Neutrophil–Creatinine Index: A New Prognostic Factor for Severity of Acute Pancreatitis
Abstract
1. Introduction
2. Materials and Methods
2.1. Study Design
- NCI = neutrophil count (×103/μL) × creatinine (mg/dL)
2.2. Statistical Analysis
3. Results
3.1. Baseline Characteristics of the Study Population
3.2. Comparison of Laboratory Parameters Related to AP Severity According to BISAP
3.2.1. Laboratory Parameters to Distinguish Mild AP from Severe AP
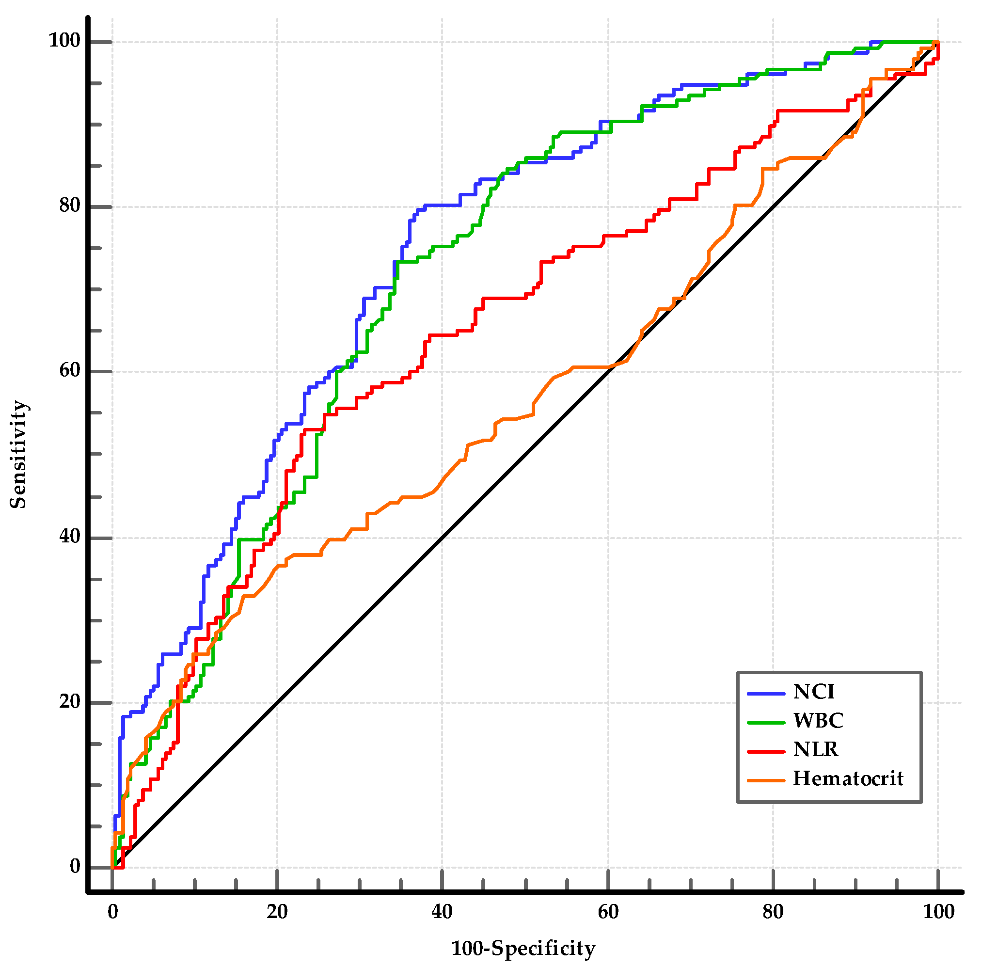
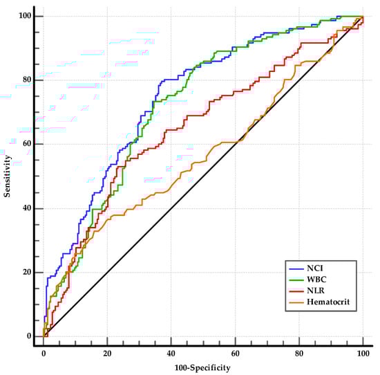
3.2.2. Prognostic Accuracy of NCI and Other Laboratory Parameters
3.3. Comparison of Laboratory Parameters Related to AP Severity According to the Revised Atlanta Classification Subgroups
3.3.1. Laboratory Parameters for Distinguishing AP Subgroups
3.3.2. Prognostic Accuracy of NCI and Other Laboratory Parameters to Distinguish MSAP from MAP
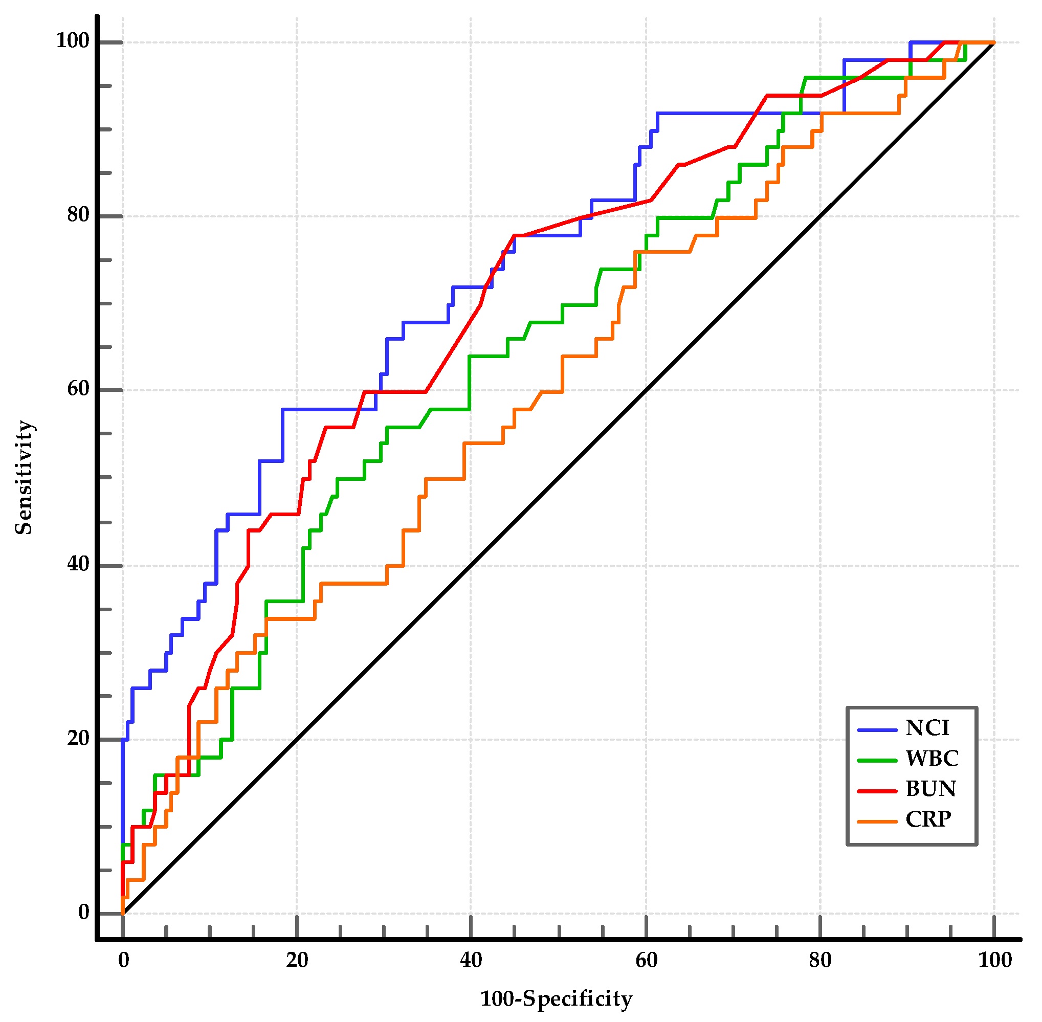
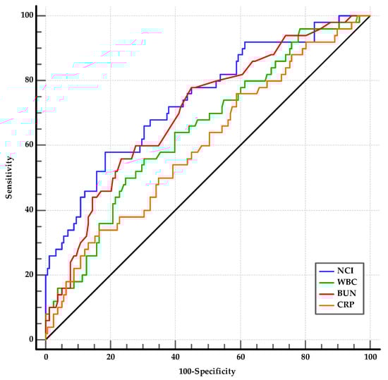
3.3.3. Prognostic Accuracy of NCI and Other Laboratory Parameters to Distinguish SAP from MSAP
4. Discussion
5. Conclusions
Funding
Institutional Review Board Statement
Informed Consent Statement
Data Availability Statement
Conflicts of Interest
References
- Tonsi, A.F.; Bacchion, M.; Crippa, S.; Malleo, G.; Bassi, C. Acute pancreatitis at the beginning of the 21st century: The state of the art. World J. Gastroenterol. 2009, 15, 2945–2959. [Google Scholar] [CrossRef] [PubMed]
- Banks, P.A.; Bollen, T.L.; Dervenis, C.; Gooszen, H.G.; Johnson, C.D.; Sarr, M.G.; Tsiotos, G.G.; Vege, S.S.; Acute Pancreatitis Classification Working Group. Classification of acute pancreatitis—2012: Revision of the Atlanta classification and definitions by international consensus. Gut 2013, 62, 102–111. [Google Scholar] [CrossRef] [PubMed]
- Di, M.Y.; Liu, H.; Yang, Z.Y.; Bonis, P.A.; Tang, J.L.; Lau, J. Prediction Models of Mortality in Acute Pancreatitis in Adults: A Systematic Review. Ann. Intern. Med. 2016, 165, 482–490. [Google Scholar] [CrossRef] [PubMed]
- Bradley, E.L., 3rd. Predicting Clinical Severity in Acute Pancreatitis: Addressing the Admission Dilemma. Pancreas 2022, 51, 114–116. [Google Scholar] [CrossRef]
- Kuo, D.C.; Rider, A.C.; Estrada, P.; Kim, D.; Pillow, M.T. Acute Pancreatitis: What’s the Score? J. Emerg. Med. 2015, 48, 762–770. [Google Scholar] [CrossRef] [PubMed]
- Mounzer, R.; Langmead, C.J.; Wu, B.U.; Evans, A.C.; Bishehsari, F.; Muddana, V.; Singh, V.K.; Slivka, A.; Whitcomb, D.C.; Yadav, D.; et al. Comparison of existing clinical scoring systems to predict persistent organ failure in patients with acute pancreatitis. Gastroenterology 2012, 142, 1476–1482. [Google Scholar] [CrossRef]
- Silva-Vaz, P.; Abrantes, A.M.; Castelo-Branco, M.; Gouveia, A.; Botelho, M.F.; Tralhao, J.G. Multifactorial Scores and Biomarkers of Prognosis of Acute Pancreatitis: Applications to Research and Practice. Int. J. Mol. Sci. 2020, 21, 338. [Google Scholar] [CrossRef] [PubMed]
- Wu, B.U.; Johannes, R.S.; Sun, X.; Tabak, Y.; Conwell, D.L.; Banks, P.A. The early prediction of mortality in acute pancreatitis: A large population-based study. Gut 2008, 57, 1698–1703. [Google Scholar] [CrossRef] [PubMed]
- Windsor, J.A. Search for prognostic markers for acute pancreatitis. Lancet 2000, 355, 1924–1925. [Google Scholar] [CrossRef]
- Sui, Y.; Zhao, Z.; Zhang, Y.; Zhang, T.; Li, G.; Liu, L.; Tan, H.; Sun, B.; Li, L. Fibrinogen-like Protein 1 as a Predictive Marker for the Incidence of Severe Acute Pancreatitis and Infectious Pancreatic Necrosis. Medicina 2022, 58, 1753. [Google Scholar] [CrossRef]
- Habtezion, A. Inflammation in acute and chronic pancreatitis. Curr. Opin. Gastroenterol. 2015, 31, 395–399. [Google Scholar] [CrossRef] [PubMed]
- Yang, Z.W.; Meng, X.X.; Xu, P. Central role of neutrophil in the pathogenesis of severe acute pancreatitis. J. Cell. Mol. Med. 2015, 19, 2513–2520. [Google Scholar] [CrossRef] [PubMed]
- Wan, J.; Ren, Y.; Yang, X.; Li, X.; Xia, L.; Lu, N. The Role of Neutrophils and Neutrophil Extracellular Traps in Acute Pancreatitis. Front. Cell. Dev. Biol. 2020, 8, 565758. [Google Scholar] [CrossRef]
- Silva-Vaz, P.; Abrantes, A.M.; Morgado-Nunes, S.; Castelo-Branco, M.; Gouveia, A.; Botelho, M.F.; Tralhao, J.G. Evaluation of Prognostic Factors of Severity in Acute Biliary Pancreatitis. Int. J. Mol. Sci. 2020, 21, 4300. [Google Scholar] [CrossRef] [PubMed]
- Chen, X.; Ning, J.; Li, Q.; Kuang, W.; Jiang, H.; Qin, S. Prediction of acute pancreatitis complications using routine blood parameters during early admission. Immun. Inflamm. Dis. 2022, 10, e747. [Google Scholar] [CrossRef] [PubMed]
- Junare, P.R.; Debnath, P.; Nair, S.; Chandnani, S.; Udgirkar, S.; Thange, R.; Jain, S.; Deshmukh, R.; Debnath, P.; Rathi, P.; et al. Complete hemogram: Simple and cost-effective in staging and predicting outcome in acute pancreatitis. Wien Klin. Wochenschr. 2021, 133, 661–668. [Google Scholar] [CrossRef] [PubMed]
- Liu, G.; Tao, J.; Zhu, Z.; Wang, W. The early prognostic value of inflammatory markers in patients with acute pancreatitis. Clin. Res. Hepatol. Gastroenterol. 2019, 43, 330–337. [Google Scholar] [CrossRef] [PubMed]
- Kong, W.; He, Y.; Bao, H.; Zhang, W.; Wang, X. Diagnostic Value of Neutrophil-Lymphocyte Ratio for Predicting the Severity of Acute Pancreatitis: A Meta-Analysis. Dis. Markers 2020, 2020, 9731854. [Google Scholar] [CrossRef] [PubMed]
- Petejova, N.; Martinek, A. Acute kidney injury following acute pancreatitis: A review. Biomed. Pap. Med. Fac. Palacky Univ. Olomouc 2013, 157, 105–113. [Google Scholar] [CrossRef]
- Dai, M.; Fan, Y.; Pan, P.; Tan, Y. Blood Urea Nitrogen as a Prognostic Marker in Severe Acute Pancreatitis. Dis. Markers 2022, 2022, 7785497. [Google Scholar] [CrossRef]
- Selvanathan, D.K.; Johnson, P.G.; Thanikachalam, D.K.; Rajendran, P.; Gopalakrishnan, N. Acute Kidney Injury Complicating Severe Acute Pancreatitis: Clinical Profile and Factors Predicting Mortality. Indian J. Nephrol. 2022, 32, 460–466. [Google Scholar] [CrossRef] [PubMed]
- Valverde-Lopez, F.; Matas-Cobos, A.M.; Alegria-Motte, C.; Jimenez-Rosales, R.; Ubeda-Munoz, M.; Redondo-Cerezo, E. BISAP, RANSON, lactate and others biomarkers in prediction of severe acute pancreatitis in a European cohort. J. Gastroenterol. Hepatol. 2017, 32, 1649–1656. [Google Scholar] [CrossRef] [PubMed]
- Baeza-Zapata, A.A.; Garcia-Compean, D.; Jaquez-Quintana, J.O.; Scharrer-Cabello, S.I.; Del Cueto-Aguilera, Á.N.; Maldonado-Garza, H.J. Acute Pancreatitis in Elderly Patients. Gastroenterology 2021, 161, 1736–1740. [Google Scholar] [CrossRef] [PubMed]
- Jiang, W.; Du, Y.; Xiang, C.; Li, X.; Zhou, W. Age-period-cohort analysis of pancreatitis epidemiological trends from 1990 to 2019 and forecasts for 2044: A systematic analysis from the Global Burden of Disease Study 2019. Front. Public Health 2023, 11, 1118888. [Google Scholar] [CrossRef] [PubMed]
- Lee, D.W.; Cho, C.M. Predicting Severity of Acute Pancreatitis. Medicina 2022, 58, 787. [Google Scholar] [CrossRef] [PubMed]
- Sharma, S.; Weissman, S.; Aburayyan, K.; Acharya, A.; Aziz, M.; Systrom, H.K.; Lew, D.; Vohra, I.; Feuerstein, J.D.; Pandol, S.J. Sex differences in outcomes of acute pancreatitis: Findings from a nationwide analysis. J. Hepato-Biliary-Pancreat. Sci. 2021, 28, 280–286. [Google Scholar] [CrossRef]
- Shen, H.N.; Wang, W.C.; Lu, C.L.; Li, C.Y. Effects of gender on severity, management and outcome in acute biliary pancreatitis. PLoS ONE 2013, 8, e57504. [Google Scholar] [CrossRef]




| Variable | BISAP | Revised Atlanta Classification | ||||||||
|---|---|---|---|---|---|---|---|---|---|---|
| Total (n = 421) | Mild (n = 351) | Severe (n = 70) | p | MAP (n = 213) | MSAP (n = 158) | SAP (n = 50) | p MAP-MSAP | p MAP-SAP | p MSAP-SAP | |
| Age (years) | 62 ± 18 | 61 ± 17 | 73.5 ± 12 | <0.001 | 60 ± 18 | 64 ± 19 | 70 ± 12 | 0.034 | <0.001 | 0.007 |
| Gender, female n (%) | 251 (60) | 219 (62) | 32 (46) | 0.009 | 144 (68) | 79 (50) | 28 (56) | 0.001 | 0.121 | 0.459 |
| Etiology | 0.305 | 0.816 | 0.371 | 0.355 | ||||||
| Biliary, n (%) | 310 (73.6) | 255 (72.6) | 55 (78.6) | 156 (73.2) | 114 (72.2) | 40 (80.0) | ||||
| Non-biliary, n (%) | 50 (11.9) | 44 (12.5) | 6 (8.5) | 27 (12.7) | 18 (11.4) | 5 (10.0) | ||||
| Alcohol | 6 (1.4) | 5 (1.4) | 1 (1.4) | 2 (0.9) | 3 (1.9) | 1 (2.0) | ||||
| Hypertriglyceridemia | 6 (1.4) | 6 (1.7) | 0 (0) | 3 (1.4) | 3 (1.9) | 0 (0.0) | ||||
| Hypercalcemia | 4 (1.0) | 2 (0.6) | 2 (2.9) | 2 (0.9) | 0 (0.0) | 2 (4.0) | ||||
| Drugs | 13 (3.1) | 11 (3.1) | 2 (2.9) | 8 (3.8) | 4 (2.5) | 1 (2.0) | ||||
| Infections | 10 (2.4) | 10 (2.8) | 0 (0) | 7 (3.3) | 3 (1.9) | 0 (0.0) | ||||
| IPMN | 5 (1.2) | 5 (1.4) | 0 (0) | 2 (0.9) | 3 (1.9) | 0 (0.0) | ||||
| Post-ERCP | 3 (0.7) | 2 (0.6) | 1 (1.4) | 1 (0.5) | 1 (0.6) | 1 (2.0) | ||||
| Pancreas divisum | 3 (0.7) | 3 (0.9) | 0 (0) | 2 (0.9) | 1 (0.6) | 0 (0.0) | ||||
| Idiopathic | 61 (14.5) | 52 (14.8) | 9 (12.9) | 30 (14.1) | 26 (16.4) | 5 (10.0) | ||||
| Ranson, median (IQR) | 2 (3) | 2 (2) | 5 (2) | <0.001 | 2 (2) | 3 (2) | 6 (3) | <0.001 | <0.001 | <0.001 |
| Death, n (%) | 18 (4.3) | 2 (0.6) | 16 (23) | <0.001 | 0 (0) | 2 (1.3) | 16 (32) | 0.181 | <0.001 | <0.001 |
| Variable | Total (n = 421) | Mild AP (n = 351) | Severe AP (n = 70) | p |
|---|---|---|---|---|
| WBC (×103/μL) | 11.72 ± 0.25 | 11.41 ± 4.25 | 16.84 ± 6.45 | <0.001 |
| Neutrophil (×103/μL) | 9.27 ± 0.24 | 7.55 ± 0.27 | 11.11 ± 0.35 | <0.001 |
| Lymphocyte (×103/μL) | 1.13 ± 0.04 | 1.17 ± 0.05 | 1.07 ± 0.07 | 0.238 |
| Hemoglobin (g/dL) | 13.4 ± 1.9 | 13.3 ± 1.8 | 14.1 ± 2.5 | 0.017 |
| Hematocrit (%) | 40.1 ± 5.6 | 39.7 ± 5.1 | 42.4 ± 6.9 | 0.002 |
| Platelet (×103/μL) | 254 ± 82 | 254 ± 79 | 255 ± 95 | 0.487 |
| ALT (U/L) | 186 ± 10.1 | 186 ± 12.2 | 173 ± 16.1 | 0.737 |
| AST (U/L) | 188 ± 12.8 | 189 ± 15.3 | 185 ± 20.5 | 0.724 |
| Calcium (mg/dL) | 9.2 ± 0.7 | 9.2 ± 0.6 | 9.1 ± 1.0 | 0.154 |
| BUN (mg/dL) | 17 ± 0.76 | 15 ± 0.78 | 18 ± 1.31 | <0.001 |
| Creatinine (mg/dL) | 0.87 ± 0.02 | 0.80 ± 0.02 | 0.96 ± 0.04 | <0.001 |
| Amylase (U/L) | 1422 ± 55 | 1334 ± 85 | 1490 ± 69 | 0.009 |
| Lipase (U/L) | 1558 ±117 | 1449 ± 156 | 1711 ± 176 | 0.691 |
| CRP (mg/L) | 13.8 ± 3.0 | 10.8 ± 3.4 | 16.1 ± 5.0 | 0.001 |
| NLR | 8.33 ± 0.62 | 6.30 ± 0.70 | 12.1 ± 0.99 | <0.001 |
| PLR | 220 ± 11.0 | 199 ± 14.6 | 244 ± 16.5 | 0.287 |
| NCI | 8.03 ± 0.53 | 5.99 ± 0.31 | 10.89 ± 0.95 | <0.001 |
| Variable | Cut-Off | AUROC | 95% CI | Sensitivity (%) | Specificity (%) | PPV (%) | NPV (%) | Accuracy (%) | p |
|---|---|---|---|---|---|---|---|---|---|
| WBC | 11.88 | 0.788 | 0.746–0.826 | 85.7 | 60.4 | 30.1 | 95.5 | 64.6 | <0.001 |
| BUN | 17.8 | 0.785 | 0.742–0.823 | 84.3 | 60.4 | 29.8 | 95.1 | 64.4 | <0.001 |
| Hct | 43.3 | 0.623 | 0.576–0.669 | 48.6 | 79.2 | 31.8 | 88.5 | 74.1 | 0.004 |
| CRP | 61.45 | 0.629 | 0.581–0.676 | 40.0 | 81.5 | 30.1 | 87.2 | 74.6 | <0.001 |
| NLR | 8.42 | 0.689 | 0.642–0.732 | 77.1 | 55.8 | 25.7 | 92.4 | 59.1 | <0.001 |
| NCI | 11.27 | 0.862 | 0.826–0.894 | 78.6 | 79.8 | 43.7 | 94.9 | 79.6 | <0.001 |
| NCI + WBC | 0.862 | 0.825–0.893 | 80.0 | 77.8 | 41.8 | 95.1 | 78.2 | <0.001 | |
| NCI + NLR | 0.862 | 0.826–0.894 | 80.0 | 79.2 | 43.4 | 95.2 | 79.3 | <0.001 | |
| NCI + Hct | 0.862 | 0.826–0.894 | 84.3 | 75.8 | 41.0 | 96.0 | 77.2 | <0.001 | |
| NCI + BUN | 0.877 | 0.841–0.906 | 87.4 | 74.1 | 40.1 | 96.7 | 76.3 | <0.001 | |
| NCI + CRP | 0.862 | 0.826–0.894 | 78.6 | 80.3 | 44.4 | 95.0 | 80.1 | <0.001 |
| Univariate | Multivariate | |||||
|---|---|---|---|---|---|---|
| Variable | OR | 95% CI | p | OR | 95% CI | p |
| Age | 1.012 | 1.001–1.024 | 0.003 | 1.046 | 1.018–1.074 | 0.001 |
| Gender, female | 0.508 | 0.303–0.852 | 0.01 | 0.812 | 0.401–1.646 | 0.564 |
| WBC | 1.232 | 1.159–1.309 | <0.001 | 1. 141 | 1.026–1.269 | 0.015 |
| Hct | 1.095 | 1.043–1.149 | 0.033 | 1.081 | 1.015–1.152 | 0.015 |
| BUN | 1.058 | 1.038–1.078 | <0.001 | 1.040 | 1.014–1.066 | 0.002 |
| CRP | 1.006 | 1.003–1.010 | <0.001 | 0.994 | 0.970–1.019 | 0.282 |
| NLR | 1.178 | 1.126–1.232 | <0.001 | 1.004 | 0.980–1.029 | 0.662 |
| NCI | 1.041 | 1.131–1.257 | <0.001 | 1.076 | 1.014–1.142 | 0.015 |
| Variable | MAP (n = 213) | MSAP (n = 158) | SAP (n = 50) | p MAP-MSAP | p MAP-SAP | p MSAP-SAP |
|---|---|---|---|---|---|---|
| WBC (×103/μL) | 9.58 ± 0.28 | 12.85 ± 0.33 | 15.31 ± 0.10 | <0.001 | <0.001 | 0.002 |
| Neutrophil (×103/μL) | 7.55 ± 0.27 | 10.69 ± 0.33 | 12.72 ± 0.95 | <0.001 | <0.001 | 0.002 |
| Lymphocyte (×103/μL) | 1.17 ± 0.05 | 1.10 ± 0.09 | 1.00 ± 0.12 | 0.291 | 0.178 | 0.595 |
| Hemoglobin (g/dL) | 13.2 ± 1.7 | 13.7 ± 2.0 | 13.9 ± 2.7 | 0.006 | 0.070 | 0.567 |
| Hematocrit (%) | 39.2 ± 4.7 | 40.8 ± 5.7 | 41.9 ± 7.2 | 0.005 | 0.015 | 0.245 |
| Platelet (×103/μL) | 248 ± 79 | 259 ± 78 | 259 ±104 | 0.184 | 0.483 | 0.997 |
| ALT (U/L) | 186 ± 12.2 | 154 ± 19.9 | 215 ± 23.3 | 0.521 | 0.815 | 0.542 |
| AST (U/L) | 189 ± 15.3 | 171 ± 25.1 | 190 ± 31.3 | 0.658 | 0.642 | 0.448 |
| Calcium (mg/dL) | 9.2 ± 0.6 | 9.1 ± 0.6 | 9.2 ± 1.1 | 0.881 | 0.956 | 0.988 |
| BUN (mg/dL) | 15 ± 0.78 | 17 ± 1.04 | 26 ± 4.05 | 0.144 | <0.001 | <0.001 |
| Creatinine (mg/dL) | 0.80 ± 0.02 | 0.91 ± 0.03 | 1.21 ± 0.12 | <0.001 | <0.001 | <0.001 |
| Amylase (U/L) | 1334 ± 85 | 1473 ± 73 | 1702 ± 167 | 0.199 | 0.022 | 0.110 |
| Lipase (U/L) | 1449 ± 156 | 1718 ± 188 | 1568 ± 428 | 0.094 | 0.616 | 0.698 |
| CRP (mg/L) | 10.8 ± 3.4 | 15.4 ± 5.0 | 25.5 ± 13.4 | 0.102 | 0.001 | 0.030 |
| NLR | 6.30 ± 0.70 | 11.66 ± 0.91 | 13.88 ± 2.92 | <0.001 | <0.001 | 0.102 |
| PLR | 199 ± 14.6 | 244 ± 17.1 | 239 ± 42.7 | 0.051 | 0.178 | 0.989 |
| NCI | 5.99 ± 0.31 | 9.85 ± 0.51 | 17.19 ± 3.27 | <0.001 | <0.001 | <0.001 |
| Variable | Cut-Off | AUROC | 95% CI | Sensitivity (%) | Specificity (%) | PPV (%) | NPV (%) | Accuracy (%) | p |
|---|---|---|---|---|---|---|---|---|---|
| WBC | 10.84 | 0.723 | 0.674–0.768 | 73.4 | 65.3 | 61.0 | 76.8 | 68.7 | <0.001 |
| NLR | 10.95 | 0.649 | 0.598–0.698 | 55.7 | 79.9 | 69.4 | 68.8 | 69.0 | <0.001 |
| Hct | 43.3 | 0.566 | 0.514–0.607 | 32.9 | 83.6 | 59.8 | 62.7 | 62.0 | 0.032 |
| NCI | 6.76 | 0.749 | 0.701–0.792 | 79.7 | 62.9 | 61.5 | 80.7 | 70.1 | <0.001 |
| NCI + WBC | 0.753 | 0.706–0.796 | 82.3 | 60.1 | 60.5 | 82.1 | 69.5 | <0.001 | |
| NCI + NLR | 0.750 | 0.703–0.793 | 81.0 | 61.5 | 60.9 | 81.4 | 69.8 | <0.001 | |
| NCI + Hct | 0.739 | 0.691–0.783 | 71.5 | 67.6 | 62.1 | 76.2 | 69.3 | <0.001 |
| Univariate | Multivariate | |||||
|---|---|---|---|---|---|---|
| Variable | OR | 95% CI | p | OR | 95% CI | p |
| Age | 1012 | 1.001–1.024 | 0.003 | 1.003 | 0.988–1.018 | 0.660 |
| Gender, female | 0.479 | 0.314–0.479 | 0.001 | 0.730 | 0.427–1.248 | 0.250 |
| WBC | 1.202 | 1.135–1.273 | <0.001 | 1.085 | 0.980–1.200 | 0.116 |
| Hct | 1.059 | 1.016–1.103 | 0.005 | 1.029 | 0.982–1.079 | 0.277 |
| BUN | 1.011 | 0.994–1.028 | 0.182 | - | - | - |
| CRP | 1.002 | 0.998–1.006 | 0.164 | - | - | - |
| NLR | 1.043 | 1.021–1.065 | <0.001 | 1.004 | 0.980–1.029 | 0.660 |
| NCI | 1.193 | 1.131–1.257 | <0.001 | 1.119 | 1.015–1.235 | 0.023 |
| Variable | Cut-Off | AUROC | 95% CI | Sensitivity (%) | Specificity (%) | PPV (%) | NPV (%) | Accuracy (%) | p |
|---|---|---|---|---|---|---|---|---|---|
| WBC | 14.90 | 0.649 | 0.579–0.713 | 56.0 | 69.6 | 36.8 | 83.3 | 66.3 | <0.001 |
| BUN | 17.5 | 0.703 | 0.621–0.785 | 78.0 | 54.4 | 35.1 | 88.7 | 60.1 | <0.001 |
| CRP | 81.3 | 0.602 | 0.532–0.669 | 34.0 | 82.3 | 37.8 | 79.7 | 70.7 | 0.029 |
| NCI | 15.62 | 0.742 | 0.676–0.800 | 58.0 | 81.0 | 49.1 | 85.9 | 75.5 | <0.001 |
| NCI + WBC | 0.744 | 0.679–0.802 | 54.0 | 84.8 | 52.9 | 83.3 | 77.4 | <0.001 | |
| NCI + BUN | 0.755 | 0.691–0.812 | 66.0 | 75.3 | 45.8 | 87.5 | 73.1 | <0.001 | |
| NCI + CRP | 0.741 | 0.676–0.799 | 58.0 | 81.6 | 50.0 | 86.0 | 75.9 | <0.001 |
| Univariate | Multivariate | |||||
|---|---|---|---|---|---|---|
| Variable | OR | 95% CI | p | OR | 95% CI | p |
| Age | 1.022 | 1.001–1.043 | 0.035 | 1.008 | 0.982–1.034 | 0.545 |
| Gender, female | 1.273 | 0.671–2.413 | 0.459 | - | - | - |
| WBC | 1.118 | 1.048–1.193 | 0.001 | 0.975 | 0.869–1.093 | 0.663 |
| Hct | 1.031 | 0.978–1.087 | 0.030 | 1.006 | 0.946–1.070 | 0.850 |
| BUN | 1.037 | 1.016–1.058 | <0.001 | 1.015 | 0.989–1.040 | 0.258 |
| CRP | 1.004 | 1.000–1.008 | 0.020 | 0.999 | 0.994–1.005 | 0.786 |
| NLR | 1.022 | 1.001–1.044 | 0.037 | 1.001 | 0.975–1.028 | 0.959 |
| NCI | 1.099 | 1.057–1.142 | <0.001 | 1.095 | 1.031–1.162 | 0.003 |
Disclaimer/Publisher’s Note: The statements, opinions and data contained in all publications are solely those of the individual author(s) and contributor(s) and not of MDPI and/or the editor(s). MDPI and/or the editor(s) disclaim responsibility for any injury to people or property resulting from any ideas, methods, instructions or products referred to in the content. |
© 2024 by the author. Licensee MDPI, Basel, Switzerland. This article is an open access article distributed under the terms and conditions of the Creative Commons Attribution (CC BY) license (https://creativecommons.org/licenses/by/4.0/).
Share and Cite
Sahin, A. Neutrophil–Creatinine Index: A New Prognostic Factor for Severity of Acute Pancreatitis. Medicina 2024, 60, 607. https://doi.org/10.3390/medicina60040607
Sahin A. Neutrophil–Creatinine Index: A New Prognostic Factor for Severity of Acute Pancreatitis. Medicina. 2024; 60(4):607. https://doi.org/10.3390/medicina60040607
Chicago/Turabian StyleSahin, Abdurrahman. 2024. "Neutrophil–Creatinine Index: A New Prognostic Factor for Severity of Acute Pancreatitis" Medicina 60, no. 4: 607. https://doi.org/10.3390/medicina60040607
APA StyleSahin, A. (2024). Neutrophil–Creatinine Index: A New Prognostic Factor for Severity of Acute Pancreatitis. Medicina, 60(4), 607. https://doi.org/10.3390/medicina60040607

