Interplay Between Immune Microenvironment CD8+ Tumor-Infiltrating Lymphocytes and PDL-1 Expression as Prognostic Markers in Invasive Cervical Squamous Cell Carcinoma
Abstract
1. Introduction
2. Materials and Methods
2.1. Data and Specimen Selection
2.2. Morfopathological Evaluation
2.3. Immunohistochemical Evaluation
- PD-L1 with CAL10 clone, a mouse monoclonal antibody from Master Diagnostica, Spain; dilution 1:50; antigen retrieval was performed by heat-induced epitope retrieval (HIER) using citrate buffer (pH 6.0) at 98 °C for 20 min; a positive control was performed on placenta tissue. The quantification of this biomarker was carried out following recommendations from the latest clinical trials, including the presence of at least 100 viable tumor cells in the section. Both tumor cells and inflammatory cells were taken into consideration using a high-power microscopic field. A positive reaction for tumor cells was considered when partial or complete membranous staining (of any intensity), distinct from cytoplasmic staining, was observed, and immune cells were considered positive for any staining. A combined positive score (CPS) was used to assess PD-L1 expression, defined as the number of PD-L1-positive cells (tumor cells, lymphocytes and macrophages) divided by the total number of tumor cells (positive + negative) × 100 [15], with a maximum score defined as a CPS of 100. According to Monsrud AL et al. (2023), a 10% cut-off value has a statistically significant impact on prognosis for newly diagnosed patients, and we adopted this cut-off value into our methodology, dividing cases into negative PD-L1 (<10%) and positive PD-L1 (≥10%) [16].
- CD8 (C8/144B clone with mouse monoclonal antibody “ready to use” from Biocare, U.S.A.; antigen retrieval was performed using heat-induced epitope retrieval (HIER) in Tris-EDTA buffer (pH 9.0) at 98 °C for 20 min; a membranous/cytoplasmic-positive immunoreaction and positive control were performed on tonsil tissue). A positive reaction was considered when at least one cell was immunostain [6]. By immunohistochemistry, CD8+ TILs density was quantified exclusively within the intra-tumoral compartment (tumor nests), excluding the peritumoral stroma.
- Quantification was performed using whole-slide digital images and reviewed using specific software. Areas of maximal CD8+ infiltration (“hot spots”) were selected for each case. From these regions, five random high-power fields (HPFs) at 400× magnification were evaluated, and CD8+ positive cells were manually counted in each HPF. Cells showing clear membranous or cytoplasmic staining were considered positive. The mean number of CD8+ TILs per HPF was calculated for each case, and the median value across the cohort was used as a threshold to stratify patients into low and high CD8+ TILs groups.
- Ki-67- SP6 clone with rabbit monoclonal antibody—“ready to use” from BioCare, U.S.A.; antigen retrieval was performed by heat-induced epitope retrieval (HIER) using citrate buffer (pH 6.0) at 98 °C for 20 min; a nuclear-positive immunoreaction and positive control were performed on tonsil tissue. The nuclear proliferation rate was obtained by counting positive nuclear cells from 500 cells [17], and the scores were stratified into 3 groups: values lower than 30%—low proliferation group; values between 30% and 50%- medium proliferation group; values higher than 50%- high proliferation group [18]. We also stratified Ki-67 based on the cut-off value of 42% in the low category (<42%) and high category (>42%) since the study by Tu Y. et al. (2022) proved that this value has prognostic value in cervical cancer [19].
2.4. Statistical Analysis
3. Results
4. Discussion
5. Conclusions
Author Contributions
Funding
Institutional Review Board Statement
Informed Consent Statement
Data Availability Statement
Conflicts of Interest
Abbreviations
| CIN | Cervical Intraepithelial Neoplasia |
| CPS | Combined Positive Score |
| DFS | Disease-Free Survival |
| FFPE | Formalin-Fixed Paraffin-Embedded |
| FIGO | International Federation of Gynecology and Obstetrics |
| H&E | Hematoxylin and Eosin |
| HPF | High-Power Field |
| HPV | Human Papillomavirus |
| HR | Hazard Ratio |
| IHC | Immunohistochemistry |
| LVSI | Lymphovascular Space Invasion |
| OS | Overall Survival |
| PD-1 | Programmed Death-1 |
| PD-L1 | Programmed Death-Ligand 1 |
| SCC | Squamous Cell Carcinoma |
| TILs | Tumor-Infiltrating Lymphocytes |
| TME | Tumor Microenvironment |
References
- Available online: https://gco.iarc.who.int/media/globocan/factsheets/cancers/23-cervix-uteri-fact-sheet.pdf (accessed on 1 June 2024).
- Sung, H.; Ferlay, J.; Siegel, R.L.; Laversanne, M.; Soerjomataram, I.; Jemal, A.; Bray, F. Global cancer statistics 2020: GLOBOCAN estimates of incidence and mortality worldwide for 36 cancers in 185 countries. CA Cancer J. Clin. 2021, 71, 209–249. [Google Scholar] [CrossRef]
- International Agency for Research on Cancer (IARC). Global Cancer Observatory: Cancer Today—Romania Fact Sheet (GLOBOCAN 2020 Estimates); IARC: Lyon, France, 2020; Available online: https://gco.iarc.who.int/media/globocan/factsheets/populations/642-romania-fact-sheet.pdf (accessed on 1 October 2025).
- Herbst, R.S.; Soria, J.C.; Kowanetz, M.; Fine, G.D.; Hamid, O.; Gordon, M.S.; Sosman, J.A.; McDermott, D.F.; Powderly, J.D.; Gettinger, S.N.; et al. Predictive correlates of response to the anti-PD-L1 antibody MPDL3280A in cancer patients. Nature 2014, 515, 563–567. [Google Scholar] [CrossRef]
- Rashed, H.E.; Abdelrahman, A.E.; Abdelgawad, M.; Balata, S.; Shabrawy, M.E. Prognostic significance of programmed cell death ligand 1 (PD-L1), CD8+ tumor-infiltrating lymphocytes and p53 in non-small cell lung cancer: An immunohistochemical study. Turk. Patoloji Derg. 2017, 1, 211–222. [Google Scholar] [CrossRef]
- Miyasaka, Y.; Yoshimoto, Y.; Ando, K.; Murata, K.; Irie, D.; Sato, H.; Noda, S.E.; Ikota, H.; Nakano, T.; Yokoo, H.; et al. CD8-positive tumor-infiltrating lymphocytes and prognosis in radiotherapy for uterine cervical squamous cell carcinoma. Anticancer Res. 2023, 43, 2077–2084. [Google Scholar] [CrossRef]
- Enwere, E.K.; Kornaga, E.N.; Dean, M.; Koulis, T.A.; Phan, T.; Kalantarian, M.; Köbel, M.; Ghatage, P.; Magliocco, A.M.; Lees-Miller, S.P.; et al. Expression of PD-L1 and presence of CD8-positive T cells in pre-treatment specimens of locally advanced cervical cancer. Mod. Pathol. 2017, 30, 577–586. [Google Scholar] [CrossRef] [PubMed]
- Someya, M.; Tsuchiya, T.; Fukushima, Y.; Hasegawa, T.; Takada, Y.; Hori, M.; Miura, K.; Kitagawa, M.; Gocho, T.; Hirohashi, Y.; et al. Association between cancer immunity and treatment results in uterine cervical cancer patients treated with radiotherapy. Jpn. J. Clin. Oncol. 2020, 50, 1290–1297. [Google Scholar] [CrossRef]
- Caraban, B.M.; Matei, E.; Cozaru, G.C.; Aşchie, M.; Deacu, M.; Enciu, M.; Bălţătescu, G.I.; Chisoi, A.; Dobrin, N.; Petcu, L.; et al. PD-L1, CD4+, and CD8+ tumor-infiltrating lymphocytes (TILs) expression profiles in melanoma tumor microenvironment cells. J. Pers. Med. 2023, 13, 221. [Google Scholar] [CrossRef] [PubMed]
- Deacu, M.; Tuţă, L.A.; Boşoteanu, M.; Aşchie, M.; Mitroi, A.F.; Nicolau, A.A.; Enciu, M.; Cojocaru, O.; Petcu, L.C.; Bălţătescu, G.I. Assessment of programmed death-ligand 1 receptor immunohistochemical expression and its association with tumor-infiltrating lymphocytes and p53 status in triple-negative breast cancer. Rom. J. Morphol. Embryol. 2021, 62, 63–71. [Google Scholar] [CrossRef]
- Cojocaru, O.; Aschie, M.; Nicolau, A.A.; Burlacu, I.; Enciu, M.; Baltatescu, G.I. PD-L1 and CD8-tumor-infiltrating lymphocytes expression in laryngeal squamous cell carcinoma. ARS Med. Tomitana 2020, 26, 137–144. [Google Scholar]
- Chung, H.C.; Ros, W.; Delord, J.P.; Perets, R.; Italiano, A.; Shapira-Frommer, R.; Manzuk, L.; Piha-Paul, S.A.; Xu, L.; Zeigenfuss, S.; et al. Efficacy and safety of pembrolizumab in previously treated advanced cervical cancer: Results from the Phase II KEYNOTE-158 study. J. Clin. Oncol. 2019, 37, 1470–1478. [Google Scholar] [CrossRef] [PubMed]
- Colombo, N.; Dubot, C.; Lorusso, D.; Caceres, M.V.; Hasegawa, K.; Shapira-Frommer, R.; Tewari, K.S.; Salman, P.; Hoyos Usta, E.; Yañez, E.; et al. Pembrolizumab for persistent, recurrent, or metastatic cervical cancer. Engl. J. Med. 2021, 385, 1856–1867. [Google Scholar] [CrossRef] [PubMed]
- Hendry, S.; Salgado, R.; Gevaert, T.; Russell, P.A.; John, T.; Thapa, B.; Christie, M.; van de Vijver, K.; Estrada, M.; Gonzalez-Ericsson, P.I.; et al. Assessing tumor-infiltrating lymphocytes in solid tumors: A practical review for pathologists and proposal for a standardized method from the International Immuno-Oncology Biomarkers Working Group: Part 2. Adv. Anat. Pathol. 2017, 24, 311–335. [Google Scholar] [CrossRef] [PubMed]
- Brito, M.J.; Sequeira, P.; Quintas, A.; Silva, I.; Silva, F.; Martins, C.; Félix, A. Programmed death-ligand 1 (PD-L1) expression in cervical intraepithelial neoplasia and cervical squamous cell carcinoma of HIV-infected and non-infected patients. Virchows Arch. 2024, 484, 507–516. [Google Scholar] [CrossRef] [PubMed]
- Monsrud, A.L.; Avadhani, V.; Mosunjac, M.B.; Flowers, L.; Krishnamurti, U. Programmed death ligand-1 (PD-L1) expression in cervical squamous cell carcinoma: Does it correlate with outcomes? Int. J. Gynecol. Pathol. 2023, 42, 535–543. [Google Scholar] [CrossRef]
- Penciu, R.; Steriu, L.; Izvoranu, S.; Postolache, I.; Tica, A.; Mocanu, D.; Tica, O.; Sarbu, V.; Deacu, M.; Baltatescu, G.; et al. CD10, CD34 and Ki67 Immunohistochemical Markers Expression in Endometriosis and Adenomyosis. Rev. Chim. 2019, 70, 1323–1327. [Google Scholar] [CrossRef]
- Arunachalam, S.; Amitkumar, K.; John, J.J.; Sudalaimuthu, M.; Vani, K. An immunohistochemical study on Ki-67 expression in squamous cell carcinomas of cervix with clinicopathological correlation. Cureus 2023, 15, e34155. [Google Scholar] [CrossRef]
- Tu, Y.; Jiang, P.; Zhang, J.; Jiang, S.; Yi, Q.; Yuan, R. The positive threshold of the immunohistochemical parameter Ki67 for predicting the recurrence of cervical cancer. Int. J. Gynaecol. Obstet. 2022, 158, 330–337. [Google Scholar] [CrossRef]
- Available online: https://www.who.int/news-room/fact-sheets/detail/cervical-cancer (accessed on 1 June 2024).
- OECD/European Commission. EU Country Cancer Profile 2025: Romania. Paris/Brussels: OECD/EC. 2025. Available online: https://www.oecd.org/content/dam/oecd/en/publications/reports/2025/02/eu-country-cancer-profile-romania-2025_ef833241/8474a271-en.pdf (accessed on 1 October 2025).
- Talib, W.H.; Alsayed, A.R.; Barakat, M.; Abu-Taha, M.I.; Mahmod, A.I. Targeting drug chemo-resistance in cancer using natural products. Biomedicines 2021, 9, 1353. [Google Scholar] [CrossRef]
- Spaans, V.M.; Trietsch, M.D.; Peters, A.A.; Osse, M.; Ter Haar, N.; Fleuren, G.J.; Jordanova, E.S. Precise classification of cervical carcinomas combined with somatic mutation profiling contributes to predicting disease outcome. PLoS ONE 2015, 10, e0133670. [Google Scholar] [CrossRef]
- Punt, S.; van Vliet, M.E.; Spaans, V.M.; de Kroon, C.D.; Fleuren, G.J.; Gorter, A.; Jordanova, E.S. Foxp3+ and IL-17+ cells are correlated with improved prognosis in cervical adenocarcinoma. Cancer Immunol. Immunother. 2015, 64, 745–753. [Google Scholar] [CrossRef]
- Yamauchi, M.; Fukuda, T.; Wada, T.; Kawanishi, M.; Imai, K.; Hashiguchi, Y.; Ichimura, T.; Yasui, T.; Sumi, T. Comparison of outcomes between squamous cell carcinoma and adenocarcinoma in patients with surgically treated stage I–II cervical cancer. Mol. Clin. Oncol. 2014, 2, 518–524. [Google Scholar] [CrossRef]
- Heeren, A.M.; Punt, S.; Bleeker, M.C.; Gaarenstroom, K.N.; van der Velden, J.; Kenter, G.G.; de Gruijl, T.D.; Jordanova, E.S. Prognostic effect of different PD-L1 expression patterns in squamous cell carcinoma and adenocarcinoma of the cervix. Mod. Pathol. 2016, 29, 753–763. [Google Scholar] [CrossRef]
- Kim, H.J.; Ji, Y.R.; Lee, Y.M. Crosstalk between angiogenesis and immune regulation in the tumor microenvironment. Arch. Pharm. Res. 2022, 45, 401–416. [Google Scholar] [CrossRef]
- Ionescu, C.-A.; Aschie, M.; Matei, E.; Cozaru, G.C.; Deacu, M.; Mitroi, A.F.; Baltatescu, G.I.; Nicolau, A.-A.; Mazilu, L.; Tuta, L.A.; et al. Characterization of the tumor microenvironment and the biological processes with a role in prostatic tumorigenesis. Biomedicines 2022, 10, 1672. [Google Scholar] [CrossRef]
- Zhang, W.; Liu, Y.M.; Li, D.; Liu, S.; Cai, X.J.; Tang, J.Y.; Zuo, Z.G.; Li, X.H.; Zhao, Y. Research progress on tumor-infiltrating lymphocyte therapy for cervical cancer. Front. Immunol. 2025, 16, 1524842. [Google Scholar] [CrossRef]
- Labani-Motlagh, A.; Ashja-Mahdavi, M.; Loskog, A. The tumor microenvironment: A milieu hindering and obstructing antitumor immune responses. Front. Immunol. 2020, 11, 940. [Google Scholar] [CrossRef]
- Wild, C.M.; Garrido, F.; Dannecker, C.; Köpke, M.B.; Chateau, M.C.; Boissière-Michot, F.; Heidegger, H.H.; Vattai, A.; Kessler, M.; Jeschke, U.; et al. Prognostic relevance of tumor-infiltrating immune cells in cervix squamous cell carcinoma. Cancers 2023, 15, 4952. [Google Scholar] [CrossRef] [PubMed]
- D’Alessandris, N.; Palaia, I.; Pernazza, A.; Tomao, F.; Di Pinto, A.; Musacchio, L.; Leopizzi, M.; Di Maio, V.; Pecorella, I.; Benedetti Panici, P.; et al. PD-L1 expression is associated with tumor infiltrating lymphocytes that predict response to NACT in squamous cell cervical cancer. Virchows Arch. 2021, 478, 517–525. [Google Scholar] [CrossRef] [PubMed]
- Tang, Y.; Zhang, A.X.J.; Chen, G.; Wu, Y.; Gu, W. Prognostic and therapeutic TILs of cervical cancer—Current advances and future perspectives. Mol. Ther. Oncolytics 2021, 22, 410–430. [Google Scholar] [CrossRef]
- Han, Y.; Liu, D.; Li, L. PD-1/PD-L1 pathway: Current researches in cancer. Am. J. Cancer Res. 2020, 10, 727–742. [Google Scholar] [PubMed]
- Shieh, K.R.; Huang, A.; Xu, Y. Response to immune checkpoint inhibitor treatment in advanced cervical cancer and biomarker study. Front. Med. 2021, 8, 669587. [Google Scholar] [CrossRef] [PubMed]
- Ishikawa, M.; Nakayama, K.; Nakamura, K.; Yamashita, H.; Ishibashi, T.; Minamoto, T.; Iida, K.; Razia, S.; Ishikawa, N.; Nakayama, S.; et al. High PD-1 expression level is associated with an unfavorable prognosis in patients with cervical adenocarcinoma. Arch. Gynecol. Obstet. 2020, 302, 209–218. [Google Scholar] [CrossRef]
- Chen, J.; Gu, P.; Wu, H. Uncovering PD-L1 and CD8+TILs expression and clinical implication in cervical squamous cell carcinoma. Biomed. Res. Int. 2020, 2020, 8164365. [Google Scholar] [CrossRef] [PubMed]
- Mariathasan, S.; Turley, S.J.; Nickles, D.; Castiglioni, A.; Yuen, K.; Wang, Y.; Kadel, E.E., III; Koeppen, H.; Astarita, J.L.; Cubas, R.; et al. TGF-β attenuates tumour response to PD-L1 blockade by contributing to exclusion of T cells. Nature 2018, 554, 544–548. [Google Scholar] [CrossRef] [PubMed]




| Clinico-Pathological Features | PD-L1 Negative n (%) | PD-L1 Positive n (%) | p Value | |
|---|---|---|---|---|
| 15 (31, 2) | 33 (68.8) | |||
| Age (years old) | <56.5 | 6 (40.0) | 18 (54.5) | 0.350 |
| ≥56.5 | 9 (60.0) | 15 (45.5) | ||
| Tumor size | <4 cm | 5 (33.3) | 6 (18.2) | 0.283 |
| ≥4 cm | 10 (66.7) | 27 (81.8) | ||
| Parametrial invasion | No | 10 (66.7) | 3 (9.1) | <0.001 * |
| Yes | 5 (33.3) | 30 (90.9) | ||
| FIGO 2018 stage | I + II | 13 (86.7) | 9 (27.3) | <0.001 |
| III + IV | 2 (13.3) | 24 (72.7) | ||
| Grade | G1 + G2 | 6 (40.0) | 7 (21.2) | 0.293 * |
| G3 | 9 (60.0) | 26 (78.8) | ||
| Lympho-vascular invasion | No | 11 (73.3) | 7 (21.2) | 0.001 |
| Yes | 4 (26.7) | 26 (78.8) | ||
| TILs (%) | <10 | 0 | 10 (30.3) | <0.001 # |
| 10–40 | 2 (13.3) | 13 (39.4) | ||
| ≥40 | 13 (86.7) | 10 (30.3) | ||
| CD8+ TILs | LowCD8+ TILs | 4 (26.7) | 19 (57.6) | 0.047 |
| HighCD8+ TILs | 11 (73.3) | 14 (42.4) | ||
| Metastasis of lymph node | No | 14 (93.3) | 20 (60.6) | 0.037 |
| Yes | 1 (6.7) | 13 (39.4) | ||
| Ki-67 index (%) | <42% | 10 (6.7) | 8 (24.2) | 0.009 |
| ≥42% | 5 (33.3) | 25 (75.8) | ||
| Variable | p | HR (95%CI) |
|---|---|---|
| Age (<56.5/≥56.5 years old) | 0.007 | 4.678 (1.533–14.277) |
| Early FIGO stage (I + II)/advanced FIGO stage (III + IV) | 0.031 | 3.124 (1.109–8.796) |
| Tumor size (<4 cm/≥4 cm) | 0.131 | 3.111 (0.714–13.557) |
| Grade of differentiation G1 + G2/G3 | 0.276 | 1.994 (0.577–6.894) |
| Lympho-vascular space invasion (No/Yes) | 0.009 | 14.960 (1.985–112.748) |
| Lymph node metastases (No/Yes) | <0.001 | 5.828 (2.255–15.06) |
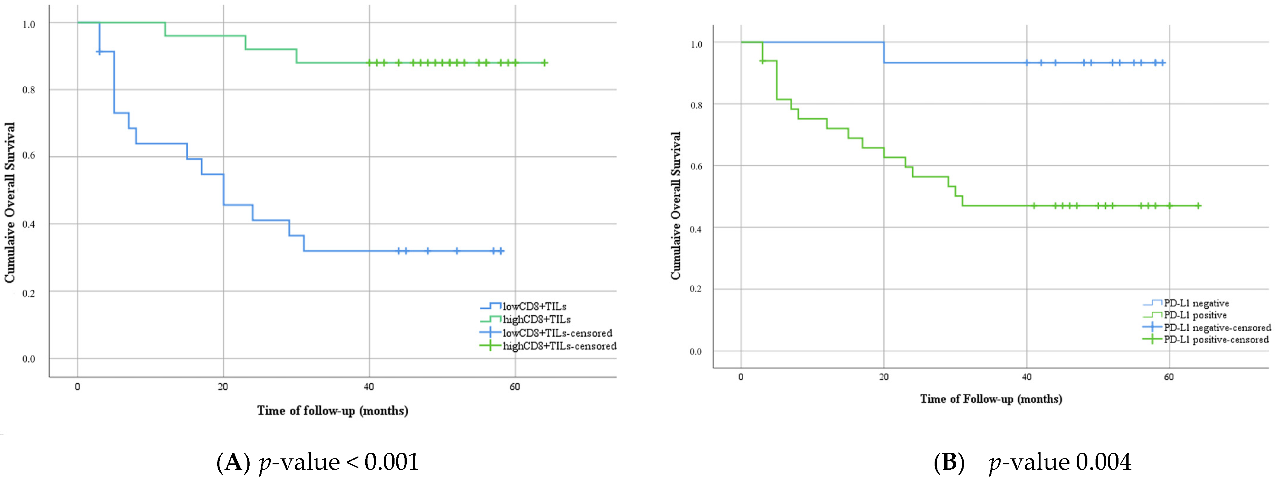
| Low CD8+ TILs/high CD8+ TILs | 0.001 | 0.112 (0.032–0.390) |
| Negative PD-L1/positive PD-L1 | 0.021 | 10.730 (0.012–0.702) |
| Ki-67 index (<42%/≥42%) | 0.027 | 4.085 (1.178–14.160) |
Disclaimer/Publisher’s Note: The statements, opinions and data contained in all publications are solely those of the individual author(s) and contributor(s) and not of MDPI and/or the editor(s). MDPI and/or the editor(s) disclaim responsibility for any injury to people or property resulting from any ideas, methods, instructions or products referred to in the content. |
© 2025 by the authors. Published by MDPI on behalf of the Lithuanian University of Health Sciences. Licensee MDPI, Basel, Switzerland. This article is an open access article distributed under the terms and conditions of the Creative Commons Attribution (CC BY) license (https://creativecommons.org/licenses/by/4.0/).
Share and Cite
Petrică, L.-A.; Deacu, M.; Cozaru, G.C.; Mitroi, A.F.; Bălţătescu, G.I.; Enciu, M.; Cojocaru, O.; Nicolau, A.-A.; Baz, A.R.; Șerbănescu, L.; et al. Interplay Between Immune Microenvironment CD8+ Tumor-Infiltrating Lymphocytes and PDL-1 Expression as Prognostic Markers in Invasive Cervical Squamous Cell Carcinoma. Medicina 2025, 61, 2007. https://doi.org/10.3390/medicina61112007
Petrică L-A, Deacu M, Cozaru GC, Mitroi AF, Bălţătescu GI, Enciu M, Cojocaru O, Nicolau A-A, Baz AR, Șerbănescu L, et al. Interplay Between Immune Microenvironment CD8+ Tumor-Infiltrating Lymphocytes and PDL-1 Expression as Prognostic Markers in Invasive Cervical Squamous Cell Carcinoma. Medicina. 2025; 61(11):2007. https://doi.org/10.3390/medicina61112007
Chicago/Turabian StylePetrică, Laura-Andra, Mariana Deacu, Georgeta Camelia Cozaru, Anca Florentina Mitroi, Gabriela Izabela Bălţătescu, Manuela Enciu, Oana Cojocaru, Anca-Antonela Nicolau, Andrei Radu Baz, Lucian Șerbănescu, and et al. 2025. "Interplay Between Immune Microenvironment CD8+ Tumor-Infiltrating Lymphocytes and PDL-1 Expression as Prognostic Markers in Invasive Cervical Squamous Cell Carcinoma" Medicina 61, no. 11: 2007. https://doi.org/10.3390/medicina61112007
APA StylePetrică, L.-A., Deacu, M., Cozaru, G. C., Mitroi, A. F., Bălţătescu, G. I., Enciu, M., Cojocaru, O., Nicolau, A.-A., Baz, A. R., Șerbănescu, L., & Aşchie, M. (2025). Interplay Between Immune Microenvironment CD8+ Tumor-Infiltrating Lymphocytes and PDL-1 Expression as Prognostic Markers in Invasive Cervical Squamous Cell Carcinoma. Medicina, 61(11), 2007. https://doi.org/10.3390/medicina61112007

