The Role of Adrenaline, Noradrenaline, and Cortisol in the Pathogenesis of the Analgesic Potency, Duration, and Neurotoxic Effect of Meperidine
Abstract
:1. Introduction
2. Material and Methods
2.1. Animals
2.2. Chemical Substances
2.3. Experimental Groups
2.4. Experimental Procedure
2.4.1. Pain Threshold Test
2.4.2. Epilepsy Test
2.5. Analysis of Serum Corticosterone Levels
2.6. Analysis of Serum Adrenaline and Noradrenaline Levels
2.7. Statistical Analyses
3. Results
3.1. Pain Test Results
3.2. Epilepsy Test and Serum Corticosterone Analysis Results
3.3. Serum ADR and NDR Analysis Results
4. Discussion
5. Conclusions
Author Contributions
Funding
Institutional Review Board Statement
Informed Consent Statement
Data Availability Statement
Conflicts of Interest
References
- Yasaei, R.; Rosani, A.; Saadabadi, A. Meperidine. In StatPearls; StatPearls Publishing LLC.: Treasure Island, FL, USA, 2023. [Google Scholar]
- Elbaridi, N.; Kaye, A.D.; Choi, S.; Urman, R.D. Current concepts of phenylpiperidine derivatives use in the treatment of acute and chronic pain. Pain Physician 2017, 20, SE23. [Google Scholar] [PubMed]
- Buck, M.L. Is Meperidine the Drug That Just Won’t Die? J. Pharmacol. Exp. Ther. 2011, 16, 167–169. [Google Scholar] [CrossRef]
- Haider, S.; Saify, Z.S.; Mushtaq, N.; Siddiqui, F.; Rao, T.A.; Mallick, T.Z.; Begum, N. Synthesis and analgesic potential of 4-[4–chloro-3-(trifluoromethyl)-phenyl]-4-piperidinol analogues against pain model in mice. Med. Chem. Res. 2022, 31, 617–627. [Google Scholar] [CrossRef]
- Bethesda, L. Meperidine. In LiverTox: Clinical and Research Information on Drug-Induced Liver Injury; National Institute of Diabetes and Digestive and Kidney Diseases: Bethesda, MD, USA, 2012. [Google Scholar]
- Clark, R.F.; Wei, E.M.; Anderson, P.O. Meperidine: Therapeutic use and toxicity. J. Emerg. Med. 1995, 13, 797–802. [Google Scholar] [CrossRef] [PubMed]
- Tarradell, R.; Pol, O.; Farré, M.; Barrera, E.; Puig, M.M. Respiratory and analgesic effects of meperidine and tramadol in patients undergoing orthopedic surgery. Methods Find. Exp. Clin. Pharm. 1996, 18, 211–218. [Google Scholar]
- DeAndrade, J.R.; Maslanka, M.; Reines, H.D.; Howe, D.; Rasmussen, G.L.; Cardea, J.; Brown, J.; Bynum, L.; Shefrin, A.; Chang, Y.L.; et al. Ketorolac versus meperidine for pain relief after orthopaedic surgery. Clin. Orthop. Relat. Res. 1996, 325, 301–312. [Google Scholar] [CrossRef]
- Hull, L.C.; Llorente, J.; Gabra, B.H.; Smith, F.L.; Kelly, E.; Bailey, C.; Henderson, G.; Dewey, W.L. The effect of protein kinase C and G protein-coupled receptor kinase inhibition on tolerance induced by mu-opioid agonists of different efficacy. J. Pharmacol. Exp. Ther. 2010, 332, 1127–1135. [Google Scholar] [CrossRef]
- Gordon, D.B.; Jones, H.D.; Goshman, L.M.; Foley, D.K.; Bland, S.E. A quality improvement approach to reducing use of meperidine. Jt. Comm. J. Qual. Improv. 2000, 26, 686–699. [Google Scholar] [CrossRef]
- Larson Jr, C.P.; Jaffe, R.A.; Larson, C.P.; Jaffe, R.A. Meperidine: A forgotten Jewel. In Practical Anesthetic Management: The Art of Anesthesiology; Springer: Berlin/Heidelberg, Germany, 2017; pp. 81–90. [Google Scholar]
- Mildh, L.H.; Leino, K.A.; Kirvelä, O.A. Effects of tramadol and meperidine on respiration, plasma catecholamine concentrations, and hemodynamics. J. Clin. Anesth. 1999, 11, 310–316. [Google Scholar] [CrossRef]
- Aksoy, M.; Ince, I.; Ahiskalioglu, A.; Dostbil, A.; Celik, M.; Turan, M.I.; Cetin, N.; Suleyman, B.; Alp, H.H.; Suleyman, H. The suppression of endogenous adrenalin in the prolongation of ketamine anesthesia. Med. Hypotheses 2014, 83, 103–107. [Google Scholar] [CrossRef]
- Cadirci, E.; Suleyman, H.; Hacimuftuoglu, A.; Halici, Z.; Akcay, F. Indirect role of beta2-adrenergic receptors in the mechanism of analgesic action of nonsteroidal antiinflammatory drugs. Crit. Care Med. 2010, 38, 1860–1867. [Google Scholar] [CrossRef] [PubMed]
- Friesen, K.J.; Falk, J.; Bugden, S. The safety of meperidine prescribing in older adults: A longitudinal population-based study. BMC Geriatr. 2016, 16, 100. [Google Scholar] [CrossRef] [PubMed]
- Hacimuftuoglu, A.; Suleyman, H.; Cadirci, E.; Albayrak, A.; Polat, B.; Hakan Alp, H.; Halici, Z. Relation between Proepileptic Activity of Indomethacin and AdrenalGland Hormones. Iran. J. Pharm. Res. 2012, 11, 939–948. [Google Scholar]
- Blum, C.A.; Velly, L.; Brochet, C.; Ziegler, F.; Tavolacci, M.P.; Hausfater, P.; Lvovschi, V.E. Relevance of cortisol and copeptin blood concentration changes in an experimental pain model. Sci. Rep. 2022, 12, 4767. [Google Scholar] [CrossRef] [PubMed]
- Evangelista, M.C.; Silva, R.A.; Cardozo, L.B.; Kahvegian, M.A.; Rossetto, T.C.; Matera, J.M.; Fantoni, D.T. Comparison of preoperative tramadol and pethidine on postoperative pain in cats undergoing ovariohysterectomy. BMC Vet. Res. 2014, 10, 252. [Google Scholar] [CrossRef] [PubMed]
- Gruber, L.M.; Jasim, S.; Ducharme-Smith, A.; Weingarten, T.; Young Jr, W.F.; Bancos, I. The role for metyrosine in the treatment of patients with pheochromocytoma and paraganglioma. J. Clin. Endocrinol. Metab. 2021, 106, e2393–e2401. [Google Scholar] [CrossRef]
- van Koert, R.R.; Bauer, P.R.; Schuitema, I.; Sander, J.W.; Visser, G.H. Caffeine and seizures: A systematic review and quantitative analysis. Epilepsy Behav. 2018, 80, 37–47. [Google Scholar] [CrossRef]
- Carter, E.L.; Adapa, R.M. Adult epilepsy and anaesthesia. BJA Educ. 2015, 15, 111–117. [Google Scholar] [CrossRef]
- García-García, L.; Shiha, A.A.; de la Rosa, R.F.; Delgado, M.; Silván, Á.; Bascuñana, P.; Bankstahl, J.P.; Gomez, F.; Pozo, M.A. Metyrapone prevents brain damage induced by status epilepticus in the rat lithium-pilocarpine model. Neuropharmacology 2017, 123, 261–273. [Google Scholar] [CrossRef]
- Hoffman, B.B. Therapy of hypertension. In Goodman and Gilman’s the Pharmacological Basis of Therapeutics, 11th ed.; Brunton, L.L., Lazo, J.S., Parker, K.L., Eds.; McGraw-Hill: New York, NY, USA, 2006; pp. 845–868. [Google Scholar]
- Li, H.; Chen, K.; Yang, L.; Wang, Q.; Zhang, J.; He, J. The role of plasma cortisol in dementia, epilepsy, and multiple sclerosis: A Mendelian randomization study. Front. Endocrinol. 2023, 14, 1107780. [Google Scholar] [CrossRef]
- Karst, H.; De Kloet, E.R.; Joëls, M. Episodic corticosterone treatment accelerates kindling epileptogenesis and triggers long-term changes in hippocampal CA1 cells, in the fully kindled state. Eur. J. Neurosci. 1999, 11, 889–898. [Google Scholar] [CrossRef] [PubMed]
- Bradford, H. Glutamate, GABA and epilepsy. Prog. Neurobiol. 1995, 47, 477–511. [Google Scholar] [PubMed]
- da Silva, F.H.L.; Faas, G.C.; Kamphuis, W.; Titulaer, M.; Vreugdenhil, M.; Wadman, W.J. Regional Specific Changes in Glutamate and GABA A Receptors, PKC Isozymes, and Ionic Channels in Kindling Epileptogenesis of the Hippocampus of the Rat. In Kindling 5; Springer: Berlin/Heidelberg, Germany, 1998; pp. 229–243. [Google Scholar]
- Detomas, M.; Altieri, B.; Deutschbein, T.; Fassnacht, M.; Dischinger, U. Metyrapone versus osilodrostat in the short-term therapy of endogenous Cushing’s syndrome: Results from a single center cohort study. Front. Endocrinol. 2022, 13, 903545. [Google Scholar] [CrossRef] [PubMed]
- Clayton, B.; Doran, H.; Kearney, T. Impact of pre-operative Metyrapone therapy on post-operative Steroid dependence in patients undergoing Adrenalectomy for Cushing’s Syndrome. Br. J. Surg. 2022, 109, znac057.013. [Google Scholar] [CrossRef]


| Groups | Drugs | Dose | Routes of Administration | Treatment Duration |
|---|---|---|---|---|
| HG | distilled water | 1 mL | im | 2 doses (6 h apart), 1 day |
| ip | 1 dose, 1 day | |||
| MPD | meperidine | 20 mg/kg | im | 2 doses (6 h apart), 1 day |
| MMPD | meperidine | 20 mg/kg | im | 2 doses (6 h apart), 1 day |
| metyrosin | 150 mg/kg | orally | 1 dose, 1 day | |
| C-150 | caffeine | 150 mg/kg | ip | 1 dose, 1 day |
| C-300 | caffeine | 300 mg/kg | ip | 1 dose, 1 day |
| MC-150 | meperidine | 20 mg/kg | im | 2 doses (6 h apart), 1 day |
| caffeine | 150 mg/kg | ip | 1 dose, 1 day | |
| MC-300 | meperidine | 20 mg/kg | im | 2 doses (6 h apart), 1 day |
| caffeine | 300 mg/kg | ip | 1 dose, 1 day | |
| MCL-150 | meperidine | 20 mg/kg | im | 2 doses (6 h apart), 7 days |
| caffeine | 150 mg/kg | ip | 1 dose, 7th day | |
| MCL-300 | meperidine | 20 mg/kg | im | 2 doses (6 h apart), 7 days |
| caffeine | 300 mg/kg | ip | 1 dose, 7th day | |
| MMC-150 | meperidine | 20 mg/kg | im | 2 doses (6 h apart), 7 days |
| caffeine | 150 mg/kg | ip | 1 dose, 7th day | |
| metyrapone | 150 mg/kg | orally | 1 dose, 7 days | |
| MMC-300 | meperidine | 20 mg/kg | im | 2 doses (6 h apart), 7 days |
| caffeine | 300 mg/kg | ip | 1 dose, 7th day | |
| metyrapone | 150 mg/kg | orally | 1 dose, 7 days |
| Parameters | HG | MPD | MMPD | ||
|---|---|---|---|---|---|
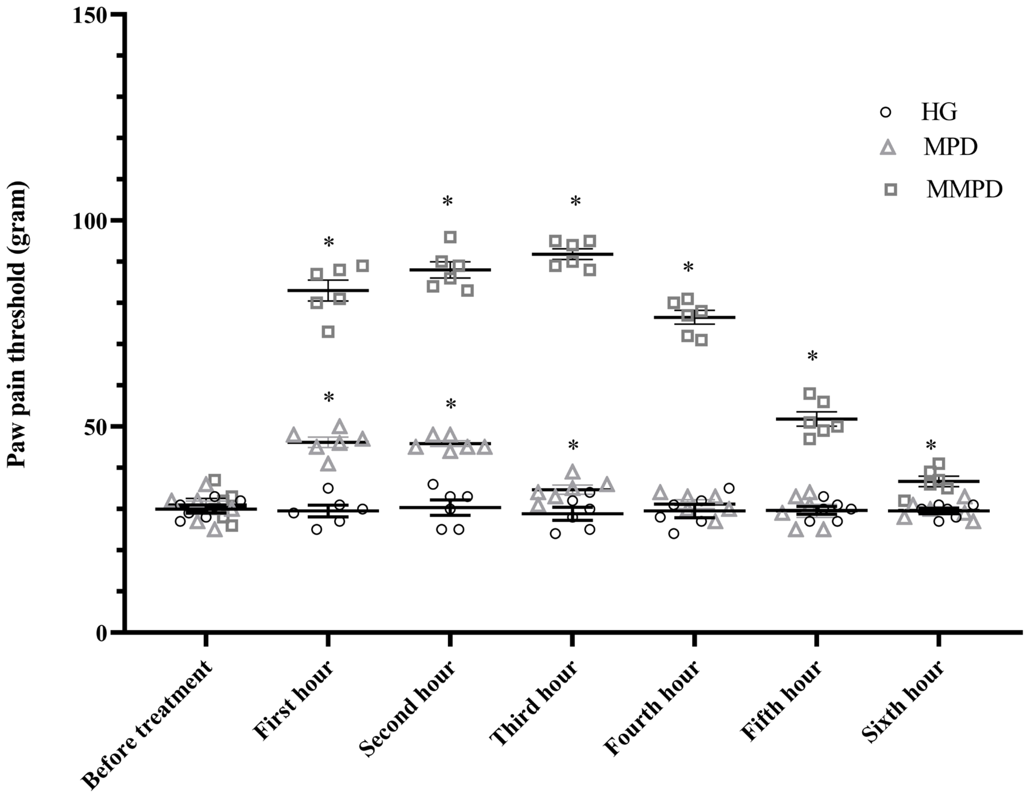
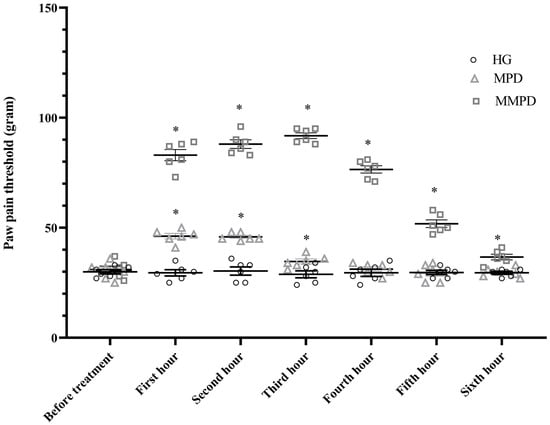
| Paw pain threshold (gram) | Before treatments | 30.00 ± 0.97 | 30.33 ± 1.61 | 31.00 ± 1.59 | |
| After treatments | First hour | 29.50 ± 1.41 ** | 46.17 ± 1.25 * | 83.00 ± 2.52 * | |
| Second hour | 30.33 ± 1.86 ** | 45.83 ± 0.70 * | 88.00 ± 1.95 * | ||
| Third hour | 28.83 ± 1.60 ** | 34.67 ± 1.12 ** | 91.83 ± 1.30 * | ||
| Fourth hour | 29.50 ± 1.61 ** | 31.17 ± 1.08 ** | 76.50 ± 1.69 * | ||
| Fifth hour | 29.67 ± 0.96 ** | 29.50 ± 1.59 ** | 51.83 ± 1.74 * | ||
| Sixth hour | 29.50 ± 0.67 ** | 29.67 ± 0.88 ** | 36.67 ± 1.28 * | ||
| p values | 0.480 | <0.001 | <0.001 | ||
| Analgesic activity (%) | First hour | −2.15 ± 2.39 a | 34.05 ± 3.89 a | 62.54 ± 1.97 ab | |
| Second hour | 0.13 ± 3.34 a | 33.78 ± 3.45 a | 64.77 ± 1.65 a | ||
| Third hour | −4.78 ± 2.82 a | 12.54 ± 3.36 b | 66.25 ± 1.61 a | ||
| Fourth hour | −2.42 ± 3.10 a | 2.93 ± 2.28 b | 59.47 ± 1.92 b | ||
| Fifth hour | −1.16 ± 1.13 a | −2.92 ± 1.62 b | 39.97 ± 3.38 c | ||
| Sixth hour | −1.69 ± 2.22 a | −2.19 ± 4.34 b | 15.62 ± 2.10 d | ||
| p values | 0.488 | <0.001 | <0.001 | ||
| Adrenaline | Before treatments | 1088.33 ± 16.34 | 1096.17 ± 12.67 | ||
| After treatments | First hour | 1091.17 ± 6.90 ** | 701.33 ± 10.63 * | ||
| Second hour | 1100.67 ± 4.13 ** | 697.00 ± 9.60 * | |||
| Third hour | 1425.17 ± 7.91 * | 691.00 ± 7.18 * | |||
| Fourth hour | 1435.50 ± 5.12 * | 791.00 ± 5.97 * | |||
| p values | <0.001 | <0.001 | |||
| Noradrenaline | Before treatments | 513.67 ± 5.45 | 525.83 ± 3.83 | ||
| After treatments | First hour | 519.00 ± 18.87 ** | 208.00 ± 5.68 * | ||
| Second hour | 508.83 ± 37.78 ** | 225.33 ± 4.86 * | |||
| Third hour | 507.83 ± 37.62 ** | 232.67 ± 3.61 * | |||
| Fourth hour | 513.00 ± 35.81 ** | 252.67 ± 4.21 * | |||
| p values | 0.886 | <0.001 | |||
| Groups | Latent Period (s) | Number of Rats with Epileptic Seizures | Number of Dead Animals | Corticosterone Levels |
|---|---|---|---|---|
| HG | - | - | - | 4.31 ± 0.07 * |
| C-150 | - | 0 | 0 | 4.38 ± 1.7 * |
| C-300 | 152.00 ± 2.54 * | 6 | 6 | 4.27 ± 0.20 * |
| MC-150 | - | 0 | 0 | 4.23 ± 0.11 * |
| MC-300 | 149.17 ± 2.98 * | 6 | 6 | 4.08 ± 0.14 * |
| MCL-150 | 198.33 ± 3.20 ** | 6 | 0 | 7.07 ± 0.17 ** |
| MCL-300 | 79.33 ± 2.35 # | 6 | 6 | 7.27 ± 0.20 ** |
| MMC-150 | - | 0 | 0 | 4.05 ± 0.10 * |
| MMC-300 | 157.17 ± 2.12 * | 6 | 6 | 4.20 ± 0.21 * |
| p values | <0.001 | <0.001 |
Disclaimer/Publisher’s Note: The statements, opinions and data contained in all publications are solely those of the individual author(s) and contributor(s) and not of MDPI and/or the editor(s). MDPI and/or the editor(s) disclaim responsibility for any injury to people or property resulting from any ideas, methods, instructions or products referred to in the content. |
© 2023 by the authors. Licensee MDPI, Basel, Switzerland. This article is an open access article distributed under the terms and conditions of the Creative Commons Attribution (CC BY) license (https://creativecommons.org/licenses/by/4.0/).
Share and Cite
Yilmaz, M.; Suleyman, B.; Mammadov, R.; Altuner, D.; Bulut, S.; Suleyman, H. The Role of Adrenaline, Noradrenaline, and Cortisol in the Pathogenesis of the Analgesic Potency, Duration, and Neurotoxic Effect of Meperidine. Medicina 2023, 59, 1793. https://doi.org/10.3390/medicina59101793
Yilmaz M, Suleyman B, Mammadov R, Altuner D, Bulut S, Suleyman H. The Role of Adrenaline, Noradrenaline, and Cortisol in the Pathogenesis of the Analgesic Potency, Duration, and Neurotoxic Effect of Meperidine. Medicina. 2023; 59(10):1793. https://doi.org/10.3390/medicina59101793
Chicago/Turabian StyleYilmaz, Mehmet, Bahadir Suleyman, Renad Mammadov, Durdu Altuner, Seval Bulut, and Halis Suleyman. 2023. "The Role of Adrenaline, Noradrenaline, and Cortisol in the Pathogenesis of the Analgesic Potency, Duration, and Neurotoxic Effect of Meperidine" Medicina 59, no. 10: 1793. https://doi.org/10.3390/medicina59101793
APA StyleYilmaz, M., Suleyman, B., Mammadov, R., Altuner, D., Bulut, S., & Suleyman, H. (2023). The Role of Adrenaline, Noradrenaline, and Cortisol in the Pathogenesis of the Analgesic Potency, Duration, and Neurotoxic Effect of Meperidine. Medicina, 59(10), 1793. https://doi.org/10.3390/medicina59101793

