The Value of Systemic Inflammatory Indices for Predicting Early Postoperative Complications in Colorectal Cancer
Abstract
1. Introduction
2. Materials and Methods
2.1. Study Design
2.2. Statistical Analysis
3. Results
3.1. Surgery and Postoperative Outcomes
3.2. Correlations between Systemic Inflammatory Indices for Postoperative Outcomes
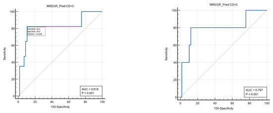
3.2.1. Predictive Value of Systemic Inflammatory Biomarkers in the Emergency Subgroup
3.2.2. Predictive Value of Systemic Inflammatory Biomarkers in Elective Subgroup
4. Discussion
5. Conclusions
Supplementary Materials
Author Contributions
Funding
Institutional Review Board Statement
Informed Consent Statement
Data Availability Statement
Conflicts of Interest
References
- Morgan, E.; Arnold, M.; Gini, A.; Lorenzoni, V.; Cabasag, C.J.; Laversanne, M.; Vignat, J.; Ferlay, J.; Murphy, N.; Bray, F. Global burden of colorectal cancer in 2020 and 2040: Incidence and mortality estimates from GLOBOCAN. Gut 2023, 72, 338–344. [Google Scholar] [CrossRef] [PubMed]
- Savlovschi, C.; Serban, D.; Trotea, T.; Borcan, R.; Dumitrescu, D. Post-surgery morbidity and mortality in colorectal cancer in elderly subjects. Chirurgia 2013, 108, 177–179. [Google Scholar] [PubMed]
- Baidoun, F.; Elshiwy, K.; Elkeraie, Y.; Merjaneh, Z.; Khoudari, G.; Sarmini, M.T.; Gad, M.; Al-Husseini, M.; Saad, A. Colorectal Cancer Epidemiology: Recent Trends and Impact on Outcomes. Curr. Drug Targets 2021, 22, 998–1009. [Google Scholar] [CrossRef] [PubMed]
- Patel, S.G.; Karlitz, J.J.; Yen, T.; Lieu, C.H.; Boland, C.R. The rising tide of early-onset colorectal cancer: A comprehensive review of epidemiology, clinical features, biology, risk factors, prevention, and early detection. Lancet Gastroenterol. Hepatol. 2022, 7, 262–274. [Google Scholar] [CrossRef] [PubMed]
- Ionescu, E.M.; Tieranu, C.G.; Maftei, D.; Grivei, A.; Olteanu, A.O.; Arbanas, T.; Calu, V.; Musat, S.; Mihaescu-Pintia, C.; Cucu, I.C. Colorectal Cancer Trends of 2018 in Romania-an Important Geographical Variation Between Northern and Southern Lands and High Mortality Versus European Averages. J. Gastrointest. Cancer 2021, 52, 222–228. [Google Scholar] [CrossRef] [PubMed]
- Şavlovschi, C.; Comandaşu, M.; Şerban, D. Particularities of Diagnosis and Treatment in Synchronous Colorectal Cancers (SCC). Chirurgia 2013, 108, 43–45. [Google Scholar] [PubMed]
- Pak, H.; Maghsoudi, L.H.; Soltanian, A.; Gholami, F. Surgical complications in colorectal cancer patients. Ann. Med. Surg. 2020, 55, 13–18. [Google Scholar] [CrossRef] [PubMed]
- Tevis, S.E.; Kennedy, G.D. Postoperative Complications: Looking Forward to a Safer Future. Clin. Colon Rectal Surg. 2016, 29, 246–252. [Google Scholar] [CrossRef]
- Arnarson, Ö.; Syk, I.; Butt, S.T. Who should operate on patients presenting with emergent colon cancer? A comparison of short- and long-term outcome depending on surgical sub-specialization. World J. Emerg. Surg. 2023, 18, 3. [Google Scholar] [CrossRef]
- Krutsri, C.; Sumpritpradit, P.; Singhatas, P.; Thampongsa, T.; Phuwapraisirisan, S.; Gesprasert, G.; Jirasiritham, J.; Choikrua, P. Morbidity, mortality, and risk factors of emergency colorectal surgery among older patients in the Acute Care Surgery service: A retrospective study. Ann. Med. Surg. 2021, 62, 485–489. [Google Scholar] [CrossRef]
- Serban, D.; Smarandache, A.M.; Cristian, D.; Tudor, C.; Duta, L.; Dascalu, A.M. Medical errors and patient safety culture—Shifting the healthcare paradigm in Romanian hospitals. Rom. J. Leg. Med. 2020, 28, 195–201. [Google Scholar] [CrossRef]
- Balkwill, F.; Mantovani, A. Inflammation and cancer: Back to Virchow? Lancet 2001, 357, 539–545. [Google Scholar] [CrossRef] [PubMed]
- Korniluk, A.; Koper, O.; Kemona, H.; Dymicka-Piekarska, V. From inflammation to cancer. Ir. J. Med. Sci. 2017, 186, 57–62. [Google Scholar] [CrossRef] [PubMed] [PubMed Central]
- Zahorec, R. Ratio of neutrophil to lymphocyte counts--rapid and simple parameter of systemic inflammation and stress in critically ill. Bratisl. Lek. Listy 2001, 102, 5–14, (In English and Slovak). [Google Scholar] [PubMed]
- Hu, B.; Yang, X.R.; Xu, Y.; Sun, Y.F.; Sun, C.; Guo, W.; Zhang, X.; Wang, W.M.; Qiu, S.J.; Zhou, J.; et al. Systemic immune-inflammation index predicts prognosis of patients after curative resection for hepatocellular carcinoma. Clin. Cancer Res. 2014, 20, 6212–6222. [Google Scholar] [CrossRef] [PubMed]
- Shirai, Y.; Shiba, H.; Haruki, K.; Horiuchi, T.; Saito, N.; Fujiwara, Y.; Sakamoto, T.; Uwagawa, T.; Yanaga, K. Preoperative Platelet-to-Albumin Ratio Predicts Prognosis of Patients with Pancreatic Ductal Adenocarcinoma After Pancreatic Resection. Anticancer. Res. 2017, 37, 787–793. [Google Scholar] [CrossRef] [PubMed]
- Karra, S.; Gurushankari, B.; Rajalekshmy, M.R.; Elamurugan, T.P.; Mahalakshmy, T.; Kate, V.; Nanda, N.; Rajesh, N.G.; Shankar, G. Diagnostic Utility of NLR, PLR and MLR in Early Diagnosis of Gastric Cancer: An Analytical Cross-Sectional Study. J. Gastrointest. Cancer 2023, 54, 1322–1330. [Google Scholar] [CrossRef] [PubMed]
- Misiewicz, A.; Dymicka-Piekarska, V. Fashionable, but What is Their Real Clinical Usefulness? NLR, LMR, and PLR as a Promising Indicator in Colorectal Cancer Prognosis: A Systematic Review. J. Inflamm. Res. 2023, 16, 69–81. [Google Scholar] [CrossRef] [PubMed]
- Ginesu, G.C.; Paliogiannis, P.; Feo, C.F.; Cossu, M.L.; Scanu, A.M.; Fancellu, A.; Fois, A.G.; Zinellu, A.; Perra, T.; Veneroni, S.; et al. Inflammatory Indexes as Predictive Biomarkers of Postoperative Complications in Oncological Thoracic Surgery. Curr. Oncol. 2022, 29, 3425–3432. [Google Scholar] [CrossRef] [PubMed] [PubMed Central]
- Vural, S.; Muhtaroğlu, A.; Güngör, M. Systemic immune-inflammation index: A new marker in differentiation of different thyroid diseases. Medicine 2023, 102, e34596. [Google Scholar] [CrossRef] [PubMed] [PubMed Central]
- Mao, H.; Yang, F. Prognostic significance of systemic immune-inflammation index in patients with ovarian cancer: A meta-analysis. Front Oncol. 2023, 13, 1193962. [Google Scholar] [CrossRef] [PubMed] [PubMed Central]
- Jang, W.; Zeitouni, J.F.; Nguyen, D.K.; Mohiuddin, I.S.; Ward, H.; Satheeshkumar, A.; Dundar, Y. The Effectiveness of Inflammatory Indexes in Assessing Oropharyngeal Cancer Prognosis. Surgeries 2024, 5, 377–390. [Google Scholar] [CrossRef]
- Tan, F.; Xu, K.; Qi, X.; Gao, P.; Liu, M.; Yao, Z.; Zhang, N.; Yang, H.; Zhang, C.; Xing, J.; et al. Neutrophil-to-Lymphocyte Ratio as an Early Predictor of Symptomatic Anastomotic Leakage in Patients after Rectal Cancer Surgery: A Propensity Score-Matched Analysis. J. Pers. Med. 2022, 13, 93. [Google Scholar] [CrossRef] [PubMed]
- Kudou, K.; Kajiwara, S.; Motomura, T.; Yukaya, T.; Nakanoko, T.; Kuroda, Y.; Okamoto, M.; Koga, T.; Yamashita, Y.I. Risk Factors of Postoperative Complication and Hospital Mortality after Colorectal Perforation Surgery. J. Anus Rectum Colon 2024, 8, 118–125. [Google Scholar] [CrossRef]
- Cui, M.; Xu, R.; Yan, B. A persistent high neutrophil-to-lymphocyte ratio predicts poor prognosis in patients with colorectal cancer undergoing resection. Mol. Clin. Oncol. 2020, 13, 63. [Google Scholar] [CrossRef]
- Serban, D.; Spataru, R.I.; Vancea, G.; Balasescu, S.A.; Socea, B.; Tudor, C.; Dascalu, A.M. Informed consent in all surgical specialties: From legal obligation to patient satisfaction. Rom. J. Leg. Med. 2020, 28, 317–321. [Google Scholar] [CrossRef]
- Gürağaç, A.; Demirer, Z. The neutrophil-to-lymphocyte ratio in clinical practice. Can. Urol. Assoc. J. 2016, 10, 141–142. [Google Scholar] [CrossRef] [PubMed] [PubMed Central][Green Version]
- Xu, Z.; Zhang, J.; Zhong, Y.; Mai, Y.; Huang, D.; Wei, W.; Huang, J.; Zhao, P.; Lin, F.; Jin, J. Predictive value of the monocyte-to-lymphocyte ratio in the diagnosis of prostate cancer. Medicine 2021, 100, e27244. [Google Scholar] [CrossRef] [PubMed] [PubMed Central]
- Zhai, G.; Wang, J.; Liu, Y.; Zhou, Y. Platelet-lymphocyte ratio as a new predictor of in-hospital mortality in cardiac intensive care unit patients. Sci. Rep. 2021, 11, 23578. [Google Scholar] [CrossRef] [PubMed]
- Golder, H.; Casanova, D.; Papalois, V. Evaluation of the usefulness of the Clavien-Dindo classification of surgical complications. Cir. Esp. 2023, 101, 637–642. [Google Scholar] [CrossRef]
- Koncina, E.; Haan, S.; Rauh, S.; Letellier, E. Prognostic and Predictive Molecular Biomarkers for Colorectal Cancer: Updates and Challenges. Cancers 2020, 12, 319. [Google Scholar] [CrossRef] [PubMed]
- Heil, T.C.; Verdaasdonk, E.G.G.; Maas, H.A.A.M.; van Munster, B.C.; Rikkert, M.G.M.O.; de Wilt, J.H.W.; Melis, R.J.F. Improved Postoperative Outcomes after Prehabilitation for Colorectal Cancer Surgery in Older Patients: An Emulated Target Trial. Ann. Surg. Oncol. 2023, 30, 244–254. [Google Scholar] [CrossRef] [PubMed]
- Millan, M.; Renau-Escrig, A.I. Minimizing the impact of colorectal surgery in the older patient: The role of enhanced recovery programs in older patients. Eur. J. Surg. Oncol. 2020, 46, 338–343. [Google Scholar] [CrossRef]
- Messias, B.A.; Botelho, R.V.; Saad, S.S.; Mocchetti, E.R.; Turke, K.C.; Waisberg, J. Serum C-reactive protein is a useful marker to exclude anastomotic leakage after colorectal surgery. Sci. Rep. 2020, 10, 1687. [Google Scholar] [CrossRef]
- Dolin, T.G.; Christensen, I.J.; Johansen, A.Z.; Nielsen, H.J.; Jakobsen, H.L.; Klein, M.F.; Lund, C.M.; Bojesen, S.E.; Nielsen, D.L.; Jensen, B.V.; et al. Pre- and Perioperative Inflammatory Biomarkers in Older Patients Resected for Localized Colorectal Cancer: Associations with Complications and Prognosis. Cancers 2021, 14, 161. [Google Scholar] [CrossRef]
- Liu, J.J.; Yang, M.S.; Cen, C.Q.; Xu, C.; Yuan, H. Surgical stress biomarkers as early predictors of postoperative infectious complications in patients with colorectal cancer. Transl. Cancer Res. 2018, 7, 668–675. [Google Scholar] [CrossRef]
- Zhang, T.; Miao, Y.C. Prognostic evaluation of preoperative systemic immune inflammatory index in patients with colorectal cancer. Front. Oncol. 2023, 13, 1260796. [Google Scholar] [CrossRef] [PubMed]
- Josse, J.M.; Cleghorn, M.C.; Ramji, K.M.; Jiang, H.; Elnahas, A.; Jackson, T.D.; Okrainec, A.; Quereshy, F.A. The neutrophil-to-lymphocyte ratio predicts major perioperative complications in patients undergoing colorectal surgery. Color. Dis. 2016, 18, O236–O242. [Google Scholar] [CrossRef]
- Cook, E.J.; Walsh, S.R.; Farooq, N.; Alberts, J.C.; Justin, T.A.; Keeling, N.J. Post-operative neutrophil-lymphocyte ratio predicts complications following colorectal surgery. Int. J. Surg. 2007, 5, 27–30. [Google Scholar] [CrossRef]
- Colomina, M.J.; Méndez, E.; Sabate, A. Altered Fibrinolysis during and after Surgery. Semin. Thromb. Hemost. 2021, 47, 512–519. [Google Scholar] [CrossRef]
- Fometescu, S.G.; Costache, M.; Coveney, A.; Oprescu, S.M.; Serban, D.; Savlovschi, C. Peritoneal fibrinolytic activity and adhesiogenesis. Chirurgia 2013, 108, 331–340. [Google Scholar] [PubMed]
- Lynch, K.T.; Hassinger, T.E. Preoperative Identification and Management of Anemia in the Colorectal Surgery Patient. Clin. Colon Rectal Surg. 2023, 36, 161–166. [Google Scholar] [CrossRef] [PubMed]
- Savlovschi, C.; Serban, D.; Andreescu, C.; Dascalu, A.; Pantu, H. Economic analysis of medical management applied for left colostomy. Chirurgia 2013, 108, 666–669. [Google Scholar] [PubMed]
- Deng, Y.; Weng, M.; Zhang, J. Preoperative anemia and long-term survival in patients undergoing colorectal cancer surgery: A retrospective cohort study. World J. Surg. Oncol. 2023, 21, 122. [Google Scholar] [CrossRef]
- Rottoli, M.; Gori, A.; Pellino, G.; Flacco, M.E.; Martellucci, C.; Spinelli, A.; Poggioli, G.; COVID–Colorectal Cancer (CRC) StudyGroup. Colorectal Cancer Stage at Diagnosis Before vs During the COVID-19 Pandemic in Italy. JAMA Netw. Open 2022, 5, e2243119. [Google Scholar] [CrossRef]
- Serban, D.; Socea, B.; Badiu, C.D.; Tudor, C.; Balasescu, S.A.; Dumitrescu, D.; Trotea, A.M.; Spataru, R.I.; Vancea, G.; Dascalu, A.M.; et al. Acute surgical abdomen during the COVID-19 pandemic: Clinical and therapeutic challenges. Exp. Ther. Med. 2021, 21, 519. [Google Scholar] [CrossRef] [PubMed]
- Mazidimoradi, A.; Hadavandsiri, F.; Momenimovahed, Z.; Salehiniya, H. Impact of the COVID-19 Pandemic on Colorectal Cancer Diagnosis and Treatment: A Systematic Review. J. Gastrointest. Cancer 2021, 54, 171–187. [Google Scholar] [CrossRef]
- Mazaki, J.; Katsumata, K.; Kasahara, K.; Tago, T.; Wada, T.; Kuwabara, H.; Enomoto, M.; Ishizaki, T.; Nagakawa, Y.; Tsuchida, A. Neutrophil-to-lymphocyte ratio is a prognostic factor for colon cancer: A propensity score analysis. BMC Cancer 2020, 20, 922. [Google Scholar] [CrossRef]



| Variable | Total N = 200 | Elective N = 126 | Emergency N = 74 | p-Value |
|---|---|---|---|---|
| Age (mean ± SD, years) | 68.01 ± 10.1 | 66.1 ± 9.1 | 71.27 ± 10.9 | 0.01 1 |
| Gender M (n, %) | 98 (49%) | 64 (50.8%) | 34 (45.9%) | 0.79 2 |
| Area (n, %) | 0.4 2 | |||
| Rural | 100 (50%) | 68 (53.9%) | 32 (43.2%) | |
| Urban | 100 (50%) | 59 (46.1%) | 41 (56.8%) | |
| Charlson Comorbidity Index (n, %) | 0.14 2 | |||
| 2 | 32 (16%) | 18 (14.3%) | 14 (18.9%) | |
| 3 | 78 (39%) | 42 (33.3%) | 36 (48.7%) | |
| 4 | 52 (26%) | 33 (26.1%) | 19 (25.0%) | |
| 5 | 27 (13.5%) | 22 (17.5%) | 5 (5.4%) | |
| 6 | 11 (5.5%) | 10 (7.9%) | 1 (1.3%) | |
| Obesity (n, %) | 31 (15.5%) | 22 (17.5%) | 9 (11.8%) | 0.78 2 |
| DM II (n, %) | 40 (20%) | 28 (22.2%) | 12 (16.2%) | 0.6 2 |
| Anemia (n, %) | 76 (38%) | 50 (39.7%) | 26 (35.1%) | 0.81 2 |
| ASA grade (n, %) | <0.001 3 | |||
| 1 | 2 (1%) | 2 (1.6%) | 0 (0.0%) | |
| 2 | 40 (20%) | 40 (31.7%) | 0 (0.0%) | |
| 3 | 92 (46%) | 82 (65.1%) | 10 (13.5%) | |
| 4 | 66 (33%) | 2 (1.6%) | 64 (86.5%) | |
| Cancer site (n, %) | 0.46 3 | |||
| Right colon | 56 (28%) | 30 (23.7%) | 26 (35.2%) | |
| Left colon | 11 (5.5%) | 9 (7.1%) | 4 (5.4%) | |
| Sigmoid | 85 (42.5%) | 52 (41.3%) | 32 (43.2%) | |
| Rectum | 48 (24%) | 36 (28.6%) | 12 (16.2%) | |
| TNM stage * (n, %) | 0.07 4 | |||
| I | 26 (13%) | 12 (19.05%) | 2 (2.7%) | |
| II | 54 (27%) | 17 (26.98%) | 20 (27.03%) | |
| III | 105 (52.5%) | 62 (49.21%) | 45 (60.4%) | |
| IV | 15 (7.5%) | 6 (4.76%) | 9 (12.1%) | |
| Tumoral grading (n, %) | 0.62 4 | |||
| G1 | 12 (6%) | 8 (6.4%) | 4 (5.4%) | |
| G2 | 175 (87.5%) | 112 (88.8%) | 63 (85.1%) | |
| G3 | 13 (6.5%) | 6 (4.8%) | 7 (9.4%) |
| Variable (Mean ± SD) | Total N = 200 | Elective N = 126 | Emergency N = 74 | p-Value * |
|---|---|---|---|---|
| WBC (cells × 103/MMC) | 8.33 ± 4.72 | 6.98 ± 3.41 | 10.61 ± 5.83 | <0.001 |
| Lymphocytes (cells × 103/MMC) | 1.34 ± 0.71 | 1.29 ± 0.62 | 1.42 ± 0.81 | 0.54 |
| Neutrophils (cells × 103/MMC) | 6.12 ± 4.4 | 4.88 ± 3.13 | 8.23 ± 5.57 | <0.001 |
| Monocytes (cells × 103/MMC) | 0.61 ± 0.33 | 0.57 ± 0.26 | 0.66 ± 0.41 | 0.31 |
| Hb (mg/dL) | 11.17 ± 1.87 | 11.34 ± 2.0 | 10.89 ± 1.64 | 0.24 |
| PLT (cells × 103/MMC) | 305.28 ± 131.7 | 291.52 ± 128.52 | 328.7 ± 137.24 | 0.12 |
| Fb (mg/dL) | 409.68 ± 129.48 | 374.38 ± 86.36 | 469.78 ± 166.83 | <0.01 |
| AST (U/L) | 48.9 ± 11.6 | 43.2 ± 16.2 | 58.9 ± 12.6 | 0.63 |
| ALT (U/L) | 67.2 ± 15.1 | 52.7 ± 19.7 | 75.8 ± 16.9 | 0.06 |
| Creatinine (mg/dL) | 1.3 ± 0.5 | 1.2 ± 0.3 | 1.5 ± 1.4 | 0.34 |
| NLR | 6.52 ± 8.71 | 4.63 ± 3.94 | 9.74 ± 12.92 | 0.02 |
| PLR | 307.58 ± 325.24 | 267.38 ± 154.69 | 376.02 ± 494.95 | 0.66 |
| MLR | 0.58 ± 0.57 | 0.52 ± 0.27 | 0.7 ± 0.87 | 0.7 |
| SII | 2161.5 ± 4213.77 | 1431.43 ± 1868.37 | 3404.58 ± 6386.63 | 0.004 |
| WBC PO1 (cells × 103/MMC) | 11.48 ± 5.73 | 9.94 ± 3.68 | 14.11 ± 7.54 | <0.001 |
| Lymphocytes PO1 (cells × 103/MMC) | 0.98 ± 1.11 | 0.86 ± 0.43 | 1.17 ± 1.74 | 0.68 |
| Neutrophils PO1 (cells ×103/MMC) | 9.69 ± 5.49 | 8.17 ± 3.42 | 12.26 ± 7.26 | <0.001 |
| Monocytes PO1 (cells × 103/MMC) | 0.78 ± 0.46 | 0.71 ± 0.3 | 0.89 ± 0.64 | 0.31 |
| PLT PO1 (cells × 103/MMC) | 261.33 ± 116.9 | 234.27 ± 98.5 | 307.41 ± 133.38 | <0.01 |
| Hb PO1 (mg/dL) | 10.22 ± 1.19 | 10.22 ± 1.24 | 10.22 ± 1.13 | 0.83 |
| Fb PO1 (mg/dL) | 410.45 ± 108.01 | 402.81 ± 101.01 | 423.46 ± 120.67 | 0.42 |
| NLR PO1 | 14.21 ± 15.47 | 11.87 ± 8.93 | 18.19 ± 22.39 | <0.01 |
| PLR PO1 | 384.75 ± 336.67 | 336.96 ± 214.94 | 466.12 ± 473.8 | 0.19 |
| MLR PO1 | 1.09 ± 0.94 | 0.97 ± 0.52 | 1.29 ± 1.4 | 0.6 |
| SII PO 1 | 3713.39 ± 3705.43 | 2774.15 ± 2250.38 | 5312.63 ± 5024.47 | <0.01 |
| WBC PO6 (cells × 103/MMC) | 8.96 ± 4.3 | 7.73 (±3.25) | 11.12 (±5.14) | <0.001 |
| Lymphocytes PO6 (cells × 103/MMC) | 1.29 ± 1.52 | 1.34 (±1.88) | 1.19 (±0.531) | 0.105 |
| Neutrophils PO6 (cells × 103/MMC) | 7.62 ± 8.84 | 5.71 (±2.94) | 10.96 (±13.7) | <0.001 |
| Monocytes PO6 (cells × 103/MMC) | 0.63 ± 0.25 | 0.594 (±0.251) | 0.7 (±0.252) | 0.013 |
| PLT PO6 (cells × 103/MMC) | 272.62 ± 116.37 | 257.57 (±110.0) | 298.94 (±125.49) | 0.036 |
| NLR PO6 | 8.27 ± 8.26 | 6.63 (±4.3) | 11.15 (±12.12) | 0.087 |
| PLR PO6 | 303.38 ± 199.5 | 294.75 (±158.58) | 318.49 (±260.09) | 0.471 |
| MLR PO6 | 0.70 ± 0.44 | 0.68 (±0.38) | 0.729 (±0.535) | 0.965 |
| SII PO6 | 2400.68 ± 3552.77 | 1690.82 (±1361.13) | 3642.94 (±5470.51) | 0.02 |
| FbPO6 | 436.9 ± 135.4 | 496.5 (±133.26) | 497.62 (±143.88) | 0.563 |
| Variable | Total N = 200 | Elective N = 126 | Emergency N = 74 | p-Value * |
|---|---|---|---|---|
| Surgical approach (n, %) | 0.61 1 | |||
| Open | 126 (63%) | 76 (60.32%) | 50 (67.57%) | |
| Laparoscopic | 74 (37%) | 50 (39.68%) | 24 (32.43%) | |
| Type of surgery (n, %) | 0.15 1 | |||
| Right hemicolectomy | 56 (28%) | 30 (23.81%) | 26 (35.14%) | |
| Left hemicolectomy | 6 (3%) | 2 (1.59%) | 4 (5.41%) | |
| Sigmoid segmentary resection | 1 (0.5%) | 1 (0.8%) | 0 (0.0%) | |
| Sigmoidectomy | 75 (37.5%) | 44 (34.92%) | 31 (41.8%) | |
| Total colectomy | 1 (0.5%) | 0 (0.0%) | 1 (1.35%) | |
| Rectal amputation | 26 (13%) | 12 (9.52%) | 4 (5.41%) | |
| Recto sigmoidectomy | 25 (12.5%) | 24 (19.05%) | 1 (2.7%) | |
| Anterior rectal resection | 18 (9%) | 12 (9.6%) | 6 (8.11%) | |
| Colostomy/ileostomy (n, %) | 89 (44.5%) | 43 (34.1%) | 46 (62.16%) | 0.01 1 |
| Postoperative hospital stays (days, mean ± SD) | 12.28 ± 7.72 | 10.92 ± 7.81 | 14.59 ± 7.19 | <0.001 2 |
| Readmission within 30 days (n, %) | 5 (2.5%) | 2 (1.59%) | 3 (4%) | 0.55 1 |
| Overall complications (n, %) | 67 (33.5%) | 25 (19.8%) | 42 (56.7%) | <0.001 1 |
| Clavien–Dindo classification for postoperative complications * (n, %) | <0.001 2 | |||
| I (surgical-site infection) | 13 (6.5%) | 8 (6.35%) | 5 (6.7%) | |
| II (requiring pharmacological treatment) | 8 (4%) | 6 (4.76%) | 2 (2.7%) | |
| III (requiring endoscopic/surgical/Rx approach) | 13 (6.5%) | 8 (6.35%) | 5 (6.7%) | |
| IV (requiring intensive care) | 15 (7.5%) | 2 (3.2%) | 13 (16.22%) | |
| V (death) | 18 (9%) | 2 (1.58%) | 16 (21.6%) | |
| 14 (7%) | 0 | 14 (18.9%) | |
| 4 (2%) | 2 (1.5%) | 2 (2.7%) |
| Complication Type (n, %) | Total (n = 22) | Elective Group (n = 10) | Emergency Group (n = 12) | p-Value |
|---|---|---|---|---|
| Anastomotic leak/suture dehiscence | 6 (3%) | 2 (1.5%) | 4 (5.4%) | 0.04 * |
| Evisceration | 4 (2%) | 2 (1.5%) | 2 (2.6%) | |
| Bowel occlusion | 8 (4%) | 5 (3.9%) | 3 (4%) | |
| Upper gastrointestinal bleeding | 2 (1%) | 1 (0.8%) | 1 (1.3%) | |
| Colostomy necrosis | 1 (0.5%) | 0 | 1 (1.3%) | |
| Acute cholecystitis | 1 (0.5%) | 0 | 1 (1.3%) |
| Independent Variables | Coefficient | Std. Error | 95% CI | P | rpartial | rsemipartial |
|---|---|---|---|---|---|---|
| (Constant) | −1.2169 | 0.3784 | −1.9710 to −0.4628 | 0.0019 | ||
| Age | 0.01409 | 0.004634 | 0.004858 to 0.02333 | 0.0033 | 0.3353 | 0.3021 |
| MLR_PO1 | 0.1160 | 0.03613 | 0.04405 to 0.1880 | 0.0020 | 0.3519 | 0.3191 |
| pTNM_stage | 0.1926 | 0.07300 | 0.04706 to 0.3380 | 0.0102 | 0.2950 | 0.2620 |
| Independent Variables | Coefficient | Std. Error | 95% CI | P | rpartial | rsemipartial |
|---|---|---|---|---|---|---|
| (Constant) | −0.08829 | 0.06783 | −0.2235 to 0.04690 | 0.1972 | ||
| NLR_PO1 | 0.006798 | 0.001852 | 0.003107 to 0.01049 | 0.0005 | 0.3947 | 0.3587 |
| COLOSTOMY_ILEOSTOMY | 0.2987 | 0.08261 | 0.1341 to 0.4634 | 0.0005 | 0.3897 | 0.3534 |
| Variable | AUC | SE a | 95% CI b | Sensitivity | Specificity | Cut-Off Value |
|---|---|---|---|---|---|---|
| MREGR_PredSepsisE | 0.921 | 0.0301 | 0.836 to 0.970 | 80% | 100% | >0.29 |
| NLR_PO1 | 0.821 | 0.0518 | 0.716 to 0.899 | 88.8% | 66.6% | >12.56 |
| PLR_PO1 | 0.663 | 0.100 | 0.545 to 0.767 | 55.6% | 96.7% | >573.3 |
| WBC_I_PO | 0.552 | 0.108 | 0.434 to 0.666 | 66.7% | 0% | <20 |
| SII_PO_1 | 0.729 | 0.0900 | 0.615 to 0.825 | 66.7% | 90% | >6121.25 |
| MLR_PO1 | 0.615 | 0.104 | 0.496 to 0.724 | 44.4% | 95% | >2 |
| Independent Variables | Coefficient | Std. Error | 95% CI | t | P | rpartial | rsemipartial |
|---|---|---|---|---|---|---|---|
| (Constant) | −0.07791 | 0.05401 | −0.1848 to 0.02896 | −1.4425 | 0.1516 | ||
| PLR_PO1 | 0.0003621 | 0.0001260 | 0.0001128 to 0.0006115 | 2.8738 | 0.0048 | 0.2462 | 0.2330 |
| Anemia | 0.2021 | 0.05572 | 0.09180 to 0.3123 | 3.6262 | 0.0004 | 0.3052 | 0.2940 |
Disclaimer/Publisher’s Note: The statements, opinions and data contained in all publications are solely those of the individual author(s) and contributor(s) and not of MDPI and/or the editor(s). MDPI and/or the editor(s) disclaim responsibility for any injury to people or property resulting from any ideas, methods, instructions or products referred to in the content. |
© 2024 by the authors. Published by MDPI on behalf of the Lithuanian University of Health Sciences. Licensee MDPI, Basel, Switzerland. This article is an open access article distributed under the terms and conditions of the Creative Commons Attribution (CC BY) license (https://creativecommons.org/licenses/by/4.0/).
Share and Cite
Shevchenko, I.; Grigorescu, C.C.; Serban, D.; Cristea, B.M.; Simion, L.; Gherghiceanu, F.; Costea, A.C.; Dumitrescu, D.; Alius, C.; Tudor, C.; et al. The Value of Systemic Inflammatory Indices for Predicting Early Postoperative Complications in Colorectal Cancer. Medicina 2024, 60, 1481. https://doi.org/10.3390/medicina60091481
Shevchenko I, Grigorescu CC, Serban D, Cristea BM, Simion L, Gherghiceanu F, Costea AC, Dumitrescu D, Alius C, Tudor C, et al. The Value of Systemic Inflammatory Indices for Predicting Early Postoperative Complications in Colorectal Cancer. Medicina. 2024; 60(9):1481. https://doi.org/10.3390/medicina60091481
Chicago/Turabian StyleShevchenko, Irina, Catalin Cicerone Grigorescu, Dragos Serban, Bogdan Mihai Cristea, Laurentiu Simion, Florentina Gherghiceanu, Andreea Cristina Costea, Dan Dumitrescu, Catalin Alius, Corneliu Tudor, and et al. 2024. "The Value of Systemic Inflammatory Indices for Predicting Early Postoperative Complications in Colorectal Cancer" Medicina 60, no. 9: 1481. https://doi.org/10.3390/medicina60091481
APA StyleShevchenko, I., Grigorescu, C. C., Serban, D., Cristea, B. M., Simion, L., Gherghiceanu, F., Costea, A. C., Dumitrescu, D., Alius, C., Tudor, C., Onisai, M., Gradinaru, S., & Dascalu, A. M. (2024). The Value of Systemic Inflammatory Indices for Predicting Early Postoperative Complications in Colorectal Cancer. Medicina, 60(9), 1481. https://doi.org/10.3390/medicina60091481

