Evaluation of the Impact of a Less-Invasive Trunk and Pelvic Trauma Protocol on Mortality in Patients with Severe Injury by Interrupted Time-Series Analysis
Abstract
1. Introduction
2. Materials and Methods
2.1. Study Setting and Protocol
2.2. Study Population
2.3. Data Collection
2.4. Outcome Definition
2.5. Statistical Analysis
3. Results
3.1. Patient Flow Chart and Descriptive Analysis
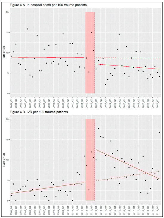
3.2. Trends in the Study Period and ITSA Results
3.3. Secondary Analysis Using Individual Data: Before-and-After Comparative Study Design
4. Discussion
Limitations
5. Conclusions
Supplementary Materials
Author Contributions
Funding
Institutional Review Board Statement
Informed Consent Statement
Data Availability Statement
Acknowledgments
Conflicts of Interest
References
- Gould, J.E.; Vedantham, S. The Role of Interventional Radiology in Trauma. Semin. Intervent. Radiol. 2006, 23, 270–278. [Google Scholar] [CrossRef] [PubMed]
- Podda, M.; De Simone, B.; Ceresoli, M.; Virdis, F.; Favi, F.; Wiik Larsen, J.; Coccolini, F.; Sartelli, M.; Pararas, N.; Beka, S.G.; et al. Follow-up Strategies for Patients with Splenic Trauma Managed Non-Operatively: The 2022 World Society of Emergency Surgery Consensus Document. World J. Emerg. Surg. 2022, 17, 52. [Google Scholar] [CrossRef]
- Trauma Programs. Available online: https://www.facs.org/quality-programs/trauma/ (accessed on 21 May 2024).
- Liao, C.A.; Wu, Y.T.; Liao, C.H.; Wang, S.Y.; Fu, C.Y.; Hsieh, C.H.; Chen, S.W.; Chen, C.C.; Chou, A.H.; Cheng, C.T. Hospital Level variations in the trends and outcomes of the nonoperative management of splenic injuries—A nationwide cohort study. Scand. J. Trauma Resusc. Emerg. Med. 2019, 27, 4. [Google Scholar] [CrossRef]
- Brooks, A.; Reilly, J.J.; Hope, C.; Navarro, A.; Naess, P.A.; Gaarder, C. Evolution of non-operative management of liver trauma. Trauma Surg. Acute Care Open 2020, 5, e000551. [Google Scholar] [CrossRef]
- Uberoi, R. (Ed.) Interventional Radiology. In Oxford Specialist Handbooks in Radiology; Oxford University Press: Oxford, UK, 2009. [Google Scholar]
- Bilello, J.F.; Davis, J.W.; Cagle, K.M.; Kaups, K.L. Predicting extubation failure in blunt trauma patients with pulmonary contusion. J. Trauma Acute Care Surg. 2013, 75, 229–233. [Google Scholar] [CrossRef]
- Parks, N.A.; Davis, J.W.; Forman, D.; Lemaster, D. Observation for nonoperative management of blunt liver injuries: How long is long enough? J. Trauma 2011, 70, 626–629. [Google Scholar] [CrossRef]
- Bhullar, I.S.; Frykberg, E.R.; Siragusa, D.; Chesire, D.; Paul, J.; Tepas, J.J., III; Kerwin, A.J. Selective angiographic embolization of blunt splenic traumatic injuries in adults decreases failure rate of nonoperative management. J. Trauma Acute Care Surg. 2012, 72, 1127–1134. [Google Scholar] [CrossRef] [PubMed]
- Charbit, J.; Manzanera, J.; Millet, I.; Roustan, J.P.; Chardon, P.; Taourel, P.; Capdevila, X. What are the specific computed tomography scan criteria that can predict or exclude the need for renal angioembolization after high-grade renal trauma in a conservative management strategy? J. Trauma 2011, 70, 1219–1227. [Google Scholar] [CrossRef]
- Cullinane, D.C.; Schiller, H.J.; Zielinski, M.D.; Bilaniuk, J.W.; Collier, B.R.; Como, J.; Holevar, M.; Sabater, E.A.; Sems, S.A.; Vassy, W.M.; et al. Eastern Association for the Surgery of Trauma practice management guidelines for hemorrhage in pelvic fracture—Update and systematic review. J. Trauma 2011, 71, 1850–1868. [Google Scholar] [CrossRef]
- Feliciano, D.V.; Mattox, K.L.; Moore, E.E. (Eds.) Trauma, 7th ed.; McGraw-Hill Education: New York, NY, USA, 2013. [Google Scholar]
- American Association for the Surgery of Trauma. Injury Scoring Scale, n.d. Available online: https://www.aast.org/resources-detail/injury-scoring-scale (accessed on 10 July 2024).
- Aggarwal, R.; Ranganathan, P. Study Designs: Part 4—Interventional Studies. Perspect. Clin. Res. 2019, 10, 137–139. [Google Scholar] [CrossRef] [PubMed]
- Lopez Bernal, J.; Cummins, S.; Gasparrini, A. Interrupted Time Series Regression for the Evaluation of Public Health Interventions: A Tutorial. Int. J. Epidemiol. 2016, 46, 348–355. [Google Scholar] [CrossRef] [PubMed]
- Airaksinen, N.K.; Handolin, L.E.; Heinänen, M.T. Severe Traffic Injuries in the Helsinki Trauma Registry between 2009–2018. Injury 2020, 51, 2946–2952. [Google Scholar] [CrossRef]
- Baker, S.P.; O’Neill, B.; Haddon, W., Jr.; Long, W.B. The Injury Severity Score: A Method for Describing Patients with Multiple Injuries and Evaluating Emergency Care. J. Trauma 1974, 14, 187–196. [Google Scholar] [CrossRef] [PubMed]
- Champion, H.R.; Sacco, W.J.; Copes, W.S.; Gann, D.S.; Gennarelli, T.A.; Flanagan, M.E. A Revision of the Trauma Score. J. Trauma 1989, 29, 623–629. [Google Scholar] [CrossRef] [PubMed]
- Boyd, C.R.; Tolson, M.A.; Copes, W.S. Evaluating Trauma Care: The TRISS Method. J. Trauma 1987, 27, 370–378. [Google Scholar] [CrossRef]
- Cayten, C.G.; Stahl, W.M.; Agarwal, N.; Murphy, J.G. Analyses of Preventable Deaths by Mechanism of Injury among 13,500 Trauma Admissions. Ann. Surg. 1991, 214, 510–520; discussion 520–521. [Google Scholar] [CrossRef]
- Pape, M.; Giannakópoulos, G.F.; Zuidema, W.P.; de Lange-Klerk, E.S.M.; Toor, E.J.; Edwards, M.J.R.; Verhofstad, M.H.J.; Tromp, T.N.; van Lieshout, E.M.M.; Bloemers, F.W.; et al. Is there an association between female gender and outcome in severe trauma? A multi-center analysis in the Netherlands. S. J. Trauma Resusc. Emerg. Med. 2019, 27, 16. [Google Scholar] [CrossRef]
- Davies, J.; Wells, D. Splenic Artery Embolisation in Trauma: A Five-Year Single-Centre Experience at a UK Major Trauma Centre. Trauma 2019, 21, 280–287. [Google Scholar] [CrossRef]
- Jones, B.D.; Thomas, H.F., III; Wolfe, M. Policy bubbles. Policy Stud. J. J. Policy Stud. Organ. 2014, 42, 146–171. [Google Scholar] [CrossRef]
- Rubenson Wahlin, R.; Ponzer, S.; Skrifvars, M.B.; Lossius, H.M.; Castrén, M. Effect of an Organizational Change in a Prehospital Trauma Care Protocol and Trauma Transport Directive in a Large Urban City: A before and after Study. Scand. J. Trauma Resusc. Emerg. Med. 2016, 24, 26. [Google Scholar] [CrossRef] [PubMed]
- Mann, N.C.; Hedges, J.R.; Mullins, R.J.; Helfand, M.; Worrall, W.; Zechnich, A.D.; Group, F.T.O.R.T.R. Rural Hospital Transfer Patterns before and after Implementation of a Statewide Trauma System. Acad. Emerg. Med. 1997, 4, 764–771. [Google Scholar] [CrossRef] [PubMed]
- Linden, A. Assessing Regression to the Mean Effects in Health Care Initiatives. BMC Med. Res. Methodol. 2013, 13, 119. [Google Scholar] [CrossRef]
- Thiese, M.S. Observational and Interventional Study Design Types; an Overview. Biochem. Med. 2014, 24, 199–210. [Google Scholar] [CrossRef]
- Elmer, J.; Kahn, J. Implementing Evidence-Based Practice in the Neuroscience Intensive Care Unit. Crit. Care 2014, 18, 303. [Google Scholar] [CrossRef] [PubMed]
- Penfold, R.B.; Zhang, F. Use of Interrupted Time Series Analysis in Evaluating Health Care Quality Improvements. Acad. Pediatr. 2013, 13, S38–S44. [Google Scholar] [CrossRef] [PubMed]
- Endo, A.; Shiraishi, A.; Matsui, H.; Hondo, K.; Otomo, Y. Assessment of Progress in Early Trauma Care in Japan over the Past Decade: Achievements and Areas for Future Improvement. J. Am. Coll. Surg. 2017, 224, 191–198.e5. [Google Scholar] [CrossRef] [PubMed]
- Oguchi, T. Achieving safe road traffic—The experience in Japan. IATSS Res. 2016, 39, 110–116. [Google Scholar] [CrossRef]




| All Patients | Before Protocol | After Protocol | ||
|---|---|---|---|---|
| Patients’ Characteristics | n = 4558 | n = 2659 | n = 1899 | p-Value |
| Age, years, median (IQR) | 66 (48–78) | 67 (49–79) | 64 (48–77) | 0.008 |
| Male, n (%) | 2942 (64.5) | 1614 (60.7) | 1328 (69.9) | <0.001 |
| Type of injury (%) | ||||
| Crash | 638 (14.0) | 331 (12.4) | 307 (16.2) | NA |
| Fall | 204 (4.5) | 92 (3.5) | 112 (5.9) | |
| Traffic accident | 2062 (45.2) | 1100 (41.4) | 962 (50.7) | |
| Other trauma | 1654 (36.3) | 1136 (42.7) | 518 (27.3) | |
| ISS, median (IQR) | 16 (9–25) | 13 (9–24) | 19 (13–29) | <0.001 |
| RTS, median (IQR) | 7.84 (7.55–7.84) | 7.84 (7.55–7.84) | 7.84 (7.55–7.84) | 0.014 |
| TRISS, median (IQR) | 0.97 (0.91–0.97) | 0.97 (0.93–0.97) | 0.96 (0.89–0.97) | <0.001 |
| Abdomen AIS, median (IQR) | 0 (0–1) | 0 (0–0) | 0 (0–2) | <0.001 |
| Pelvic AIS, median (IQR) | 2 (1–3) | 2 (1–3) | 1 (1–3) | <0.001 |
| Thoracic AIS, median (IQR) | 0 (0–3) | 0 (0–3) | 3 (0–4) | <0.001 |
| Multiple trauma, n (%) | 1170 (25.7) | 548 (20.6) | 622 (32.8) | <0.001 |
| Mechanical ventilation at the emergency department, n (%) | 681 (14.9) | 353 (13.3) | 328 (17.3) | <0.001 |
| Use of medical response vehicle or air ambulance, n (%) | 794 (17.4) | 378 (14.2) | 416 (21.9) | <0.001 |
| Coefficient | 95% CI | p-Value | |
|---|---|---|---|
| Impact of the protocol on in-hospital deaths (primary outcome) | |||
| Time change | −0.0036 | −0.12 to 0.11 | 0.95 |
| Level change | −1.49 | −4.82 to 1.84 | 0.39 |
| Trend change | −0.044 | −0.22 to 0.14 | 0.63 |
| Impact of the protocol on in-hospital deaths (according to sensitivity analysis of the primary outcome) | |||
| Time change | −0.035 | −0.14 to 0.067 | 0.50 |
| Level change | −1.18 | −4.15 to 1.79 | 0.44 |
| Trend change | −0.08 | −0.239 to 0.079 | 0.33 |
| TRISS | −54.1 | −81.0 to −27.2 | <0.001 |
| Impact of the protocol on the number of IVR procedures (secondary outcome) | |||
| Time change | 0.09 | −0.03 to 0.21 | 0.151 |
| Level change | 8.01 | 4.48 to 11.53 | <0.001 |
| Trend change | −0.35 | −0.54 to −0.17 | <0.001 |
| All Patients | Before Protocol | After Protocol | ||
|---|---|---|---|---|
| Clinical Outcomes | n = 4558 | n = 2659 | n = 1899 | p-Value |
| Death, n (%) | 361 (7.9) | 240 (9.0) | 121 (6.4) | 0.001 |
| Emergent IVR, n (%) | 237 (5.2) | 70 (2.6) | 167 (8.8) | <0.001 |
| Operation or IVR on the day of admission (%) | 1703 (37.4) | 1170 (44.0) | 533 (28.1) | <0.001 |
| Preventable trauma deaths, n (%) | 179 (3.9) | 113 (4.2) | 66 (3.5) | 0.001 |
Disclaimer/Publisher’s Note: The statements, opinions and data contained in all publications are solely those of the individual author(s) and contributor(s) and not of MDPI and/or the editor(s). MDPI and/or the editor(s) disclaim responsibility for any injury to people or property resulting from any ideas, methods, instructions or products referred to in the content. |
© 2024 by the authors. Licensee MDPI, Basel, Switzerland. This article is an open access article distributed under the terms and conditions of the Creative Commons Attribution (CC BY) license (https://creativecommons.org/licenses/by/4.0/).
Share and Cite
Ishida, T.; Iwasaki, Y.; Yamamoto, R.; Tomita, N.; Shinohara, K.; Kawamae, K.; Yamauchi, M. Evaluation of the Impact of a Less-Invasive Trunk and Pelvic Trauma Protocol on Mortality in Patients with Severe Injury by Interrupted Time-Series Analysis. Medicina 2024, 60, 1338. https://doi.org/10.3390/medicina60081338
Ishida T, Iwasaki Y, Yamamoto R, Tomita N, Shinohara K, Kawamae K, Yamauchi M. Evaluation of the Impact of a Less-Invasive Trunk and Pelvic Trauma Protocol on Mortality in Patients with Severe Injury by Interrupted Time-Series Analysis. Medicina. 2024; 60(8):1338. https://doi.org/10.3390/medicina60081338
Chicago/Turabian StyleIshida, Tokiya, Yudai Iwasaki, Ryohei Yamamoto, Nozomi Tomita, Kazuaki Shinohara, Kaneyuki Kawamae, and Masanori Yamauchi. 2024. "Evaluation of the Impact of a Less-Invasive Trunk and Pelvic Trauma Protocol on Mortality in Patients with Severe Injury by Interrupted Time-Series Analysis" Medicina 60, no. 8: 1338. https://doi.org/10.3390/medicina60081338
APA StyleIshida, T., Iwasaki, Y., Yamamoto, R., Tomita, N., Shinohara, K., Kawamae, K., & Yamauchi, M. (2024). Evaluation of the Impact of a Less-Invasive Trunk and Pelvic Trauma Protocol on Mortality in Patients with Severe Injury by Interrupted Time-Series Analysis. Medicina, 60(8), 1338. https://doi.org/10.3390/medicina60081338

