Limited vs. Extended Resection of Stanford Type A Acute Aortic Dissections
Abstract
1. Introduction
- To evaluate the perioperative outcomes and late survival of AAAD repair;
- To compare limited versus extended resections.
2. Materials and Methods
2.1. Population
2.2. Operative Techniques
2.3. Statistical and Propensity Score Analysis
3. Results
3.1. Operative Results
3.2. Comment
- (a)
- Propensity-matched in-hospital mortality and composite outcomes were similar for ER and LR.
- (b)
- Long-term survival for extended resections was worse than for limited resections.
- (c)
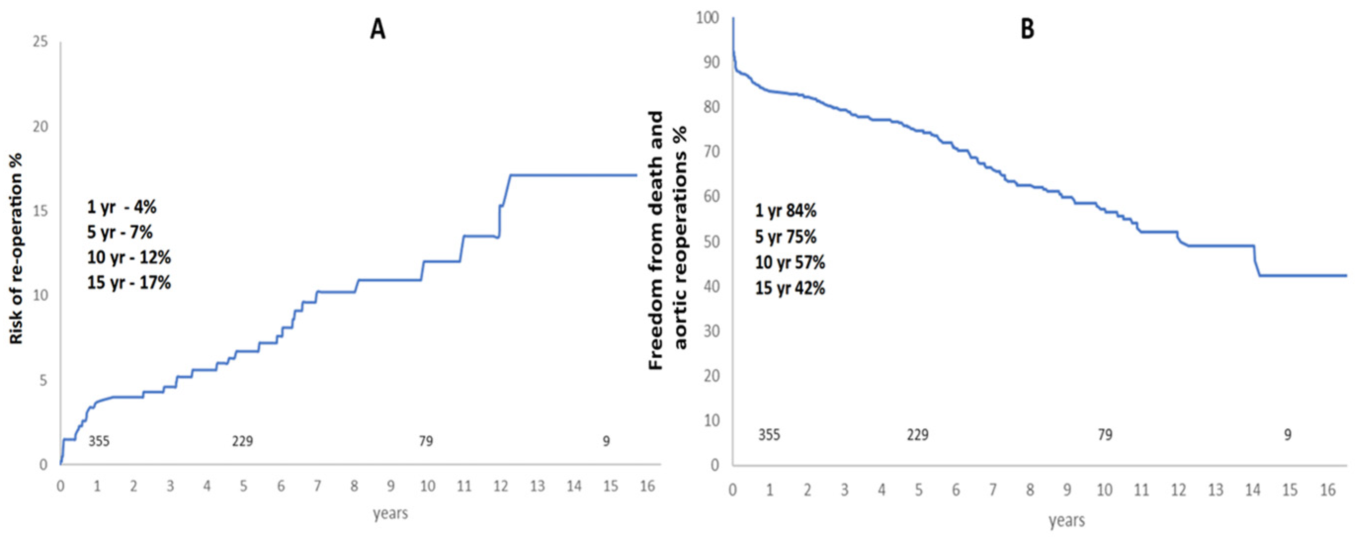
- The risk of aortic re-operation was very low, at 10% at 10 years and 17% at 15 years.
4. Limitations
5. Conclusions
6. Future Directions
Supplementary Materials
Author Contributions
Funding
Institutional Review Board Statement
Informed Consent Statement
Data Availability Statement
Conflicts of Interest
References
- Conzelmann, L.O.; Weigang, E.; Mehlhorn, U.; Abugameh, A.; Hoffmann, I.; Blettner, M.; Etz, C.D.; Czerny, M.; Vahl, C.F.; GERAADA Investigators. Mortality in patients with acute aortic dissection type A: Analysis of pre- and intraoperative risk factors from the German Registry for Acute Aortic Dissection Type A (GERAADA). Eur. J. Cardiothorac. Surg. 2016, 49, e44–e52. [Google Scholar] [CrossRef] [PubMed]
- Andersen, N.D.; Ganapathi, A.M.; Hanna, J.M.; Williams, J.B.; Gaca, J.G.; Hughes, G.C. Outcomes of acute type a dissection repair before and after implementation of a multidisciplinary thoracic aortic surgery program. J. Am. Coll. Cardiol. 2014, 63, 1796–1803. [Google Scholar] [CrossRef] [PubMed]
- Malvindi, P.G.; Modi, A.; Miskolczi, S.; Kaarne, M.; Velissaris, T.; Barlow, C.; Ohri, S.K.; Tsang, G.; Livesey, S. Open and closed distal anastomosis for acute type A aortic dissection repair. Interact. Cardiovasc. Thorac. Surg. 2016, 22, 776–783. [Google Scholar] [CrossRef] [PubMed]
- Evangelista, A.; Isselbacher, E.M.; Bossone, E.; Gleason, T.G.; Eusanio, M.D.; Sechtem, U.; Ehrlich, M.P.; Trimarchi, S.; Braverman, A.C.; Myrmel, T.; et al. Insights from the International Registry of Acute Aortic Dissection: A 20-Year Experience of Collaborative Clinical Research. Circulation 2018, 137, 1846–1860. [Google Scholar] [CrossRef] [PubMed]
- Pape, L.A.; Awais, M.; Woznicki, E.M.; Suzuki, T.; Trimarchi, S.; Evangelista, A.; Myrmel, T.; Larsen, M.; Harris, K.M.; Greason, K.; et al. Presentation, diagnosis, and outcome of acute aortic dissection: 17-year trends from the International Registry of Acute Aortic Dissection. J. Am. Coll. Cardiol. 2015, 66, 350–358. [Google Scholar] [CrossRef] [PubMed]
- Reutersberg, B.; Salvermoser, M.; Trenner, M.; Geisbüsch, S.; Zimmermann, A.; Eckstein, H.H.; Kuehnl, A. Hospital Incidence and In-Hospital Mortality of Surgically and Interventionally Treated Aortic Dissections: Secondary Data Analysis of the Nationwide German Diagnosis-Related Group Statistics from 2006 to 2014. J. Am. Heart Assoc. 2019, 8, e011402. [Google Scholar] [CrossRef] [PubMed]
- Abe, T.; Yamamoto, H.; Miyata, H.; Motomura, N.; Tokuda, Y.; Tanemoto, K.; Usui, A.; Takamoto, S. Patient trends and outcomes of surgery for type A acute aortic dissection in Japan: An analysis of more than 10000 patients from the Japan Cardiovascular Surgery Database. Eur. J. Cardiothorac. Surg. 2020, 57, 660–667. [Google Scholar] [CrossRef] [PubMed]
- Ghoreishi, M.; Sundt, T.M.; Cameron, D.E.; Holmes, S.D.; Roselli, E.E.; Pasrija, C.; Gammie, J.S.; Patel, H.J.; Bavaria, J.E.; Svensson, L.G.; et al. Factors associated with acute stroke after type A aortic dissection repair: An analysis of the Society of Thoracic Surgeons National Adult Cardiac Surgery Database. J. Thorac. Cardiovasc. Surg. 2020, 159, 2143–2154.e3. [Google Scholar] [CrossRef]
- Helder, M.R.K.; Schaff, H.V.; Day, C.N.; Pochettino, A.; Bagameri, G.; Greason, K.L.; Lansman, S.L.; Girardi, L.N.; Storlie, C.B.; Habermann, E.B. Regional and Temporal Trends in the Outcomes of Repairs for Acute Type A Aortic Dissections. Ann. Thorac. Surg. 2020, 109, 26–33. [Google Scholar] [CrossRef] [PubMed]
- Yoshitake, A.; Tochii, M.; Tokunaga, C.; Hayashi, J.; Takazawa, A.; Yamashita, K.; Chubachi, F.; Hori, Y.; Nakajima, H.; Iguchi, A.; et al. Early and long-term results of total arch replacement with the frozen elephant trunk technique for acute type A aortic dissection. Eur. J. Cardiothorac. Surg. 2020, 58, 707–713. [Google Scholar] [CrossRef] [PubMed]
- Smith, H.N.; Boodhwani, M.; Ouzounian, M.; Saczkowski, R.; Gregory, A.J.; Herget, E.J.; Appoo, J.J. Classification and outcomes of extended arch repair for acute Type A aortic dissection: A systematic review and metaanalysis. Interact. Cardiovasc. Thorac. Surg. 2017, 24, 450–459. [Google Scholar] [PubMed]
- Luthra, S.; Tsang, G.M. Concurrent stabilization of “downstream” aorta during acute type A aortic dissection repair. J. Thorac. Cardiovasc. Surg. 2023, 165, 586–588. [Google Scholar] [CrossRef] [PubMed]
- Erbel, R.; Aboyans, V.; Boileau, C.; Bossone, E.; Bartolomeo, R.D.; Eggebrecht, H.; Evangelista, A.; Falk, V.; Frank, H.; Gaemperli, O.; et al. 2014 ESC Guidelines on the diagnosis and treatment of aortic diseases: Document covering acute and chronic aortic diseases of the thoracic and abdominal aorta of the adult. The Task Force for the Diagnosis and Treatment of Aortic Diseases of the European Society of Cardiology (ESC). Eur. Heart J. 2014, 35, 2873–2926. [Google Scholar] [PubMed]
- Dib, B.; Seppelt, P.C.; Arif, R.; Weymann, A.; Veres, G.; Schmack, B.; Beller, C.J.; Ruhparwar, A.; Karck, M.; Kallenbach, K. Extensive aortic surgery in acute aortic dissection type A on outcome—insights from 25 years single center experience. J. Cardiothorac. Surg. 2019, 14, 187. [Google Scholar] [CrossRef] [PubMed]
- Lansman, S.L. Commentary: Is more always better? J. Thorac. Cardiovasc. Surg. 2019, 158, 1282. [Google Scholar] [CrossRef] [PubMed]
- Yan, Y.; Xu, L.; Zhang, H.; Xu, Z.Y.; Ding, X.Y.; Wang, S.W.; Xue, X.; Tan, M.W. Proximal aortic repair versus extensive aortic repair in the treatment of acute type A aortic dissection: A meta-analysis. Eur. J. Cardiothorac. Surg. 2016, 49, 1392–1401. [Google Scholar] [CrossRef] [PubMed]
- Kim, J.H.; Lee, S.H.; Lee, S.; Youn, Y.N.; Yoo, K.J.; Joo, H.C. The Impact of a Reentry Tear after Open Repair of Nonsyndromic Acute Type I Aortic Dissection. Ann. Thorac. Surg. 2019, 110, 475–482. [Google Scholar] [CrossRef] [PubMed]
- Lin, F.Y.; Tseng, Y.H.; Huang, J.W.; Hsieh, C.C.; Chen, H.M.; Chiu, C.C.; Chen, Y.F. Fate of distal aorta after acute type A aortic dissection repair: Change and persistency of postoperative false lumen status. Int. J. Cardiol. 2018, 266, 50–55. [Google Scholar] [CrossRef] [PubMed]
- Halstead, J.C.; Meier, M.; Etz, C.; Spielvogel, D.; Bodian, C.; Wurm, M.; Shahani, R.; Griepp, R.B. The fate of the distal aorta after repair of acute type A aortic dissection. J. Thorac. Cardiovasc. Surg. 2007, 133, 127–135. [Google Scholar] [CrossRef] [PubMed]
- Kimura, N.; Itoh, S.; Yuri, K.; Adachi, K.; Matsumoto, H.; Yamaguchi, A.; Adachi, H. Reoperation for enlargement of the distal aorta after initial surgery for acute type A aortic dissection. J. Thorac. Cardiovasc. Surg. 2015, 149, S91–S98. [Google Scholar] [CrossRef] [PubMed]


| UNMATCHED | |||||||
|---|---|---|---|---|---|---|---|
| Overall (n = 440) | Limited Resection (n = 215) | Extended Resection (n = 225) | |||||
| n | % or IQR | n | % or IQR | n | % or IQR | p Value | |
| Bypass time | 187 | (130–249) | 173 | (121–256) | 191 | (145.5–245.5) | 0.225 |
| Cross-clamp time | 99 | (75–130) | 99 | (74–1310 | 99 | (76–128) | 0.862 |
| Circulatory arrest time | 27 | (75–130) | 26 | (19–33) | 27 | (18–33.5) | 0.545 |
| LOS, days [IQR] | 12 | (8–20) | 12 | (8–20) | 11 | (7–17) | 0.012 |
| 30-day survival | 390 | 88.6 | 200 | 93.0 | 190 | 84.4 | 0.005 |
| Composite outcome | 126 | 28.6 | 53 | 24.7 | 73 | 32.4 | 0.071 |
| Stroke/TIA | 81 | 18.4 | 35 | 16.3 | 46 | 20.4 | 0.474 |
| In-hospital death | 44 | 10.0 | 13 | 6.0 | 31 | 13.8 | 0.007 |
| Overall survival | 286 | 65.0 | 169 | 78.6 | 117 | 52.0 | <0.001 |
| - | |||||||
| PROPENSITY-MATCHED | |||||||
| Overall (n = 218) | Limited Resection (n = 109) | Extended Resection (n = 109) | |||||
| n | % or IQR | n | % or IQR | n | % or IQR | p Value | |
| Bypass time | 188 | (125–249) | 172 | (119–254) | 192 | (129–240) | 0.828 |
| Cross-clamp time | 97 | (76–130) | 97 | (76–130) | 97 | (78–132) | 0.994 |
| Circulatory arrest time | 26 | (17–35) | 26 | (17–36) | 27 | (18–34) | 0.848 |
| LOS, days [IQR] | 12 | (8–18) | 12 | (9–20) | 11 | (8–17.5) | 0.537 |
| 30-day mortality | 20 | 9.2 | 9 | 8.3 | 11 | 10.1 | 0.815 |
| Composite outcome | 58 | 26.6 | 24 | 22.0 | 34 | 31.2 | 0.133 |
| Stroke/TIA | 34 | 15.6 | 12 | 11.0 | 22 | 20.2 | 0.064 |
| In-hospital death | 16 | 7.3 | 8 | 7.3 | 8 | 7.3 | 1.000 |
| Overall survival | 140 | 64.2 | 84 | 77.1 | 56 | 51.4 | <0.001 |
| LOS: length of stay, TIA: transient ischemic attack | |||||||
| OR | 95% CI (Lower, Upper) | p Value | OR | 95% CI (Lower, Upper) | p Value | |||
|---|---|---|---|---|---|---|---|---|
| Extended resection | 1.47 | 0.97 | 2.23 | 0.071 | 1.52 | 0.92 | 2.49 | 0.101 |
| Male gender | 1.04 | 0.67 | 1.59 | 0.868 | ||||
| CCS III-IV | 1.37 | 0.77 | 2.43 | 0.282 | ||||
| NYHA III-IV | 1.33 | 0.75 | 2.36 | 0.326 | ||||
| Prior cardiac surgery | 1.28 | 0.65 | 2.51 | 0.48 | ||||
| Diabetes | 1.03 | 0.42 | 2.54 | 0.953 | ||||
| Hypertension | 1.29 | 0.84 | 1.98 | 0.246 | 1.38 | 0.83 | 2.31 | 0.217 |
| Smoking history | 0.96 | 0.63 | 1.47 | 0.859 | ||||
| Renal disease | 1.40 | 0.46 | 4.26 | 0.553 | ||||
| Pulmonary disease | 1.37 | 0.73 | 2.58 | 0.321 | ||||
| PVD | 1.27 | 0.47 | 3.46 | 0.641 | ||||
| LVEF moderate/poor | 1.58 | 0.94 | 2.64 | 0.081 | 1.49 | 0.81 | 2.75 | 0.203 |
| Hemodynamically unstable | 1.47 | 0.86 | 2.51 | 0.159 | 1.40 | 0.74 | 2.65 | 0.299 |
| Salvage surgery | 2.26 | 1.12 | 4.55 | 0.023 | 2.94 | 1.22 | 7.08 | 0.016 |
| Obese (BMI > 28) | 0.84 | 0.54 | 1.31 | 0.451 | ||||
| Bypass time | 1.00 | 1.00 | 1.01 | <0.001 | 1.01 | 1.00 | 1.01 | 0.001 |
| Cross-clamp time | 1.00 | 1.00 | 1.01 | 0.044 | 1.00 | 0.99 | 1.00 | 0.724 |
| Circulatory arrest time | 1.01 | 0.99 | 1.92 | 0.471 | ||||
| Additional cardiac procedures | 1.19 | 0.72 | 1.96 | 0.51 | ||||
| Aortic arch procedure | 1.41 | 0.87 | 2.30 | 0.167 | 1.03 | 0.56 | 1.91 | 0.928 |
| Log euroscore | 1.03 | 0.99 | 1.07 | 0.163 | 1.01 | 0.97 | 1.06 | 0.632 |
| Age > 70 | 1.63 | 1.07 | 2.48 | 0.023 | 1.85 | 1.11 | 3.07 | 0.017 |
| HR | 95% CI (Lower, Upper) | p Value | HR | 95% CI (Lower, Upper) | p Value | |||
|---|---|---|---|---|---|---|---|---|
| Extended resection | 1.90 | 1.24 | 2.92 | 0.003 | 2.06 | 1.31 | 3.25 | 0.002 |
| Male gender | 1.22 | 0.82 | 1.81 | 0.323 | ||||
| CCS III-IV | 1.38 | 0.80 | 2.38 | 0.253 | ||||
| NYHA III-IV | 2.03 | 1.28 | 3.22 | 0.003 | 2.07 | 1.28 | 3.35 | 0.003 |
| Prior cardiac surgery | 1.66 | 0.99 | 2.79 | 0.057 | 2.01 | 1.17 | 3.45 | 0.012 |
| Diabetes | 0.69 | 0.28 | 1.69 | 0.411 | ||||
| Hypertension | 1.59 | 1.05 | 2.40 | 0.027 | 1.45 | 0.94 | 2.22 | 0.092 |
| Smoking history | 1.10 | 0.75 | 1.62 | 0.628 | ||||
| Renal disease | 1.72 | 0.70 | 4.23 | 0.238 | 1.89 | 0.75 | 4.76 | 0.175 |
| Pulmonary disease | 0.84 | 0.44 | 1.62 | 0.613 | ||||
| PVD | 1.13 | 0.46 | 2.77 | 0.796 | ||||
| LVEF moderate/poor | 1.34 | 0.84 | 2.12 | 0.22 | 1.42 | 0.88 | 2.30 | 0.153 |
| Hemodynamically unstable | 0.85 | 0.48 | 1.50 | 0.574 | ||||
| Salvage surgery | 0.79 | 0.32 | 1.94 | 0.602 | ||||
| Obese (BMI > 28) | 0.92 | 0.61 | 1.39 | 0.682 | ||||
| Bypass time | 1.00 | 0.99 | 1.00 | 0.707 | ||||
| Cross-clamp time | 0.99 | 0.99 | 1.00 | 0.136 | 1.00 | 0.99 | 1.00 | 0.341 |
| Circulatory arrest time | 0.99 | 0.98 | 1.01 | 0.343 | ||||
| Additional cardiac procedures | 0.68 | 0.35 | 1.31 | 0.245 | 0.76 | 0.37 | 1.57 | 0.459 |
| Aortic arch procedure | 1.21 | 0.76 | 1.93 | 0.415 | ||||
| Log euroscore | 1.02 | 0.98 | 1.06 | 0.283 | ||||
| Age > 70 | 2.10 | 1.42 | 3.12 | <0.001 | 2.00 | 1.32 | 3.03 | 0.001 |
| Aortic Procedures after AAAD Repair | ||
|---|---|---|
| Aortic valve and root | (47.2%) | |
| Aortic root repair/replacement | 10 | |
| Aortic valve replacement +/− redo interposition graft | 7 | |
| Arch | (13.9%) | |
| Arch resection +/− frozen elephant trunk | 5 | |
| Descending thoracic aorta | (27.8%) | |
| Descending thoracic aortic aneurysm repair | 8 | |
| Thoracic endovascular aneurysm repair | 2 | |
| Abdominal aortic aneurysm repair | (8.3%) | |
| Abdominal aortic aneurysm repair (open) | 2 | |
| Endovascular aneurysm repair (EVAR) | 1 | |
| Total | 36 | (100%) |
Disclaimer/Publisher’s Note: The statements, opinions and data contained in all publications are solely those of the individual author(s) and contributor(s) and not of MDPI and/or the editor(s). MDPI and/or the editor(s) disclaim responsibility for any injury to people or property resulting from any ideas, methods, instructions or products referred to in the content. |
© 2024 by the authors. Licensee MDPI, Basel, Switzerland. This article is an open access article distributed under the terms and conditions of the Creative Commons Attribution (CC BY) license (https://creativecommons.org/licenses/by/4.0/).
Share and Cite
Luthra, S.; Malvindi, P.G.; Leiva-Juárez, M.M.; Masraf, H.; Sef, D.; Miskolczi, S.; Velissaris, T. Limited vs. Extended Resection of Stanford Type A Acute Aortic Dissections. Medicina 2024, 60, 1245. https://doi.org/10.3390/medicina60081245
Luthra S, Malvindi PG, Leiva-Juárez MM, Masraf H, Sef D, Miskolczi S, Velissaris T. Limited vs. Extended Resection of Stanford Type A Acute Aortic Dissections. Medicina. 2024; 60(8):1245. https://doi.org/10.3390/medicina60081245
Chicago/Turabian StyleLuthra, Suvitesh, Pietro G. Malvindi, Miguel M. Leiva-Juárez, Hannah Masraf, Davorin Sef, Szabolcs Miskolczi, and Theodore Velissaris. 2024. "Limited vs. Extended Resection of Stanford Type A Acute Aortic Dissections" Medicina 60, no. 8: 1245. https://doi.org/10.3390/medicina60081245
APA StyleLuthra, S., Malvindi, P. G., Leiva-Juárez, M. M., Masraf, H., Sef, D., Miskolczi, S., & Velissaris, T. (2024). Limited vs. Extended Resection of Stanford Type A Acute Aortic Dissections. Medicina, 60(8), 1245. https://doi.org/10.3390/medicina60081245

