J.G.; Bashiri, H.; Amiresmaili, S. Protective effects of 17-β-estradiol on liver injury: The role of TLR4 signaling pathway and inflammatory response. Cytokine 2024, 181, 156686. [Google Scholar] [CrossRef]
- Wilson, S.R.; Duncan, A.W. The Ploidy State as a Determinant of Hepatocyte Proliferation. Semin. Liver Dis. 2023, 43, 460–471. [Google Scholar] [CrossRef]
- Lu, G.; Shimizu, I.; Cui, X.; Itonaga, M.; Tamaki, K.; Fukuno, H.; Inoue, H.; Honda, H.; Ito, S. Antioxidant and antiapoptotic activities of idoxifene and estradiol in hepatic fibrosis in rats. Life Sci. 2004, 74, 897–907. [Google Scholar] [CrossRef]
- Rosenthal, S.A.; Linstadt, D.E.; Leibenhaut, M.H.; Andras, E.J.; Brooks, C.P.; Stickney, D.R.; Chang, G.C.; Wolkov, H.B.; Gilbert, R.M. Flutamide-associated liver toxicity during treatment with total androgen suppression and radiation therapy for prostate cancer. Radiology 1996, 199, 451–455. [Google Scholar] [CrossRef] [PubMed]
- Chu, C.W.; Hwang, S.J.; Luo, J.C.; Tsay, S.H.; Li, C.P.; Huang, Y.S.; Chang, F.Y.; Lee, S.D. Flutamide-induced liver injury: A case report. Zhonghua Yi Xue Za Zhi= Chin. Med. J. 1998, 61, 678–682. [Google Scholar]
- Bessone, F.; Lucena, M.; Roma, M.G.; Stephens, C.; Medina-Cáliz, I.; Frider, B.; Tsariktsian, G.; Hernández, N.; Bruguera, M.; Gualano, G.; et al. Cyproterone acetate induces a wide spectrum of acute liver damage including corticosteroid—responsive hepatitis: Report of 22 cases. Liver Int. 2015, 36, 302–310. [Google Scholar] [CrossRef] [PubMed]
- Hamden, K.; Carreau, S.; Boujbiha, M.A.; Lajmi, S.; Aloulou, D.; Kchaou, D.; Elfeki, A. Hyperglycaemia, stress oxidant, liver dysfunction and histological changes in diabetic male rat pancreas and liver: Protective effect of 17β-estradiol. Steroids 2008, 73, 495–501. [Google Scholar] [CrossRef]
- Lu, Y.; Pike, J.R.; Selvin, E.; Mosley, T.; Palta, P.; Sharrett, A.R.; Thomas, A.; Loehr, L.; Sidney Barritt, A.; Hoogeveen, R.C.; et al. Low liver enzymes and risk of dementia: The atherosclerosis risk in communities (ARIC) study. J. Alzheimer’s Dis. 2021, 79, 1775–1784. [Google Scholar] [CrossRef]
- Hashemi, L.; Zhang, Q.; Getahun, D.; Jasuja, G.K.; McCracken, C.; Pisegna, J.; Roblin, D.; Silverberg, M.J.; Tangpricha, V.; Vupputuri, S.; et al. Longitudinal Changes in Liver Enzyme Levels Among Transgender People Receiving Gender Affirming Hormone Therapy. J. Sex. Med. 2021, 18, 1662–1675. [Google Scholar] [CrossRef]
- Bernardi, S.; Toffoli, B.; Zennaro, C.; Bossi, F.; Losurdo, P.; Michelli, A.; Carretta, R.; Mulatero, P.; Fallo, F.; Veglio, F.; et al. Aldosterone effects on glomerular structure and function. J. Renin-Angiotensin-Aldosterone Syst. 2015, 16, 730–738. [Google Scholar] [CrossRef]
- Hofmann, P.J.; Michaelis, M.; Gotz, F.; Bartel, C.; Kienitz, T.; Quinkler, M. Flutamide increases aldosterone levels in gonadectomized male but not female wistar rats. Am. J. Hypertens. 2012, 25, 697–703. [Google Scholar] [CrossRef]
- Yanes, L.L.; Sartori-Valinotti, J.C.; Reckelhoff, J.F. Sex steroids and renal disease: Lessons from animal studies. Hypertension 2008, 51, 976–981. [Google Scholar] [CrossRef]
- Seliger, S.L.; Davis, C.; Stehman-Breen, C. Gender and the progression of renal disease. Curr. Opin. Nephrol. Hypertens. 2001, 10, 219–225. [Google Scholar] [CrossRef] [PubMed]
- Baum, N.; Dichoso, C.C.; Carlton, C.E., Jr. Blood urea nitrogen and serum creatinine: Physiology and interpretations. Urology 1975, 5, 583–588. [Google Scholar] [CrossRef] [PubMed]






| Intervention | Chemical Castration | Surgical Castration | |
|---|---|---|---|
| Aspect | |||
| Similarity to human therapies | Closely mimics clinical androgen deprivation therapy or sex reassignment hormone therapy | Mimics clinical orchidectomy-only scenarios | |
| Reversibility | Reversible—testicular function and fertility can recover after cessation of treatment | Irreversible—permanent loss of fertility | |
| Experimental flexibility | Allows dose appropriation and combining of agents; therapy can be stopped for recovery observation | One fixed endpoint; modification is not possible after castration | |
| Endocrine control | Adjustable, modifiable—estradiol can be added to achieve specific hormonal states | Produces uniform, very low levels of endogenous testosterone without the option of fine control | |
| Parameter | Unit | Equation |
|---|---|---|
| Body mass index (BMI) | g/cm2 | |
| Lee’s index | g/cm | |
| Adiposity index | n.a. | |
| Specific rate of body mass gain | g/kg |
| Parameter | Final Body Mass (g) | Nose-to-Anus (Full Body) Length (cm) | Absolute gWAT Mass (g) | Absolute iWAT Mass (g) | Absolute pWAT Mass (g) | Absolute totalWAT Mass (g) | Relative gWAT Mass (g/g b.m.) | Relative iWAT Mass (g/g b.m.) | Relative pWAT Mass (g/g b.m.) | Relative totalWAT Mass (g/g b.m.) | |
|---|---|---|---|---|---|---|---|---|---|---|---|
| Group | |||||||||||
| Intact control (IC) | 430.2 ± 51.3 | 25.8 ± 1.3 | 2.78 ± 0.28 | 1.94 ± 1.17 | 8.02 ± 1.65 | 12.60 ± 1.84 | 0.66 ± 0.15 | 0.45 ± 0.27 | 1.90 ± 0.53 | 3.01 ± 0.70 | |
| Control vehicle (CV) | 420.2 ± 50.5 | 25.8 ± 0.8 | 2.13 ± 0.52 * (−23.49% vs. IC) ↓ | 1.57 ± 0.53 | 10.03 ± 3.30 | 13.72 ± 3.15 | 0.50 ± 0.09 | 0.37 ± 0.11 | 2.42 ± 0.85 | 3.29 ± 0.82 | |
| Cyproterone acetate (CA) | 427.2 ± 20.1 | 26.0 ± 1.0 | 3.23 ± 0.40 *** (+51.86% vs. CV) | 0.90 ± 0.25 | 8.63 ± 2.09 | 12.76 ± 2.30 | 0.75 ± 0.08 ** (+44.6% vs. CV) | 0.21 ± 0.05 | 2.01 ± 0.43 | 2.97 ± 0.44 | |
| Flutamide (F) | 415.2 ± 26.1 | 25.8 ± 1.1 | 2.48 ± 0.26 ↑ | 0.73 ± 0.41 | 6.63 ± 1.43 | 9.84 ± 2.03 | 0.60 ± 0.03 ↑ | 0.17 ± 0.09 | 1.60 ± 0.27 | 2.38 ± 0.35 | |
| Control sesame oil (CO) | 433.0 ± 17.4 | 26.0 ± 0.0 | 2.50 ± 0.38 | 1.29 ± 0.30 | 11.70 ± 3.73 | 15.49 ± 3.82 | 0.58 ± 0.10 | 0.30 ± 0.07 | 2.70 ± 0.82 | 3.57 ± 0.83 | |
| Estradiol valerate (E) | 309.0 ± 33.4 *** (−28.64% vs. CO) ↓ | 23.0 ± 1.2 ** (−11.54% vs. CO) | 1.23 ± 0.43 *** (−50.84% vs. CO) ↓ | 0.81 ± 0.25 | 7.48 ± 1.95 * (−36.01% vs. CO) ↓ | 9.52 ± 2.47 * (−38.54% vs. CO) ↓ | 0.41 ± 0.16 | 0.27 ± 0.10 | 2.43 ± 0.67 | 3.10 ± 0.90 | |
| Combined control (CC) | 399.0 ± 35.9 | 25.0 ± 1.0 | 2.24 ± 0.41 * (−19.46% vs. IC) ↓ | 1.61 ± 1.00 | 6.17 ± 2.60 | 10.02 ± 3.80 | 0.57 ± 0.12 | 1.53 ± 0.62 | 1.89 ± 0.46 | 2.50 ± 0.91 | |
| Flutamide + Estradiol valerate (F + E) | 276.0 ± 9.0 **** (−30.83% vs. CC) ↓ | 21.8 ± 0.8 *** (−12.8% vs. CC) ↓ | 1.51 ± 0.20 ** (−32.51% vs. CC) ↓ | 0.59 ± 0.16 | 7.44 ± 1.32 | 9.54 ± 1.22 | 0.55 ± 0.06 | 2.72 ± 0.47 * (+77.42% vs. CC) ↑ | 2.64 ± 0.15 | 3.50 ± 0.42 | |
| Cyproterone acetate + Estradiol valerate (CA + E) | 273.2 ±14.0 **** (−31.53% vs. CC) ↓ | 21.6 ± 0.5 *** (−13.6% vs. CC) ↓ | 1.34 ± 0.13 *** (−40.37% vs. CC) ↓ | 0.75 ± 0.20 | 7.06 ± 2.90 | 9.15 ± 3.02 | 0.49 ± 0.04 | 2.56 ± 0.10 | 2.29 ± 0.33 | 3.32 ± 1.00 | |
| Parameter | Absolute Organ Mass | |||||||
|---|---|---|---|---|---|---|---|---|
| Group | Pituitary (mg) | Left Adrenal Gland (mg) | Liver (g) | Left Kidney (mg) | Prostate (mg) | Heart (mg) | Testis (random; mg) | |
| Intact control (IC) | 12.20 ± 0.45 | 30.80 ± 3.70 | 13.07 ± 0.93 | 1.28 ± 0.18 | 1.96 ± 0.19 | 1.29 ± 0.17 | 2.05 ± 0.28 | |
| Control vehicle (CV) | 11.40 ± 1.95 | 28.40 ± 4.72 | 14.08 ± 1.59 | 1.27 ± 0.20 | 1.67 ± 0.45 | 1.40 ± 0.14 | 2.04 ± 0.21 | |
| Cyproterone acetate (CA) | 13.60 ± 0.90 | 27.80 ± 1.48 | 14.94 ± 0.69 | 1.31 ± 0.07 | 1.56 ± 0.32 | 1.34 ± 0.06 | 2.06 ± 0.06 | |
| Flutamide (F) | 12.25 ± 1.71 | 33.75 ± 4.35 | 13.78 ± 0.67 | 1.25 ± 0.06 | 1.81 ± 0.16 | 1.33 ± 0.05 | 2.13 ± 0.15 | |
| Control sesame oil (CO) | 13.20 ± 4.60 | 30.60 ± 1.52 | 14.54 ± 0.79 * (+11.25% vs. IC) ↑ | 1.26 ± 0.07 | 1.88 ± 0.18 | 1.29 ± 0.06 | 2.18 ± 0.10 | |
| Estradiol valerate (E) | 47.60 ± 11.10 **** (+3.61× vs. CO) ↑ | 36.00 ± 4.30 * (+17.65% vs. CO) ↑ | 9.65 ± 0.83 **** (−33.61% vs. CO) ↓ | 1.10 ± 0.22 | 0.17 ± 0.03 **** (−91.17% vs. CO) ↓ | 0.98 ± 0.16 ** (−23.72% vs. CO) ↓ | 0.35 ± 0.03 **** (−83.74% vs. CO) ↓ | |
| Combined control (CC) | 11.00 ± 1.58 | 32.60 ± 3.78 | 13.34 ± 2.10 | 1.30 ± 0.26 | 1.84 ± 0.12 | 1.32 ± 0.21 | 1.75 ± 0.16 * (−15.02% vs. IC) | |
| Flutamide + Estradiol valerate (F + E) | 39.25 ± 11.53 **** (+3.57× vs. CC) ↑ | 27.75 ± 4.57 | 10.10 ± 0.92 ** (−24.29% vs. CC) ↓ | 0.97 ± 0.10 * (−25.41% vs. CC) ↓ | 0.17 ± 0.01 **** (−90.5% vs. CC) ↓ | 0.82 ± 0.05 *** (−38.01% vs. CC) ↓ | 0.29 ± 0.01 **** (−83.58% vs. CC) * (−19.2% vs. E) ↓ | |
| Cyproterone acetate + Estradiol valerate (CA + E) | 32.00 ± 7.71 *** (+2.91× vs. CC) ↑ | 31.40 ± 5.60 | 10.72 ± 0.95 * (−19.64% vs. CC) ↓ | 1.03 ± 0.13 | 0.16 ± 0.02 **** (−91.3% vs. CC) ↓ | 0.85 ± 0.09 *** (−34.82% vs. CC) ↓ | 0.34 ± 0.05 **** (−80.7% vs. CC) ↓ | |
| Parameter | Relative Organ Mass | |||||||
|---|---|---|---|---|---|---|---|---|
| Group | Pituitary (mg/g b.m.) | Left Adrenal Gland (mg/g b.m.) | Liver (g/g b.m.) | Left Kidney (mg/g b.m.) | Prostate (mg/g b.m.) | Heart (mg/g b.m.) | Testis (random; mg/g b.m.) | |
| Intact control (IC) | 2.87 ± 0.36 | 7.19 ± 0.68 | 3.06 ± 0.22 | 0.30 ± 0.01 | 0.46 ± 0.08 | 0.30 ± 0.01 | 0.48 ± 0.04 | |
| Control vehicle (CV) | 2.72 ± 0.31 | 6.75 ± 0.54 | 3.35 ± 0.05 * (+17.45% vs. IC) ↑ | 0.30 ± 0.01 | 0.39 ± 0.06 | 0.34 ± 0.04 | 0.49 ± 0.05 | |
| Cyproterone acetate (CA) | 3.18 ± 0.16 | 6.52 ± 0.38 | 3.50 ± 0.10 | 0.31 ± 0.01 | 0.37 ± 0.08 | 0.31 ± 0.01 | 0.49 ± 0.03 | |
| Flutamide (F) | 2.97 ± 0.36 | 8.17 ± 0.53 ** (+21.15% vs. CV) ↑ | 3.35 ± 0.17 | 0.31 ± 0.01 | 0.44 ± 0.05 | 0.33 ± 0.03 | 0.52 ± 0.06 | |
| Control sesame oil (CO) | 3.06 ± 1.09 | 7.08 ± 0.54 | 3.36 ± 0.11 | 0.29 ± 0.02 | 0.44 ± 0.05 | 0.30 ± 0.02 | 0.50 ± 0.04 | |
| Estradiol valerate (E) | 15.78 ± 4.71 **** (+5.16× vs. CO) ↑ | 11.67 ± 0.90 **** (+64.78 vs. CO) ↑ | 3.15 ± 0.43 | 0.35 ± 0.03 ** (+20.37% vs. CO) ↑ | 0.05 ± 0.02 **** (−87.42% vs. CO) ↓ | 0.32 ± 0.03 | 0.12 ± 0.01 **** (−77.14% vs. CO) ↓ | |
| Combined control (CC) | 2.76 ± 0.29 | 8.17 ± 0.54 | 3.33 ± 0.26 | 0.32 ± 0.04 | 0.46 ± 0.05 | 0.33 ± 0.04 | 0.44 ± 0.05 | |
| Flutamide + Estradiol valerate (F + E) | 14.41 ± 4.40 **** (+5.23× vs. CC) ↑ | 10.14 ± 1.62 | 3.70 ± 0.23 * (+17% vs. E) | 0.35 ± 0.03 | 0.06 ± 0.002 **** (−86.35% vs. CC) ↓ | 0.30 ± 0.01 | 0.10 ± 0.006 **** (−76.37% vs. CC) ↓ | |
| Cyproterone acetate + Estradiol valerate (CA + E) | 11.74 ± 3.00 *** (+4.26× vs. CC) ↑ | 11.47 ± 1.81 ** (+40.46% vs. CC) ↑ | 3.92 ± 0.23 ** (+17.75% vs. CC) ** (+24.33% vs. E) ↑ | 0.38 ± 0.04 * (+15.96% vs. CC) ↑ | 0.06 ± 0.01 **** (−87.34% vs. CC) ↓ | 0.31 ± 0.03 | 0.12 ± 0.02 **** (−72.04% vs. CC) ↓ | |
| Parameter | Glucose (mmol/L) | Triglycerides (mmol/L) | HDL (mmol/L) | LDL (mmol/L) | |
|---|---|---|---|---|---|
| Group | |||||
| Intact control (IC) | 6.46 ± 0.35 | 1.28 ± 0.17 | 0.72 ± 0.06 | 0.32 ± 0.08 | |
| Control vehicle (CV) | 7.30 ± 0.84 | 1.87 ± 0.49 * (+55.06% vs. IC) ↑ | 0.77 ± 0.03 | 0.45 ± 0.10 | |
| Cyproterone acetate (CA) | 6.72 ± 0.97 | 1.67 ± 0.31 | 0.90 ± 0.17 | 0.36 ± 0.05 | |
| Flutamide (F) | 7.45 ± 0.73 | 1.47 ± 0.29 | 0.70 ± 0.56 | 0.38 ± 0.10 | |
| Control sesame oil (CO) | 6.60 ± 0.64 | 1.82 ± 0.50 | 0.77 ± 0.06 | 0.34 ± 0.05 | |
| Estradiol valerate (E) | 5.92 ± 0.37 | 1.70 ± 0.21 | 1.00 ± 0.29 | 0.17 ± 0.05 ** (−47.5% vs. CO) ↓ | |
| Combined control (CC) | 6.32 ± 0.72 | 1.10 ± 0.24 | 0.67 ± 0.11 | 0.48 ± 0.08 ** (+50% vs. IC) ↑ | |
| Flutamide + Estradiol valerate (F + E) | 5.90 ± 0.59 | 2.16 ± 0.59 ** (+95.65% vs. CC) ↑ | 0.79 ± 0.16 | 0.10 ± 0.00 **** (−79.17% vs. CC) ** (−40.48% vs. E) ↓ | |
| Cyproterone acetate + Estradiol valerate (CA + E) | 6.30 ± 0.62 | 2.30 ± 0.45 *** (+107.97% vs. CC) | 0.88 ± 0.11 ** (+30.65% vs. CC) ↑ | 0.10 ± 0.00 **** (−79.17% vs. CC) ** (−40.48% vs. E) ↓ | |
| Parameter | ALP (U/L) | AST (U/L) | ALT (U/L) | Bil-T (µmol/L) | GGT (U/L) | Creatinine (µmol/L) | Urea (mmol/L) | |
|---|---|---|---|---|---|---|---|---|
| Group | ||||||||
| Intact control (IC) | 307.60 ± 55.42 | 409.70 ± 59.77 | 96.34 ± 8.16 | 1.40 ± 0.21 | 2.46 ± 1.21 | 62.00 ± 2.55 | 7.54 ± 0.31 | |
| Control vehicle (CV) | 264.90 ± 23.86 | 409.20 ± 23.68 | 92.50 ± 9.32 | 1.63 ± 0.21 | 4.13 ± 2.25 | 64.75 ± 4.99 | 8.60 ± 0.16 * (+14.06% Vs. IC) ↑ | |
| Cyproterone acetate (CA) | 511.60 ± 89.89 *** (+93.13% Vs. CV) ↑ | 417.40 ± 74.64 | 113.50 ± 17.32 | 1.32 ± 0.18 | 3.18 ± 0.79 | 59.00 ± 3.94 | 8.04 ± 0.84 | |
| Flutamide (F) | 315.50 ± 53.98 | 427.90 ± 41.02 | 82.05 ± 41.28 | 1.35 ± 0.17 | 3.15 ± 0.54 | 58.00 ± 2.45 * (−10.42% Vs. CV) ↓ | 7.23 ± 0.22 ** (−16% Vs. CV) ↓ | |
| Control sesame oil (CO) | 331.20 ± 39.83 | 451.10 ± 108.40 | 107.00 ± 12.59 | 1.34 ± 0.11 | 3.74 ± 1.06 | 59.00 ± 3.39 | 7.22 ± 0.73 | |
| Estradiol valerate (E) | 152.30 ± 41.83 *** (−54.02% Vs. CO) ↓ | 501.20 ± 97.31 | 142.60 ± 38.31 | 2.10 ± 0.16 **** (+56.72% Vs. CO) ↑ | 3.98 ± 1.40 | 82.80 ± 4.32 **** (+40.34% Vs. CO) ↑ | 12.14 ± 3.10 ** (+68.14% Vs. CO) ↑ | |
| Combined control (CC) | 301.10 ± 44.39 | 410.00 ± 70.09 | 96.94 ± 13.51 | 1.76 ± 0.42 | 2.86 ± 1.05 | 67.40 ± 4.22 * (+22.28% Vs. IC) ↑ | 9.22 ± 0.80 * (+22.28% Vs. IC) ↑ | |
| Flutamide + Estradiol valerate (F + E) | 218.50 ± 33.45 | 353.30 ± 72.68 * (−29.53% Vs. E) ↓ | 95.50 ± 2.06 * (−33.03% Vs. E) ↓ | 1.50 ± 0.22 ** (−28.57% Vs. E) ↓ | 4.60 ± 1.71 | 47.75 ± 2.99 **** (−29.15% vs. CC) **** (−42.33% Vs. E) ↓ | 10.18 ± 1.14 | |
| Cyproterone acetate + Estradiol valerate (CA + E) | 182.80 ± 57.85 ** (−39.29% Vs. CC) ↓ | 295.80 ± 46.04 * (−27.85% vs. CC) ** (−40.98% Vs. E) ↓ | 91.24 ± 3.42 ** (−36.02% Vs. E) ↓ | 1.44 ± 0.26 ** (−31.43% Vs. E) ↓ | 4.46 ± 0.43 | 46.80 ± 2.77 **** (−30.56% vs. CC) **** (−43.48% Vs. E) ↓ | 8.70 ± 0.88 * (−28.34% Vs. E) ↓ | |
| Group | CA | F | E | F + E | CA + E | |
|---|---|---|---|---|---|---|
| Analyzed Parameter | ||||||
| Final body mass | ∕ | ∕ | ↓ | ↓ | ↓ | |
| Relative organ weight | Pituitary | ∕ | ∕ | ↑ | ↑ | ↑ |
| Left adrenal gland | ∕ | ↑ | ↑ | ∕ | ↑ | |
| Liver | ∕ | ∕ | ∕ | ∕ | ↑ | |
| Left kidney | ∕ | ∕ | ↑ | ∕ | ↑ | |
| Prostate | ∕ | ∕ | ↓ | ↓ | ↓ | |
| Heart | ∕ | ∕ | ∕ | ∕ | ∕ | |
| Testis | ∕ | ∕ | ↓ | ↓ | ↓ | |
| Histological parameters | Binuclear hepatocytes volume density | ∕ | ∕ | ∕ | ↑ | ↑ |
| Liver PAS staining intensity | ∕ | ∕ | ∕ | ∕ | ∕ | |
| Liver collagen volume density | ∕ | ∕ | ∕ | ↑ | ↑ | |
| Serum biochemical parameters | Glucose | ∕ | ∕ | ∕ | ∕ | ∕ |
| Triglycerides | ∕ | ∕ | ∕ | ↑ | ↑ | |
| HDL | ∕ | ∕ | ∕ | ∕ | ↑ | |
| LDL | ∕ | ∕ | ↓ | ↓ | ↓ | |
| Hepatic enzymes | ↑ | ∕ | ↓ | ↓ | ↓ | |
| Markers of hepatobiliary function | ∕ | ∕ | ↑ | ↓ | ↓ | |
| Markers of kidney function | ∕ | ↓ | ↑ | ↓ | ↓ | |
Disclaimer/Publisher’s Note: The statements, opinions and data contained in all publications are solely those of the individual author(s) and contributor(s) and not of MDPI and/or the editor(s). MDPI and/or the editor(s) disclaim responsibility for any injury to people or property resulting from any ideas, methods, instructions or products referred to in the content. |
© 2025 by the authors. Published by MDPI on behalf of the Lithuanian University of Health Sciences. Licensee MDPI, Basel, Switzerland. This article is an open access article distributed under the terms and conditions of the Creative Commons Attribution (CC BY) license.
Share and Cite
Ćosić, P.; Vukojević, M.; Miler, M.; Filipović, B.; Manojlović-Stojanoski, M.; Ajdžanović, V. Male Rat Model of Chemical Androgen Deprivation and Estrogenization from the Perspective of Anthropometric, Histological, and Biochemical Parameters. Medicina 2026, 62, 8. https://doi.org/10.3390/medicina62010008
Ćosić P, Vukojević M, Miler M, Filipović B, Manojlović-Stojanoski M, Ajdžanović V. Male Rat Model of Chemical Androgen Deprivation and Estrogenization from the Perspective of Anthropometric, Histological, and Biochemical Parameters. Medicina. 2026; 62(1):8. https://doi.org/10.3390/medicina62010008
Chicago/Turabian StyleĆosić, Pavle, Milica Vukojević, Marko Miler, Branko Filipović, Milica Manojlović-Stojanoski, and Vladimir Ajdžanović. 2026. "Male Rat Model of Chemical Androgen Deprivation and Estrogenization from the Perspective of Anthropometric, Histological, and Biochemical Parameters" Medicina 62, no. 1: 8. https://doi.org/10.3390/medicina62010008
APA StyleĆosić, P., Vukojević, M., Miler, M., Filipović, B., Manojlović-Stojanoski, M., & Ajdžanović, V. (2026). Male Rat Model of Chemical Androgen Deprivation and Estrogenization from the Perspective of Anthropometric, Histological, and Biochemical Parameters. Medicina, 62(1), 8. https://doi.org/10.3390/medicina62010008

