Effects of Switching from Degludec to Glargine U300 in Patients with Insulin-Dependent Type 1 Diabetes: A Retrospective Study
Abstract
1. Introduction
2. Materials and Methods
2.1. Patients
2.2. Measurement
2.3. Ethics Conduct
2.4. Statistical Analysis
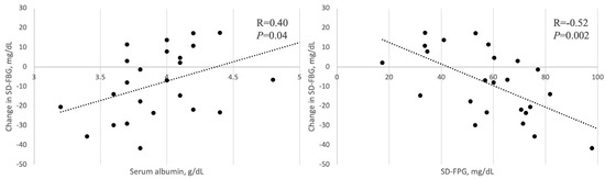
3. Results
4. Discussion
5. Conclusions
Author Contributions
Funding
Institutional Review Board Statement
Informed Consent Statement
Data Availability Statement
Acknowledgments
Conflicts of Interest
References
- Diabetes Control and Complications Trial (DCCT) Research Group. The absence of a glycemic threshold for the development of long-term complications: The perspective of the Diabetes Control and Complications Trial. Diabetes 1996, 45, 1289–1298. [Google Scholar] [CrossRef]
- Nathan, D.M.; Cleary, P.A.; Backlund, J.Y.; Genuth, S.M.; Lachin, J.M.; Orchard, T.J.; Raskin, P.; Zinman, B. Intensive diabetes treatment and cardiovascular disease in patients with type 1 diabetes. N. Engl. J. Med. 2005, 353, 2643–2653. [Google Scholar]
- Goff, D.C.; Gerstein, H.C.; Ginsberg, H.N.; Cushman, W.C.; Margolis, K.L.; Byington, R.P.; Buse, J.B.; Genuth, S.; Probstfield, J.L.; Simons-Morton, D.G.; et al. Prevention of cardiovascular disease in persons with type 2 diabetes mellitus: Current knowledge and rationale for the Action to Control Cardiovascular Risk in Diabetes (ACCORD) trial. Am. J. Cardiol. 2007, 99, 4i–20i. [Google Scholar] [CrossRef]
- Bonds, D.E.; Miller, M.E.; Bergenstal, R.M.; Buse, J.B.; Byington, R.P.; Cutler, J.A.; Dudl, R.J.; Ismail-Beigi, F.; Kimel, A.R.; Hoogwerf, B.; et al. The association between symptomatic, severe hypoglycemia and mortality in type 2 diabetes: Retrospective epidemiological analysis of the ACCORD study. BMJ 2010, 340, b4909. [Google Scholar] [CrossRef]
- Goto, A.; Arsh, O.A.; Goto, M.; Terauchi, Y.; Noda, M. Severe hypoglycemia and cardiovascular disease: Systematic review and meta-analysis with bias analysis. BMJ 2013, 347, f4533. [Google Scholar] [CrossRef]
- Hanefeld, M.; Frier, B.M.; Pistrosch, F. Hypoglycemia and cardiovascular Risk: Is There a Major Link? Diabetes Care 2016, 39 (Suppl. 2), 205–209. [Google Scholar] [CrossRef]
- Mattishent, K.; Loke, Y.K. Bi-directional interaction between hypoglycemia and cognitive impairment in elderly patients treated with glucose-lowering agents: A systematic review and meta-analysis. Diabetes Obes. Metab. 2016, 18, 135–141. [Google Scholar] [CrossRef]
- Komorita, Y.; Minami, M.; Maeda, Y.; Yoshioka, R.; Ohkuma, T.; Kitazono, T. Prevalence of bone fracture and its association with severe hypoglycemia in Japanese patients with type 1 diabetes. BMJ Open Diabetes Res. Care. 2021, 9, e002099. [Google Scholar] [CrossRef] [PubMed]
- Sakamoto, M. Type 2 Diabetes and Clycemic Variability: Various Parameters in Clinical Practice. J. Clin. Med. Res. 2018, 10, 737–742. [Google Scholar] [CrossRef] [PubMed]
- Hirakawa, Y.; Arima, H.; Zoungas, S.; Ninomiya, T.; Cooper, M.; Hamet, P.; Mancia, G.; Poulter, N.; Harrap, S.; Woodward, M.; et al. Impact of visit-to-visit glycemic variability on the risks of macrovascular and microvascular events and all-cause mortality in type 2 diabetes: The ADVANCE trial. Diabetes Care 2014, 37, 2359–2365. [Google Scholar] [CrossRef] [PubMed]
- Xu, F.; Zhao, L.H.; Su, J.B.; Chen, T.; Wang, X.Q.; Chen, J.F.; Wu, G.; Jin, Y.; Wang, X.H. The relationship between glycemic variability and diabetic peripheral neuropathy in type 2 diabetes with well-controlled HbA1c. Diabetol. Metab. Syndr. 2014, 6, 139. [Google Scholar] [CrossRef]
- Ohara, M.; Fukui, T.; Ouchi, M.; Watanabe, K.; Suzuki, T.; Yamamoto, S.; Yamamoto, T.; Hayashi, T.; Oba, K.; Hirano, T. Relationship between daily and day-to-day glycemic variability and increased oxidative stress in type 2 diabetes. Diabetes Res. Clin. Pract. 2016, 122, 62–70. [Google Scholar] [CrossRef]
- Niskanen, L.; Virkamaki, A.; Hansen, J.B.; Saukkonen, T. Fasting plasma glucose variability as a marker of nocturnal hypoglycemia in diabetes: Evidence from the PREDICTIVE study. Diabetes Res. Clin. Pract. 2009, 86, e15–e18. [Google Scholar] [CrossRef] [PubMed]
- DeVries, J.H.; Bailey, T.S.; Bhargava, A.; Gerety, G.; Gumprecht, J.; Heller, S.; Lane, W.; Wysham, C.H.; Zinman, B.; Bak, B.A.; et al. Day-to-day fasting self-monitored blood glucose variability is associated with risk of hypoglycemia in insulin-treated patients with type 1 and type 2 diabetes: A post hoc analysis of the SWITCH Trials. Diabetes Obes. Metab. 2019, 21, 622–630. [Google Scholar] [CrossRef]
- Garg, S.K.; Weinzimer, S.A.; Tamborlane, W.V.; Buckingham, B.A.; Bode, B.W.; Bailey, T.S.; Brazg, R.L.; Ilany, J.; Slover, R.H.; Anderson, S.M.; et al. Glucose Outcomes with the In-Home Use of a Hybrid Closed-Loop Insulin Delivery System in Adolescent and Adults with Type 1 Diabetes. Diabetes Technol. Ther. 2017, 19, 155–163. [Google Scholar] [CrossRef] [PubMed]
- Home, P.D.; Bergenstal, R.M.; Bolli, G.B.; Ziemen, M.; Rojeski, M.; Espinasse, M.; Riddle, M.C. New Insulin Glargine 300 Units/mL Versus Glargine 100 Units/mL in People with Type 1 Diabetes: A Randomized, Phase 3a, Open-Label Clinical Trial (EDITION 4). Diabetes Care 2015, 38, 2217–2225. [Google Scholar] [CrossRef] [PubMed]
- Terauchi, Y.; Koyama, M.; Cheng, X.; Takahashi, Y.; Riddle, M.C.; Bolli, G.B.; Hirose, T. New insulin glargine 300 U/ml versus glargine 100 U/ml in Japanese adults with type 1 diabetes using basal and mealtime insulin: Glucose control and hypoglycemia in a randomized controlled trial (EDITION JP 1). Diabetes Obes. Metab. 2016, 18, 375–383. [Google Scholar] [CrossRef]
- Yki-Jarvinen, H.; Bergenstal, R.; Ziemen, M.; Wardecki, M.; Muehlen-Bartmer, I.; Boelle, E.; Riddle, M.C. New Insulin Glargine 300 Units/mL Versus Glargine 100 Units/mL in People with Type 2 Diabetes Using Oral Agents and Basal Insulin: Glucose Control and Hypoglycemia in a 6-Month Randomizes Controlled Trial (EDITION 2). Diabetes Care 2014, 7, 3235–3243. [Google Scholar] [CrossRef]
- Terauchi, Y.; Koyama, M.; Cheng, X.; Takahashi, Y.; Riddle, M.C.; Bolli, G.B.; Hirose, T. New insulin glargine 300 U/ml versus glargine 100 U/ml in Japanese people with type 2 diabetes using basal insulin and oral antihyperglycaemic drugs: Glucose control and hypoglycemia in a randomized controlled trial (EDITION JP 2). Diabetes Metab. 2016, 18, 366–374. [Google Scholar] [CrossRef]
- Heller, S.; Buse, J.; Fisher, M.; Garg, S.; Marre, M.; Merker, L.; Renard, E.; Russell-Jones, D.; Philotheou, A.; Francisco, A.M.; et al. Insulin degludec, an ultra-longacting basal insulin, versus insulin glargine in basal-bolus treatment with mealtime insulin aspect in type 1 diabetes (BEGIN Basal-Bolus Type 1): A phase 3, randomized, open-label, treat-to-target non-inferiority trial. Lancet 2012, 379, 1489–1497. [Google Scholar] [CrossRef]
- Heise, T.; Hermanski, L.; Nosek, L.; Feldman, A.; Rasmussen, S.; Haahr, H. Insulin degludec: Four times lower pharmacodynamic variability than insulin glargine under steady-state conditions in type 1 diabetes. Diabetes Obes. Metab. 2012, 14, 859–864. [Google Scholar] [CrossRef]
- Marso, S.P.; McGuire, D.K.; Zinman, B.; Poulter, N.R.; Emerson, S.S.; Pieber, T.R.; Pratley, R.E.; Haahr, P.M.; Lange, M.; Brown-Frandsen, K.; et al. Efficacy and Safety of Degludec versus Glargine in Type 2 Diabetes. N. Engl. J. Med. 2017, 377, 723–732. [Google Scholar] [CrossRef]
- Zinman, B.; Philis-Tsimikas, A.; Cariou, B.; Handelsman, Y.; Rodbard, H.W.; Johansen, T.; Endahl, L.; Mathieu, C. Insulin degludec versus insulin glargine in insulin-naïve patients with type 2 diabetes: A 1-year, randomized, treat-to-target trial (BEGIN Once Long). Diabetes Care 2012, 35, 2464–2471. [Google Scholar] [CrossRef] [PubMed]
- Rosenstock, J.; Cheng, A.; Ritzel, R.; Bosnyak, Z.; Devisme, C.; Cali, A.M.; Sieber, J.; Stella, P.; Wang, X.; Frías, J.P.; et al. More Similarities Than Differences Testing Insulin Glargine 300 Units/mL Versus Insulin Degludec 100 Units/mL in insulin-Naïve Type 2 Diabetes: The Randomized Head-to-Head BRIGHT Trial. Diabetes Care 2018, 41, 2147–2154. [Google Scholar] [CrossRef] [PubMed]
- Kawaguchi, Y.; Sawa, J.; Sakuma, N.; Kumeda, Y. Efficacy and safety of insulin glargine 300 U/mL vs insulin degludec in patients with type 2 diabetes: A randomized, open-label, cross-over study using continuous glucose monitoring profiles. J. Diabetes Investig. 2019, 10, 343–351. [Google Scholar] [CrossRef] [PubMed]
- Siegelaar, S.E.; Holleman, F.; Hoekstra, J.B.L.; DeVries, J.H. Glucose variability; Dose It matter? Endocr. Rev. 2010, 31, 171–182. [Google Scholar] [CrossRef] [PubMed]
- Kanada, Y. Investigation of the freely-available easy-to use software “EZR” (Easy R) for medical statistics. Bone Marrow Transpl. 2013, 48, 452–458. [Google Scholar] [CrossRef] [PubMed]
- Yoneda, C.; Tashima-Horie, K.; Fukushima, S.; Saito, S.; Tanaka, S.; Haruki, T.; Ogino, J.; Suzuki, Y.; Hashimoto, N. Association of monitoring fasting blood glucose variability with insulin antibodies and clinical factors in type 1 diabetes. Endocr. J. 2016, 63, 603–609. [Google Scholar] [CrossRef]
- Lane, W.; Bailey, T.S.; Gerety, G.; Gumprecht, J.; Philis-Tsimikas, A.; Hansen, C.T.; Nielsen, T.S.; Warren, M. Effect of insulin Degludec vs Insulin Glargine U100 on Hypoglycemia in Patients with Type 1 Diabetes: The SWITCH 1 Randomized Clinical Trial. JAMA 2017, 318, 33–44. [Google Scholar] [CrossRef]
- Jonassen, I.; Havelund, S.; Hoeg-Jensen, T.; Steensgaard, D.B.; Wahlund, P.O.; Ribel, U. Design of the novel protraction mechanism of insulin degludec, an ultra-long-acting basal insulin. Pharm. Res. 2012, 29, 2104–2114. [Google Scholar] [CrossRef]
- Heise, T.; Mathieu, C. Impact of the mode of protraction of basal insulin therapies on their pharmacokinetic and pharmacodynamic properties and resulting clinical outcomes. Diabetes Obes. Metab. 2017, 19, 3–12. [Google Scholar] [CrossRef] [PubMed]
- Jubiz, W.; Canterbury, J.M.; Reiss, E.; Tyler, F.H. Circadian rhythm in serum parathyroid hormone concentration in human subjects: Correlation with serum calcium, phosphate, albumin, and growth hormone levels. J. Clin. Investig. 1972, 51, 2040–2046. [Google Scholar] [CrossRef] [PubMed]
- Kawaguchi, Y.; Sawa, J.; Hamai, C.; Kumeda, Y. Differential Effect of Hypoalbuminemia on Hypoglycemia on Type 2 Diabetes Patients treated with Insulin Glargine 300 U/mL and Insulin Degludec. Diabetes Ther. 2019, 10, 1535–1541. [Google Scholar] [CrossRef] [PubMed]
- Tibaldi, J.; Hadley-Brown, M.; Liebl, A.; Haldrup, S.; Sandberg, V.; Wolden, M.L.; Rodbard, H.W. A comparative effectiveness study of degludec and insulin glargine 300 U/mL in insulin-naïve patients with type 2 diabetes. Diabetes Obes. Metab. 2019, 21, 1001–1009. [Google Scholar] [CrossRef] [PubMed]
- Bailey, T.S.; Pettus, J.; Roussel, R.; Schmider, W.; Maroccia, M.; Nassr, N.; Klein, O.; Bolli, G.B.; Dahmen, R. Morning administration of 0.4 U/kg/day insulin glargine 300 U/mL provides less fluctuating 24-hour pharmacodynamics and more even pharmacokinetic profiles compared with insulin degludec 100 U/mL in type 1 diabetes. Diabetes Metab. 2018, 44, 15–21. [Google Scholar] [CrossRef] [PubMed]
- Heise, T.; Nørskov, M.; Nosek, L.; Kaplan, K.; Famulla, S.; Haahr, H.L. Insulin Degludec: Lower Day-to-Day and Within-day Variability in Pharmacodynamic response Compared with Insulin Glargine 300 U/mK in Type 1 diabetes. Diabetes Obes. Merab 2017, 19, 1032–1039. [Google Scholar] [CrossRef]
- Miura, H.; Sakaguchi, K.; Otowa-Suematsu, N.; Yamada, T.; So, A.; Komada, H.; Okada, Y.; Hirota, Y.; Tamori, Y.; Ogawa, W. Effects of Insulin Degludec and Insulin Glargine U300 on Glycemic Stability in Individuals with Type 1 Diabetes: A Multicenter, Randomized Controlled Crossover Study. Diabetes Obes. Metab. 2020, 22, 2356–2363. [Google Scholar] [CrossRef]
- Mathieu, C.; Hollander, P.; Miranda-Palma, B.; Cooper, J.; Franek, E.; Russell-Jones, D.; Larsen, J.; Tamer, S.C.; Bain, S.C.; NN1250-3770 (BEGIN: Flex T1) Trial Investigators. Efficacy and Safety of Insulin Degludec in a Flexible Dosing Regimen vs Insulin Glargine in Patients with Type 1 Diabetes (BEGIN: Flex T1). J. Clin. Endocrinol. Metab. 2013, 98, 1154–1162. [Google Scholar] [CrossRef]

| Variable | Baseline | After the Switch | p-Value |
|---|---|---|---|
| Age, years | 56.0 ± 15.2 | ||
| Male, n (%) | 13 (54%) | ||
| Duration of diabetes, years | 14.1 ± 13.6 | ||
| BW, kg | 58.2 ± 9.8 | 58.3 ± 9.5 | 0.84 |
| BMI, kg/m2 | 22.1 ± 2.7 | 22.1 ± 2.5 | 0.80 |
| FPG, mg/dL | 135 ± 57.1 | 142 ± 64.4 | 0.68 |
| HbA1c, % | 7.8 ± 0.6 | 7.7 ± 0.5 | 0.69 |
| Cr, mg/dL | 0.92 ± 0.47 | 0.86 ± 0.35 | 0.27 |
| eGFR, mL/min/1.73 m2 | 74.6 ± 29.7 | 75.0 ± 27.5 | 0.81 |
| Alb, g/dL | 3.9 ± 0.3 | 3.9 ± 0.3 | 0.80 |
| Fasting insulin dosage, units | 22.2 ± 8.3 | 22.2 ± 8.1 | 0.94 |
| Basal insulin dosage, units | 12.3 ± 7.1 | 12.7 ± 6.1 | 0.27 |
| Fasting insulin dosage, units/kg | 0.38 ± 0.14 | 0.38 ± 0.12 | 0.81 |
| Basal insulin dosage, units/kg | 0.20 ± 0.10 | 0.21 ± 0.08 | 0.16 |
| SD-FBG, mg/dL | 58.2 ± 18.2 | 49.7 ± 15.7 | 0.02 |
| Frequency of total hypoglycemia, times/month | 7.0 ± 5.6 | 6.3 ± 4.6 | 0.24 |
| Frequency of severe hypoglycemia, times/month | 1.0 ± 1.3 | 1.0 ± 1.1 | 0.80 |
| Frequency of nocturnal hypoglycemia, times/month | 2.5 ± 2.1 | 1.5 ± 1.3 | 0.003 |
| TAR, % (n = 14) | 38.3 ± 7.4 | 39.6 ± 11.1 | 0.58 |
| TIR, % (n = 14) | 54.9 ± 7.3 | 56.4 ± 10.2 | 0.46 |
| TBR, % (n = 14) | 6.8 ± 3.7 | 4.1 ± 1.6 | 0.01 |
Disclaimer/Publisher’s Note: The statements, opinions and data contained in all publications are solely those of the individual author(s) and contributor(s) and not of MDPI and/or the editor(s). MDPI and/or the editor(s) disclaim responsibility for any injury to people or property resulting from any ideas, methods, instructions or products referred to in the content. |
© 2024 by the authors. Licensee MDPI, Basel, Switzerland. This article is an open access article distributed under the terms and conditions of the Creative Commons Attribution (CC BY) license (https://creativecommons.org/licenses/by/4.0/).
Share and Cite
Sawamura, T.; Karashima, S.; Ohbatake, A.; Higashitani, T.; Ohmori, A.; Sawada, K.; Yamamoto, R.; Kometani, M.; Katsuda, Y.; Yoneda, T. Effects of Switching from Degludec to Glargine U300 in Patients with Insulin-Dependent Type 1 Diabetes: A Retrospective Study. Medicina 2024, 60, 450. https://doi.org/10.3390/medicina60030450
Sawamura T, Karashima S, Ohbatake A, Higashitani T, Ohmori A, Sawada K, Yamamoto R, Kometani M, Katsuda Y, Yoneda T. Effects of Switching from Degludec to Glargine U300 in Patients with Insulin-Dependent Type 1 Diabetes: A Retrospective Study. Medicina. 2024; 60(3):450. https://doi.org/10.3390/medicina60030450
Chicago/Turabian StyleSawamura, Toshitaka, Shigehiro Karashima, Azusa Ohbatake, Takuya Higashitani, Ai Ohmori, Kei Sawada, Rika Yamamoto, Mitsuhiro Kometani, Yuko Katsuda, and Takashi Yoneda. 2024. "Effects of Switching from Degludec to Glargine U300 in Patients with Insulin-Dependent Type 1 Diabetes: A Retrospective Study" Medicina 60, no. 3: 450. https://doi.org/10.3390/medicina60030450
APA StyleSawamura, T., Karashima, S., Ohbatake, A., Higashitani, T., Ohmori, A., Sawada, K., Yamamoto, R., Kometani, M., Katsuda, Y., & Yoneda, T. (2024). Effects of Switching from Degludec to Glargine U300 in Patients with Insulin-Dependent Type 1 Diabetes: A Retrospective Study. Medicina, 60(3), 450. https://doi.org/10.3390/medicina60030450

