Role of DPP-4 and NPY Family Peptides in Gastrointestinal Symptoms Associated with Obesity and Type 2 Diabetes Mellitus
Abstract
1. Introduction
2. Material and Methods
2.1. Ethics Statement
2.2. Study Participants and Sample Size
2.3. GSRS
2.4. Preparation of Surgical Resected Material
2.5. Protein Analysis
2.5.1. Preparation of Tissue Homogenates
2.5.2. ELISA
2.6. Gene Expression Analysis
2.6.1. RNA Extraction from Muscular Tissues
2.6.2. Complementary DNA Synthesis
2.6.3. Quantitative Real-Time Polymerase Chain Reaction (RT-PCR)
2.7. Data Analysis Statistics
3. Results
3.1. Expression of DPP-4 Levels in Jejunal Muscular Tissue
3.2. Expression of NPY Levels in Jejunal Muscular Tissue
3.3. Expression of PYY Levels in Jejunal Muscular Tissue
3.4. Expression of PP Levels in Jejunal Muscular Tissue
3.5. DPP-4’s Relationship with PYY, NPY, and PP in Jejunal Muscular Tissue in Patients with Obesity and Without T2DM
3.6. DPP-4’s Relationship with PYY, NPY, and PP in Jejunal Muscular Tissue in Patients with Obesity and with T2DM
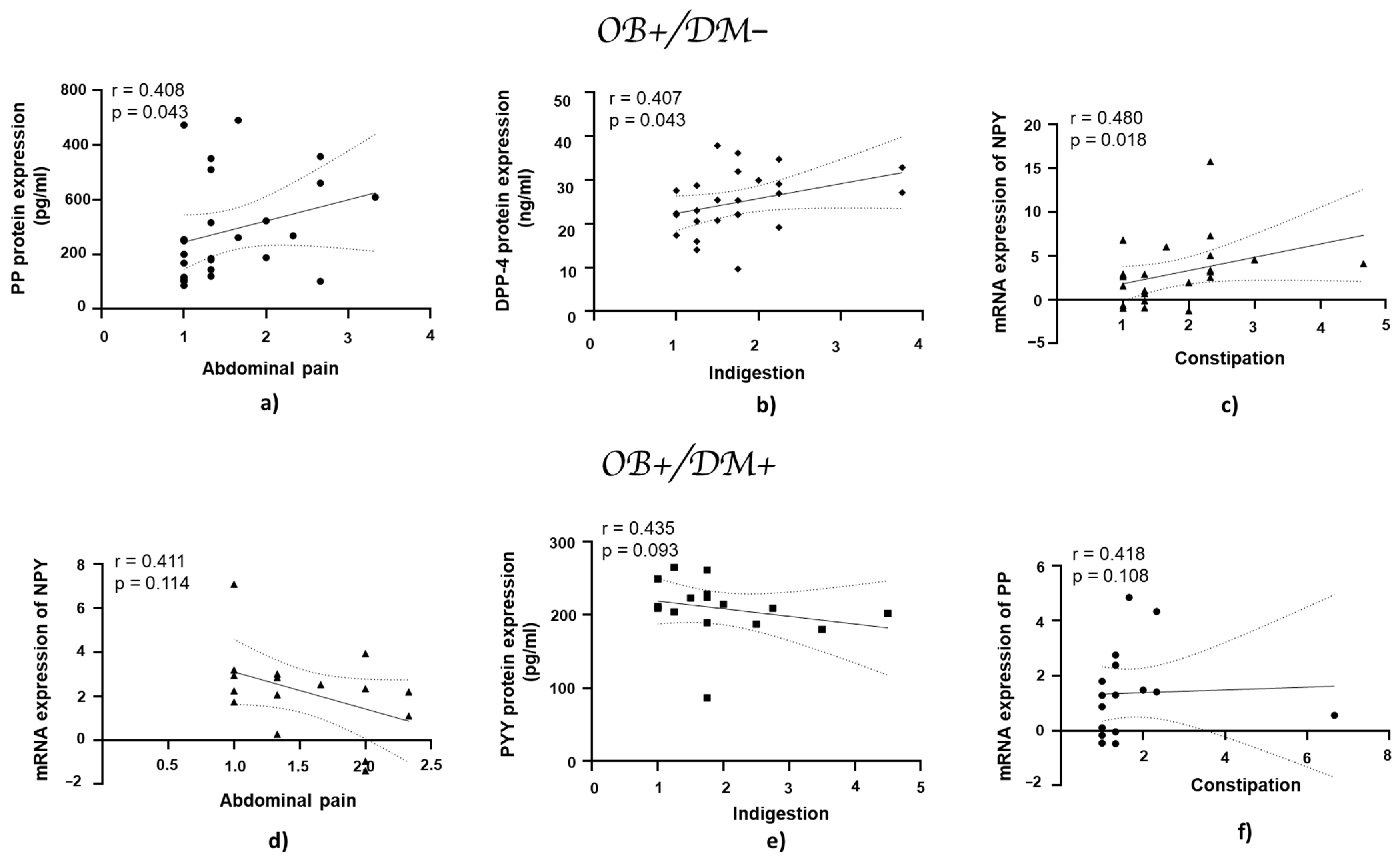
3.7. Association of Gastrointestinal Symptoms with mRNA and Protein Expression of DPP-4, NPY, PYY, and PP in Jejunal Muscular Tissue
4. Discussion
5. Conclusions
Author Contributions
Funding
Institutional Review Board Statement
Informed Consent Statement
Data Availability Statement
Conflicts of Interest
References
- Obesity Atlas 2024|World Obesity Federation Global Obesity Observatory. Available online: https://data.worldobesity.org/publications/?cat=22 (accessed on 2 March 2025).
- Klein, S.; Gastaldelli, A.; Yki-Järvinen, H.; Scherer, P.E. Why does obesity cause diabetes? Cell Metab. 2022, 34, 11–20. [Google Scholar] [CrossRef] [PubMed]
- Koh-Banerjee, P.; Wang, Y.; Hu, F.B.; Spiegelman, D.; Willett, W.C.; Rimm, E.B. Changes in body weight and body fat distribution as risk factors for clinical diabetes in US men. Am. J. Epidemiol. 2004, 159, 1150–1159. [Google Scholar] [CrossRef]
- Li, R.; Bilik, D.; Brown, M.B.; Zhang, P.; Ettner, S.L.; Ackermann, R.T.; Crosson, J.C.; Herman, W.H. Medical Costs Associated with Type 2 Diabetes Complications and Comorbidities. Am. J. Manag. Care 2013, 19, 421. [Google Scholar] [PubMed]
- Du, Y.T.; Rayner, C.K.; Jones, K.L.; Talley, N.J.; Horowitz, M. Gastrointestinal Symptoms in Diabetes: Prevalence, Assessment, Pathogenesis, and Management. Diabetes Care 2018, 41, 627–637. [Google Scholar] [CrossRef]
- Talley, N.J.; Young, L.; Bytzer, P.; Hammer, J.; Leemon, M.; Jones, M.; Horowitz, M. Impact of chronic gastrointestinal symptoms in diabetes mellitus on health-related quality of life. Am. J. Gastroenterol. 2001, 96, 71–76. [Google Scholar] [CrossRef] [PubMed]
- Yarandi, S.S.; Srinivasan, S. Diabetic gastrointestinal motility disorders and the role of enteric nervous system: Current status and future directions. Neurogastroenterol. Motil. 2014, 26, 611–624. [Google Scholar] [CrossRef]
- Portincasa, P.; Bonfrate, L.; Wang, D.Q.H.; Frühbeck, G.; Garruti, G.; Di Ciaula, A. Novel insights into the pathogenic impact of diabetes on the gastrointestinal tract. Eur. J. Clin. Investig. 2022, 52, e13846. [Google Scholar] [CrossRef]
- Hong, S.H.; Choi, K.M. Gut hormones and appetite regulation. Curr. Opin. Endocrinol. Diabetes Obes. 2024, 31, 115–121. [Google Scholar] [CrossRef]
- Wu, T.; Rayner, C.K.; Young, R.L.; Horowitz, M. Gut motility and enteroendocrine secretion. Curr. Opin. Pharmacol. 2013, 13, 928–934. [Google Scholar] [CrossRef]
- Cox, H.M. Neuropeptide Y receptors, antisecretory control of intestinal epithelial function. Auton. Neurosci. 2007, 133, 76–85. [Google Scholar] [CrossRef]
- Holzer, P.; Reichmann, F.; Farzi, A. Neuropeptide Y, peptide YY and pancreatic polypeptide in the gut-brain axis. Neuropeptides 2012, 46, 261–274. [Google Scholar] [CrossRef]
- El-Salhy, M.; Hatlebakk, J.G.; Hausken, T. Possible role of peptide YY (PYY) in the pathophysiology of irritable bowel syndrome (IBS). Neuropeptides 2020, 79, 101973. [Google Scholar] [CrossRef]
- El-Salhy, M.; Hausken, T. The role of the neuropeptide Y (NPY) family in the pathophysiology of inflammatory bowel disease (IBD). Neuropeptides 2016, 55, 137–144. [Google Scholar] [CrossRef]
- Hassan, A.M.; Jain, P.; Mayerhofer, R.; Fröhlich, E.E.; Farzi, A.; Reichmann, F.; Herzog, H.; Holzer, P. Visceral hyperalgesia caused by peptide YY deletion and Y2 receptor antagonism. Sci. Rep. 2017, 7, 40968. [Google Scholar] [CrossRef] [PubMed]
- Gomez, G.; Zhang, T.; Rajaraman, S.; Thakore, K.N.; Yanaihara, N.; Townsend, C.M., Jr.; Thompson, J.C.; Greeley, G.H. Intestinal peptide YY: Ontogeny of gene expression in rat bowel and trophic actions on rat and mouse bowel. Am. J. Physiol. 1995, 268 Pt 1, G71–G81. [Google Scholar] [CrossRef] [PubMed]
- Misra, S.; Mahavadi, S.; Grider, J.R.; Murthy, K.S. Differential expression of Y receptors and signaling pathways in intestinal circular and longitudinal smooth muscle. Regul. Pept. 2005, 125, 163–172. [Google Scholar] [CrossRef] [PubMed]
- Mentlein, R.; Dahms, P.; Grandt, D.; Krüger, R. Proteolytic processing of neuropeptide Y and peptide YY by dipeptidyl peptidase IV. Regul. Pept. 1993, 49, 133–144. [Google Scholar] [CrossRef]
- Cuenco, J.; Minnion, J.; Tan, T.; Scott, R.; Germain, N.; Ling, Y.; Chen, R.; Ghatei, M.; Bloom, S. Degradation Paradigm of the Gut Hormone, Pancreatic Polypeptide, by Hepatic and Renal Peptidases. Endocrinology 2017, 158, 1755. [Google Scholar] [CrossRef]
- Sarkar, J.; Nargis, T.; Tantia, O.; Ghosh, S.; Chakrabarti, P. Increased Plasma Dipeptidyl Peptidase-4 (DPP4) Activity Is an Obesity-Independent Parameter for Glycemic Deregulation in Type 2 Diabetes Patients. Front. Endocrinol. 2019, 10, 505. [Google Scholar] [CrossRef]
- Ilhan, A.; Rasul, S.; Dimitrov, A.; Handisurya, A.; Gartner, W.; Baumgartner-Parzer, S.; Wagner, L.; Kautzky-Willer, A.; Base, W. Plasma neuropeptide Y levels differ in distinct diabetic conditions. Neuropeptides 2010, 44, 485–489. [Google Scholar] [CrossRef]
- Genuth, S.; Alberti, K.G.M.M.; Bennett, P.; Buse, J.; DeFronzo, R.; Kahn, R.; Tuomilehto, J.; Shaw, J.; Steffes, M.; Stern, M.; et al. Follow-up report on the diagnosis of diabetes mellitus. Diabetes Care 2003, 26, 3160–3167. [Google Scholar] [PubMed]
- Benaiges, D.; Saguéa, M.; Flores-Le Roux, J.A.; Pedro-Botet, J.; Ramón, J.M.; Villatoro, M.; Chillarón, J.J.; Pera, M.; Más, A.; Grande, L.; et al. Predictors of Hypertension Remission and Recurrence After Bariatric Surgery. Am. J. Hypertens. 2016, 29, 653–659. [Google Scholar] [CrossRef]
- Hulley, S.B.; Cummings, S.R.; Browner, W.S.; Grady, D.G.; Newman, T.B. Designing Clinical Research, 4e. Designing Clinical Research; Lippincott Williams & Wilkins: Philadelphia, PA, USA, 2013; pp. 55–82. [Google Scholar]
- Svedlund, J.; Sjödin, I.; Dotevall, G. GSRS—A clinical rating scale for gastrointestinal symptoms in patients with irritable bowel syndrome and peptic ulcer disease. Dig. Dis. Sci. 1988, 33, 129–134. [Google Scholar] [CrossRef] [PubMed]
- Cordero, O.J.; Salgado, F.J.; Nogueira, M. On the origin of serum CD26 and its altered concentration in cancer patients. Cancer Immunol. Immunother. 2009, 58, 1723–1747. [Google Scholar] [CrossRef] [PubMed]
- Gschwandtner, M.; Paulitschke, V.; Mildner, M.; Brunner, P.M.; Hacker, S.; Eisenwort, G.; Tschachler, E.; Sperr, R.; Valent, P.; Gerner, C. Proteome analysis identifies L1CAM/CD171 and DPP4/CD26 as novel markers of human skin mast cells. Allergy 2017, 72, 85–97. [Google Scholar] [CrossRef]
- Gomes, S.F.; Valois, A.; Estevinho, M.M.; Santiago, M.; Magro, F. Association of Gut Microbiome and Dipeptidyl Peptidase 4 in Immune-Mediated Inflammatory Bowel Disease: A Rapid Literature Review. Int. J. Mol. Sci. 2024, 25, 12852. [Google Scholar] [CrossRef]
- Liao, X.; Song, L.; Zeng, B.; Liu, B.; Qiu, Y.; Qu, H.; Zheng, Y.; Long, M.; Zhou, H.; Wang, Y.; et al. Alteration of gut microbiota induced by DPP-4i treatment improves glucose homeostasis. EBioMedicine 2019, 44, 665–674. [Google Scholar] [CrossRef]
- Yamashita, S.; Kawakami, Y.; Sato, H.; Sugitani, S.; Goto, M.; Kato, N. Contribution of intestinal dipeptidyl peptidase-4 inhibition for incretin-dependent improved glucose tolerance in mice. Eur. J. Pharmacol. 2019, 859, 172521. [Google Scholar] [CrossRef]
- McKillop, A.M.; Stevenson, C.L.; Moran, B.M.; Abdel-Wahab, Y.H.A.; Flatt, P.R. Tissue expression of DPP-IV in obesity-diabetes and modulatory effects on peptide regulation of insulin secretion. Peptides 2018, 100, 165–172. [Google Scholar] [CrossRef]
- Brothers, S.P.; Wahlestedt, C. Therapeutic potential of neuropeptide Y (NPY) receptor ligands. EMBO Mol. Med. 2010, 2, 429–439. [Google Scholar] [CrossRef]
- Nezami, B.G.; Srinivasan, S. Enteric Nervous System in the Small Intestine: Pathophysiology and Clinical Implications. Curr. Gastroenterol. Rep. 2010, 12, 358. [Google Scholar] [CrossRef] [PubMed]
- Sjölund, K.; Fasth, S.; Ekman, R.; Hultén, L.; Jiborn, H.; Nordgren, S.; Sundler, F. Neuropeptides in idiopathic chronic constipation (slow transit constipation). Neurogastroenterol. Motil. 1997, 9, 143–150. [Google Scholar] [CrossRef] [PubMed]
- Ferreira, R.; Xapelli, S.; Santos, T.; Silva, A.P.; Cristóvão, A.; Cortes, L.; Malva, J.O. Neuropeptide Y modulation of interleukin-1{beta} (IL-1{beta})-induced nitric oxide production in microglia. J. Biol. Chem. 2010, 285, 41921–41934. [Google Scholar] [CrossRef]
- Linan-Rico, A.; Ochoa-Cortes, F.; Schneider, R.; Christofi, F.L. Mini-review: Enteric glial cell reactions to inflammation and potential therapeutic implications for GI diseases, motility disorders, and abdominal pain. Neurosci. Lett. 2023, 812, 137395. [Google Scholar] [CrossRef]
- Guida, C.; Stephen, S.D.; Watson, M.; Dempster, N.; Larraufie, P.; Marjot, T.; Cargill, T.; Rickers, L.; Pavlides, M.; Tomlinson, J.; et al. PYY plays a key role in the resolution of diabetes following bariatric surgery in humans. EBioMedicine 2019, 40, 67. [Google Scholar] [CrossRef] [PubMed]
- Ferrier, L.; Segain, J.P.; Pacaud, P.; Cherbut, C.; Loirand, G.; Galmiche, J.P.; Blottière, H.M. Pathways and receptors involved in peptide YY induced contraction of rat proximal colonic muscle in vitro. Gut 2000, 46, 370–375. [Google Scholar] [CrossRef]
- Kashyap, P.; Farrugia, G. Oxidative stress: Key player in gastrointestinal complications of diabetes. Neurogastroenterol. Motil. 2011, 23, 111–114. [Google Scholar] [CrossRef]
- Witte, A.B.; Hilsted, L.; Holst, J.J.; Schmidt, P.T. Peptide YY3-36 and glucagon-like peptide-1 in functional dyspepsia. Secretion and role in symptom generation. Scand. J. Gastroenterol. 2016, 51, 400–409. [Google Scholar] [CrossRef]
- Pilichiewicz, A.N.; Feltrin, K.L.; Horowitz, M.; Holtmann, G.; Wishart, J.M.; Jones, K.L.; Talley, N.J.; Feinle-Bisset, C. Functional dyspepsia is associated with a greater symptomatic response to fat but not carbohydrate, increased fasting and postprandial CCK, and diminished PYY. Am. J. Gastroenterol. 2008, 103, 2613–2623. [Google Scholar] [CrossRef]
- Pedragosa-Badia, X.; Sliwoski, G.R.; Nguyen, E.D.; Lindner, D.; Stichel, J.; Kaufmann, K.W.; Meiler, J.; Beck-Sickinger, A.G. Pancreatic polypeptide is recognized by two hydrophobic domains of the human Y4 receptor binding pocket. J. Biol. Chem. 2014, 289, 5846–5859. [Google Scholar] [CrossRef]
- Blundell, T.L.; Pitts, J.E.; Tickle, I.J. X-ray analysis (1. 4-Å resolution) of avian pancreatic polypeptide: Small globular protein hormone. Proc. Natl. Acad. Sci. USA 1981, 78, 4175. [Google Scholar] [CrossRef]
- Michael Conlon, J. The origin and evolution of peptide YY (PYY) and pancreatic polypeptide (PP). Peptides 2002, 23, 269–278. [Google Scholar] [CrossRef] [PubMed]
- Misra, S.; Murthy, K.S.; Zhou, H.; Grider, J.R. Coexpression of Y1, Y2, and Y4 receptors in smooth muscle coupled to distinct signaling pathways. J. Pharmacol. Exp. Ther. 2004, 311, 1154–1162. [Google Scholar] [CrossRef]
- Zhu, W.; Tanday, N.; Flatt, P.R.; Irwin, N. Pancreatic polypeptide revisited: Potential therapeutic effects in obesity-diabetes. Peptides 2023, 160, 170923. [Google Scholar] [CrossRef] [PubMed]
- Tissue Expression of PPY-Summary—The Human Protein Atlas. Available online: https://www.proteinatlas.org/ENSG00000108849-PPY/tissue (accessed on 12 January 2025).
- Sam, A.H.; Buckley, A.J.; Lam, B.Y.H.; Bewick, G.A.; Bech, P.R.; Meeran, K.; Barakat, M.T.; Bloom, S.R.; Yeo, G.S.H.; Lessan, N.G.; et al. Fasting pancreatic polypeptide predicts incident microvascular and macrovascular complications of type 2 diabetes: An observational study. Diabetes Metab. Res. Rev. 2024, 40, e3829. [Google Scholar] [CrossRef] [PubMed]
- Aggeletopoulou, I.; Triantos, C. Microbiome Shifts and Their Impact on Gut Physiology in Irritable Bowel Syndrome. Int. J. Mol. Sci. 2024, 25, 12395. [Google Scholar] [CrossRef]
- O’Brien, R.; O’Malley, D. The Glucagon-like peptide-1 receptor agonist, exendin-4, ameliorated gastrointestinal dysfunction in the Wistar Kyoto rat model of Irritable Bowel Syndrome. Neurogastroenterol. Motil. 2020, 32, e13738. [Google Scholar] [CrossRef]
- Li, Z.Y.; Zhang, N.; Wen, S.; Zhang, J.; Sun, X.L.; Fan, X.M.; Sun, Y.-H. Decreased glucagon-like peptide-1 correlates with abdominal pain in patients with constipation-predominant irritable bowel syndrome. Clin. Res. Hepatol. Gastroenterol. 2017, 41, 459–465. [Google Scholar] [CrossRef]
- Barton, J.R.; Londregan, A.K.; Alexander, T.D.; Entezari, A.A.; Covarrubias, M.; Waldman, S.A. Enteroendocrine cell regulation of the gut-brain axis. Front. Neurosci. 2023, 17, 1272955. [Google Scholar] [CrossRef]








| OB+/DM+ (n = 17) | OB+/DM− (n = 27) | 1 p Value | |
|---|---|---|---|
| Sex M/F | 7/10 | 7/20 | 0.290 |
| Age, years 2 (SD) | 52.7 (10.2) | 40.1 (11.5) | <0.001 *** |
| BMI kg/m2 (SD) | 46.3 (5.9) | 43.3 (6.9) | 0.141 |
| Fasting glucose | 7.41 (2.12) | 5.49 (0.79) | 0.011 ** |
| HbA1c | 6.52 (1.22) | 5.16 (0.31) | 0.048 * |
| Diabetes duration | 5.15 (6.2) | - | |
| Medications for diabetes n (%): | |||
| Biguanide (Metformin) | 13 (76.5) | ||
| Secretagogue | 3 (17.6) | ||
| SGLT2 inhibitors | 1 (5.9) | ||
| GLP-1 agonist | 2 (17.8) | ||
| Insulin | 1 (5.9) | - | |
| Hypertension 3 y/n | 17/0 | 17/10 | 0.004 ** |
| Dyslipidemia y/n | 9/8 | 7/20 | 0.070 |
| Total cholesterol | 4.61 (1.0) | 5.09 (0.9) | 0.312 |
| HDL cholesterol | 1.29 (0.6) | 1.30 (0.2) | 0.967 |
| LDL cholesterol | 2.70 (0.8) | 3.23 (0.9) | 0.178 |
| Triglycerides | 2.13 (0.9) | 1.28 (0.5) | 0.049 * |
| OB+/DM+ (n = 16) | OB+/DM− (n = 27) | 1 p Value | |
|---|---|---|---|
| GSRS Pain score | 1.54 (0.5) | 1.66 (0.9) | 0.612 |
| GSRS Pain score ≥ 3, 2 y/n | 0/16 | 2/25 | 0.265 |
| GSRS Reflux score | 1.66 (0.6) | 1.76 (1.0) | 0.705 |
| GSRS Reflux score ≥ 3, y/n | 0/16 | 5/22 | 0.067 |
| GSRS Indigestion score | 1.94 (1.0) | 1.75 (0.7) | 0.475 |
| GSRS Indigestion score ≥ 3, y/n | 2/14 | 2/25 | 0.578 |
| GSRS Diarrhea score | 2.04 (1.1) | 1.58 (0.7) | 0.091 |
| GSRS Diarrhea score ≥ 3, y/n | 5/11 | 2/25 | 0.041 * |
| GSRS Constipation score | 1.73 (1.4) | 1.79 (0.9) | 0.860 |
| GSRS Constipation score ≥ 3, y/n | 1/15 | 3/24 | 0.596 |
Disclaimer/Publisher’s Note: The statements, opinions and data contained in all publications are solely those of the individual author(s) and contributor(s) and not of MDPI and/or the editor(s). MDPI and/or the editor(s) disclaim responsibility for any injury to people or property resulting from any ideas, methods, instructions or products referred to in the content. |
© 2025 by the authors. Published by MDPI on behalf of the Lithuanian University of Health Sciences. Licensee MDPI, Basel, Switzerland. This article is an open access article distributed under the terms and conditions of the Creative Commons Attribution (CC BY) license (https://creativecommons.org/licenses/by/4.0/).
Share and Cite
Malinauskas, M.; Paskeviciene, D.; Steponaitienė, R.; Gudaityte, R.; Kupčinskas, L.; Casselbrant, A.; Maleckas, A. Role of DPP-4 and NPY Family Peptides in Gastrointestinal Symptoms Associated with Obesity and Type 2 Diabetes Mellitus. Medicina 2025, 61, 504. https://doi.org/10.3390/medicina61030504
Malinauskas M, Paskeviciene D, Steponaitienė R, Gudaityte R, Kupčinskas L, Casselbrant A, Maleckas A. Role of DPP-4 and NPY Family Peptides in Gastrointestinal Symptoms Associated with Obesity and Type 2 Diabetes Mellitus. Medicina. 2025; 61(3):504. https://doi.org/10.3390/medicina61030504
Chicago/Turabian StyleMalinauskas, Mantas, Deimante Paskeviciene, Rūta Steponaitienė, Rita Gudaityte, Limas Kupčinskas, Anna Casselbrant, and Almantas Maleckas. 2025. "Role of DPP-4 and NPY Family Peptides in Gastrointestinal Symptoms Associated with Obesity and Type 2 Diabetes Mellitus" Medicina 61, no. 3: 504. https://doi.org/10.3390/medicina61030504
APA StyleMalinauskas, M., Paskeviciene, D., Steponaitienė, R., Gudaityte, R., Kupčinskas, L., Casselbrant, A., & Maleckas, A. (2025). Role of DPP-4 and NPY Family Peptides in Gastrointestinal Symptoms Associated with Obesity and Type 2 Diabetes Mellitus. Medicina, 61(3), 504. https://doi.org/10.3390/medicina61030504

