Acute Effect of Whole-Body Vibration on Trunk Endurance and Balance in Obese Female Students: Randomized Controlled Trial
Abstract
1. Introduction
2. Materials and Methods
2.1. Study Design
2.2. Subjects
2.3. Sample Size
2.4. Randomisation
2.5. Procedures
2.5.1. Intervention
Study Group
Control Group
2.5.2. Outcome Measures
Sorensen Test
Trunk Flexor Endurance Test (TFET)
Single-Leg Stance Test (SLS)
Dynamic Balance
2.6. Statistical Analysis
3. Results
3.1. Subject Characteristics
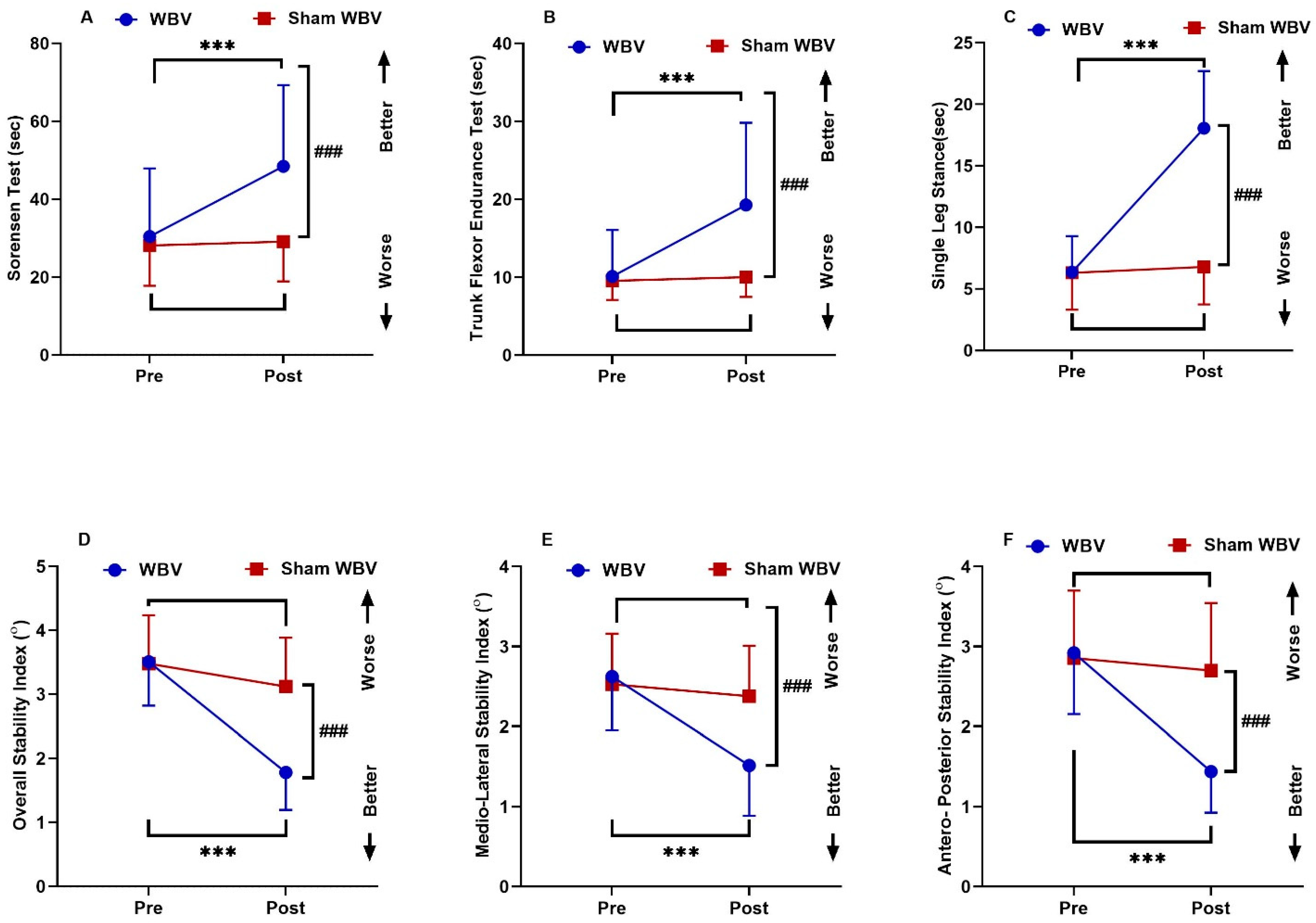
3.2. Clinical Measures
3.3. Correlation between Sorensen Test and OSI, Sorensen Test and SLS Test and TFET and OSI
4. Discussion
5. Limitations and Recommendations
6. Conclusions
Author Contributions
Funding
Institutional Review Board Statement
Informed Consent Statement
Data Availability Statement
Acknowledgments
Conflicts of Interest
References
- Pataky, Z.; Armand, S.; Müller-Pinget, S.; Golay, A.; Allet, L. Effects of obesity on functional capacity. Obesity 2013, 22, 56–62. [Google Scholar] [CrossRef] [PubMed]
- Yumuk, V.; Tsigos, C.; Fried, M.; Schindler, K.; Busetto, L.; Micic, D.; Toplak, H. Obesity Management Task Force of the European Association for the Study of O. European Guidelines for Obesity Management in Adults. Obes. Facts 2015, 8, 402–424. [Google Scholar] [CrossRef] [PubMed]
- Tomlinson, D.J.; Erskine, R.M.; Morse, C.I.; Winwood, K.; Onambélé-Pearson, G. The impact of obesity on skeletal muscle strength and structure through adolescence to old age. Biogerontology 2016, 17, 467–483. [Google Scholar] [CrossRef] [PubMed]
- Martínez-Gómez, D.; Welk, G.J.; Puertollano, M.A.; del-Campo, J.; Moya, J.M.; Marcos, A.; Veiga, O.L.; AFINOS Study Group. Associations of physical activity with muscular fitness in adolescents. Scand. J. Med. Sci. Sports 2011, 21, 310–317. [Google Scholar] [CrossRef]
- Menegoni, F.; Galli, M.; Tacchini, E.; Vismara, L.; Cavigioli, M.; Capodaglio, P. Gender-specific Effect of Obesity on Balance. Obesity 2009, 17, 1951–1956. [Google Scholar] [CrossRef]
- Finkelstein, E.A.; Chen, H.; Prabhu, M.; Trogdon, J.G.; Corso, P.S. The Relationship between Obesity and Injuries among U.S. Adults. Am. J. Health Promot. 2007, 21, 460–468. [Google Scholar] [CrossRef]
- Kibler, W.B.; Press, J.; Sciascia, A. The role of core stability in athletic function. Sports Med. 2006, 36, 189–198. [Google Scholar] [CrossRef]
- Kholodov, Z.K.; Kuznetsov, V. Theory and Methods of Physical Education and Sport; Academy: Moscow, Russia, 2003. [Google Scholar]
- Akuthota, V.; Ferreiro, A.; Moore, T.; Fredericson, M. Core stability exercise principles. Curr. Sports Med. Rep. 2008, 7, 39–44. [Google Scholar] [CrossRef]
- Handrigan, G.A.; Berrigan, F.; Hue, O.; Simoneau, M.; Corbeil, P.; Tremblay, A.; Teasdale, N. The effects of muscle strength on center of pressure-based measures of postural sway in obese and heavy athletic individuals. Gait Posture 2012, 35, 88–91. [Google Scholar] [CrossRef]
- Hue, O.; Simoneau, M.; Marcotte, J.; Berrigan, F.; Doré, J.; Marceau, P.; Marceau, S.; Tremblay, A.; Teasdale, N. Body weight is a strong predictor of postural stability. Gait Posture 2007, 26, 32–38. [Google Scholar] [CrossRef]
- Despina, T.; George, D.; George, T.; Sotiris, P.; Alessandra, D.C.; George, K.; Maria, R.; Stavros, K. Short-term effect of whole-body vibration training on balance, flexibility and lower limb explosive strength in elite rhythmic gymnasts. Hum. Mov. Sci. 2014, 33, 149–158. [Google Scholar] [CrossRef]
- Pollock, R.D.; Woledge, R.C.; Martin, F.C.; Newham, D.J. Effects of whole body vibration on motor unit recruitment and threshold. J. Appl. Physiol. 2012, 112, 388–395. [Google Scholar] [CrossRef] [PubMed]
- Cardinale, M.; Lim, J. Electromyography Activity of Vastus Lateralis Muscle During Whole-Body Vibrations of Different Frequencies. J. Strength Cond. Res. 2003, 17, 621. [Google Scholar]
- Rittweger, J. Vibration as an exercise modality: How it may work, and what its potential might be. Eur. J. Appl. Physiol. 2009, 108, 877–904. [Google Scholar] [CrossRef] [PubMed]
- Luo, J.; McNamara, B.; Moran, K. The use of vibration training to enhance muscle strength and power. Sports Med. 2005, 35, 23–41. [Google Scholar] [CrossRef]
- Cochrane, D.J. Vibration exercise: The potential benefits. Int. J. Sports Med. 2011, 32, 75–99. [Google Scholar] [CrossRef]
- Beck, B.R. Vibration therapy to prevent bone loss and falls: Mechanisms and efficacy. Curr. Osteoporos. Rep. 2015, 13, 381–389. [Google Scholar] [CrossRef] [PubMed]
- Kabul, E.B.; ÇAlik, B.B.; Aslan, U.B.; TaŞKin, F. Examination of the Effect of Short-term Whole Body Vibration Training on Flexibility, Endurance and Dynamic Balance in Healthy Young People: A Randomized Controlled Study. Süleyman Demirel Üniversitesi Sağlık Bilim. Derg. 2022, 13, 497–509. [Google Scholar] [CrossRef]
- Rees, S.S.; Murphy, A.J.; Watsford, M.L. Effects of Whole-Body Vibration Exercise on Lower-Extremity Muscle Strength and Power in an Older Population: A Randomized Clinical Trial. Phys. Ther. 2008, 88, 462–470. [Google Scholar] [CrossRef]
- Abdel-Aal, N.M.; Allam, N.M.; Eladl, H.M. Efficacy of whole-body vibration on balance control, postural stability, and mobility after thermal burn injuries: A prospective randomized controlled trial. Clin. Rehabil. 2021, 35, 1555–1565. [Google Scholar] [CrossRef] [PubMed]
- Ebersbach, G.; Edler, D.; Kaufhold, O.; Wissel, J. Whole Body Vibration Versus Conventional Physiotherapy to Improve Balance and Gait in Parkinson’s Disease. Arch. Phys. Med. Rehabil. 2008, 89, 399–403. [Google Scholar] [CrossRef] [PubMed]
- Mason, R.R.; Cochrane, D.J.; Denny, G.J.; Firth, E.C.; Stannard, S.R. Is 8 weeks of side-alternating whole-body vibration a safe and acceptable modality to improve functional performance in multiple sclerosis? Disabil. Rehabil. 2011, 34, 647–654. [Google Scholar] [CrossRef]
- van Nes, I.J.; Latour, H.; Schils, F.; Meijer, R.; van Kuijk, A.; Geurts, A.C. Long-Term Effects of 6-Week Whole-Body Vibration on Balance Recovery and Activities of Daily Living in the Postacute Phase of Stroke. Stroke 2006, 37, 2331–2335. [Google Scholar] [CrossRef]
- Bayles, M.P. ACSM’s Exercise Testing and Prescription; Lippincott Williams & Wilkins: Philadelphia, PA, USA, 2023. [Google Scholar]
- de Souza, S.A.F.; Faintuch, J.; Valezi, A.C.; Sant’ Anna, A.F.; Gama-Rodrigues, J.J.; de Batista Fonseca, I.C.; Souza, R.B.; Senhorini, R.C. Gait Cinematic Analysis in Morbidly Obese Patients. Obes. Surg. 2005, 15, 1238–1242. [Google Scholar] [CrossRef] [PubMed]
- Abbasi, M.; Kordi Yoosefinejad, A.; Poursadeghfard, M.; Parsaei Jahromi, F.; Motealleh, A.; Sobhani, S. Whole body vibration improves core muscle strength and endurance in ambulant individuals with multiple sclerosis: A randomized clinical trial. Mult. Scler. Relat. Disord. 2019, 32, 88–93. [Google Scholar] [CrossRef]
- Ye, J.; Ng, G.; Yuen, K. Acute Effects of Whole-Body Vibration on Trunk Muscle Functioning in Young Healthy Adults. J. Strength Cond. Res. 2014, 28, 2872–2879. [Google Scholar] [CrossRef] [PubMed]
- Torvinen, S.; Kannus, P.; Sievänen, H.; Järvinen, T.A.H.; Pasanen, M.; Kontulainen, S.; Järvinen, T.L.N.; Järvinen, M.; Oja, P.; Vuori, I. Effect of a vibration exposure on muscular performance and body balance. Randomized cross-over study. Clin. Physiol. Funct. Imaging 2002, 22, 145–152. [Google Scholar] [CrossRef]
- Fagnani, F.; Giombini, A.; Di Cesare, A.; Pigozzi, F.; Di Salvo, V. The Effects of a Whole-Body Vibration Program on Muscle Performance and Flexibility in Female Athletes. Am. J. Phys. Med. Rehabil. 2006, 85, 956–962. [Google Scholar] [CrossRef]
- Torvinen, S.; Kannus, P.; Sievänen, H.; Järvinen, T.A.; Pasanen, M.; Kontulainen, S.; Järvinen, T.L.N.; Järvinen, M.; Oja, P.; Vuori, I. Effect of four-month vertical whole body vibration on performance and balance. Med. Sci. Sports Exerc. 2002, 34, 1523–1528. [Google Scholar] [CrossRef]
- Petrigna, L.; Amato, A.; Sortino, M.; Trovato, B.; Zanghì, M.; Roggio, F.; Musumeci, G. Intervention Hypothesis for Training with Whole-Body Vibration to Improve Physical Fitness Levels: An Umbrella Review. J. Funct. Morphol. Kinesiol. 2024, 9, 100. [Google Scholar] [CrossRef]
- do Nascimento, J.A.; Silva, C.C.; dos Santos, H.H.; de Almeida Ferreira, J.J.; de Andrade, P.R. A preliminary study of static and dynamic balance in sedentary obese young adults: The relationship between BMI, posture and postural balance. Clin. Obes. 2017, 7, 377–383. [Google Scholar] [CrossRef] [PubMed]
- Evans, K.; Refshauge, K.M.; Adams, R. Trunk muscle endurance tests: Reliability, and gender differences in athletes. J. Sci. Med. Sport 2007, 10, 447–455. [Google Scholar] [CrossRef] [PubMed]
- Torvinen, S.; Sievänen, H.; Järvinen, T.A.; Pasanen, M.; Kontulainen, S.; Kannus, P. Effect of 4-min Vertical Whole Body Vibration on Muscle Performance and Body Balance: A Randomized Cross-over Study. Int. J. Sports Med. 2002, 23, 374–379. [Google Scholar] [CrossRef]
- Springer, B.A.; Marin, R.; Cyhan, T.; Roberts, H.; Gill, N.W. Normative Values for the Unipedal Stance Test with Eyes Open and Closed. J. Geriatr. Phys. Ther. 2007, 30, 8–15. [Google Scholar] [CrossRef] [PubMed]
- Nakhostin-Ansari, A.; Naghshtabrizi, N.; Naghdi, S.; Ghafouri, M.; Khalifeloo, M.; Mohammadzadeh, M.; Vezvaei, P.; Nakhostin Ansari, N. Normative values of functional reach test, single-leg stance test, and timed “UP and GO” with and without dual-task in healthy Iranian adults: A cross-sectional study. Ann. Med. Surg. 2022, 80, 104053. [Google Scholar] [CrossRef]
- de Oliveira Lira, J.L.; Ugrinowitsch, C.; Fecchio, R.; Coelho, D.B.; Moreira-Neto, A.; Germano, R.; de Lima Miliatto, A.C.; dos Santos Vieira Yano, B.C.; Silva-Batista, C. Minimal detectable change for balance using the biodex balance system in patients with Parkinson disease. PMR 2020, 12, 281–287. [Google Scholar] [CrossRef]
- Parraca, J.A.; Olivares, P.R.; Carbonell-Baeza, A.; Aparicio, V.A.; Adsuar, J.C.; Gusi, N. Test-Retest reliability of Biodex Balance SD on physically active old people. J. Hum. Sport Exerc. 2011, 6, 444–451. [Google Scholar] [CrossRef]
- Wearing, S.C.; Hennig, E.M.; Byrne, N.M.; Steele, J.R.; Hills, A.P. The biomechanics of restricted movement in adult obesity. Obes. Rev. 2006, 7, 13–24. [Google Scholar] [CrossRef] [PubMed]
- Sarkar, A.; Singh, M.; Bansal, N.; Kapoor, S. Effects of obesity on balance and gait alterations in young adults. Indian J. Physiol. Pharmacol. 2011, 55, 227–233. [Google Scholar]
- Adams, J.B.; Edwards, D.; Serviette, D.; Bedient, A.M.; Huntsman, E.; Jacobs, K.A.; Del Rossi, G.; Roos, B.A.; Signorile, J.F. Optimal frequency, displacement, duration, and recovery patterns to maximise power output following acute whole-body vibration. J. Strength Cond. Res. 2009, 23, 237–245. [Google Scholar] [CrossRef]
- Cormie, P.; Deane, R.S.; Triplett, N.T.; McBride, J.M. Acute effects of whole-body vibration on muscle activity, strength, and power. J. Strength Cond. Res. 2006, 20, 257–261. [Google Scholar]
- Albasini, A.; Krause, M.; Rembitzki, I.V. Acknowledgements. In Using Whole Body Vibration in Physical Therapy and Sport; Elsevier: Amsterdam, The Netherlands, 2010; pp. ix–x. [Google Scholar] [CrossRef]
- Maikala, R.V.; King, S.; Bhambhani, Y.N. Cerebral oxygenation and blood volume responses to seated whole-body vibration. Eur. J. Appl. Physiol. 2005, 95, 447–453. [Google Scholar] [CrossRef]
- Neshat, M.B.; Shadmehr, A.; Jalaie, S.; Mir, S.M.; Moghadam, B.A. The Immediate Effect of Whole Body Vibration on Core Muscles in Young Healthy Females: A Preliminary Study. J. Mod. Rehabil. 2018, 12, 239–244. [Google Scholar] [CrossRef]
- Wirth, B.; Zurfluh, S.; Müller, R. Acute effects of whole-body vibration on trunk muscles in young healthy adults. J. Electromyogr. Kinesiol. 2011, 21, 450–457. [Google Scholar] [CrossRef]
- Osawa, Y.; Oguma, Y. Effects of resistance training with whole-body vibration on muscle fitness in untrained adults. Scand. J. Med. Sci. Sports 2011, 23, 84–95. [Google Scholar] [CrossRef]
- Pollock, R.D.; Woledge, R.C.; Mills, K.R.; Martin, F.C.; Newham, D.J. Muscle activity and acceleration during whole body vibration: Effect of frequency and amplitude. Clin. Biomech. 2010, 25, 840–846. [Google Scholar] [CrossRef]
- Cloak, R.; Nevill, A.; Clarke, F.; Day, S.; Wyon, M. Vibration Training Improves Balance in Unstable Ankles. Int. J. Sports Med. 2010, 31, 894–900. [Google Scholar] [CrossRef]
- Melnyk, M.; Schloz, C.; Schmitt, S.; Gollhofer, A. Neuromuscular Ankle Joint Stabilisation after 4-weeks WBV Training. Int. J. Sports Med. 2009, 30, 461–466. [Google Scholar] [CrossRef][Green Version]
- Ritzmann, R.; Kramer, A.; Bernhardt, S.; Gollhofer, A. Whole body vibration training--improving balance control and muscle endurance. PLoS ONE 2014, 9, e89905. [Google Scholar] [CrossRef]
- Maeda, N.; Urabe, Y.; Sasadai, J.; Miyamoto, A.; Murakami, M.; Kato, J. Effect of Whole-Body-Vibration Training on Trunk-Muscle Strength and Physical Performance in Healthy Adults: Preliminary Results of a Randomized Controlled Trial. J. Sport Rehabil. 2016, 25, 357–363. [Google Scholar] [CrossRef] [PubMed]
- Schlee, G.; Reckmann, D.; Milani, T.L. Whole body vibration training reduces plantar foot sensitivity but improves balance control of healthy subjects. Neurosci. Lett. 2012, 506, 70–73. [Google Scholar] [CrossRef] [PubMed]
- Runge, M.; Rehfeld, G.; Resnicek, E. Balance training and exercise in geriatric patients. J. Musculoskelet Neuronal Interact 2000, 1, 61–65. [Google Scholar]
- van Nes, I.J.; Geurts, A.C.; Hendricks, H.T.; Duysens, J. Short-Term Effects of Whole-Body Vibration on Postural Control in Unilateral Chronic Stroke Patients. Am. J. Phys. Med. Rehabil. 2004, 83, 867–873. [Google Scholar] [CrossRef]
- Waheed, A.; Azharuddin, M.; Ahmad, I.; Noohu, M.M. Whole-body vibration, in addition to balance exercise, shows positive effects for strength and functional ability in patients with diabetic peripheral neuropathy: A single-blind randomized controlled trial. J. Diabetol. 2021, 12, 456–463. [Google Scholar]
- Kordi Yoosefinejad, A.; Shadmehr, A.; Olyaei, G.; Talebian, S.; Bagheri, H.; Mohajeri-Tehrani, M.R. Short-term effects of the whole-body vibration on the balance and muscle strength of type 2 diabetic patients with peripheral neuropathy: A quasi-randomised-controlled trial study. J. Diabetes Metab. Disord. 2015, 14, 45. [Google Scholar] [CrossRef]
- Jamal, A.; Ahmad, I.; Ahamed, N.; Azharuddin, M.; Alam, F.; Hussain, M.E. Whole body vibration showed beneficial effect on pain, balance measures and quality of life in painful diabetic peripheral neuropathy: A randomized controlled trial. J. Diabetes Metab. Disord. 2019, 19, 61–69. [Google Scholar] [CrossRef]
- Lee, K.; Lee, S.; Song, C. Whole-Body Vibration Training Improves Balance, Muscle Strength and Glycosylated Hemoglobin in Elderly Patients with Diabetic Neuropathy. Tohoku. J. Exp. Med. 2013, 231, 305–314. [Google Scholar] [CrossRef]
- Moffa, S.; Iuliano, E.; di Cagno, A.; Pistone, E.M.; Fiorilli, G.; Calcagno, G. Acute effect of whole body vibration on balance in blind vs. no-blind athletes: A preliminary study. Sport Sci. Health 2017, 13, 323–329. [Google Scholar] [CrossRef]
- Barati, A.; Safarcherati, A.; Aghayari, A.; Azizi, F.; Abbasi, H. Evaluation of Relationship between Trunk Muscle Endurance and Static Balance in Male Students. Asian. J. Sports Med. 2013, 4, 289–294. [Google Scholar] [CrossRef] [PubMed]
- Chang, W.-D.; Lin, H.-Y.; Lai, P.-T. Core strength training for patients with chronic low back pain. J. Phys. Ther. Sci. 2015, 27, 619–622. [Google Scholar] [CrossRef]
- Barrio, E.D.; Ramirez-Campillo, R.; Garcia de Alcaraz Serrano, A.; RaquelHernandez-García, R. Effects of core training on dynamic balance stability: A systematic review and meta-analysis. J. Sports Sci. 2022, 40, 1815–1823. [Google Scholar] [CrossRef]
- Kaji, A.; Sasagawa, S.; Kubo, T.; Kanehisa, H. Transient Effect of Core Stability Exercises on Postural Sway During Quiet Standing. J. Strength Cond. Res. 2010, 24, 382–388. [Google Scholar] [CrossRef]
- Ozmen, T.; Aydogmus, M. Effect of core strength training on dynamic balance and agility in adolescent badminton players. J. Bodyw. Mov. Ther. 2016, 20, 565–570. [Google Scholar] [CrossRef]
- Ahmed, S.; Saraswat, A.; Esht, V. Correlation of core stability with balance, agility and upper limb power in badminton players: A cross-sectional study. Sport. Sci. Health 2021, 18, 165–169. [Google Scholar] [CrossRef]
- Dale, R.B.; Samson, K.M.; Sandrey, M.A.; Hetrick, A. A Core Stabilization Training Program for Tennis Athletes. Athl. Ther. Today 2007, 12, 41–46. [Google Scholar] [CrossRef]
- Suri, P.; Kiely, D.K.; Leveille, S.G.; Frontera, W.R.; Bean, J.F. Increased trunk extension endurance is associated with meaningful improvement in balance among older adults with mobility problems. Arch. Phys. Med. Rehabil. 2011, 92, 1038–1043. [Google Scholar] [CrossRef]
- De Los Ríos-Calonge, J.; Barbado, D.; Prat-Luri, A.; Juan-Recio, C.; Heredia-Elvar, J.R.; Elvira, J.L.L.; Vera-Garcia, F.J. Are trunk stability and endurance determinant factors for whole-body dynamic balance in physically active young males? A multidimensional analysis. Scand. J. Med. Sci. Sports 2024, 34, e14588. [Google Scholar] [CrossRef]
- Ambegaonkar, J.P.; Mettinger, L.M.; Caswell, S.V.; Burtt, A.; Cortes, N. Relationships between core endurance, hip strength, and balance in collegiate female athletes. Int. J. Sports Phys. Ther. 2014, 9, 604. [Google Scholar]



| Exercise | Description | Frequency | Duration |
|---|---|---|---|
| Light Squatting | From the standing position, the participant was instructed to bend the knees 10° with the feet turned out. | 15 HZ | 0–10 s |
| Standing in the erect position | The participant was asked to stand on the platform with the feet shoulder-width apart and the knee joint in full extension. | 15 HZ | 10–20 s |
| Standing in a relaxed position, with the knees in a slight flexion | The participant was instructed to assume a light squatting position by bending the knees 30°. | 15 HZ | 20–30 s |
| Light jumping | The participant was asked to gently lift the feet off the ground from standing on the platform and perform light jumping. | 20 HZ | 40–60 s |
| Alternating the body weight from one leg to another | The participant was instructed to stand on the platform and shift the body weight to the right lower limb, the left lower limb and so on. | 25 HZ | 40–60 s |
| Standing on the heels | From the standing position, the participant was asked to raise the toes off the ground and sustain this position. | 30 HZ | 50–60 s |
| Characteristics | Mean ± SD | MD | p | 95% CI | ||
|---|---|---|---|---|---|---|
| WBV (n = 25) | Sham WBV (n = 25) | Lower | Upper | |||
| Age (years) | 21.24 ± 2.03 | 20.96 ± 2.07 | −0.28 | 0.63 (ns) | −1.45 | 0.89 |
| Weight (Kg) | 92.47 ± 10.51 | 93.96 ± 12.77 | 1.48 | 0.35 (ns) | −5.17 | 8.14 |
| Height (cm) | 158.3 ± 6.06 | 158.8 ± 5.94 | 0.52 | 0.76 (ns) | −2.89 | 3.93 |
| BMI (kg/m2) | 36.94 ± 4.99 | 37.62 ± 4.57 | 0.68 | 0.61 (ns) | −2.04 | 3.40 |
| Variable | WBV Group | Sham WBV Group | Group X Time Interaction (F) p-Value | p (b) between Groups | Effect Size (η2) | ||||||
|---|---|---|---|---|---|---|---|---|---|---|---|
| Pre | Post | MD (95%CI) | p (a) within Group | Pre | Post | MD (95%CI) | p (a) within Group | ||||
| Sorensen test (s) | 30.41 ± 17.46 | 48.41 ± 20.88 | 18.00 (14.58–21.41) | <0.001 | 28.08 ± 10.33 | 29.08 ± 10.22 | 1.00 (0.55–1.44) | 0.65 | F1,48 = 10.17 | <0.001 | 0.33 |
| <0.01 | |||||||||||
| TFET (s) | 10.08 ± 5.97 | 19.27 ± 10.54 | 9.19 (6.71–11.67) | <0.001 | 9.52 ± 2.47 | 10.00 ± 2.52 | 0.48 (0.26–0.69) | 0.76 | F1.48 = 16.10 | <0.001 | 0.41 |
| <0.01 | |||||||||||
| SLS (s) | 6.36 ± 2.92 | 18.05 ± 4.66 | 11.69 (10.11–13.28) | <0.001 | 6.30 ± 2.99 | 6.787 ± 3.05 | 0.48 (0.27–0.69) | 0.78 | F1.48 = 69.86 | <0.001 | 0.71 |
| <0.001 | |||||||||||
| OSI (°) | 3.51 ± 0.68 | 1.78 ± 0.0.59 | −1.73 (−1.90 to −1.55) | <0.001 | 3.48 ± 0.76 | 3.12 ± 0.76 | −0.36 (−0.42 to −0.29) | 0.54 | F1.48 = 80.20 | <0.001 | 0.52 |
| <0.001 | |||||||||||
| MLSI (°) | 2.63 ± 0.67 | 1.52 ± 0.63 | −1.11 (−1.33 to −0.89) | <0.001 | 2.53 ± 0.63 | 2.38 ± 0.63 | −0.15 (−0.19 to −0.10) | 0.56 | F1.48 = 25.57 | <0.001 | 0.33 |
| <0.001 | |||||||||||
| APSI (°) | 2.92 ± 0.77 | 1.44 ± 0.51 | −1.48 (−1.72 to −1.24) | <0.001 | 2.86 ± 0.85 | 2.70 ± 0.84 | −0.16 (−0.22 to −0.90) | 0.63 | F1.48 = 38.23 | <0.001 | 0.51 |
| <0.001 | |||||||||||
Disclaimer/Publisher’s Note: The statements, opinions and data contained in all publications are solely those of the individual author(s) and contributor(s) and not of MDPI and/or the editor(s). MDPI and/or the editor(s) disclaim responsibility for any injury to people or property resulting from any ideas, methods, instructions or products referred to in the content. |
© 2024 by the authors. Licensee MDPI, Basel, Switzerland. This article is an open access article distributed under the terms and conditions of the Creative Commons Attribution (CC BY) license (https://creativecommons.org/licenses/by/4.0/).
Share and Cite
Allam, N.M.; Alenzi, R.M.; Ali, L.S.; Al Muteb, S.M.; Aljabar, S.A.; Altuwayrib, H.F.; Al-Mashaiti, R.F.; Albarak, W.F.; Elsherbini, D.M.A.; Al-Serwi, R.H.; et al. Acute Effect of Whole-Body Vibration on Trunk Endurance and Balance in Obese Female Students: Randomized Controlled Trial. Medicina 2024, 60, 1316. https://doi.org/10.3390/medicina60081316
Allam NM, Alenzi RM, Ali LS, Al Muteb SM, Aljabar SA, Altuwayrib HF, Al-Mashaiti RF, Albarak WF, Elsherbini DMA, Al-Serwi RH, et al. Acute Effect of Whole-Body Vibration on Trunk Endurance and Balance in Obese Female Students: Randomized Controlled Trial. Medicina. 2024; 60(8):1316. https://doi.org/10.3390/medicina60081316
Chicago/Turabian StyleAllam, Nesma M., Raghad Miah Alenzi, Lashin Saad Ali, Shaden Mohammed Al Muteb, Sara Abdulkarim Aljabar, Hind Fahad Altuwayrib, Renad Fayez Al-Mashaiti, Welf Fahad Albarak, Dalia Mahmoud Abdelmonem Elsherbini, Rasha Hamed Al-Serwi, and et al. 2024. "Acute Effect of Whole-Body Vibration on Trunk Endurance and Balance in Obese Female Students: Randomized Controlled Trial" Medicina 60, no. 8: 1316. https://doi.org/10.3390/medicina60081316
APA StyleAllam, N. M., Alenzi, R. M., Ali, L. S., Al Muteb, S. M., Aljabar, S. A., Altuwayrib, H. F., Al-Mashaiti, R. F., Albarak, W. F., Elsherbini, D. M. A., Al-Serwi, R. H., Ibrahim, A. M., Eldesoqui, M., & El-Sherbiny, M. (2024). Acute Effect of Whole-Body Vibration on Trunk Endurance and Balance in Obese Female Students: Randomized Controlled Trial. Medicina, 60(8), 1316. https://doi.org/10.3390/medicina60081316

