Survival of Testicular Pure Embryonal Carcinoma vs. Mixed Germ Cell Tumor Patients across All Stages
Abstract
1. Introduction
2. Materials and Methods
2.1. Patients
2.2. Statistical Analyses
3. Results
3.1. Descriptive Characteristics
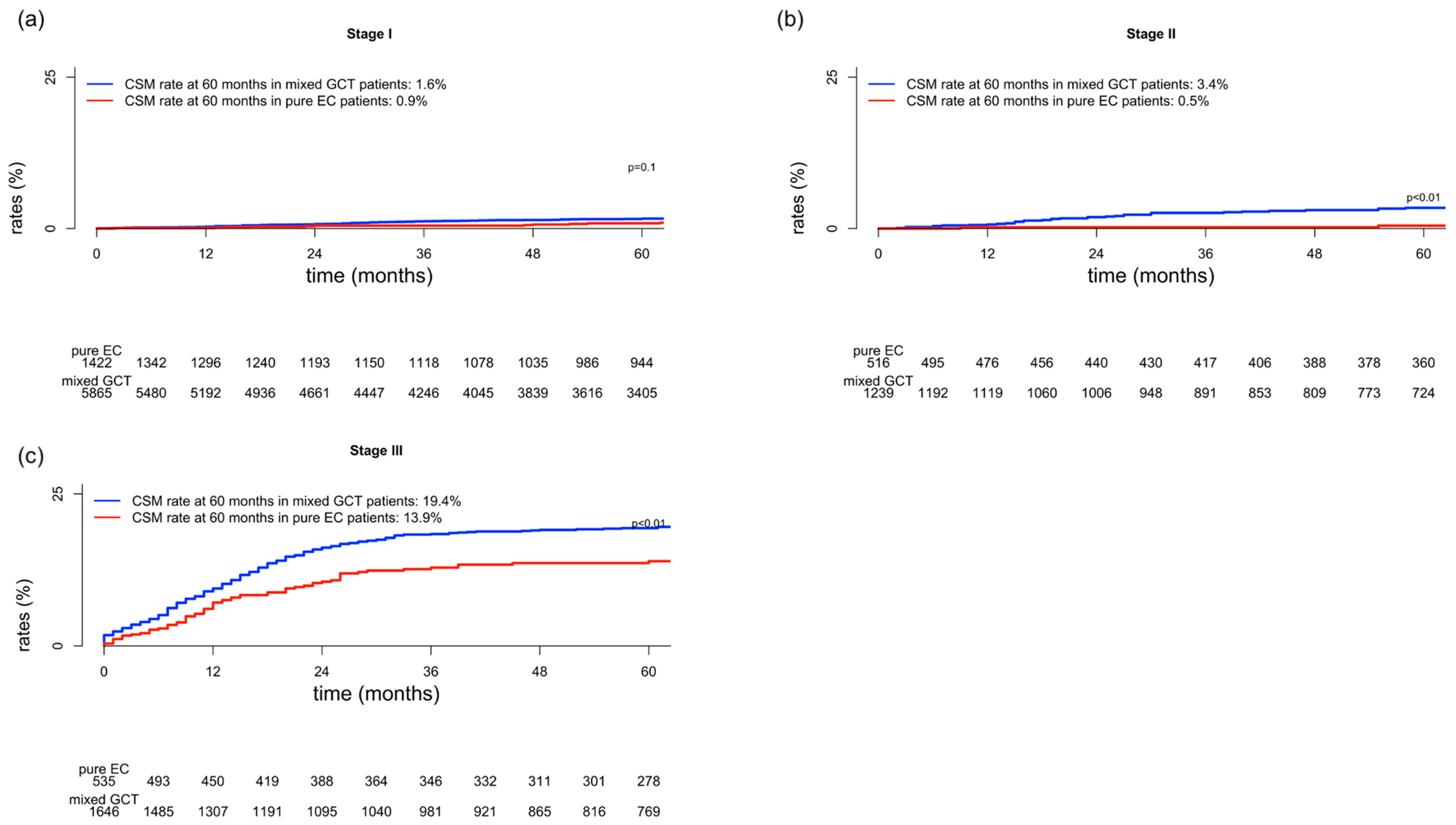
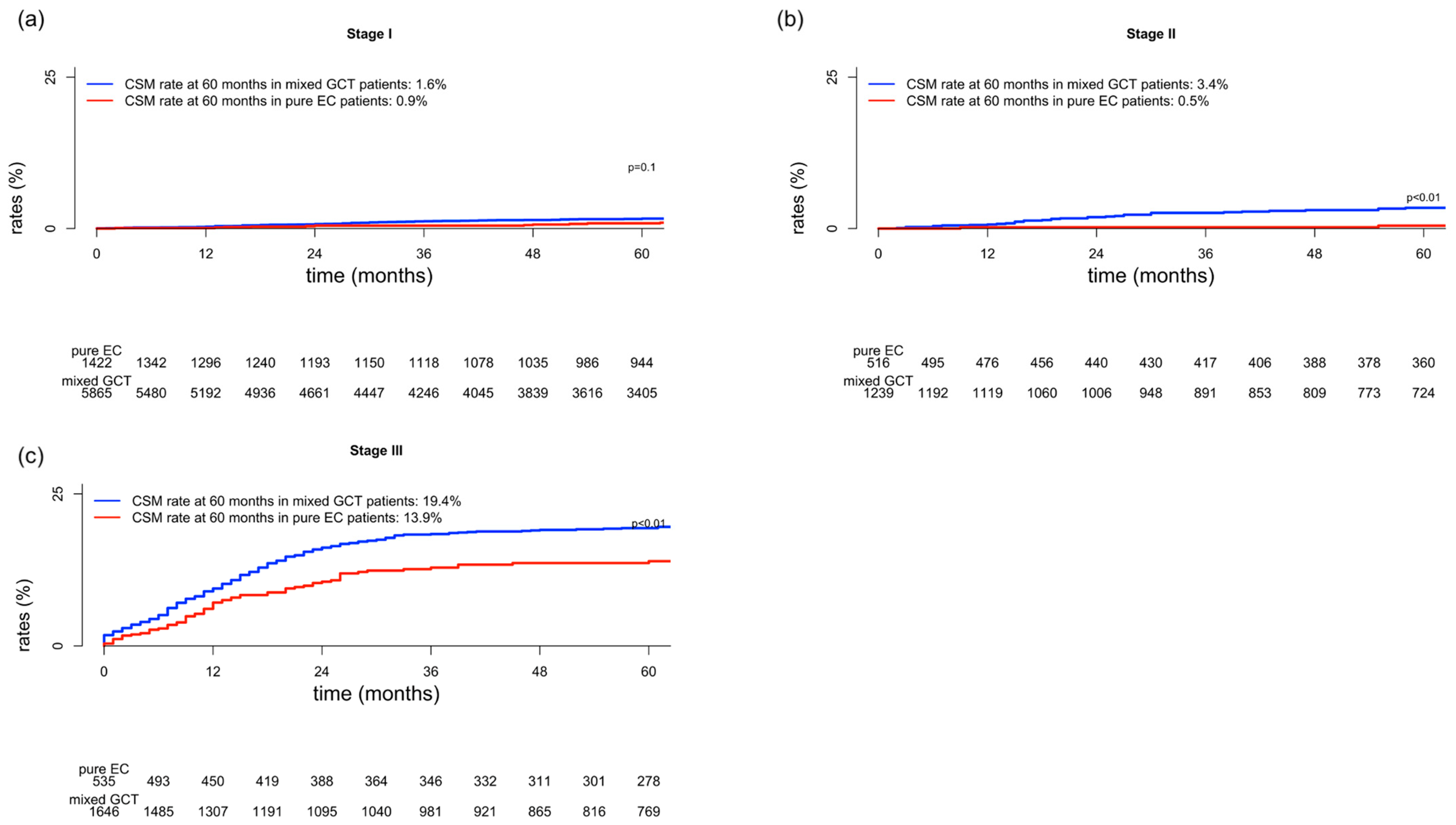
3.2. Survival in Pure Embryonal Carcinoma and Mixed Germ Cell Tumor Patients
3.3. Multivariable Competing Risks Regression Models
4. Discussion
5. Conclusions
Author Contributions
Funding
Institutional Review Board Statement
Informed Consent Statement
Data Availability Statement
Acknowledgments
Conflicts of Interest
References
- Laguna, M.P.; Albers, P.; Algaba, F.; Bokemeyer, C.; Boormans, J.L.; di Nardo, D.; Fischer, S.; Fizazi, K.; Gremmels, H.; Leão, R.; et al. EAU Guidelines on Testicular Cancer. 2022. Available online: https://uroweb.org/guidelines/testicular-cancer (accessed on 10 October 2022).
- Stephenson, A.; Eggener, S.E.; Bass, E.B.; Chelnick, D.M.; Daneshmand, S.; Feldman, D.; Gilligan, T.; Karam, J.A.; Leibovich, B.; Liauw, S.L.; et al. Diagnosis and Treatment of Early Stage Testicular Cancer: AUA Guideline. J. Urol. 2019, 202, 272–281. [Google Scholar] [CrossRef]
- Nayan, M.; Jewett, M.A.; Hosni, A.; Anson-Cartwright, L.; Bedard, P.L.; Moore, M.; Hansen, A.R.; Chung, P.; Warde, P.; Sweet, J.; et al. Conditional Risk of Relapse in Surveillance for Clinical Stage I Testicular Cancer. Eur. Urol. 2017, 71, 120–127. [Google Scholar] [CrossRef]
- Sturgeon, J.F.; Moore, M.J.; Kakiashvili, D.M.; Duran, I.; Anson-Cartwright, L.C.; Berthold, D.R.; Warde, P.; Gospodarowicz, M.K.; Alison, R.E.; Liu, J.; et al. Non-risk-adapted surveillance in clinical stage i nonseminomatous germ cell tumors: The Princess Margaret Hospital’s experience. Eur. Urol. 2011, 59, 556–562. [Google Scholar] [CrossRef] [PubMed]
- Pohar, K.S.; Rabbani, F.; Bosl, G.J.; Motzer, R.J.; Bajorin, D.; Sheinfeld, J. Results of retroperitoneal lymph node dissection for clinical stage I and II pure embryonal carcinoma of the testis. J. Urol. 2003, 170, 1155–1158. [Google Scholar] [CrossRef] [PubMed]
- Gilbert, D.C.; Al-Saadi, R.; Thway, K.; Chandler, I.; Berney, D.; Gabe, R.; Stenning, S.P.; Sweet, J.; Huddart, R.; Shipley, J.M. Defining a new prognostic index for stage i nonseminomatous germ cell tumors using CXCL12 expression and proportion of embryonal carcinoma. Clin. Cancer Res. 2016, 22, 1265–1273. [Google Scholar] [CrossRef] [PubMed]
- Blok, J.M.; Pluim, I.; Daugaard, G.; Wagner, T.; Jóźwiak, K.; Wilthagen, E.; Looijenga, L.H.; Meijer, R.P.; Bosch, J.R.; Horenblas, S. Lymphovascular invasion and presence of embryonal carcinoma as risk factors for occult metastatic disease in clinical stage I nonseminomatous germ cell tumour: A systematic review and meta-analysis. BJU Int. 2020, 125, 355–368. [Google Scholar] [CrossRef] [PubMed]
- Zengerling, F.; Beyersdorff, D.; Busch, J.; Heinzelbecker, J.; Pfister, D.; Ruf, C.; Winter, C.; Albers, P.; Kliesch, S.; Schmidt, S. Prognostic factors in patients with clinical stage I nonseminoma—Beyond lymphovascular invasion: A systematic review. World J. Urol. 2022, 40, 2879–2887. [Google Scholar] [CrossRef] [PubMed]
- Dowling, C.M.; Assel, M.; Musser, J.E.; Meeks, J.J.; Sjoberg, D.D.; Bosl, G.; Motzer, R.; Bajorin, D.; Feldman, D.; Carver, B.S.; et al. Clinical Outcome of Retroperitoneal Lymph Node Dissection after Chemotherapy in Patients with Pure Embryonal Carcinoma in the Orchiectomy Specimen. Urology 2018, 114, 133–138. [Google Scholar] [CrossRef] [PubMed]
- Bilen, M.A.; Hess, K.R.; Campbell, M.T.; Wang, J.; Broaddus, R.R.; Karam, J.A.; Ward, J.F.; Wood, C.G.; Choi, S.L.; Rao, P.; et al. Intratumoral heterogeneity and chemoresistance in nonseminomatous germ cell tumor of the testis. Oncotarget 2016, 7, 86280–86289. [Google Scholar] [CrossRef] [PubMed]
- Surveillance, Epidemiology, and End Results (SEER) Program (www.seer.cancer.gov) SEER*Stat Database: Incidence—SEER Research Data, 8 Registries, Nov 2021 Sub (1975–2019)—Linked To County Attributes—Time Dependent (1990–2019) Income/Rurality, 1969–2020 Counties, National Cancer Institute, DCCPS, Surveillance Research Program, released April 2022, Based on the November 2021 Submission. Available online: www.seer.cancer.gov (accessed on 20 January 2023).
- Overview of the SEER Program. Available online: https://seer.cancer.gov/about/overview.html (accessed on 1 November 2022).
- R Core Team. R: A Language and Environment for Statistical Computing. R Foundation for Statistical Computing, Vienna, Austria. 2022. Available online: https://www.r-project.org/ (accessed on 23 August 2022).

| Characteristic | Pure EC 1 n = 2473 (22%) | Mixed GCT 1 n = 8750 (78%) | p-Value 2 |
|---|---|---|---|
| Age at diagnosis (years) | 28 (24, 34) | 28 (24, 35) | 0.2 |
| Stage | <0.01 | ||
| I | 1422 (57%) | 5926 (67%) | |
| II | 516 (21%) | 1249 (14%) | |
| III | 535 (22%) | 1666 (19%) | |
| RPLND performed | 460 (19%) | 1636 (19%) | 0.9 |
| Serum tumor markers (S-stage) | <0.001 | ||
| S0 | 507 (21%) | 1563 (18%) | |
| S1 | 54 (2%) | 268 (3%) | |
| S2 | 186 (8%) | 804 (9%) | |
| S3 | 58 (2%) | 394 (5%) | |
| S0 | 1668 (67%) | 5721 (65%) | |
| IGCCCG prognosis group for stage III (n = 2181) | n = 535 | n = 1646 | <0.01 |
| Good prognosis | 104 (19%) | 271 (16%) | |
| Intermediate prognosis | 97 (18%) | 369 (22%) | |
| Poor prognosis | 160 (30%) | 639 (39%) | |
| Unknown | 174 (33%) | 367 (22%) | |
| Presence of lung metastases | 269 (50%) | 713 (43%) | <0.01 |
| CSM | OCM | ||||
|---|---|---|---|---|---|
| Multivariable HR (95% CI) | p-Value | Multivariable HR (95% CI) | p-Value | ||
| Stage I | |||||
| Histology | Mixed GCT | Reference | - | Reference | - |
| Pure EC | 0.62 a (0.35–1.09) | 0.1 | 0.98 a (0.65–1.47) | 0.92 | |
| Stage II | |||||
| Histology | Mixed GCT | Reference | - | Reference | - |
| Pure EC | 0.11 a (0.03–0.43) | <0.01 | 2.06 a (0.98–4.35) | 0.06 | |
| Stage III | |||||
| Histology | Mixed GCT | Reference | - | Reference | - |
| Pure EC | 0.71 b (0.55–0.93) | 0.01 | 1.23 b (0.75–2.01) | 0.42 | |
Disclaimer/Publisher’s Note: The statements, opinions and data contained in all publications are solely those of the individual author(s) and contributor(s) and not of MDPI and/or the editor(s). MDPI and/or the editor(s) disclaim responsibility for any injury to people or property resulting from any ideas, methods, instructions or products referred to in the content. |
© 2023 by the authors. Licensee MDPI, Basel, Switzerland. This article is an open access article distributed under the terms and conditions of the Creative Commons Attribution (CC BY) license (https://creativecommons.org/licenses/by/4.0/).
Share and Cite
Cano Garcia, C.; Panunzio, A.; Tappero, S.; Piccinelli, M.L.; Barletta, F.; Incesu, R.-B.; Law, K.W.; Scheipner, L.; Tian, Z.; Saad, F.; et al. Survival of Testicular Pure Embryonal Carcinoma vs. Mixed Germ Cell Tumor Patients across All Stages. Medicina 2023, 59, 451. https://doi.org/10.3390/medicina59030451
Cano Garcia C, Panunzio A, Tappero S, Piccinelli ML, Barletta F, Incesu R-B, Law KW, Scheipner L, Tian Z, Saad F, et al. Survival of Testicular Pure Embryonal Carcinoma vs. Mixed Germ Cell Tumor Patients across All Stages. Medicina. 2023; 59(3):451. https://doi.org/10.3390/medicina59030451
Chicago/Turabian StyleCano Garcia, Cristina, Andrea Panunzio, Stefano Tappero, Mattia Luca Piccinelli, Francesco Barletta, Reha-Baris Incesu, Kyle W. Law, Lukas Scheipner, Zhe Tian, Fred Saad, and et al. 2023. "Survival of Testicular Pure Embryonal Carcinoma vs. Mixed Germ Cell Tumor Patients across All Stages" Medicina 59, no. 3: 451. https://doi.org/10.3390/medicina59030451
APA StyleCano Garcia, C., Panunzio, A., Tappero, S., Piccinelli, M. L., Barletta, F., Incesu, R.-B., Law, K. W., Scheipner, L., Tian, Z., Saad, F., Shariat, S. F., Tilki, D., Briganti, A., De Cobelli, O., Terrone, C., Antonelli, A., Banek, S., Kluth, L. A., Chun, F. K. H., & Karakiewicz, P. I. (2023). Survival of Testicular Pure Embryonal Carcinoma vs. Mixed Germ Cell Tumor Patients across All Stages. Medicina, 59(3), 451. https://doi.org/10.3390/medicina59030451

