Visfatin and Subclinical Atherosclerosis in Type 2 Diabetes: Impact of Cardiovascular Drugs
Abstract
1. Introduction
2. Materials and Methods
2.1. Population
2.2. Clinical and Biochemical Measurements
2.3. Measurement of Carotid Artery Intima–Media Thickness
2.4. Measurement of the Ankle–Brachial Index
2.5. Measurement of the Android to Gynoid Ratio
2.6. Statistical Analysis
3. Results
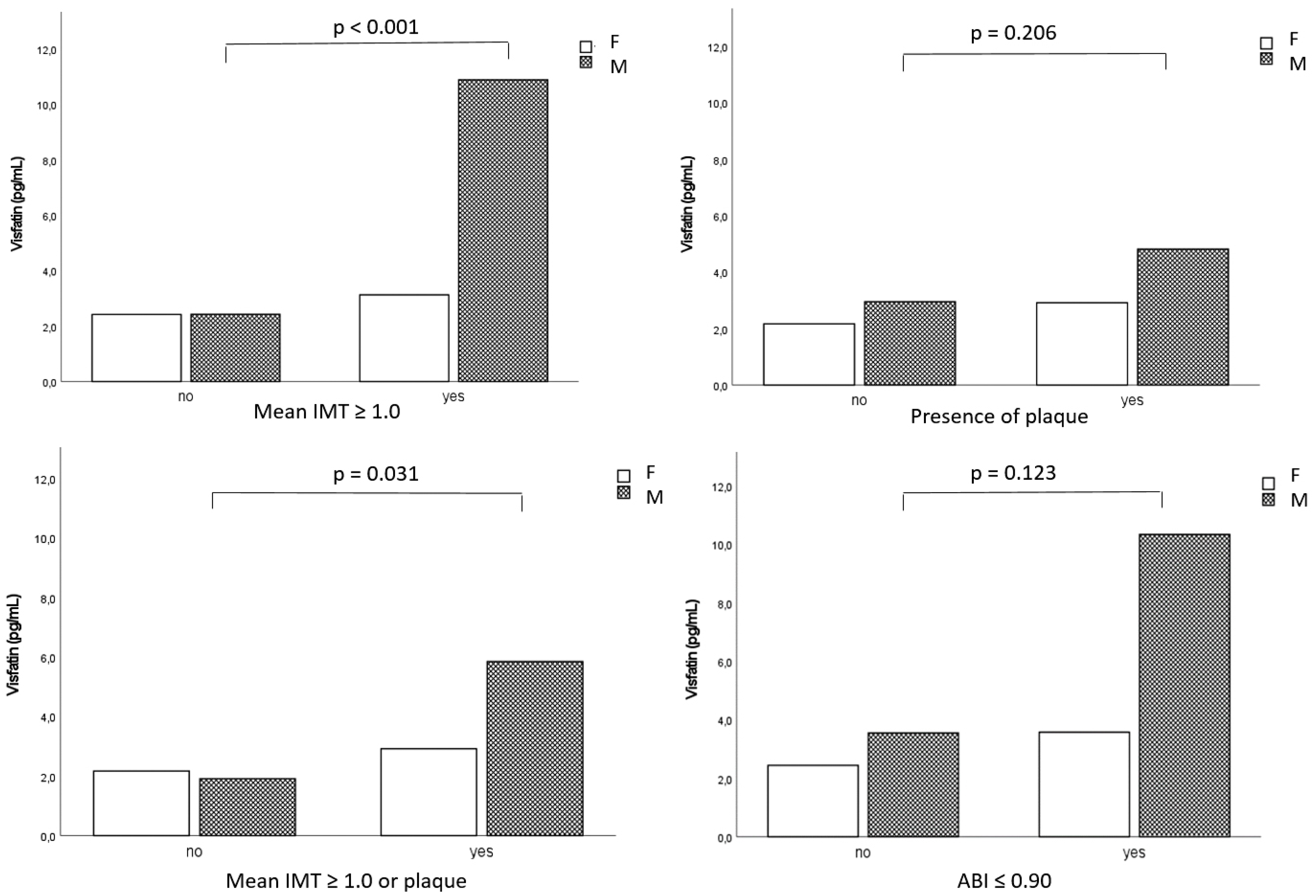
3.1. Characteristics of the Study Population
3.2. Correlations between Adipokines and Conventional Risk Factors
3.3. Correlations between Adipokines and Markers of Subclinical Atherosclerosis
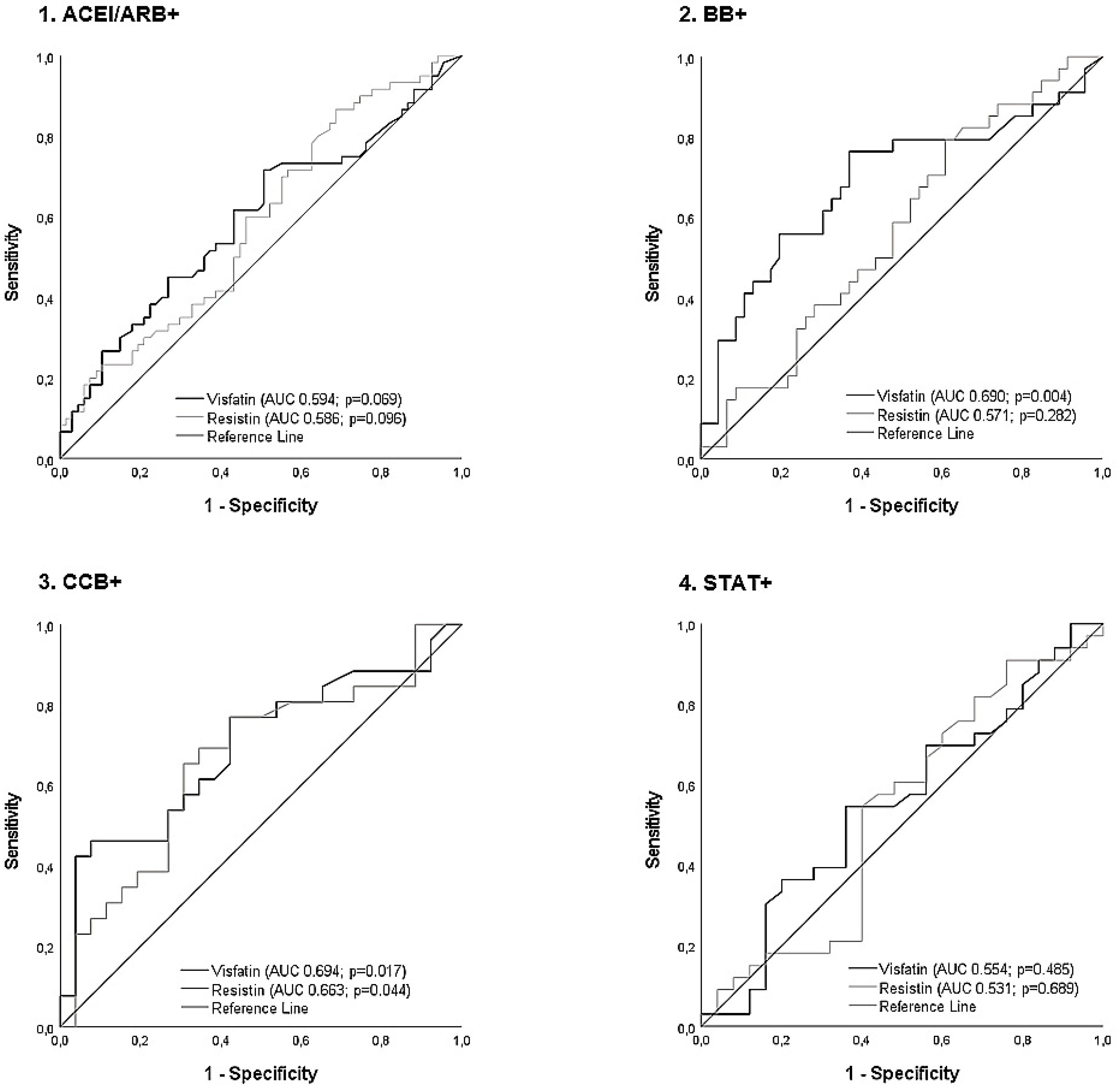
3.4. Effects of Medications on Visfatin and Resistin Concentrations
3.5. Effects of Medications on Correlations between Adipokines and Subclinical Atherosclerosis
3.6. Associations between Visfatin and Resistin and Atherosclerosis Surrogate Markers after Adjustments for Common Risk Factors
4. Discussion
5. Conclusions
Author Contributions
Funding
Institutional Review Board Statement
Informed Consent Statement
Data Availability Statement
Conflicts of Interest
References
- International Diabetes Federation. IDF Diabetes Atlas, 10th ed.; International Diabetes Federation: Brussels, Belgium, 2021; Available online: https://www.diabetesatlas.org (accessed on 5 January 2023).
- Lobstein, T.; Brinsden, H.; Neveux, M.; Barata Cavalcanti, O.; Barquera, S.; Baur, L.; Busch, V.; Buse, K.; Dietz, B.; French, A.; et al. World Obesity Atlas 2022. World Obes. Fed. 2022. Available online: https://www.worldobesity.org#worldobesityatlas (accessed on 29 January 2023).
- ICD-11 for Mortality and Morbidity Statistics. Available online: https://icd.who.int/browse11/l-m/en#/http://id.who.int/icd/entity/149403041 (accessed on 29 January 2023).
- Siiteri, P.K. Adipose tissue as a source of hormones. Am. J. Clin. Nutr. 1987, 45 (Suppl. 1), 277–282. [Google Scholar] [CrossRef] [PubMed]
- Liu, L.; Shi, Z.; Ji, X.; Zhang, W.; Luan, J.; Zahr, T.; Qiang, L. Adipokines, adiposity, and atherosclerosis. Cell. Mol. Life Sci. 2022, 79, 272. [Google Scholar] [CrossRef] [PubMed]
- Iglseder, B.; Mackevics, V.; Stadlmayer, A.; Tasch, G.; Ladurner, G.; Paulweber, B. Plasma Adiponectin Levels and Sonographic Phenotypes of Subclinical Carotid Artery Atherosclerosis Data from the SAPHIR Study. Stroke 2005, 36, 2577–2582. [Google Scholar] [CrossRef] [PubMed]
- Reilly, M.P.; Iqbal, N.; Schutta, M.; Wolfe, M.L.; Scally, M.; Localio, A.R.; Rader, D.J.; Kimmel, S.E. Plasma leptin levels are associated with coronary atherosclerosis in type 2 diabetes. J. Clin. Endocrinol. Metab. 2004, 89, 3872–3878. [Google Scholar] [CrossRef] [PubMed]
- Yang, W.; Li, Y.; Wang, J.Y.; Han, R.; Wang, L. Circulating levels of adipose tissue-derived inflammatory factors in elderly diabetes patients with carotid atherosclerosis: A retrospective study. Cardiovasc. Diabetol. 2018, 17, 75. [Google Scholar] [CrossRef]
- Park, S.E.; Kim, D.H.; Lee, J.H.; Park, J.S.; Kang, E.S.; Ahn, C.W.; Lee, H.C.; Cha, B.S. Retinol-binding protein-4 is associated with endothelial dysfunction in adults with newly diagnosed type 2 diabetes mellitus. Atherosclerosis 2009, 204, 23–25. [Google Scholar] [CrossRef]
- Dahl, T.B.; Yndestad, A.; Skjelland, M.; Øie, E.; Dahl, A.; Michelsen, A.; Damås, J.K.; Tunheim, S.H.; Ueland, T.; Smith, C.; et al. Increased Expression of Visfatin in Macrophages of Human Unstable Carotid and Coronary Atherosclerosis Possible Role in Inflammation and Plaque Destabilization. Circulation 2007, 115, 972–980. [Google Scholar] [CrossRef]
- Kadoglou, N.P.E.; Sailer, N.; Moumtzouoglou, A.; Kapelouzou, A.; Gerasimidis, T.; Kostakis, A.; Liapis, C.D. Adipokines: A novel link between adiposity and carotid plaque vulnerability. Eur. J. Clin. Investig. 2012, 42, 1278–1286. [Google Scholar] [CrossRef]
- Kadoglou, N.P.E.; Gkontopoulos, A.; Kapelouzou, A.; Fotiadis, G.; Theofilogiannakos, E.K.; Kottas, G.; Lampropoulos, S. Serum levels of vaspin and visfatin in patients with coronary artery disease—Kozani study. Clin. Chim. Acta 2011, 412, 48–52. [Google Scholar] [CrossRef]
- Chiu, C.A.; Yu, T.H.; Hung, W.C.; Lu, L.F.; Chung, F.M.; Tsai, I.T.; Yang, C.Y.; Hsu, C.C.; Lu, Y.C.; Houng, J.Y.; et al. Increased expression of visfatin in monocytes and macrophages in male acute myocardial infarction patients. Mediat. Inflamm. 2012, 2012, 469852. [Google Scholar] [CrossRef]
- Laudes, M.; Oberhauser, F.; Schulte, D.M.; Freude, S.; Bilkovski, R.; Mauer, J.; Rappl, G.; Abken, H.; Hahn, M.; Schulz, O.; et al. Visfatin/PBEF/Nampt and resistin expressions in circulating blood monocytes are differentially related to obesity and type 2 diabetes in humans. Horm. Metab. Res. 2010, 42, 268–273. [Google Scholar] [CrossRef] [PubMed]
- Kong, Q.; Xia, M.; Liang, R.; Li, L.; Cu, X.; Sun, Z.; Hu, J. Increased serum visfatin as a risk factor for atherosclerosis in patients with ischaemic cerebrovascular disease. Singap. Med. J. 2014, 55, 383–387. [Google Scholar] [CrossRef] [PubMed]
- Filippatos, T.D.; Randeva, H.S.; Derdemezis, C.S.; Elisaf, M.S.; Mikhailidis, D.P. Visfatin/PBEF and atherosclerosis-related diseases. Curr. Vasc. Pharmacol. 2010, 8, 12–28. [Google Scholar] [CrossRef]
- Zhong, M.; Tan, H.W.; Gong, H.P.; Wang, S.F.; Zhang, Y.; Zhang, W. Increased serum visfatin in patients with metabolic syndrome and carotid atherosclerosis. Clin. Endocrinol. 2008, 69, 878–884. [Google Scholar] [CrossRef] [PubMed]
- Kadoglou, N.P.E.; Sailer, N.; Kapelouzou, A.; Lampropoulos, S.; Vitta, I.; Kostakis, A.; Liapis, C.D. Effects of atorvastatin on apelin, visfatin (nampt), ghrelin and early carotid atherosclerosis in patients with type 2 diabetes. Acta Diabetol. 2011, 49, 269–276. [Google Scholar] [CrossRef]
- Skoczylas, A.; Piecha, G.; Wiȩcek, A. Effects of antihypertensive treatment on plasma apelin, resistin, and visfatin concentrations. Pol. Arch. Med. Wewn. 2016, 126, 243–253. [Google Scholar] [CrossRef]
- Derosa, G.; Maffioli, P.; Ferrari, I.; Palumbo, I.; Randazzo, S.; Fogari, E.; D’Angelo, A.; Cicero, A.F. Different actions of losartan and ramipril on adipose tissue activity and vascular remodeling biomarkers in hypertensive patients. Hypertens. Res. 2011, 34, 145–151. [Google Scholar] [CrossRef]
- Storka, A.; Vojtassakova, E.; Mueller, M.; Kapiotis, S.; Haider, D.G.; Jungbauer, A.; Wolzt, M. Angiotensin inhibition stimulates PPARγ and the release of visfatin. Eur. J. Clin. Investig. 2008, 38, 820–826. [Google Scholar] [CrossRef]
- Derosa, G.; Maffioli, P.; Salvadeo, S.A.; Ferrari, I.; Gravina, A.; Mereu, R.; Palumbo, I.; Fogari, E.; D’Angelo, A.; Cicero, A.F. Differential effects of candesartan and olmesartan on adipose tissue activity biomarkers in type II diabetic hypertensive patients. Hypertens. Res. 2010, 33, 790–795. [Google Scholar] [CrossRef]
- Cosentino, F.; Grant, P.J.; Aboyans, V.; Bailey, C.J.; Ceriello, A.; Delgado, V.; Federici, M.; Filippatos, G.; Grobbee, D.E.; Hansen, T.B.; et al. 2019 ESC Guidelines on diabetes, pre-diabetes, and cardiovascular diseases developed in collaboration with the EASD. Eur. Heart J. 2020, 41, 255–323. [Google Scholar] [CrossRef]
- IPAQ Research Committee, Guidelines for Data Processing and Analysis of the International Physical Activity Questionnaire (IPAQ)–Short Form. Version 2.0. April 2004. Available online: https://www.physio-pedia.com/images/c/c7/Quidelines_for_interpreting_the_IPAQ.pdf (accessed on 14 July 2023).
- Von Elm, E.; Altman, D.G.; Egger, M.; Pocock, S.J.; Gøtzsche, P.C.; Vandenbroucke, J.P. The Strengthening the Reporting of Observational Studies in Epidemiology (STROBE) statement: Guidelines for reporting observational studies. Ann. Intern. Med. 2007, 147, 573–577. [Google Scholar] [CrossRef] [PubMed]
- Kärberg, K.; Lember, M. Subclinical atherosclerosis in the carotid artery: Can the ankle-brachial index predict it in type 2 diabetes patients? Scand. J. Clin. Lab. Investig. 2021, 81, 237–243. [Google Scholar] [CrossRef]
- Stein, J.H.; Korcarz, C.E.; Hurst, R.T.; Lonn, E.; Kendall, G.B.; Mohler, E.R.; Najjar, S.S.; Rembold, C.M.; Post, W.S. Use of Carotid Ultrasound to Identify Subclinical Vascular Disease and Evaluate Cardiovascular Disease Risk: A Consensus Statement from the American Society of Echocardiography Carotid Intima-Media Thickness Task Force Endorsed by the Society for Vascular. J. Am. Soc. Echocardiogr. 2008, 21, 93–111. [Google Scholar] [CrossRef]
- Touboul, P.J.; Hennerici, M.G.; Meairs, S.; Adams, H.; Amarenco, P.; Desvarieux, M.; Ebrahim, S.; Fatar, M.; Hernandez Hernandez, R.; Kownator, S.; et al. Mannheim intima-media thickness consensus. Cerebrovasc. Dis. 2004, 18, 346–349. [Google Scholar] [CrossRef] [PubMed]
- Aboyans, V.; Criqui, M.H.; Abraham, P.; Allison, M.A.; Creager, M.A.; Diehm, C.; Fowkes, F.G.R.; Hiatt, W.R.; Jönsson, B.; Lacroix, P.; et al. Measurement and interpretation of the Ankle-Brachial Index: A scientific statement from the American Heart Association. Circulation 2012, 126, 2890–2909. [Google Scholar] [CrossRef] [PubMed]
- Spence, J.D. Measurement of intima-media thickness vs. carotid plaque: Uses in patient care, genetic research and evaluation of new therapies. Int. J. Stroke 2006, 1, 216–221. [Google Scholar] [CrossRef]
- Lan, J.; Chen, X.; Chen, X.; Wang, S.; Zhang, X.; Wu, K.; He, S.; Peng, Y.; Jiang, L.; Li, L.; et al. The relationship between visfatin and HOMA-IR in hypertensive patients, and the effect of antihypertensive drugs on visfatin and HOMA-IR in hypertensive patients with insulin resistance. Diabetes Res. Clin. Pract. 2011, 94, 71–76. [Google Scholar] [CrossRef]
- Ozal, E.; Sahin, I.; Bolat, I.; Pusuroglu, H.; Avci, I.I.; Akgul, O.; Ornek, V.; Sürgit, O.; Yildirim, A. Visfatin levels are increased in patients with resistant hypertension and are correlated with left ventricular hypertrophy. Blood Press. Monit. 2017, 22, 137–142. [Google Scholar] [CrossRef]
- Li, Q.; Huang, K.; Ma, T.; Lu, S.; Tang, S.; Wu, M.; Yang, H.; Zhong, J. Metoprolol Protects Against Arginine Vasopressin-Induced Cellular Senescence in H9C2 Cardiomyocytes by Regulating the Sirt1/p53/p21 Axis. Cardiovasc. Toxicol. 2022, 22, 99–107. [Google Scholar] [CrossRef]
- Kostapanos, M.S.; Derdemezis, C.S.; Filippatos, T.D.; Milionis, H.J.; Kiortsis, D.N.; Tselepis, A.D.; Elisaf, M.S. Effect of rosuvastatin treatment on plasma visfatin levels in patients with primary hyperlipidemia. Eur. J. Pharmacol. 2008, 578, 249–252. [Google Scholar] [CrossRef]
- Petreanu, M.; Eleuterio, N.; Bosco, A.A.; Sandrim, V.C. Effect of simvastatin treatment on plasma visfatin levels in obese women. Gynecol. Endocrinol. 2014, 30, 577–580. [Google Scholar] [CrossRef] [PubMed]
- Sandeep, S.; Velmurugan, K.; Deepa, R.; Mohan, V. Serum visfatin in relation to visceral fat, obesity, and type 2 diabetes mellitus in Asian Indians. Metabolism 2007, 56, 565–570. [Google Scholar] [CrossRef] [PubMed]
- Miazgowski, T.; Safranow, K.; Krzyzanowska-Świniarska, B.; Iskierska, K.; Widecka, K. Adiponectin, visfatin and regional fat depots in normal weight obese premenopausal women. Eur. J. Clin. Investig. 2013, 43, 783–790. [Google Scholar] [CrossRef] [PubMed]



| All (n = 212) | Male (n = 89) | Female (n = 123) | p-Value | |
|---|---|---|---|---|
| Age | 58.96 ± 8.02 | 56.38 ± 9.02 | 60.78 ± 6.66 | <0.001 |
| Duration of DM | 7.07± 5.99 | 6.45 ± 5.51 | 7.52 ± 6.29 | NS |
| Body Composition | ||||
| Weight | 96.69 ± 1.18 | 103.17 ± 16.08 | 92.00 ± 16.58 | <0.001 |
| BMI | 34.07 ± 5.74 | 32.83 ± 4.87 | 34.96 ± 6.17 | 0.007 |
| VAI | 2.12 (1.86) | 2.2 (2.09) | 2.06 (1.81) | NS |
| A/G (%) Ratio | 1.23 ± 0.23 | 1.39 ± 0.29 | 1.12 ± 0.17 | <0.001 |
| Arm Fat Mass (kg) | 3.78 ± 1.33 | 3.09 ± 1.14 | 4.29 ± 1.22 | <0.001 |
| Leg Fat Mass (kg) | 10.63 ± 4.46 | 8.12 ± 3.08 | 12.46 ± 4.43 | <0.001 |
| Trunk Fat Mass (kg) | 21.56 ± 5.70 | 21.37 ± 6.18 | 21.7 ± 5.34 | NS |
| Android Fat Mass (kg) | 3.98 ± 1.20 | 4.02 ± 1.29 | 3.95 ± 1.14 | NS |
| Gynoid Fat Mass (kg) | 5.47 ± 1.85 | 4.57 ± 1.56 | 6.12 ± 1.77 | <0.001 |
| Total Fat Mass (kg) | 36.97 ± 10.53 | 33.51 ± 10.07 | 39.5 ± 10.16 | <0.001 |
| Total Fat (%) | 39.4 ± 8.1 | 33.0 ± 6.27 | 44.14 ± 5.66 | <0.001 |
| Additional Diagnoses | ||||
| Hypertension | 185 (87.3%) | 73 (82.0%) | 112 (91.1%) | 0.052 |
| Hyperlipidaemia | 109 (51.4%) | 45 (50.6%) | 64 (52.0%) | NS |
| Systolic (mmHg) | 145.98 ± 17.81 | 145.63 ± 17.59 | 146.24 ± 18.03 | NS |
| Diastolic (mmHg) | 88.66 ± 9.22 | 89.82 ± 9.20 | 87.82 ± 9.18 | NS |
| Laboratory Methods | ||||
| HbA1c (%) | 6.88 ± 1.19 | 7.04 ± 1.38 | 6.77 ± 1.03 | NS |
| hsCRP (mg/mL) | 3.90 ± 5.14 | 3.61 ± 5.13 | 4.11 ± 5.15 | NS |
| LDL (mmol/L) | 3.48 ± 1.17 | 3.45 ± 1.19 | 3.50 ± 1.16 | NS |
| HDL (mmol/L) | 1.36 ± 0.34 | 1.24 ± 0.32 | 1.45 ± 0.33 | <0.001 |
| TG (mmol/L) | 2.14 ± 1.75 | 2.44 ± 2.24 | 1.92 ± 1.24 | 0.034 |
| Total C (mmol/L) | 5.58 ± 1.26 | 5.54 ± 1.25 | 5.61 ± 1.27 | NS |
| Non-HDL (mmol/L) | 4.2 ± 1.22 | 4.3 ± 1.22 | 4.15 ± 1.23 | NS |
| HMW Adiponectin (µg/mL) | 3.36 ± 2.50 | 2.49 ± 2.05 | 3.99 ± 2.62 | <0.001 |
| Leptin (ng/mL) | 19.59 (21.50) | 12.52 (12.62) | 28.72 (23.29) | <0.001 |
| Resistin (ng/mL) | 42.82 ± 18.21 | 39.76 ± 16.89 | 45.05 ± 18.88 | 0.034 |
| RBP-4 (µg/mL) | 72.09 (30.31) | 71.84 (34.24) | 72.3 (29.15) | NS |
| Visfatin (pg/mL) | 3.05 (0.38) | 3.85 (0.77) | 2.48 (0.28) | NS |
| Therapy | ||||
| Statins | 58 (27.4%) | 25 (28.1%) | 33 (26.8%) | NS |
| ACEI or ARB | 127 (59.9%) | 42 (47.2%) | 85 (69.1%) | 0.001 |
| β-Blockers | 80 (37.7%) | 25 (28.1%) | 55 (44.7%) | 0.014 |
| CCB | 52 (24.5%) | 17 (19.1%) | 35 (28.5%) | NS |
| Antiaggregant | 52 (24.5%) | 24 (27.0%) | 28 (22.8%) | NS |
| Metformin | 178 (84.0%) | 75 (84.3%) | 103 (83.7%) | NS |
| GLP-1 RA | 5 (2.4%) | 1 (1.1%) | 4 (3.3%) | NS |
| SLT-2I | 6 (2.8%) | 4 (4.5%) | 2 (1.6%) | NS |
| DPP-4I | 35 (16.5%) | 18 | 17 (13.8%) | NS |
| TZD | 2 (0.9%) | 1 (1.1%) | 1 (0.8%) | NS |
| SU | 62 (29.2%) | 29 (32.6%) | 33 (26.8%) | NS |
| Insulin | 20 (9.4%) | 12 (13.5%) | 8 (6.5%) | NS |
| Oral Antidiabetic Therapy | 185 (87.3%) | 78 (87.6%) | 107 (87.0%) | NS |
| Antihypertensive Therapy | 159 (75.0%) | 56 (62.9%) | 103 (83.7%) | <0.001 |
| None | 8 (3.8%) | 3 (3.4%) | 5 (4.1%) | NS |
| Smoking | ||||
| Never | 119 (56.1%) | 29 (32.6%) | 90 (73.2%) | <0.001 |
| Past | 52 (24.5%) | 40 (44.9%) | 12 (9.8%) | <0.001 |
| Current | 41 (19.3%) | 20 (22.5%) | 21 (17.1%) | NS |
| Physical Activity | ||||
| (MET-mins per week) | 4634.13 ± 270.44 | 5567.40 ± 452.73 | 3958.84 ± 319.60 | 0.003 |
| Subclinical Atherosclerosis | ||||
| IMT (mm) | 0.83 ± 0.01 | 0.85 ± 0.01 | 0.82 ± 0.01 | 0.047 |
| IMT ≥ 1.0 | 55 (25.9%) | 24 (27.0%) | 31 (25.2%) | NS |
| Presence of Plaque | 94 (44.3%) | 43 (48.3%) | 51 (41.5%) | NS |
| ABI | 1.09 ± 0.01 | 1.11 ± 0.02 | 1.07 ± 0.01 | 0.042 |
| ABI < 0.9 | 8 (3.8%) | 4 (4.5%) | 4 (3.3%) | NS |
| HMW Adiponectin | Leptin | Resistin | RBP-4 | Visfatin | ||
|---|---|---|---|---|---|---|
| SBP | r | - | - | - | - | - |
| p | NS | NS | NS | NS | NS | |
| DBP | r | - | - | - | - | - |
| p | NS | NS | NS | NS | NS | |
| Duration of DM | r | - | - | - | - | - |
| p | NS | NS | NS | NS | NS | |
| Total C | r | 0.152 | - | - | - | - |
| p | 0.027 | NS | NS | NS | NS | |
| HDL | r | 0.545 | 0.151 | - | - | −0.175 |
| p | <0.001 | 0.027 | NS | NS | 0.011 | |
| LDL | r | - | - | - | - | - |
| p | NS | NS | NS | NS | NS | |
| TG | r | −0.25 | - | - | - | - |
| p | <0.001 | NS | NS | NS | NS | |
| Non-HDL | r | - | - | - | - | - |
| p | NS | NS | NS | NS | NS | |
| HbA1c | r | −0.267 | - | - | - | - |
| p | <0.001 | NS | NS | NS | NS | |
| BMI | r | −0.15 | 0.503 | - | - | - |
| p | 0.029 | <0.001 | NS | NS | NS | |
| VAI | r | −0.199 | - | - | - | - |
| p | 0.004 | NS | NS | NS | NS | |
| A/G ratio | r | −0.397 | −0.33 | - | - | 0.153 |
| p | <0.001 | <0.001 | NS | NS | 0.026 | |
| Age | r | 0.181 | 0.225 | - | - | - |
| p | 0.008 | 0.001 | NS | NS | NS | |
| MET-mins | r | - | −0.237 | −0.14 | - | - |
| p | NS | 0.001 | 0.042 | NS | NS |
| IMT | ABI | IMT ≥ 1.0 | Plaque | IMT ≥ 1.0 or Plaque | ABI ≤ 0.9 | ||
|---|---|---|---|---|---|---|---|
| HMW Adiponectin | β/EXP(B) | - | - | - | - | - | - |
| p | NS | NS | NS | NS | NS | NS | |
| Leptin | β/EXP(B) | - | - | - | - | - | - |
| p | NS | NS | NS | NS | NS | NS | |
| Resistin | β/EXP(B) | 0.179 | - | - | 1.000 | - | - |
| p | 0.009 | NS | NS | 0.049 | NS | NS | |
| RBP-4 | β/EXP(B) | - | - | - | - | - | - |
| p | NS | NS | NS | NS | NS | NS | |
| Visfatin | β/EXP(B) | 0.212 | −0.141 | 1.139 | - | 1.136 | - |
| p | 0.002 | 0.040 | 0.002 | NS | 0.008 | NS |
| Visfatin | Resistin | ||||||
|---|---|---|---|---|---|---|---|
| β | t/Exp(B) | p | β | t/Exp(B) | p | ||
| Mean IMT | 0.206 | 3.06 | 0.003 | 0.137 | 1.99 | 0.049 | |
| ABI | −0.151 | −2.09 | 0.038 | - | - | NS | |
| IMT > 1.0 | 0.136 | 1.146 | 0.006 | - | - | NS | |
| Plaque | - | - | NS | - | - | NS | |
| IMT > 1.0 or Plaque | 0.160 | 1.174 | 0.005 | - | - | NS | |
| ABI ≤ 0.9 | 0.107 | 1.113 | 0.029 | - | - | NS | |
Disclaimer/Publisher’s Note: The statements, opinions and data contained in all publications are solely those of the individual author(s) and contributor(s) and not of MDPI and/or the editor(s). MDPI and/or the editor(s) disclaim responsibility for any injury to people or property resulting from any ideas, methods, instructions or products referred to in the content. |
© 2023 by the authors. Licensee MDPI, Basel, Switzerland. This article is an open access article distributed under the terms and conditions of the Creative Commons Attribution (CC BY) license (https://creativecommons.org/licenses/by/4.0/).
Share and Cite
Kärberg, K.; Forbes, A.; Lember, M. Visfatin and Subclinical Atherosclerosis in Type 2 Diabetes: Impact of Cardiovascular Drugs. Medicina 2023, 59, 1324. https://doi.org/10.3390/medicina59071324
Kärberg K, Forbes A, Lember M. Visfatin and Subclinical Atherosclerosis in Type 2 Diabetes: Impact of Cardiovascular Drugs. Medicina. 2023; 59(7):1324. https://doi.org/10.3390/medicina59071324
Chicago/Turabian StyleKärberg, Kati, Alastair Forbes, and Margus Lember. 2023. "Visfatin and Subclinical Atherosclerosis in Type 2 Diabetes: Impact of Cardiovascular Drugs" Medicina 59, no. 7: 1324. https://doi.org/10.3390/medicina59071324
APA StyleKärberg, K., Forbes, A., & Lember, M. (2023). Visfatin and Subclinical Atherosclerosis in Type 2 Diabetes: Impact of Cardiovascular Drugs. Medicina, 59(7), 1324. https://doi.org/10.3390/medicina59071324

