New Ultrasonographic Parameter for Diagnosing Carpal Tunnel Syndrome: The Median Nerve-to-Ulnar Artery Cross-Sectional Area Ratio
Abstract
1. Introduction
2. Materials and Methods
2.1. Study Design
2.2. Ultrasonographic Examination and Measurements
2.3. Statistical Analysis
3. Results
3.1. Characteristics and Clinical Data
3.2. Ultrasonographic CTS Parameters
3.3. Correlation Between MUAR and Other CTS Parameters
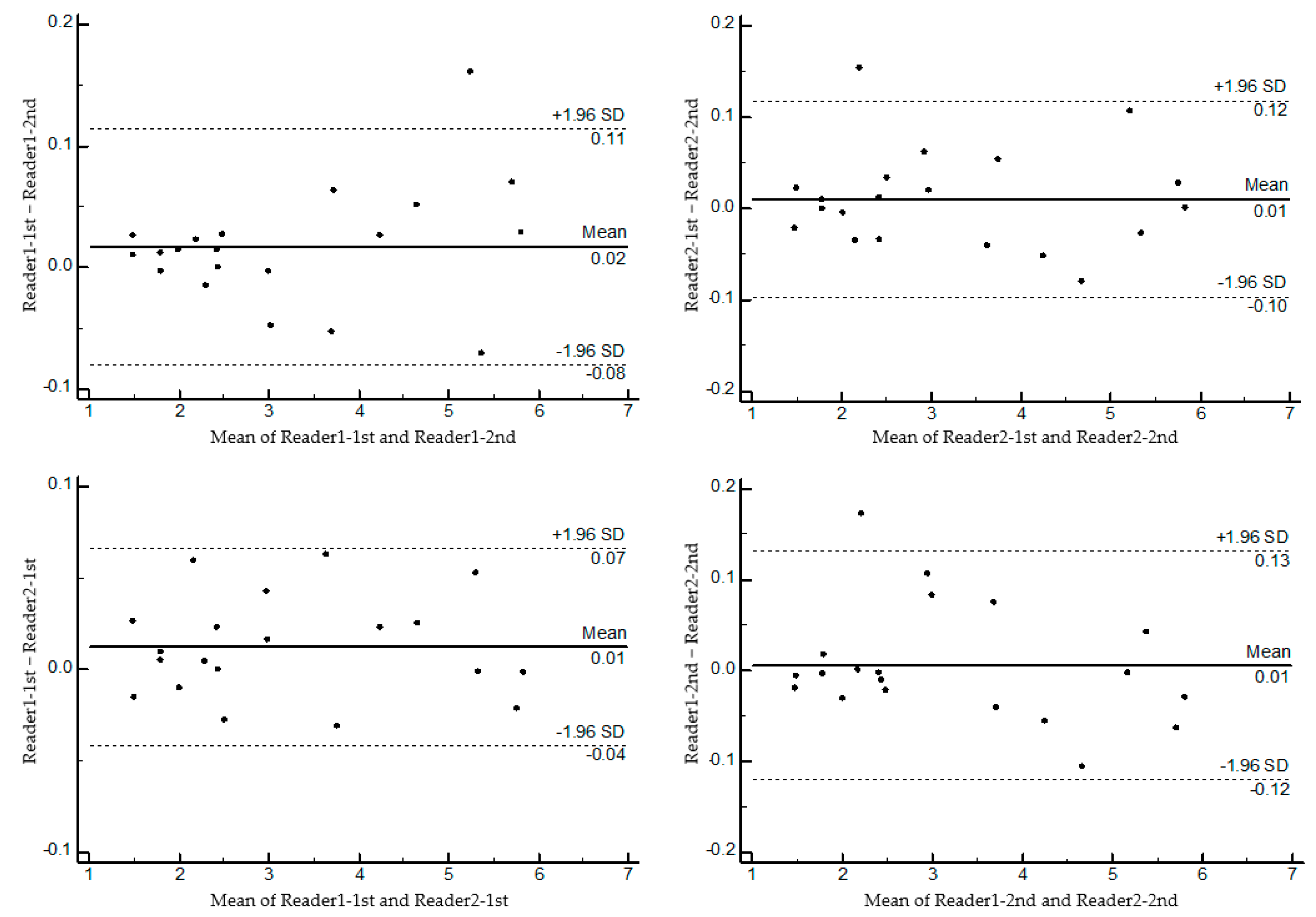
3.4. Intra-Rater and Inter-Rater Reliability
4. Discussion
5. Conclusions
Author Contributions
Funding
Institutional Review Board Statement
Informed Consent Statement
Data Availability Statement
Conflicts of Interest
Abbreviations
| APB | Abductor pollicis brevis |
| BCTQ | Boston carpal tunnel syndrome questionnaire |
| BMI | Body mass index |
| CSA | Cross-sectional area |
| CTS | Carpal tunnel syndrome |
| EDX | Electrodiagnostic studies |
| FSS | Functional status scale |
| ICCs | Intraclass correlation coefficients |
| MFR | Median flattening ratio |
| MUAR | Median nerve-to-ulnar artery cross-sectional area ratio |
| MUR | Median-to-ulnar nerve cross-sectional area ratio |
| NMUS | Neuromuscular ultrasonography |
| NRS | Numeric rating scale |
| SMI | Superb microvascular imaging |
| SSS | Symptom severity scale |
| WFR | Wrist forearm ratio |
References
- Padua, L.; Coraci, D.; Erra, C.; Pazzaglia, C.; Paolasso, I.; Loreti, C.; Caliandro, P.; Hobson-Webb, L.D. Carpal tunnel syndrome: Clinical features, diagnosis, and management. Lancet Neurol. 2016, 15, 1273–1284. [Google Scholar] [CrossRef]
- Atroshi, I.; Gummesson, C.; Johnsson, R.; Ornstein, E.; Ranstam, J.; Rosén, I. Prevalence of carpal tunnel syndrome in a general population. JAMA 1999, 282, 153–158. [Google Scholar] [CrossRef]
- Padua, L.; Cuccagna, C.; Giovannini, S.; Coraci, D.; Pelosi, L.; Loreti, C.; Bernabei, R.; Hobson-Webb, L.D. Carpal tunnel syndrome: Updated evidence and new questions. Lancet Neurol. 2023, 22, 255–267. [Google Scholar] [CrossRef]
- Padua, L.; Liotta, G.; Di Pasquale, A.; Granata, G.; Pazzaglia, C.; Caliandro, P.; Martinoli, C. Contribution of ultrasound in the assessment of nerve diseases. Eur. J. Neurol. 2012, 19, 47–54. [Google Scholar] [CrossRef]
- Pelosi, L.; Leadbetter, R.; Mulroy, E. Utility of neuromuscular ultrasound in the investigation of common mononeuropathies in everyday neurophysiology practice. Muscle Nerve 2021, 63, 467–471. [Google Scholar] [CrossRef]
- Tomažin, T.; Pušnik, L.; Albano, D.; Jengojan, S.A.; Snoj, Ž. Multiparametric Ultrasound Assessment of Carpal Tunnel Syndrome: Beyond Nerve Cross-sectional Area. Semin. Musculoskelet. Radiol. 2024, 28, 661–671. [Google Scholar] [CrossRef]
- Stoianov, A.G.; Patrascu, J.M.; Hogea, B.G.; Andor, B.; Florescu, S.; Patrascu, J.M., Jr.; Misca, L.C. Static and Dynamic Ultrasound Evaluation of the Median Nerve Morphopathology in Carpal Tunnel Syndrome Diagnosis. Maedica 2022, 17, 591–595. [Google Scholar] [CrossRef]
- Lee, C.-H.; Lin, Y.-T.; Wu, C.-T.; Lin, C.-H.; Chen, S.-H.; Hsu, C.-C. Sonoelastography in the Diagnosis of Carpal Tunnel Syndrome: A Systematic Review of Diagnostic Values Compared With the Normative Population. Ann. Plast. Surg. 2021, 86, S299–S311. [Google Scholar] [CrossRef]
- Miller, L.E.; Hammert, W.C.; Rekant, M.S.; Fowler, J.R. Diagnostic Accuracy of Neuromuscular Ultrasound vs. Electrodiagnostic Studies for Carpal Tunnel Syndrome: Systematic Review and Meta-analysis of Paired Accuracy Studies. Hand 2024, 20, 1182–1189. [Google Scholar] [CrossRef]
- Sheen, S.; Ahmed, A.; Raiford, M.E.; Jones, C.M.C.; Morrison, E.; Hauber, K.; Orsini, J.; Hammert, W.C.; Speach, D. Association between electrodiagnosis and neuromuscular ultrasound in the diagnosis and assessment of severity of carpal tunnel syndrome. PM R 2024, 16, 1190–1194. [Google Scholar] [CrossRef]
- Tawfik, E.A.; Cartwright, M.S.; Grimm, A.; Boon, A.J.; Kerasnoudis, A.; Preston, D.C.; Wilder-Smith, E.; Axer, H.; Hobson-Webb, L.D.; van Alfen, N.; et al. Guidelines for neuromuscular ultrasound training. Muscle Nerve 2019, 60, 361–366. [Google Scholar] [CrossRef]
- Walker, F.O.; Cartwright, M.S.; Alter, K.E.; Visser, L.H.; Hobson-Webb, L.D.; Padua, L.; Strakowski, J.A.; Preston, D.C.; Boon, A.J.; Axer, H.; et al. Indications for neuromuscular ultrasound: Expert opinion and review of the literature. Clin. Neurophysiol. 2018, 129, 2658–2679. [Google Scholar] [CrossRef]
- Moschovos, C.; Tsivgoulis, G.; Kyrozis, A.; Ghika, A.; Karachalia, P.; Voumvourakis, K.; Chroni, E. The diagnostic accuracy of high-resolution ultrasound in screening for carpal tunnel syndrome and grading its severity is moderated by age. Clin. Neurophysiol. 2019, 130, 321–330. [Google Scholar] [CrossRef]
- Jiwa, N.; Abraham, A.; Bril, V.; Katzberg, H.D.; Lovblom, L.E.; Barnett, C.; Breiner, A. The median to ulnar cross-sectional surface area ratio in carpal tunnel syndrome. Clin. Neurophysiol. 2018, 129, 2239–2244. [Google Scholar] [CrossRef]
- Sakly, G.; Affes, Z.; Dhia, S.B.; Trabelsi, A.; Cheikh, R.B.; Gammoudi, N.; Dogui, M. The impact of carpal tunnel syndrome on ulnar nerve: An electro-clinical study. J. Neurol. Neurosci. 2016, 7, 153. [Google Scholar] [CrossRef][Green Version]
- Ginanneschi, F.; Filippou, G.; Reale, F.; Scarselli, C.; Galeazzi, M.; Rossi, A. Ultrasonographic and functional changes of the ulnar nerve at Guyon’s canal after carpal tunnel release. Clin. Neurophysiol. 2010, 121, 208–213. [Google Scholar] [CrossRef] [PubMed]
- Kang, S.; Yang, S.N.; Yoon, J.S.; Kang, H.J.; Won, S.J. Effect of Carpal Tunnel Syndrome on the Ulnar Nerve at the Wrist: Sonographic and Electrophysiologic Studies. J. Ultrasound Med. 2016, 35, 37–42. [Google Scholar] [CrossRef] [PubMed]
- Yurdakul, O.V.; Mesci, N.; Çetinkaya, Y.; Geler Külcü, D. Diagnostic Significance of Ultrasonographic Measurements and Median-Ulnar Ratio in Carpal Tunnel Syndrome: Correlation with Nerve Conduction Studies. J. Clin. Neurol. 2016, 12, 289–294. [Google Scholar] [CrossRef] [PubMed]
- Beniwal, S.; Bhargava, K.; Kausik, S.K. Size of distal radial and distal ulnar arteries in adults of southern Rajasthan and their implications for percutaneous coronary interventions. Indian Heart J. 2014, 66, 506–509. [Google Scholar] [CrossRef]
- Dharma, S.; Kedev, S.; Patel, T.; Rao, S.V.; Bertrand, O.F.; Gilchrist, I.C. Radial artery diameter does not correlate with body mass index: A duplex ultrasound analysis of 1706 patients undergoing trans-radial catheterization at three experienced radial centers. Int. J. Cardiol. 2017, 228, 169–172. [Google Scholar] [CrossRef]
- Zivkovic, S.; Gruener, G.; Arnold, M.; Winter, C.; Nuckols, T.; Narayanaswami, P.; the Quality Improvement Committee of the American Association of Neuromuscular & Electrodiagnostic Medicine. Quality measures in electrodiagnosis: Carpal tunnel syndrome-An AANEM Quality Measure Set. Muscle Nerve 2020, 61, 460–465. [Google Scholar] [CrossRef]
- Fu, T.; Cao, M.; Liu, F.; Zhu, J.; Ye, D.; Feng, X.; Xu, Y.; Wang, G.; Bai, Y. Carpal tunnel syndrome assessment with ultrasonography: Value of inlet-to-outlet median nerve area ratio in patients versus healthy volunteers. PLoS ONE 2015, 10, e0116777. [Google Scholar] [CrossRef]
- Koo, T.K.; Li, M.Y. A Guideline of Selecting and Reporting Intraclass Correlation Coefficients for Reliability Research. J. Chiropr. Med. 2016, 15, 155–163. [Google Scholar] [CrossRef]
- Karahan, A.Y.; Arslan, S.; Ordahan, B.; Bakdik, S.; Ekiz, T. Superb Microvascular Imaging of the Median Nerve in Carpal Tunnel Syndrome: An Electrodiagnostic and Ultrasonographic Study. J. Ultrasound Med. 2018, 37, 2855–2861. [Google Scholar] [CrossRef] [PubMed]
- Kutlar, N.; Bayrak, A.O.; Bayrak, I.K.; Canbaz, S.; Turker, H. Diagnosing carpal tunnel syndrome with Doppler ultrasonography: A comparison of ultrasonographic measurements and electrophysiological severity. Neurol. Res. 2017, 39, 126–132. [Google Scholar] [CrossRef] [PubMed]
- Dejaco, C.; Stradner, M.; Zauner, D.; Seel, W.; Simmet, N.E.; Klammer, A.; Heitzer, P.; Brickmann, K.; Gretler, J.; Fürst-Moazedi, F.C.; et al. Ultrasound for diagnosis of carpal tunnel syndrome: Comparison of different methods to determine median nerve volume and value of power Doppler sonography. Ann. Rheum. Dis. 2013, 72, 1934–1939. [Google Scholar] [CrossRef] [PubMed]
- Landau, A.J.; Parameswaran, P.; Fresco, R.; Simon, L.; Dy, C.J.; Brogan, D.M. Systematic Review of the Use of Power Doppler Ultrasound in the Imaging of Peripheral Nerve Compression Neuropathy. Plast Reconstr. Surg. 2022, 149, 48e–56e. [Google Scholar] [CrossRef]
- Mohammadi, A.; Ghasemi-Rad, M.; Mladkova-Suchy, N.; Ansari, S. Correlation between the severity of carpal tunnel syndrome and color Doppler sonography findings. AJR Am. J. Roentgenol. 2012, 198, W181–W184. [Google Scholar] [CrossRef]
- Gitto, S.; Messina, C.; Chianca, V.; Tuscano, B.; Lazzara, A.; Corazza, A.; Pedone, L.; Albano, D.; Sconfienza, L.M. Superb microvascular imaging (SMI) in the evaluation of musculoskeletal disorders: A systematic review. Radiol. Med. 2020, 125, 481–490. [Google Scholar] [CrossRef]
- Deeg, J.; Mundel, F.; Loizides, A.; Gruber, L.; Gruber, H. Intraneural vascularity of the median, ulnar and common peroneal nerve: Microvascular ultrasound and pathophysiological implications. Australas J. Ultrasound Med. 2023, 26, 175–183. [Google Scholar] [CrossRef]
- Yildiran, G.; Seher, N.; Sutcu, M.; Nayman, A.; Akdag, O.; Tosun, Z. Median Nerve’s Microcirculation in Carpal Tunnel Syndrome: Superb Microvascular Imaging. Plast Reconstr. Surg. 2021, 147, 1355–1360. [Google Scholar] [CrossRef] [PubMed]
- Ozcan, H.N.; Kara, M.; Ozcan, F.; Bostanoglu, S.; Karademir, M.A.; Erkin, G.; Ozçakar, L. Dynamic Doppler evaluation of the radial and ulnar arteries in patients with carpal tunnel syndrome. AJR Am. J. Roentgenol. 2011, 197, W817–W820. [Google Scholar] [CrossRef] [PubMed]



| Characteristics and Clinical Data | |
|---|---|
| Patient number | 42 |
| Sex | Male: 13, Female: 29 |
| Age (y) | 56 (52–62) |
| BMI (kg/m2) | 23.7 (21.4–26.2) |
| Dominant hand | Right: 40, Left: 2 |
| Lesion side | Right: 10, Left: 7, Bilateral: 25 |
| CTS wrist number | 67 |
| Severity | Mild: 19, Moderate: 33, Severe: 15 |
| Duration (months) | 6 (3–12) |
| NRS | 4 (2–6) |
| BCTQ-SSS | 27 (21–34) |
| BCTQ-FSS | 14 (9–19) |
| Tinel’s sign | Positive: 32, Negative: 35 |
| Phalen’s test | Positive: 39, Negative: 28 |
| APB atrophy | Positive: 11, Negative: 56 |
| Nocturnal numbness in digit I–III | Presence: 43, Absence: 24 |
| Parameters | Carpal Tunnel Inlet | Carpal Tunnel Outlet | 12 cm Proximal to the Distal Wrist Crease |
|---|---|---|---|
| Median nerve CSA (mm2) | 14.0 (11.0–16.5) | 10.2 (9.0–13.0) | 7.0 (6.0–9.0) |
| MFR (long/short diameter) | 3.20 (2.82–3.56) | 3.26 (2.61–3.80) | 2.0 (1.61–2.31) |
| MUR | 3.0 (2.06–4.29) | * | 1.40 (1.0–1.69) |
| Ulnar artery CSA (mm2) | 4.0 (3.0–6.0) | 4.0 (3.0–5.0) | 5.0 (4.0–6.5) |
| MUAR | 3.20 (2.31–4.90) | 2.75 (2.0–4.0) | 1.50 (1.16–2.0) |
| Median nerve WFR | 1.80 (1.56–2.53) | ||
| Parameters | MUAR at the Carpal Tunnel Inlet | MUAR at the Carpal Tunnel Outlet | MUAR at 12 cm Proximal to the Distal Wrist Crease | |
|---|---|---|---|---|
| Carpal tunnel inlet | Median nerve CSA (mm2) | 0.485 * | 0.272 * | 0.145 |
| MFR (long/short diameter) | 0.219 | 0.206 | 0.237 | |
| MUR | 0.738 * | 0.528 * | 0.299 * | |
| Carpal tunnel outlet | Median nerve CSA (mm2) | 0.211 | 0.328 * | 0.023 |
| MFR (long/short diameter) | 0.325 * | 0.287 * | 0.213 | |
| MUR | † | † | † | |
| 12 cm proximal to the distal wrist crease | Median nerve CSA (mm2) | –0.069 | –0.137 | 0.424 * |
| MFR (long/short diameter) | 0.007 | –0.046 | –0.074 | |
| MUR | 0.165 | 0.192 | 0.613 * | |
| Median nerve WFR | 0.541 * | 0.396 * | –0.231 | |
Disclaimer/Publisher’s Note: The statements, opinions and data contained in all publications are solely those of the individual author(s) and contributor(s) and not of MDPI and/or the editor(s). MDPI and/or the editor(s) disclaim responsibility for any injury to people or property resulting from any ideas, methods, instructions or products referred to in the content. |
© 2025 by the authors. Published by MDPI on behalf of the Lithuanian University of Health Sciences. Licensee MDPI, Basel, Switzerland. This article is an open access article distributed under the terms and conditions of the Creative Commons Attribution (CC BY) license (https://creativecommons.org/licenses/by/4.0/).
Share and Cite
Lee, J.; Chang, S.-Y.; Yoon, J.S. New Ultrasonographic Parameter for Diagnosing Carpal Tunnel Syndrome: The Median Nerve-to-Ulnar Artery Cross-Sectional Area Ratio. Medicina 2025, 61, 2002. https://doi.org/10.3390/medicina61112002
Lee J, Chang S-Y, Yoon JS. New Ultrasonographic Parameter for Diagnosing Carpal Tunnel Syndrome: The Median Nerve-to-Ulnar Artery Cross-Sectional Area Ratio. Medicina. 2025; 61(11):2002. https://doi.org/10.3390/medicina61112002
Chicago/Turabian StyleLee, Junhee, So-Youn Chang, and Joon Shik Yoon. 2025. "New Ultrasonographic Parameter for Diagnosing Carpal Tunnel Syndrome: The Median Nerve-to-Ulnar Artery Cross-Sectional Area Ratio" Medicina 61, no. 11: 2002. https://doi.org/10.3390/medicina61112002
APA StyleLee, J., Chang, S.-Y., & Yoon, J. S. (2025). New Ultrasonographic Parameter for Diagnosing Carpal Tunnel Syndrome: The Median Nerve-to-Ulnar Artery Cross-Sectional Area Ratio. Medicina, 61(11), 2002. https://doi.org/10.3390/medicina61112002

