Validity of Pleth Variability Index to Predict Fluid Responsiveness in Patients Undergoing Cervical Spine Surgery in the Modified Prone Position
Abstract
1. Introduction
2. Materials and Methods
2.1. Study Design and Definition of Fluid Responder
2.2. Statistical Analysis
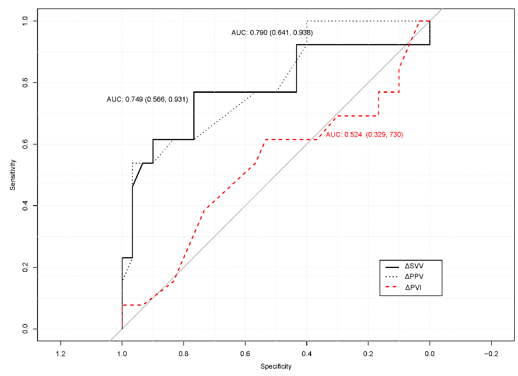
3. Results
4. Discussion
5. Conclusions
Author Contributions
Funding
Institutional Review Board Statement
Informed Consent Statement
Data Availability Statement
Conflicts of Interest
References
- Kyoshima, K. Arm-down concorde position. Surg. Neurol. 2002, 57, 443–445. [Google Scholar] [CrossRef]
- Riew, K.D.; Cheng, I.; Pimenta, L.; Taylor, B. Posterior cervical spine surgery for radiculopathy. Neurosurgery 2007, 60, S57–S63. [Google Scholar] [CrossRef]
- Bennarosh, L.; Peuch, C.; Cohen, J.; Dauzac, C.; Guigui, P.; Mantz, J.; Dahmani, S. Effects of the knee-chest position on cardiac index and propofol requirements during bispectral index (BIS)-guided spine surgery. Ann. Fr. Anesth. Reanim. 2008, 27, 158.e1–158.e5. [Google Scholar] [CrossRef]
- Dharmavaram, S.; Jellish, W.S.; Nockels, R.P.; Shea, J.; Mehmood, R.; Ghanayem, A.; Kleinman, B.; Jacobs, W. Effect of prone positioning systems on hemodynamic and cardiac function during lumbar spine surgery: An echocardiographic study. Spine 2006, 31, 1388–1393. [Google Scholar] [CrossRef]
- Chui, J.; Craen, R.A. An update on the prone position: Continuing Professional Development. Can. J. Anaesth. 2016, 63, 737–767. [Google Scholar] [CrossRef]
- Michard, F. Changes in arterial pressure during mechanical ventilation. Anesthesiology 2005, 103, 419–428, quiz 49-5. [Google Scholar] [CrossRef]
- Marik, P.E.; Cavallazzi, R.; Vasu, T.; Hirani, A. Dynamic changes in arterial waveform derived variables and fluid responsiveness in mechanically ventilated patients: A systematic review of the literature. Crit. Care Med. 2009, 37, 2642–2647. [Google Scholar] [CrossRef]
- Zhang, Z.; Lu, B.; Sheng, X.; Jin, N. Accuracy of stroke volume variation in predicting fluid responsiveness: A systematic review and meta-analysis. J. Anesth. 2011, 25, 904–916. [Google Scholar] [CrossRef]
- Lopes, M.R.; Oliveira, M.A.; Pereira, V.O.; Lemos, I.P.; Auler, J.O., Jr.; Michard, F. Goal-directed fluid management based on pulse pressure variation monitoring during high-risk surgery: A pilot randomized controlled trial. Crit. Care 2007, 11, R100. [Google Scholar] [CrossRef]
- Biais, M.; Bernard, O.; Ha, J.C.; Degryse, C.; Sztark, F. Abilities of pulse pressure variations and stroke volume variations to predict fluid responsiveness in prone position during scoliosis surgery. Br. J. Anaesth. 2010, 104, 407–413. [Google Scholar] [CrossRef]
- Messina, A.; Montagnini, C.; Cammarota, G.; Giuliani, F.; Muratore, L.; Baggiani, M.; Bennett, V.; Della Corte, F.; Navalesi, P.; Cecconi, M. Assessment of Fluid Responsiveness in Prone Neurosurgical Patients Undergoing Protective Ventilation: Role of Dynamic Indices, Tidal Volume Challenge, and End-Expiratory Occlusion Test. Anesth. Analg. 2020, 130, 752–761. [Google Scholar] [CrossRef]
- Berger, K.; Francony, G.; Bouzat, P.; Halle, C.; Genty, C.; Oddoux, M.; Gay, E.; Albaladejo, P.; Payen, J.F. Prone position affects stroke volume variation performance in predicting fluid responsiveness in neurosurgical patients. Minerva Anestesiol 2015, 81, 628–635. [Google Scholar]
- Hood, J.A.; Wilson, R.J. Pleth variability index to predict fluid responsiveness in colorectal surgery. Anesth. Analg. 2011, 113, 1058–1063. [Google Scholar] [CrossRef]
- Zimmermann, M.; Feibicke, T.; Keyl, C.; Prasser, C.; Moritz, S.; Graf, B.M.; Wiesenack, C. Accuracy of stroke volume variation compared with pleth variability index to predict fluid responsiveness in mechanically ventilated patients undergoing major surgery. Eur. J. Anaesthesiol. 2010, 27, 555–561. [Google Scholar] [CrossRef]
- Sandroni, C.; Cavallaro, F.; Marano, C.; Falcone, C.; De Santis, P.; Antonelli, M. Accuracy of plethysmographic indices as predictors of fluid responsiveness in mechanically ventilated adults: A systematic review and meta-analysis. Intensive Care Med. 2012, 38, 1429–1437. [Google Scholar] [CrossRef]
- Forget, P.; Lois, F.; de Kock, M. Goal-directed fluid management based on the pulse oximeter-derived pleth variability index reduces lactate levels and improves fluid management. Anesth. Analg. 2010, 111, 910–914. [Google Scholar] [CrossRef]
- Vincent, J.L.; Pelosi, P.; Pearse, R.; Payen, D.; Perel, A.; Hoeft, A.; Romagnoli, S.; Ranieri, V.M.; Ichai, C.; Forget, P.; et al. Perioperative cardiovascular monitoring of high-risk patients: A consensus of 12. Crit. Care 2015, 19, 224. [Google Scholar] [CrossRef]
- Chu, H.; Wang, Y.; Sun, Y.; Wang, G. Accuracy of pleth variability index to predict fluid responsiveness in mechanically ventilated patients: A systematic review and meta-analysis. J. Clin. Monit. Comput. 2016, 30, 265–274. [Google Scholar] [CrossRef]
- Broch, O.; Bein, B.; Gruenewald, M.; Höcker, J.; Schöttler, J.; Meybohm, P.; Steinfath, M.; Renner, J. Accuracy of the pleth variability index to predict fluid responsiveness depends on the perfusion index. Acta Anaesthesiol. Scand. 2011, 55, 686–693. [Google Scholar] [CrossRef]
- Lee, H.-C.; Jung, C.-W. Vital Recorder—A free research tool for automatic recording of high-resolution time-synchronised physiological data from multiple anaesthesia devices. Sci. Rep. 2018, 8, 1527. [Google Scholar] [CrossRef]
- Yang, S.Y.; Shim, J.K.; Song, Y.; Seo, S.J.; Kwak, Y.L. Validation of pulse pressure variation and corrected flow time as predictors of fluid responsiveness in patients in the prone position. Br. J. Anaesth. 2013, 110, 713–720. [Google Scholar] [CrossRef]
- Wu, C.Y.; Lee, T.S.; Chan, K.C.; Jeng, C.S.; Cheng, Y.J. Does targeted pre-load optimisation by stroke volume variation attenuate a reduction in cardiac output in the prone position. Anaesthesia 2012, 67, 760–764. [Google Scholar] [CrossRef]
- Chaló, D.; Pedrosa, S.; Amorim, P.; Gouveia, S.; Sancho, C. Propofol TCI Reductions Do Not Attenuate Significant Falls in Cardiac Output Associated With Anesthesia Induction and Knee-Chest Positioning in Spinal Surgery. J. Neurosurg. Anesthesiol. 2020, 32, 147–155. [Google Scholar] [CrossRef]
- Lansdorp, B.; Lemson, J.; van Putten, M.J.A.M.; de Keijzer, A.; Van Der Hoeven, J.; Pickkers, P. Dynamic indices do not predict volume responsiveness in routine clinical practice. Br. J. Anaesth. 2012, 108, 395–401. [Google Scholar] [CrossRef]
- Edgcombe, H.; Carter, K.; Yarrow, S. Anaesthesia in the prone position. Br. J. Anaesth. 2008, 100, 165–183. [Google Scholar] [CrossRef]
- Cannesson, M.; Desebbe, O.; Rosamel, P.; Delannoy, B.; Robin, J.; Bastien, O.; Lehot, J.J. Pleth variability index to monitor the respiratory variations in the pulse oximeter plethysmographic waveform amplitude and predict fluid responsiveness in the operating theatre. Br. J. Anaesth. 2008, 101, 200–206. [Google Scholar] [CrossRef]
- Monnet, X.; Guérin, L.; Jozwiak, M.; Bataille, A.; Julien, F.; Richard, C.; Teboul, J.L. Pleth variability index is a weak predictor of fluid responsiveness in patients receiving norepinephrine. Br. J. Anaesth. 2013, 110, 207–213. [Google Scholar] [CrossRef]
- Tapar, H.; Karaman, S.; Dogru, S.; Karaman, T.; Sahin, A.; Tapar, G.G.; Altiparmak, F.; Suren, M. The effect of patient positions on perfusion index. BMC Anesthesiol. 2018, 18, 111. [Google Scholar] [CrossRef]
- Kim, D.H.; Shin, S.; Kim, J.Y.; Kim, S.H.; Jo, M.; Choi, Y.S. Pulse pressure variation and pleth variability index as predictors of fluid responsiveness in patients undergoing spinal surgery in the prone position. Ther. Clin. Risk. Manag. 2018, 14, 1175–1183. [Google Scholar] [CrossRef]
- Lee, S.H.; Chun, Y.-M.; Oh, Y.J.; Shin, S.; Park, S.J.; Kim, S.Y.; Choi, Y.S. Prediction of fluid responsiveness in the beach chair position using dynamic preload indices. J. Clin. Monit. Comput. 2016, 30, 995–1002. [Google Scholar] [CrossRef]
- Liu, T.; Xu, C.; Wang, M.; Niu, Z.; Qi, D. Reliability of pleth variability index in predicting preload responsiveness of mechanically ventilated patients under various conditions: A systematic review and meta-analysis. BMC Anesthesiol. 2019, 19, 67. [Google Scholar] [CrossRef]
- He, H.; Liu, D.; Ince, C. Colloids and the Microcirculation. Anesth. Analg. 2018, 126, 1747–1754. [Google Scholar] [CrossRef]
- Thiele, R.H.; Colquhoun, D.A.; Forkin, K.T.; Durieux, M.E. Assessment of the agreement between photoplethysmographic and arterial waveform respiratory variation in patients undergoing spine surgery. J. Med. Eng. Technol. 2013, 37, 409–415. [Google Scholar] [CrossRef]
- Feldman, J.M.; Sussman, E.; Singh, D.; Friedman, B.J. Is the pleth variability index a surrogate for pulse pressure variation in a pediatric population undergoing spine fusion? Pediatr. Anesth. 2012, 22, 250–255. [Google Scholar] [CrossRef]
- Hengy, B.; Gazon, M.; Schmitt, Z.; Benyoub, K.; Bonnet, A.; Viale, J.P.; Aubrun, F. Comparison between respiratory variations in pulse oximetry plethysmographic waveform amplitude and arterial pulse pressure during major abdominal surgery. Anesthesiology 2012, 117, 973–980. [Google Scholar] [CrossRef]
- Kim, Y.J.; Seo, J.-H.; Lee, H.-C.; Kim, H.-S. Pleth variability index during preoxygenation could predict anesthesia-induced hypotension: A prospective, observational study. J. Clin. Anesth. 2023, 90, 111236. [Google Scholar] [CrossRef]
- Lee, S.; Kim, D.Y.; Han, J.; Kim, K.; You, A.H.; Kang, H.Y.; Park, S.W.; Kim, M.K.; Kim, J.E.; Choi, J.H. Hemodynamic changes in the prone position according to fluid loading after anaesthesia induction in patients undergoing lumbar spine surgery: A randomized, assessor-blind, prospective study. Ann. Med. 2024, 56, 2356645. [Google Scholar] [CrossRef]
- Siswojo, A.S.; Wong, D.M.; Phan, T.D.; Kluger, R. Pleth variability index predicts fluid responsiveness in mechanically ventilated adults during general anesthesia for noncardiac surgery. J. Cardiothorac. Vasc. Anesth. 2014, 28, 1505–1509. [Google Scholar] [CrossRef]


| Characteristics | |
|---|---|
| Demographic data | |
| Sex (male) | 34 (79.1%) |
| Age (years) | 63.8 (9.8) |
| Weight (kg) | 69.5 (9.5) |
| Height (cm) | 166.3 (9.1) |
| Body mass index (kg/m2) | 25.1 (2.4) |
| Comorbidities | |
| Hypertension | 20 (46.5%) |
| Diabetes mellitus | 15 (34.9%) |
| Intraoperative data | |
| Anesthesia time (min) | 181.8 (31.2) |
| Crystalloid (mL) | 1607.1 (361.4) |
| Urine output (mL) | 155.2 (175.5) |
| Tidal volume, supine (mL) | 454.0 (13.4) |
| Tidal volume, modified prone (mL) | 435.4 (8.6) |
| Respiratory rate (breaths/min) | 11.5 (1.2) |
| PEEP * | 0 |
| Supine | Modified Prone | ||||
|---|---|---|---|---|---|
| T1 | T2 | T3 | T4 | T5 | |
| HR | 64 (12) | 62 (55–67) | 67(10) † | 68 (10) | 66 (10) |
| MAP | 71 (15) | 75 (17) | 71 (13) | 72 (11) | 75 (12) |
| PVI | 14.16 (5.99) | 11.56 (5.72) * | 20.56 (7.08) † | 19.02 (5.49) | 17.91 (6.57) |
| PI | 6.4 (4.8–7.5) | 5.2 (4.4–7.5) | 1.8 (1.1–2.9) † | 1.1 (0.9–1.7) | 1.1 (0.9–1.7) |
| SVV | 14.1 (3.4) | 9.8 (4.1) * | 19.7 (5.0) † | 20.9 (5.8) | 18.9 (6.2) |
| PPV | 9.8 [8.0–14.0] | 8.0 [6.0–12.5] * | 15.6 [13.0–21.0] † | 15.5 [12.0–24.0] | 14.0 [10.0–18.5] |
| SV | 65.5 [50.0–68.0] | 68.0 [61.0–75.0] * | 50.0 [42.5–58.0] † | 53.0 [43.0–58.0] | 56.0 [47.0–65.0] |
| Responders (n =21) | Non-Responders (n = 22) | |||||||||
|---|---|---|---|---|---|---|---|---|---|---|
| T1 | T2 | T3 | p-Value 1 | p-Value 2 | T1 | T2 | T3 | p-Value 1 | p-Value 2 | |
| HR | 68(12) | 60 (8) | 67 (10) | 0.002 | <0.001 | 61(12 | 63 (12) | 62 [58–72] | 0.733 | 0.39 |
| MAP | 77 (12) | 77 (18) | 72 (11) | 0.519 | 0.394 | 66 (15) | 73 (16) | 71 (14) | 0.122 | 0.321 |
| PVI | 14.4 (7.0) | 11.5 (5.5) | 21.0 [15.0, 25.0] | 0.012 | <0.001 | 13.9 (5.1) | 11.7 (6.1) | 19.0 [14.3–22.8] | 0.122 | <0.001 |
| SVV | 15.6 (2.3) | 9.9 (4.3) | 19.3 (4.6) | <0.001 | <0.001 | 12.6 (3.7) | 9.7 (4.1) | 20.1 (5.4) | 0.015 | <0.001 |
| PPV | 12.0 (4.3) | 9.5 (5.1) | 17.8 (5.9) | 0.057 | <0.001 | 11.4 (4.6) | 9.3 (4.5) | 17.7 (6.8) | 0.079 | <0.001 |
| SV | 50.0 [43.0–58.0] | 66.0 [60.0–72.0] | 46.0 [40.0–50.0] | 0.000 | <0.001 | 67.5 [62.3–72.0] | 69.5 [62.3–75.5] | 53.0 [47.3–57.8] | 0.696 | <0.001 |
| Responders (n = 13) | Non-Responders (n = 30) | |||||
|---|---|---|---|---|---|---|
| T4 | T5 | p-value | T4 | T5 | p-Value | |
| HR | 68 (10) | 63 (10) | 0.002 | 68 (11) | 67 (10) | 0.099 |
| MAP | 75 (15) | 80 (14) | 0.184 | 71 (10) | 72 (10) | 0.449 |
| PVI | 20.3 (6.4) | 19.1 (7.1) | 0.409 | 18.5 (5.1) | 17.4 (6.4) | 0.074 |
| SVV | 23.6 (7.3) | 18.5 (8.7) | 0.013 | 19.7 (4.7) | 19.1 (4.9) | 0.607 |
| PPV | 20.5 (7.5) | 13.7 (7.1) | 0.005 | 15.8 (7.2) | 15.5 (6.4) | 0.538 |
| SV | 45.7 (13.8) | 58.7 (17.9) | 0.002 | 52.9 (10.7) | 54.6 (12.1) | 0.027 |
Disclaimer/Publisher’s Note: The statements, opinions and data contained in all publications are solely those of the individual author(s) and contributor(s) and not of MDPI and/or the editor(s). MDPI and/or the editor(s) disclaim responsibility for any injury to people or property resulting from any ideas, methods, instructions or products referred to in the content. |
© 2024 by the authors. Published by MDPI on behalf of the Lithuanian University of Health Sciences. Licensee MDPI, Basel, Switzerland. This article is an open access article distributed under the terms and conditions of the Creative Commons Attribution (CC BY) license (https://creativecommons.org/licenses/by/4.0/).
Share and Cite
Koh, W.U.; Lee, D.-H.; Ro, Y.-J.; Park, H.-S. Validity of Pleth Variability Index to Predict Fluid Responsiveness in Patients Undergoing Cervical Spine Surgery in the Modified Prone Position. Medicina 2024, 60, 2018. https://doi.org/10.3390/medicina60122018
Koh WU, Lee D-H, Ro Y-J, Park H-S. Validity of Pleth Variability Index to Predict Fluid Responsiveness in Patients Undergoing Cervical Spine Surgery in the Modified Prone Position. Medicina. 2024; 60(12):2018. https://doi.org/10.3390/medicina60122018
Chicago/Turabian StyleKoh, Won Uk, Dong-Ho Lee, Young-Jin Ro, and Hee-Sun Park. 2024. "Validity of Pleth Variability Index to Predict Fluid Responsiveness in Patients Undergoing Cervical Spine Surgery in the Modified Prone Position" Medicina 60, no. 12: 2018. https://doi.org/10.3390/medicina60122018
APA StyleKoh, W. U., Lee, D.-H., Ro, Y.-J., & Park, H.-S. (2024). Validity of Pleth Variability Index to Predict Fluid Responsiveness in Patients Undergoing Cervical Spine Surgery in the Modified Prone Position. Medicina, 60(12), 2018. https://doi.org/10.3390/medicina60122018

