The Response of the Amputee Athlete Heart to Chronic Core Exercise: A Study on Hematological and Biochemical Parameters, and N-Terminal Pro Brain Natriuretic Peptide
Abstract
1. Introduction
2. Materials and Methods
2.1. Participants
2.2. Experimental Design of Study
2.3. Core Training Program
2.4. Data Collection
2.4.1. Blood Tests
2.4.2. BMI Measurements of Participants
2.4.3. Rockport 1 Mile Walking Test
2.5. Data Analysis
3. Results
4. Discussion
5. Conclusions
Author Contributions
Funding
Institutional Review Board Statement
Informed Consent Statement
Data Availability Statement
Acknowledgments
Conflicts of Interest
References
- Simim, M.A.M.; Silva, B.V.C.; Júnior, M.M.; Mendes, E.L.; de Mello, M.T.; da Mota, G.R. Anthropometric Profile and Physical Performance Characteristic of the Brazilian Amputee Football (Soccer) Team. Motriz Rev. Educ. Fis. 2013, 19, 641–648. [Google Scholar] [CrossRef][Green Version]
- Eshraghi, A.; Safaeepour, Z.; Geil, M.D.; Andrysek, J. Walking and Balance in Children and Adolescents with Lower-Limb Amputation: A Review of Literature. Clin. Biomech. 2018, 59, 181–198. [Google Scholar] [CrossRef] [PubMed]
- Schafer, Z.A.; Perry, J.L.; Vanicek, N. A Personalised Exercise Programme for Individuals with Lower Limb Amputation Reduces Falls and Improves Gait Biomechanics: A Block Randomised Controlled Trial. Gait Posture 2018, 63, 282–289. [Google Scholar] [CrossRef] [PubMed]
- Wasser, J.G.; Vincent, K.R.; Herman, D.C.; Vincent, H.K. Potential Lower Extremity Amputation-Induced Mechanisms of Chronic Low Back Pain: Role for Focused Resistance Exercise. Disabil. Rehabil. 2020, 42, 3713–3721. [Google Scholar] [CrossRef]
- Fernández-Rodríguez, R.; Álvarez-Bueno, C.; Cavero-Redondo, I.; Torres-Costoso, A.; Pozuelo-Carrascosa, D.P.; Reina-Gutiérrez, S.; Pascual-Morena, C.; Martínez-Vizcaíno, V. Best Exercise Options for Reducing Pain and Disability in Adults with Chronic Low Back Pain: Pilates, Strength, Core-Based, and Mind-Body. A Network Meta-Analysis. J. Orthop. Sports Phys. Ther. 2022, 52, 505–521. [Google Scholar] [CrossRef] [PubMed]
- Hlaing, S.S.; Puntumetakul, R.; Khine, E.E.; Boucaut, R. Effects of Core Stabilization Exercise and Strengthening Exercise on Proprioception, Balance, Muscle Thickness and Pain Related Outcomes in Patients with Subacute Nonspecific Low Back Pain: A Randomized Controlled Trial. BMC Musculoskelet. Disord. 2021, 22, 998. [Google Scholar] [CrossRef]
- Shinkle, J.; Nesser, T.W.; Demchak, T.J.; McMannus, D.M. Effect of Core Strength on the Measure of Power in the Extremities. J. Strength Cond. Res. 2012, 26, 373–380. [Google Scholar] [CrossRef]
- Çiçek, G. The Effects of Different Exercise Types on Hematological Parameters in Sedentary Women. JETS 2018, 6, 96–101. [Google Scholar] [CrossRef]
- Afşin, A.; Bozyılan, E.; Asoğlu, R.; Hoşoğlu, Y.; Dündar, A. Effects of Regular Exercise on Inflammatory Biomarkers and Lipid Parameters in Soccer Players. J. Immunoass. Immunochem. 2021, 42, 467–477. [Google Scholar] [CrossRef]
- Li, Y.; Yao, M.; Zhou, Q.; Cheng, Y.; Che, L.; Xu, J.; Xiao, J.; Shen, Z.; Bei, Y. Dynamic Regulation of Circulating microRNAs During Acute Exercise and Long-Term Exercise Training in Basketball Athletes. Front. Physiol. 2018, 9, 282. [Google Scholar] [CrossRef]
- Karizak, S.Z.; Kashef, M.; Gaeini, A.A.; Nejatian, M. Impact of High Intensity Interval and Moderate Continuous Training on Plasma Ratios of ProBNP1-108/BNP1-32 and NT-pro-BNP1-76/BNP1-32 after Coronary Artery Bypass Grafting Surgery. Front. Physiol. 2023, 14, 1114813. [Google Scholar] [CrossRef] [PubMed]
- Zajac, A.; Poprzecki, S.; Maszczyk, A.; Czuba, M.; Michalczyk, M.; Zydek, G. The Effects of a Ketogenic Diet on Exercise Metabolism and Physical Performance in Off-Road Cyclists. Nutrients 2014, 6, 2493–2508. [Google Scholar] [CrossRef] [PubMed]
- Domin, R.; Dadej, D.; Pytka, M.; Zybek-Kocik, A.; Ruchała, M.; Guzik, P. Effect of Various Exercise Regimens on Selected Exercise-Induced Cytokines in Healthy People. Int. J. Environ. Res. Public Health 2021, 18, 1261. [Google Scholar] [CrossRef] [PubMed]
- Jiang, X.; Liu, L.; Li, H. Preliminary analysis of serum enzymes indicators in childhood amputees due to earthquake resulting trauma. Zhonghua Wei Zhong Bing Ji Jiu Yi Xue 2014, 26, 249–252. [Google Scholar] [CrossRef] [PubMed]
- Bakaeen, F.G.; Chu, D.; Chi, C.; Lin, P.H.; Kougias, P.; Hawes, L.; LeMaire, S.A.; Coselli, J.S.; Huh, J. Cardiac Surgery in Patients with Major Lower Extremity Amputation: A Single Institution Experience. J. Surg. Res. 2009, 156, 161–166. [Google Scholar] [CrossRef]
- Gailey, R.S.; Wenger, M.A.; Raya, M.; Kirk, N.; Erbs, K.; Spyropoulos, P.; Nash, M.S. Energy Expenditure of Trans-Tibial Amputees during Ambulation at Self-Selected Pace. Prosthet. Orthot. Int. 1994, 18, 84–91. [Google Scholar] [CrossRef]
- Scharhag, J.; Herrmann, M.; Urhausen, A.; Haschke, M.; Herrmann, W.; Kindermann, W. Independent Elevations of N-Terminal pro–Brain Natriuretic Peptide and Cardiac Troponins in Endurance Athletes after Prolonged Strenuous Exercise. Am. Heart J. 2005, 150, 1128–1134. [Google Scholar] [CrossRef] [PubMed]
- Legaz-Arrese, A.; George, K.; Carranza-García, L.E.; Munguía-Izquierdo, D.; Moros-García, T.; Serrano-Ostáriz, E. The Impact of Exercise Intensity on the Release of Cardiac Biomarkers in Marathon Runners. Eur. J. Appl. Physiol. 2011, 111, 2961–2967. [Google Scholar] [CrossRef]
- Vilela, E.M.; Rita, B.-S.; Nunes, J.P.L.; Ribeiro, V.G. BNP and NT-proBNP Elevation after Running—A Systematic Review. Acta Cardiol. 2015, 70, 501–509. [Google Scholar] [CrossRef]
- Huang, Y.-C.; Chang, H.-H.; Chen, P.-L.; Chu, C.-M.; Tsai, J.-C.; Wang, K.-Y. Correlation of N-Terminal-pro-Brain Natriuretic Peptide with Postoperative Outcomes of Older Patients Undergoing Transcatheter Aortic Valve Replacement. J. Chin. Med. Assoc. 2023, 86, 479–484. [Google Scholar] [CrossRef]
- Cruz, C.P.; Eidt, J.F.; Capps, C.; Kirtley, L.; Moursi, M.M. Major Lower Extremity Amputations at a Veterans Affairs Hospital. Am. J. Surg. 2003, 186, 449–454. [Google Scholar] [CrossRef]
- Kurtoğlu, A.; Kurtoğlu, E.; Konar, N.; Çar, B.; Eken, Ö.; Prieto-González, P.; Nobari, H. Comparison of Echocardiographic Parameters of Amputee Football Players with Active Football Players and Sedentary Individuals. BMC Sports Sci. Med. Rehabil. 2023, 15, 41. [Google Scholar] [CrossRef] [PubMed]
- Karvonen, M.J.; Kentala, E.; Mustala, O. The effects of training on heart rate; a longitudinal study. Ann. Med. Exp. Biol. Fenn. 1957, 35, 307–315. [Google Scholar] [PubMed]
- Durkin, J.L.; Dowling, J.J.; Andrews, D.M. The Measurement of Body Segment Inertial Parameters Using Dual Energy X-Ray Absorptiometry. J. Biomech. 2002, 35, 1575–1580. [Google Scholar] [CrossRef] [PubMed]
- Frost, A.P.; Norman Giest, T.; Ruta, A.A.; Snow, T.K.; Millard-Stafford, M. Limitations of Body Mass Index for Counseling Individuals with Unilateral Lower Extremity Amputation. Prosthet. Orthot. Int. 2017, 41, 186–193. [Google Scholar] [CrossRef] [PubMed]
- Kim, K.; Lee, H.-Y.; Lee, D.-Y.; Nam, C.-W. Changes in Cardiopulmonary Function in Normal Adults after the Rockport 1 Mile Walking Test: A Preliminary Study. J. Phys. Ther. Sci. 2015, 27, 2559–2561. [Google Scholar] [CrossRef] [PubMed]
- Seneli, R.M.; Ebersole, K.T.; O’Connor, K.M.; Snyder, A.C. Estimated VO2max From the Rockport Walk Test on a Nonmotorized Curved Treadmill. J. Strength Cond. Res. 2013, 27, 3495–3505. [Google Scholar] [CrossRef]
- Cohen, J. Statistical Power Analysis for the Behaviooural Sciences, 2nd ed.; Lawrence Erlbaum Associates: Mahwah, NJ, USA, 1988. [Google Scholar]
- Wardyn, G.G.; Rennard, S.I.; Brusnahan, S.K.; McGuire, T.R.; Carlson, M.L.; Smith, L.M.; McGranaghan, S.; Sharp, J.G. Effects of Exercise on Hematological Parameters, Circulating Side Population Cells, and Cytokines. Exp. Hematol. 2008, 36, 216–223. [Google Scholar] [CrossRef]
- Belviranli, M.; Okudan, N.; Kabak, B. The Effects of Acute High-Intensity Interval Training on Hematological Parameters in Sedentary Subjects. Med. Sci. 2017, 5, 15. [Google Scholar] [CrossRef]
- Bashafaat, H.; Afzalpour, M.I.; Falahi, A.A.; Nazifi, S.; Ilbeigi, S. The effects of acute interval cycling and blood flow restriction on hematologic factors of beginner cyclists. Turk. J. Sports Exerc. 2017, 19, 70–76. [Google Scholar]
- Azarbayjani, M.A.; Fathi, R.; Daloii, A.A.; Abdi, A.; Fatolahi, H. Acute Hematological Profile Response to One Session of Aerobic and Anaerobic Exercise among Young Male Kickboxers. Turk. J. Phys. Med. Rehab. 2014, 60, 92–97. [Google Scholar] [CrossRef]
- Atan, T.; Alacam, H. The Effects of Acute Aerobic and Anaerobic Exercise on Blood Parameters. Anthropologist 2015, 19, 87–93. [Google Scholar] [CrossRef]
- Rose, R.J.; Allen, J.R. Hematologic Responses to Exercise and Training. Vet. Clin. N. Am. Equine. Pract. 1985, 1, 461–476. [Google Scholar] [CrossRef] [PubMed]
- Bobeuf, F.; Labonté, M.; Khalil, A.; Dionne, I.J. Effect of Resistance Training on Hematological Blood Markers in Older Men and Women: A Pilot Study. Curr. Gerontol. Geriatr. Res. 2009, 2009, 156820. [Google Scholar] [CrossRef] [PubMed]
- Edwards, H.; Jones, H.; Moseley, J.; Marshall, T.; El-Khamisy, S.F.; Aung, M.N.; Farrow, M. Nutritional Supplementation for the Prevention of Muscle Atrophy in Older People. Nutr. Today 2023, 58, 105–118. [Google Scholar] [CrossRef]
- Kato, A. Muscle Wasting Is Associated with Reduced Exercise Capacity and Advanced Disease in Patients with Chronic Heart Failure. Future Cardiol. 2013, 9, 767–770. [Google Scholar] [CrossRef]
- Stamler, J.S.; Jia, L.; Eu, J.P.; McMahon, T.J.; Demchenko, I.T.; Bonaventura, J.; Gernert, K.; Piantadosi, C.A. Blood Flow Regulation by S -Nitrosohemoglobin in the Physiological Oxygen Gradient. Science 1997, 276, 2034–2037. [Google Scholar] [CrossRef]
- Mechrefe, A.; Wexler, B.; Feller, E. Sports anemia and gastrointestinal bleeding in endurance athletes. Med. Health Rhode Isl. 1997, 80, 216–218. [Google Scholar] [PubMed]
- Radomski, M.W.; Sabiston, B.H.; Isoard, P. Development of “sports anemia” in physically fit men after daily sustained submaximal exercise. Aviat. Space Environ. Med. 1980, 51, 41–45. [Google Scholar] [PubMed]
- Aucouturier, J.; Baker, J.S.; Duché, P. Fat and Carbohydrate Metabolism during Submaximal Exercise in Children. Sports Med. 2008, 38, 213–238. [Google Scholar] [CrossRef]
- Gordon, B.; Chen, S.; Durstine, J.L. The Effects of Exercise Training on the Traditional Lipid Profile and Beyond. Curr. Sports Med. Rep. 2014, 13, 253–259. [Google Scholar] [CrossRef] [PubMed]
- Halbert, J.; Silagy, C.; Finucane, P.; Withers, R.; Hamdorf, P. Exercise Training and Blood Lipids in Hyperlipidemic and Normolipidemic Adults: A Meta-Analysis of Randomized, Controlled Trials. Eur. J. Clin. Nutr. 1999, 53, 514–522. [Google Scholar] [CrossRef]
- Kokkinos, P.F.; Fernhall, B. Physical Activity and High Density Lipoprotein Cholesterol Levels: What Is the Relationship? Sports Med. 1999, 28, 307–314. [Google Scholar] [CrossRef]
- Décombaz, J.; Arnaud, M.-J.; Milon, H.; Moesch, H.; Philippossian, G.; Thélin, A.-L.; Howald, H. Energy Metabolism of Medium-Chain Triglycerides versus Carbohydrates during Exercise. Eur. J. Appl. Physiol. 1983, 52, 9–14. [Google Scholar] [CrossRef]
- Sofi, F.; Capalbo, A.; Cesari, F.; Abbate, R.; Gensini, G.F. Physical Activity during Leisure Time and Primary Prevention of Coronary Heart Disease: An Updated Meta-Analysis of Cohort Studies. Eur. J. Cardiovasc. Prev. Rehabil. 2008, 15, 247–257. [Google Scholar] [CrossRef]
- Benda, N.M.; Hopman, M.T.; Van Dijk, A.P.; Oxborough, D.; George, K.P.; Thijssen, D.H.; Eijsvogels, T.M. Impact of Prolonged Walking Exercise on Cardiac Structure and Function in Cardiac Patients versus Healthy Controls. Eur. J. Prev. Cardiol. 2016, 23, 1252–1260. [Google Scholar] [CrossRef] [PubMed]
- Euzebio, M.B.; Vitorino, P.V.D.O.; Sousa, W.M.; Melo, M.A.; Costa, S.H.N.; Sousa, A.L.L.; Jardim, T.D.S.V.; Arantes, A.C.; Jardim, P.C.B.V.; Barroso, W.K.S. Diastolic Function and Biomarkers of Long-Distance Walking Participants. Arq. Bras. Cardiol. 2020, 115, 620–627. [Google Scholar] [CrossRef] [PubMed]
- George, K.P.; Dawson, E.; Shave, R.E.; Whyte, G.; Jones, M.; Hare, E.; Gaze, D.; Collinson, P. Left Ventricular Systolic Function and Diastolic Filling after Intermittent High Intensity Team Sports. Br. J. Sports Med. 2004, 38, 452–456. [Google Scholar] [CrossRef][Green Version]
- Apple, F.S.; Rogers, M.A.; Casal, D.C.; Sherman, W.M.; Ivy, J.L. Creatine Kinase-MB Isoenzyme Adaptations in Stressed Human Skeletal Muscle of Marathon Runners. J. Appl. Physiol. 1985, 59, 149–153. [Google Scholar] [CrossRef] [PubMed]
- Ohba, H.; Takada, H.; Musha, H.; Nagashima, J.; Mori, N.; Awaya, T.; Omiya, K.; Murayama, M. Effects of Prolonged Strenuous Exercise on Plasma Levels of Atrial Natriuretic Peptide and Brain Natriuretic Peptide in Healthy Men. Am. Heart J. 2001, 141, 751–758. [Google Scholar] [CrossRef]
- Aoi, W.; Naito, Y.; Sakuma, K.; Kuchide, M.; Tokuda, H.; Maoka, T.; Toyokuni, S.; Oka, S.; Yasuhara, M.; Yoshikawa, T. Astaxanthin Limits Exercise-Induced Skeletal and Cardiac Muscle Damage in Mice. Antioxid. Redox Signal 2003, 5, 139–144. [Google Scholar] [CrossRef] [PubMed]
- Koch, A.J.; Pereira, R.; Machado, M. The creatine kinase response to resistance exercise. J. Musculoskelet. Neuronal. Interact. 2014, 14, 68–77. [Google Scholar] [PubMed]
- Brown, S.; Day, S.; Donnelly, A. Indirect Evidence of Human Skeletal Muscle Damage and Collagen Breakdown after Eccentric Muscle Actions. J. Sports Sci. 1999, 17, 397–402. [Google Scholar] [CrossRef] [PubMed]
- Schumann, M.; Walker, S.; Izquierdo, M.; Newton, R.U.; Kraemer, W.J.; Häkkinen, K. The Order Effect of Combined Endurance and Strength Loadings on Force and Hormone Responses: Effects of Prolonged Training. Eur. J. Appl. Physiol. 2014, 114, 867–880. [Google Scholar] [CrossRef] [PubMed][Green Version]
- Chtara, M. Effects of Intra-Session Concurrent Endurance and Strength Training Sequence on Aerobic Performance and Capacity. Br. J. Sports Med. 2005, 39, 555–560. [Google Scholar] [CrossRef] [PubMed]
- Brancaccio, P.; Maffulli, N.; Limongelli, F.M. Creatine Kinase Monitoring in Sport Medicine. Br. Med. Bull. 2007, 81–82, 209–230. [Google Scholar] [CrossRef]
- Petriz, B.A.; Gomes, C.P.C.; Almeida, J.A.; de Oliveira, G.P.; Ribeiro, F.M.; Pereira, R.W.; Franco, O.L. The Effects of Acute and Chronic Exercise on Skeletal Muscle Proteome. J. Cell. Physiol. 2017, 232, 257–269. [Google Scholar] [CrossRef]





| Parameter | CEG (n = 6) x ± SD | CG (n = 5) x ± SD | p |
|---|---|---|---|
| Age (year) | 23.8 ± 4.2 | 28.3 ± 6.6 | 0.196 |
| Height (cm) | 174.4 ± 11.5 | 175.1 ± 9.6 | 0.907 |
| Weight (kg) | 60.6 ± 5.7 | 72.8 ± 16 | 0.161 |
| BMI (kg/m2) | 20.2 ± 3.9 | 23.5 ± 4.1 | 0.211 |
| Weeks | 1. Day | 2. Day | 3. Day |
|---|---|---|---|
| 1. Week | Bicycle Crunch (10 × 3 sets) Reverse Crunch (10 × 3 sets) Bird Dog (10 × 3 sets) Reverse Pendulum (10 × 3 sets) | Prone Plank (3 × 15 s) Stability Ball Plank (3 × 15 s) Right Side Bridge (3 × 15 s) Left Side Bridge (3 × 15 s) Back Plank (3 × 15 s) | Russian Twist (10 × 3 sets) Flutter Kick (10 × 3 sets) Side Double-Leg Lift (10 × 3 sets) Swimmer (10 × 3 sets) |
| 2. Week | Superman (15 × 3 sets) Leg Lower (15 × 3 sets) Side to Side Twist (15 × 3 sets) Dumbbell Side Bend (15 × 3 sets) | Ball Rotating Crunch (3 × 20 s) Ball Supine Bridge (3 × 20 s) Ball Hyperextension (3 × 20 s) Ball Crunch (3 × 20 s) | Sit-Up (15 × 3 sets) Right Side Lateral Raise (15 × 3 sets) Left Side Lateral Raise (15 × 3 sets) Press-up (15 × 3 sets) |
| 3. Week | Open-Book Rib Cage (15 × 3 sets) Hanging Knee Raise (15 × 3 sets) Three Way Hanging Knee Raise (15 × 3 sets) Static Back Extension (15 × 3 sets) | Superman With Medicine Ball (3 × 20 s) Diagonal Medicine Ball Chop (15 × 3 sets) Medicine Ball Pullover Pass (15 × 3 sets) Medicine Ball Overhead Throw (15 × 3 sets) | Plate V-Up (15 × 3 sets) Jackknife (15 × 3 sets) Sit-Up (15 × 3 sets) Back Extension (15 × 3 sets) |
| 4. Week | Assisted Squat (10 × 3 sets) Side to Side Twist (20 × 3 sets) Push-Up (10 × 3 sets) Slide-Board Thrust (15 × 3 sets) | Waiting Back Extension (3 × 30 s) Waiting Toe Tabs (3 × 30 s) Waiting Leg Lower (3 × 30 s) Waiting Leg Lower with Seated Rotation (3 × 30 s) | Vertical Leg Crunch (20 × 3 sets) Vertical Leg Rotation (20 × 3 sets) Dumbbell Side Bend (20 × 3 sets) Glute Ham Raise (20 × 3 sets) |
| 5. Week | Bicycle Crunch (20 × 3 sets) Reverse Crunch (20 × 3 sets) Bird Dog (20 × 3 sets) Reverse Pendulum (20 × 3 sets) | Prone Plank (3 × 30 s) Stability Ball Plank (3 × 30 s) Right Side Bridge (3 × 30 s) Left Side Bridge (3 × 30 s) Back Plank (3 × 30 s) | Russian Twist (20 × 3 sets) Flutter Kick (20 × 3 sets) Side Double-Leg Lift (20 × 3 sets) Swimmer (20 × 3 sets) |
| 6. Week | Superman (20 × 3 sets) Leg Lower (20 × 3 sets) Side to Side Twist (20 × 3 sets) Dumbbell Side Bend (20 × 3 sets) | Ball Rotating Crunch (3 × 30 s) Ball Supine Bridge (3 × 30 s) Ball Hyperextension (3 × 30 s) Ball Crunch (3 × 30 s) Ball Plank (3 × 30 s) | Sit-Up (20 × 3 sets) Right Side Lateral Raise (20 × 3 sets) Left Side Lateral Raise (20 × 3 sets) Press-up (20 × 3 sets) |
| 7. Week | Open-Book Rib Cage (20 × 3 sets) Hanging Knee Raise (20 × 3 sets) Three Way Hanging Knee Raise (20 × 3 sets) Static Back Extension (20 × 3 sets) | Superman With Medicine Ball (3 × 30 s) Diagonal Medicine Ball Chop (20 × 3 sets) Medicine Ball Pullover Pass (20 × 3 sets) Medicine Ball Overhead Throw (20 × 3 sets) | Plate V-Up (20 × 3 sets) Jackknife (20 × 3 sets) Sit-Up (20 × 3 sets) Back Extension (20 × 3 sets) |
| 8. Week | Assisted Squat (15 × 3 sets) Side to Side Twist (25 × 3 sets) Push-Up (15 × 3 sets) Slide-Board Thrust (20 × 3 sets) | Waiting Back Extension (3 × 40 s) Waiting Toe Tabs (3 × 40 s) Waiting Leg Lower (3 × 40 s) Waiting Leg Lower with Seated Rotation (3 × 40 s) | Vertical Leg Crunch (25 × 3 sets) Vertical Leg Rotation (25 × 3 sets) Dumbbell Side Bend (25 × 3 sets) Glute Ham Raise (25 × 3 sets) |
| Parameters | Group | Pre-Core Exercise | Post-Core Exercise | Z | p | Time Interaction ηp2/F/p | Group × Time Interaction ηp2/F/p |
|---|---|---|---|---|---|---|---|
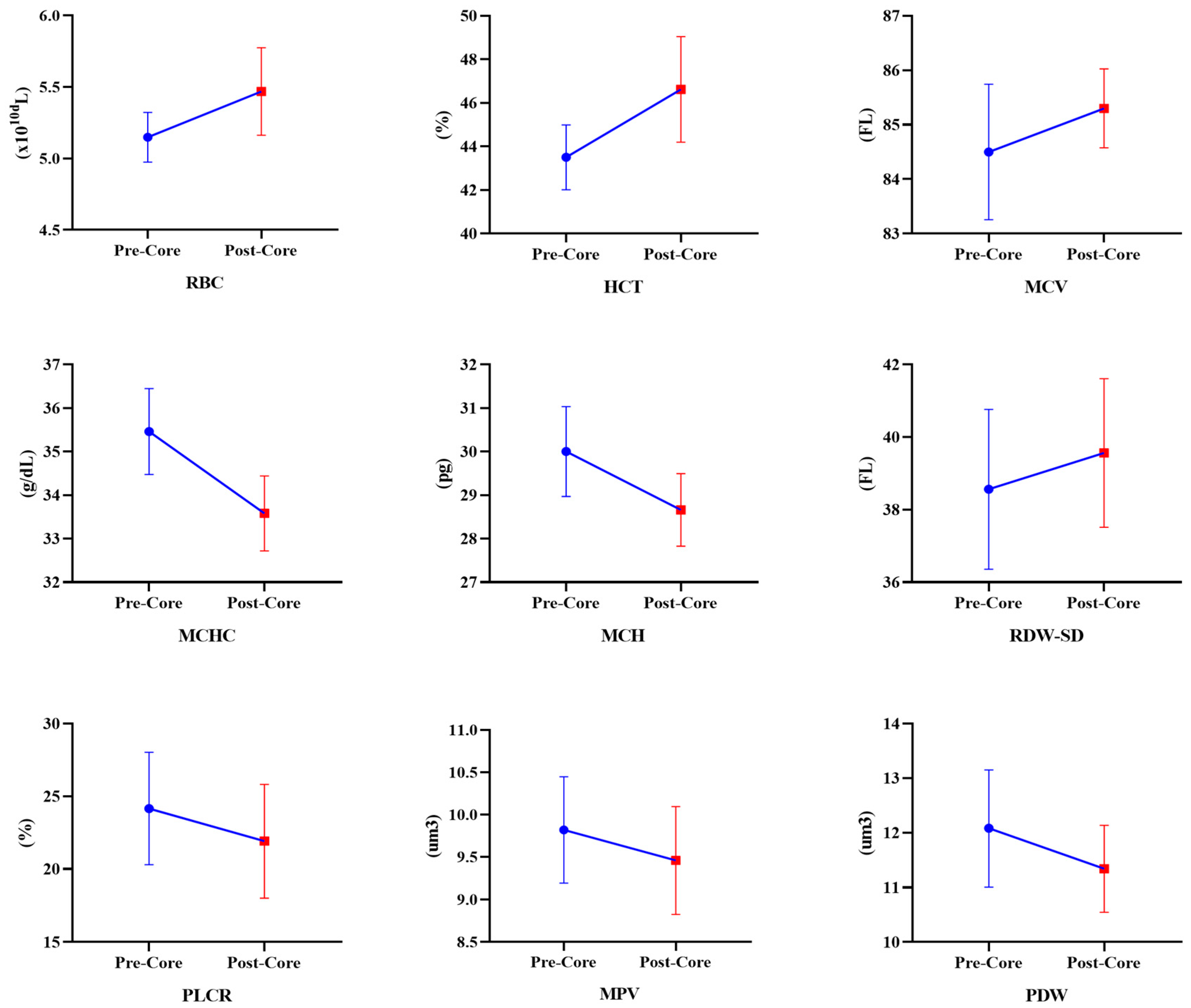
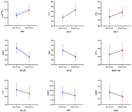
| WBC (×107 L) | CEG CG | 7.6 ± 2.0 8.9 ± 2.7 | 7.7 ± 1.5 7.7 ± 1.3 | −0.314 −1.214 | 0.753 0.225 | 0.04 0.437 0.525 | 0.05 0.474 0.509 |
| RBC (×1010 dL) | CEG CG | 5.4 ± 0.3 5.1 ± 0.1 | 5.6 ± 0.4 5.4 ± 0.3 | −2.201 −2.023 | 0.028 0.043 | 0.78 33.714 <0.001 | 0.02 0.193 0.671 |
| HGB (g/dL) | CEG CG | 15.8 ± 0.6 15.4 ± 0.9 | 15.9 ± 0.8 15.6 ± 1.1 | −0.944 −0.405 | 0.345 0.686 | 0.14 1.479 0.255 | 0.00 0.048 0.831 |
| HCT (%) | CEG CG | 45.4 ± 1.8 43.5 ± 1.4 | 47.8 ± 2.1 46.6 ± 2.4 | −2.201 −2.032 | 0.028 0.042 | 0.80 36.569 <0.001 | 0.07 0.725 0.417 |
| MCV (FL) | CEG CG | 84.3 ± 3.7 78.5 ± 14.1 | 84.4 ± 4.5 85.0 ± 0.7 | −0.949 −2.023 | 0.343 0.043 | 0.07 0.748 0.410 | 0.04 0.452 0.518 |
| MCHC (g/dL) | CEG CG | 34.7 ± 0.5 35.4 ± 0.9 | 33.4 ± 0.7 33.5 ± 0.8 | −2.207 −2.023 | 0.027 0.043 | 0.94 166.594 <0.001 | 0.34 4.822 0.056 |
| MCH (pg) | CEG CG | 29.3 ± 1.52 30.0 ± 1.0 | 28.2 ± 1.7 28.6 ± 0.8 | −2.226 −2.023 | 0.026 0.043 | 0.88 68.571 <0.001 | 0.05 0.567 0.471 |
| PLT (×107 dL) | CEG CG | 210.3 ± 61.8 239.2 ± 70.1 | 223.5 ± 69.5 233.2 ± 65.3 | −0.943 −0.944 | 0.345 0.345 | 0.02 0.223 0.648 | 0.15 1.596 0.238 |
| RDW-SD (FL) | CEG CG | 40.1 ± 2.8 38.5 ± 2.2 | 40.0 ± 3.0 39.5 ± 2.0 | −0.943 −2.023 | 0.345 0.043 | 0.02 1.188 0.644 | 0.04 1.552 0.599 |
| RDW-CV (%) | CEG CG | 13.3 ± 0.7 12.8 ± 0.8 | 13.1 ± 0.7 12.9 ± 0.7 | −0.946 −0.962 | 0.344 0.336 | 0.00 0.009 0.854 | 0.06 0.140 0.468 |
| PLCR (%) | CEG CG | 24.6 ± 6.2 24.6 ± 6.2 | 23.1 ± 7.4 21.9 ± 3.8 | −1.363 −2.023 | 0.173 0.043 | 0.45 7.628 0.022 | 0.02 0.239 0.637 |
| MPV (μm3) | CEG CG | 9.9 ± 0.9 9.8 ± 0.6 | 9.7 ± 1.2 9.4 ± 0.6 | −0.944 −2.032 | 0.345 0.042 | 0.39 5.829 0.039 | 0.03 0.360 0.563 |
| PDW (μm3) | CEG CG | 12.2 ± 2.0 12.0 ± 1.0 | 11.5 ± 2.0 11.3 ± 0.7 | −1.472 −2.023 | 0.141 0.043 | 0.52 9.983 0.012 | 0.00 0.027 0.873 |
| PCT (%) | CEG CG | 0.2 ± 0.0 0.2 ± 0.0 | 0.2 ± 0.0 0.2 ± 0.0 | −0.863 −0.962 | 0.388 0.336 | 0.00 0.057 0.816 | 0.16 1.761 0.217 |
| Parameters | Group | Pre-Core Exercise | Post-Core Exercise | Z | p | Time Interaction ηp2/F/p | Group × Time Interaction ηp2/F/p |
|---|---|---|---|---|---|---|---|
| TG (mg/dL) | CEG CG | 109.7 ± 56.4 184.1 ± 72.3 | 161.5 ± 84.4 108.3 ± 45.8 | −1.992 −2.023 | 0.046 0.043 | 0.06 0.574 0.468 | 0.64 16.212 0.003 |
| HDL (mg/dL) | CEG CG | 49.4 ± 17.8 46.3 ± 10.0 | 51.6 ± 22.9 50.9 ± 11.1 | −0.736 −2.023 | 0.462 0.043 | 0.41 6.383 0.032 | 0.08 0.817 0.390 |
| LDL (mg/dL) | CEG CG | 67.1 ± 19.1 60.0 ± 26.3 | 72.0 ± 23.6 78.8 ± 15.0 | −1.153 −2.023 | 0.249 0.043 | 0.57 12.289 0.007 | 0.32 4.292 0.068 |
| CK (IU/L) | CEG CG | 361.5 ± 161.5 232.0 ± 151.2 | 368.6 ± 229.6 168.8 ± 56.7 | −0.105 −0.674 | 0.917 0.500 | 0.01 0.105 0.753 | 0.01 0.166 0.693 |
| CK-MB (IU/L) | CEG CG | 16.9 ± 9.2 13.9 ± 3.6 | 13.5 ± 6.0 11.5 ± 3.9 | −1.153 −1.214 | 0.249 0.225 | 0.33 4.518 0.062 | 0.01 0.160 0.752 |
| LDH (IU/L) | CEG CG | 170.3 ± 26.5 165.0 ± 5.5 | 177.0 ± 15.9 170.8 ± 22.1 | −1.153 −0.405 | 0.249 0.686 | 0.12 1.228 0.297 | 0.00 0.006 0.940 |
| MaxVO2 | CEG CG | 14.7 ± 4.8 14.7 ± 7.3 | 21.1 ± 8.1 19.8 ± 6.7 | −2.201 −2.023 | 0.028 0.043 | 0.70 21.413 0.001 | 0.02 0.253 0.627 |
| NT-pro-BNP (ng/L) | CEG CG | 537.0 ± 208.3 749.5 ± 483.3 | 549.4 ± 199.3 733.3 ± 459.0 | −0.734 −0.135 | 0.463 0.893 | 0.00 0.004 0.951 | 0.02 0.230 0.643 |
Disclaimer/Publisher’s Note: The statements, opinions and data contained in all publications are solely those of the individual author(s) and contributor(s) and not of MDPI and/or the editor(s). MDPI and/or the editor(s) disclaim responsibility for any injury to people or property resulting from any ideas, methods, instructions or products referred to in the content. |
© 2024 by the authors. Licensee MDPI, Basel, Switzerland. This article is an open access article distributed under the terms and conditions of the Creative Commons Attribution (CC BY) license (https://creativecommons.org/licenses/by/4.0/).
Share and Cite
Kurtoğlu, A.; Konar, N.; Akçınar, F.; Alotaibi, M.H.; Elkholi, S.M. The Response of the Amputee Athlete Heart to Chronic Core Exercise: A Study on Hematological and Biochemical Parameters, and N-Terminal Pro Brain Natriuretic Peptide. Medicina 2024, 60, 784. https://doi.org/10.3390/medicina60050784
Kurtoğlu A, Konar N, Akçınar F, Alotaibi MH, Elkholi SM. The Response of the Amputee Athlete Heart to Chronic Core Exercise: A Study on Hematological and Biochemical Parameters, and N-Terminal Pro Brain Natriuretic Peptide. Medicina. 2024; 60(5):784. https://doi.org/10.3390/medicina60050784
Chicago/Turabian StyleKurtoğlu, Ahmet, Nurettin Konar, Faruk Akçınar, Madawi H. Alotaibi, and Safaa M. Elkholi. 2024. "The Response of the Amputee Athlete Heart to Chronic Core Exercise: A Study on Hematological and Biochemical Parameters, and N-Terminal Pro Brain Natriuretic Peptide" Medicina 60, no. 5: 784. https://doi.org/10.3390/medicina60050784
APA StyleKurtoğlu, A., Konar, N., Akçınar, F., Alotaibi, M. H., & Elkholi, S. M. (2024). The Response of the Amputee Athlete Heart to Chronic Core Exercise: A Study on Hematological and Biochemical Parameters, and N-Terminal Pro Brain Natriuretic Peptide. Medicina, 60(5), 784. https://doi.org/10.3390/medicina60050784

