Endoscopic Resections for Barrett’s Neoplasia: A Long-Term, Single-Center Follow-Up Study
Abstract
1. Introduction
2. Materials and Methods
2.1. Study Design
2.2. Study Setting
2.3. Diagnostic Evaluation and Indications
- BE with visible lesion and/or confirmed EAC, HGD, or low-grade dysplasia (LGD);
- Diagnostic workup indicated resectable lesion and no sign of metastatic disease.
2.4. Endoscopic Resection Procedure
2.5. Histopathological Assessment
2.6. Follow-Up
2.7. Study Data
2.8. Patient Selection
- Patients (age > 18) who underwent their initial EMR or ESD for either suspected or histologically confirmed BE neoplasia within the time period were included in the study.
- Patients were excluded if both the pre- and post-histopathologies revealed no presence of dysplasia.
2.9. Outcomes
- En-bloc resection rate, defined as the resection of the targeted lesion in one single piece;
- Curative resection rate, defined as complete R0 resection of HGD, EAC, and Sm1 cancer (≤500 μm) in the absence of poor prognostic factors such as a low differentiation grade and lymphovascular invasion (LVI);
- Complete remission from neoplasia and recurrences at first endoscopy FU, defined as an R0 or R1 resection of HGD or EAC with no residual or metachronous area of HGD or EAC in biopsies taken from the resection scar and mapping biopsies of the original BE segment;
- Frequency of AER during follow-up period;
- Morbidity/adverse events (AEs);
- 30-day mortality;
- Overall survival, quantified as the percentage of patients remaining alive at 1, 3, 5, and 10 years after the initial ER.
2.10. Adverse Events
2.11. Statistical Analysis
3. Results
3.1. Patient Characteristics
3.2. Lesion Characteristics
3.3. Procedural Characteristics
3.4. Complete R0 Resection Rate
3.5. Follow-Up
3.6. Additional Endoscopic Resections
3.7. Adverse Events and Mortality
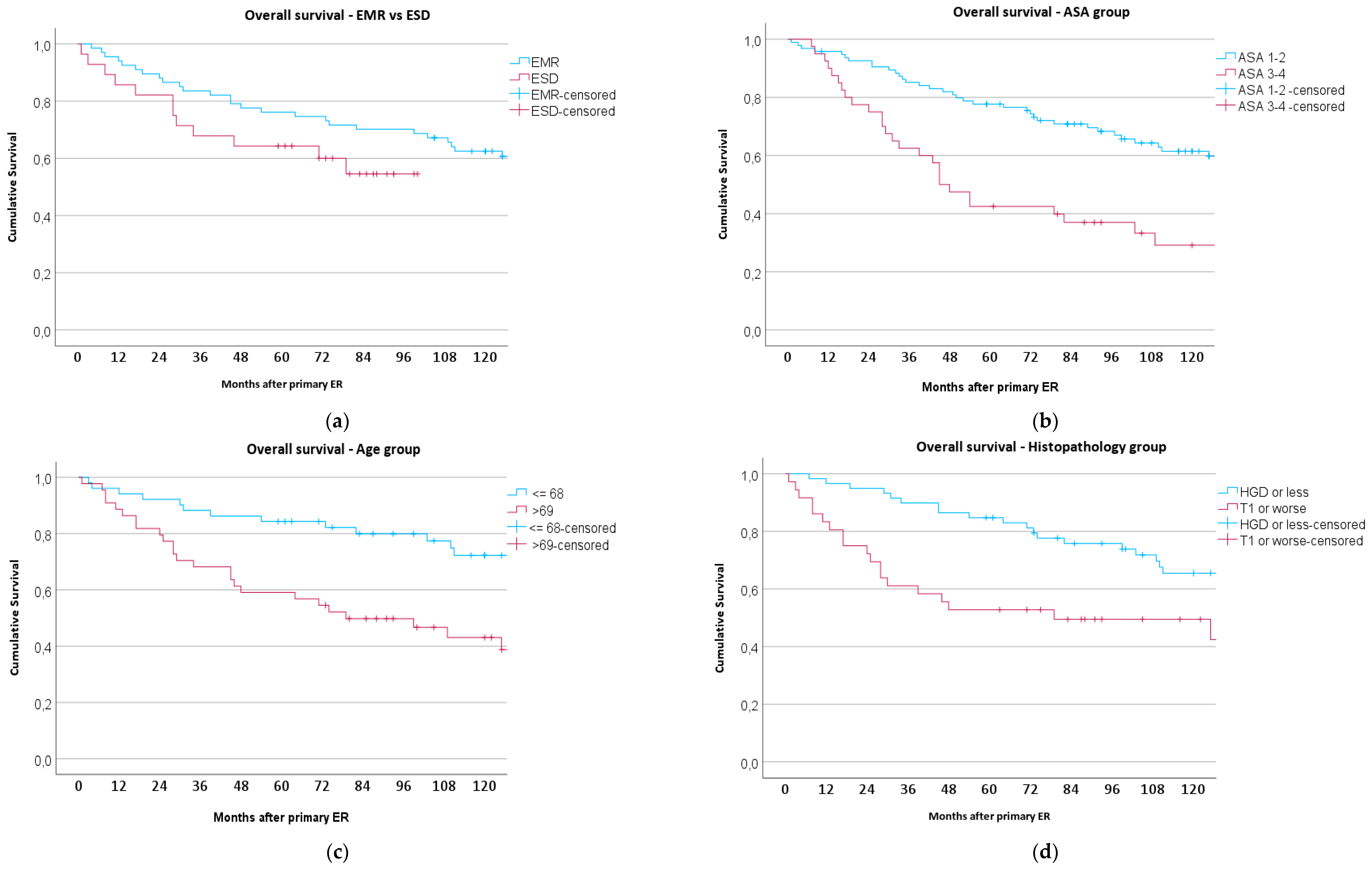
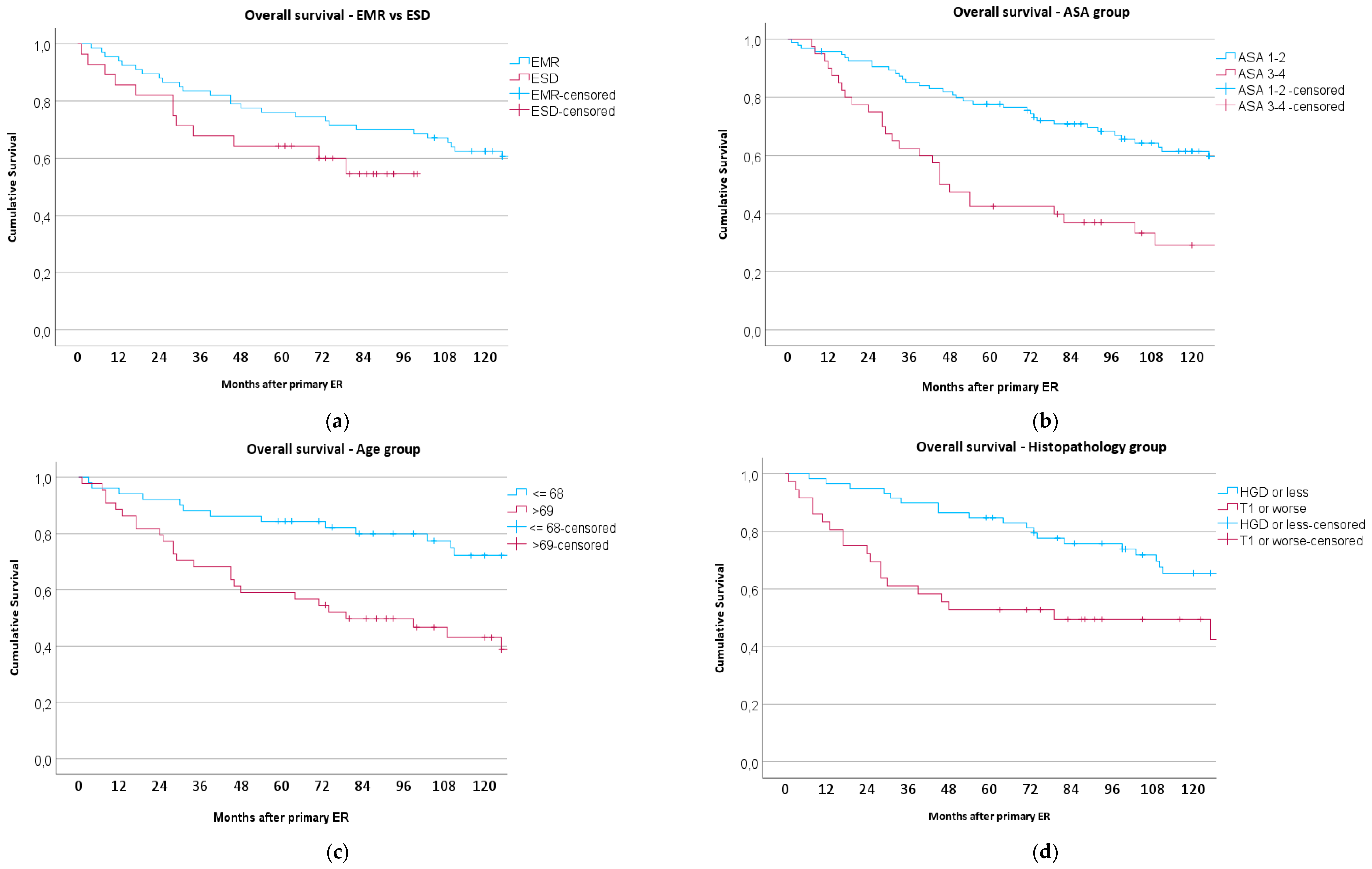
3.8. Overall Survival Rates
4. Discussion
5. Conclusions
Author Contributions
Funding
Institutional Review Board Statement
Informed Consent Statement
Data Availability Statement
Conflicts of Interest
References
- Desai, T.K.; Krishnan, K.; Samala, N.; Singh, J.; Cluley, J.; Perla, S.; Howden, C.W. The incidence of oesophageal adenocarcinoma in non-dysplastic Barrett’s oesophagus: A metaanalysis. Gut 2012, 61, 970–976. [Google Scholar] [CrossRef] [PubMed]
- Hvid-Jensen, F.; Pedersen, L.; Drewes, A.M.; Sørensen, H.T.; Funch-Jensen, P. Incidence of adenocarcinoma among patients with Barrett’s esophagus. N. Engl. J. Med. 2011, 365, 1375–1383. [Google Scholar] [CrossRef] [PubMed]
- Klaver, E.; Bureo Gonzalez, A.; Mostafavi, N.; Mallant-Hent, R.; Duits, L.C.; Baak, B.; Böhmer, C.J.M.; van Oijen, A.H.A.M.; Naber, T.; Scholten, P.; et al. Barrett’s esophagus surveillance in a prospective Dutch multi-center community-based cohort of 985 patients demonstrates low risk of neoplastic progression. United Eur. Gastroenterol. J. 2021, 9, 929–937. [Google Scholar] [CrossRef] [PubMed]
- Lagergren, J.L.P. Recent developments in esophageal adenocarcinoma. CA Cancer J. Clin. 2013, 63, 232–248. [Google Scholar] [CrossRef] [PubMed]
- Pimentel-Nunes, P.; Libânio, D.; Bastiaansen, B.A.J.; Bhandari, P.; Bisschops, R.; Bourke, M.J.; Esposito, G.; Lemmers, A.; Maselli, R.; Messmann, H.; et al. Endoscopic submucosal dissection for superficial gastrointestinal lesions: European Society of Gastrointestinal Endoscopy (ESGE) Guideline—Update 2022. Endoscopy 2022, 54, 591–622. [Google Scholar] [CrossRef] [PubMed]
- Pech, O.; May, A.; Manner, H.; Behrens, A.; Pohl, J.; Weferling, M.; Hartmann, U.; Manner, N.; Huijsmans, J.; Gossner, L.; et al. Long-term efficacy and safety of endoscopic resection for patients with mucosal adenocarcinoma of the esophagus. Gastroenterology 2014, 146, 652–660. [Google Scholar] [CrossRef] [PubMed]
- Pech, O.; Behrens, A.; May, A.; Nachbar, L.; Gossner, L.; Rabenstein, T.; Manner, H.; Guenter, E.; Huijsmans, J.; Vieth, M.; et al. Long-term results and risk factor analysis for recurrence after curative endoscopic therapy in 349 patients with high-grade intraepithelial neoplasia and mucosal adenocarcinoma in Barrett’s oesophagus. Gut 2008, 57, 1200–1206. [Google Scholar] [CrossRef] [PubMed]
- Yang, D.; Zou, F.; Xiong, S.; Forde, J.J.; Wang, Y.; Draganov, P.V. Endoscopic submucosal dissection for early Barrett’s neoplasia: A meta-analysis. Gastrointest. Endosc. 2018, 87, 1383–1393. [Google Scholar] [CrossRef] [PubMed]
- Han, C.; Sun, Y. Efficacy and safety of endoscopic submucosal dissection versus endoscopic mucosal resection for superficial esophageal carcinoma: A systematic review and meta-analysis. Dis. Esophagus 2021, 34, doaa081. [Google Scholar] [CrossRef] [PubMed]
- Ishihara, R.; Arima, M.; Iizuka, T.; Oyama, T.; Katada, C.; Kato, M.; Goda, K.; Goto, O.; Tanaka, K.; Yano, T.; et al. Endoscopic submucosal dissection/endoscopic mucosal resection guidelines for esophageal cancer. Dig. Endosc. 2020, 32, 452–493. [Google Scholar] [CrossRef] [PubMed]
- Cao, Y.; Liao, C.; Tan, A.; Gao, Y.; Mo, Z.; Gao, F. Meta-analysis of endoscopic submucosal dissection versus endoscopic mucosal resection for tumors of the gastrointestinal tract. Endoscopy 2009, 41, 751–757. [Google Scholar] [CrossRef] [PubMed]
- Terheggen, G.; Horn, E.M.; Vieth, M.; Gabbert, H.; Enderle, M.; Neugebauer, A.; Schumacher, B.; Neuhaus, H. A randomised trial of endoscopic submucosal dissection versus endoscopic mucosal resection for early Barrett’s neoplasia. Gut 2017, 66, 783–793. [Google Scholar] [CrossRef] [PubMed]
- Weusten, B.; Bisschops, R.; Dinis-Ribeiro, M.; di Pietro, M.; Pech, O.; Spaander, M.C.W.; Baldaque-Silva, F.; Barret, M.; Coron, E.; Fernández-Esparrach, G.; et al. Diagnosis and management of Barrett esophagus: European Society of Gastrointestinal Endoscopy (ESGE) Guideline. Endoscopy 2023, 55, 1124–1146. [Google Scholar] [CrossRef] [PubMed]
- Steinbrück, I.; Faiss, S.; Dumoulin, F.L.; Oyama, T.; Pohl, J.; von Hahn, T.; Schmidt, A.; Allgaier, H.-P. Learning curve of endoscopic submucosal dissection (ESD) with prevalence-based indication in unsupervised Western settings: A retrospective multicenter analysis. Surg. Endosc. 2023, 37, 2574–2586. [Google Scholar] [CrossRef] [PubMed]
- Tsou, Y.-K.; Chuang, W.-Y.; Liu, C.-Y.; Ohata, K.; Lin, C.-H.; Lee, M.-S.; Cheng, H.-T.; Chiu, C.-T. Learning curve for endoscopic submucosal dissection of esophageal neoplasms. Dis. Esophagus 2016, 29, 544–550. [Google Scholar] [CrossRef] [PubMed]
- Zhou, P.H.; Schumacher, B.; Yao, L.Q.; Xu, M.D.; Nordmann, T.; Cai, M.Y.; Charton, J.P.; Vieth, M.; Neuhaus, H. Conventional vs. waterjet-assisted endoscopic submucosal dissection in early gastric cancer: A randomized controlled trial. Endoscopy 2014, 46, 836–843. [Google Scholar] [CrossRef] [PubMed]
- Podboy, A.; Kolahi, K.S.; Friedland, S.; Louie, C.Y. Endoscopic submucosal dissection is associated with less pathologic uncertainty than endoscopic mucosal resection in diagnosing and staging Barrett’s-related neoplasia. Dig. Endosc. 2020, 32, 346–354. [Google Scholar] [CrossRef] [PubMed]
- Mejia Perez, L.K.; Yang, D.; Draganov, P.V.; Jawaid, S.; Chak, A.; Dumot, J.; Alaber, O.; Vargo, J.J.; Jang, S.; Mehta, N.; et al. Endoscopic submucosal dissection vs. endoscopic mucosal resection for early Barrett’s neoplasia in the West: A retrospective study. Endoscopy 2022, 54, 439–446. [Google Scholar] [CrossRef] [PubMed]


| EMR | ESD | p-Value | |
|---|---|---|---|
| Patients, n | 67 | 28 | |
| Mean age, years, mean ± SD | 64.5 ± 10.9 | 70.6 ± 9.3 | 0.012 |
| Male/female, n | 59/8 | 26/2 | 0.72 |
| ASA classification (%) | n = 67 | n = 28 | 0.47 |
| ASA score 1 | 14 (21) | 7 (25) | |
| ASA score 2 | 34 (51) | 10 (36) | |
| ASA score 3 | 18 (27) | 11 (39) | |
| ASA score 4 | 1 (1) | 0 (0) | |
| BE segment, n (%) | n = 64 | n = 25 | 0.305 |
| Short (<3 cm) | 17 (27) | 10 (40) | |
| Long (≥3 cm) | 47 (73) | 15 (60) | |
| BE length, cm, median (IQR) | n = 64 | n = 25 | |
| Circumferential length | 1 (0–6) | 1 (0–6) | 0.84 |
| Maximal length | 4.5 (2–8) | 4 (1–7) | 0.53 |
| EMR | ESD | p-Value | |
|---|---|---|---|
| Number of resections, n | 67 | 28 | |
| Mean lesion size, mm, mean ± SD | 10.6 ± 6.6 | 19.9 ± 5.2 | 0.003 |
| Lesion type | 0.085 | ||
| Polypoid | 11 | 8 | |
| Non-polypoid | 23 | 14 | |
| Irregular mucosa | 27 | 5 | |
| Unspecified | 6 | 1 | |
| Paris classification, n | n = 18 | n = 23 | 0.558 |
| Ip | 1 | 1 | |
| Is | 3 | 7 | |
| IIa | 7 | 7 | |
| IIb | 3 | 2 | |
| IIc | 2 | 4 | |
| IIa + IIb | 0 | 2 | |
| IIa + IIc | 2 | 0 | |
| Pre-ER histology, n (%) | 0.158 | ||
| LGD | 5 (8) | 1 (4) | |
| HGD | 51 (76) | 17 (60) | |
| Adenocarcinoma | |||
| Intramucosal | 8 (12) | 6 (21) | |
| Submucosal | 0 (0) | 1 (4) | |
| Suspected deeper invasion | 2 (3) | 3 (11) | |
| No dysplasia | 1 (1) | 0 | |
| Location, o’clock (%) | n = 58 | n = 27 | 0.033 |
| 0–2 | 14 (24) | 10 (37) | |
| 3–5 | 30 (52) | 10 (37) | |
| 6–8 | 12 (21) | 2 (7) | |
| 9–11 | 2 (3) | 5 (19) | |
| Vertical location, cm, median (IQR) | 1.75 (0–4) | 1.5 (0–3) | 0.53 |
| EMR | ESD | p-Value | |
|---|---|---|---|
| Number of resections, n | 67 | 28 | |
| Successful resection, n (%) | 65 (97.0) | 26 (92.9) | 0.58 |
| Canceled | 2 | 2 | |
| Duration, mean, min | 83 | 165 | <0.001 |
| Resection type, n (%) | <0.001 | ||
| En-bloc | 16 (25) | 23 (88) | |
| Piecemeal | 49 (75) | 3 (12) | |
| Mean number of pieces *, n | 3.5 | ||
| En-bloc resection rate (%) | 24.6 | 88.5 | <0.001 |
| Mean specimen size, mm, mean ± SD | |||
| Length Width | 14.9 ± 4.3 | 35.3 ± 16.9 23.8 ± 10.9 | <0.001 |
| EMR | ESD | p-Value | |
|---|---|---|---|
| Number of specimens, n | 65 | 26 | |
| Post-ER histopathology, n (%) | 0.032 | ||
| No dysplasia/other | 2 (3) | 0 (0) | 1.00 |
| LGD | 12 (18) | 2 (7) | 0.335 |
| HGD | 33 (51) | 9 (35) | 0.244 |
| Adenocarcinoma | 18 (28) | 15 (58) | |
| Intramucosal | 10 | 13 | 0.01 |
| Submucosal (sm1) | 0 | 1 | 1.00 |
| Submucosal(>sm1) | 5 | 0 | 0.316 |
| T2 or deeper | 3 | 1 | 1.00 |
| Differentiation grade, n (%) | n = 9 | n = 12 | 0.401 |
| G1 | 3 (33) | 8 (67) | |
| G2 | 4 (45) | 3 (25) | |
| G3 | 2 (22) | 1 (8) | |
| Lymphovascular invasion, n/n (%) | N/A | 2/12 (16.6) | |
| R0 resection of neoplasia, n/n (%) | 29/51 (56.8) | 18/24 (75) | 0.20 |
| Complete R0 resection of neoplasia, n/n (%) | 8/51 (16) | 15/24 (62.5) | <0.001 |
| HGD | 8/33 (24.2) | 7/9 (77.7) | |
| Adenocarcinoma | |||
| Intramucosal | 0/10 (0) | 6/12 (50) | |
| Submucosal (sm1) | 0/5 (0) | 2/2 (100) | |
| Invasive | 0/3 (0) | 0/1 (0) | |
| Curative resection of neoplasia, n/n (%) | 8/51 (16) | 13/24 (54) | <0.001 |
| HGD | 8/33 | 7/9 | |
| Adenocarcinoma | 0/18 | 6/15 | |
| Intramucosal | 0/10 | 6/12 | |
| Submucosal (sm1) | 0/5 | 0/2 | |
| Invasive | 0/3 | 0/1 |
| EMR | ESD | p-Value | |
|---|---|---|---|
| Patients, n | 67 | 28 | |
| Post-ER treatment decision, n/n (%) | 0.038 | ||
| Endoscopic FU | 50 (75) | 21 (75) | 1.00 |
| Surgery | 12 (18) | 1 (4) | 0.099 |
| Brachytherapy | 0 | 1 (4) | 0.298 |
| Radiotherapy | 2 (3) | 4 (14) | 0.062 |
| Lost to follow-up/other reason | 3 (4) | 1 (4) | 1.00 |
| Endoscopic FU | |||
| Follow-up time, months, mean ± SD | 79.8 ± 48.2 | 49.2 ± 27.4 | 0.002 |
| Follow-up time, months, median (range) | 90 (2–174) | 61 (5–91) | 0.011 |
| Complete remission at first FU, n/n (%) | 0.069 | ||
| HGD | 20/33 (61) | 7/9 (78) | 0.45 |
| Intramucosal | 0/2 | 9/10 (90) | 0.045 |
| Total | 20/35 (57) | 16/19 (84) | |
| Patients requiring AER, n (%) | 22 (44) | 3 (14) | 0.028 |
| Number of AERs, n | 0.026 | ||
| EMR | 23 | 0 | |
| ESD | 13 | 4 | |
| Total | 36 | 4 | |
| No. of AERs per patient, n | |||
| 1 | 16 | 2 | |
| 2 | 2 | 1 | |
| 3 | 1 | 0 | |
| 4 | 2 | 0 | |
| 5 | 1 | 0 | |
| Days until first AER, median, n (range) | 246 (27–1108) | 726 (282–1869) | |
| Ablation, n/n (%) | 35/50 (70) | 8/21 (38) | 0.017 |
| Other treatment (during endoscopic FU), n/n (%) | |||
| Radiotherapy | 3/50 (6) | 0/21 | |
| Surgery | 3/50 (6) | 1/21 (5) |
| EMR | ESD | |
|---|---|---|
| Resections, n | 23 | 17 |
| Mean age, years | 62.4 ± 11.4 | 70.6 ± 6.7 |
| Pre-ER histology, n (%) | ||
| HGD | 19 | 14 |
| Adenocarcinoma | ||
| Intramucosal | 3 | 1 |
| Submucosal | 0 | 0 |
| Invasive | 0 | 2 |
| No biopsy | 1 | 0 |
| Total | 23 | 17 |
| Successful resection, n (%) | 23 (100) | 17 (100) |
| Duration, mean, min | 71 | 164 |
| En-bloc resection rate (%) | 8/23 (35) | 14/17 (84) |
| Histology, n (%) | ||
| LGD | 4 | 1 |
| HGD | 14 | 10 |
| Adenocarcinoma | ||
| Intramucosal | 4 | 5 |
| No dysplasia/other | 1 | 1 |
| Complete R0 resection of neoplasia, n/n (%) | 2/18 (11) | 9/15 (61) |
| Curative resection of neoplasia, n/n (%) | 2/18 (11) | 9/15 (61) |
| EMR | ESD | |
|---|---|---|
| Patients, n | 67 | 28 |
| Complications, n (%) | ||
| Bleeding | 0 (0) | 0 |
| Perforation | 1 (1.5) | 1 (3.5) |
| Stricture | 2 (3) | 1 (3.5) |
| 30-day mortality, n (%) | 1 (1.5) | 0 (0) |
| EMR | ESD | |
|---|---|---|
| Resections, n | 90 | 45 |
| Complications, n (%) | ||
| Bleeding | 2 (2) | 0 |
| Perforation | 1 (1) | 2 (4.5) |
| Stricture | 3 (3.5) | 2 (4.5) |
| 30-day mortality | 1 (1) | 0 |
| Log-Rank Chi-Square | df | p-Value | Cox Model HR (95% CI) | p-Value | |
|---|---|---|---|---|---|
| Treatment method EMR * vs. ESD | 2.190 | 1 | 0.139 | 0.988 (0.459–2.127) | 0.975 |
| ASA classification ASA 1–2 * vs. ASA 3–4 | 12.813 | 1 | <0.001 | 2.281 (1.184–4.393) | 0.014 |
| Age ≤69 years * vs. >69 years | 16.275 | 1 | <0.001 | 2.517 (1.256–5.043) | 0.009 |
| Post-ER histopathology HGD or less * vs. T1a or worse | 3.551 | 1 | 0.059 | 1.833 (0.945–3.556) | 0.073 |
Disclaimer/Publisher’s Note: The statements, opinions and data contained in all publications are solely those of the individual author(s) and contributor(s) and not of MDPI and/or the editor(s). MDPI and/or the editor(s) disclaim responsibility for any injury to people or property resulting from any ideas, methods, instructions or products referred to in the content. |
© 2024 by the authors. Licensee MDPI, Basel, Switzerland. This article is an open access article distributed under the terms and conditions of the Creative Commons Attribution (CC BY) license (https://creativecommons.org/licenses/by/4.0/).
Share and Cite
Löfdahl, P.; Edebo, A.; Wolving, M.; Bratlie, S.O. Endoscopic Resections for Barrett’s Neoplasia: A Long-Term, Single-Center Follow-Up Study. Medicina 2024, 60, 1074. https://doi.org/10.3390/medicina60071074
Löfdahl P, Edebo A, Wolving M, Bratlie SO. Endoscopic Resections for Barrett’s Neoplasia: A Long-Term, Single-Center Follow-Up Study. Medicina. 2024; 60(7):1074. https://doi.org/10.3390/medicina60071074
Chicago/Turabian StyleLöfdahl, Per, Anders Edebo, Mats Wolving, and Svein Olav Bratlie. 2024. "Endoscopic Resections for Barrett’s Neoplasia: A Long-Term, Single-Center Follow-Up Study" Medicina 60, no. 7: 1074. https://doi.org/10.3390/medicina60071074
APA StyleLöfdahl, P., Edebo, A., Wolving, M., & Bratlie, S. O. (2024). Endoscopic Resections for Barrett’s Neoplasia: A Long-Term, Single-Center Follow-Up Study. Medicina, 60(7), 1074. https://doi.org/10.3390/medicina60071074

