Efficacy of Tocilizumab in Management of COVID-19 Patients Admitted to Intensive Care Units: A Multicenter Retrospective Cohort Study
Abstract
1. Introduction
2. Methods
2.1. Study Design and Seting
2.2. Subjects
2.3. Sampling Technique and Method of Selection
2.4. Data Collection Tools
2.5. Treatment Protocol and Outcomes
2.6. Statistical Analysis
3. Results
3.1. Baseline Characteristics of the Study Population
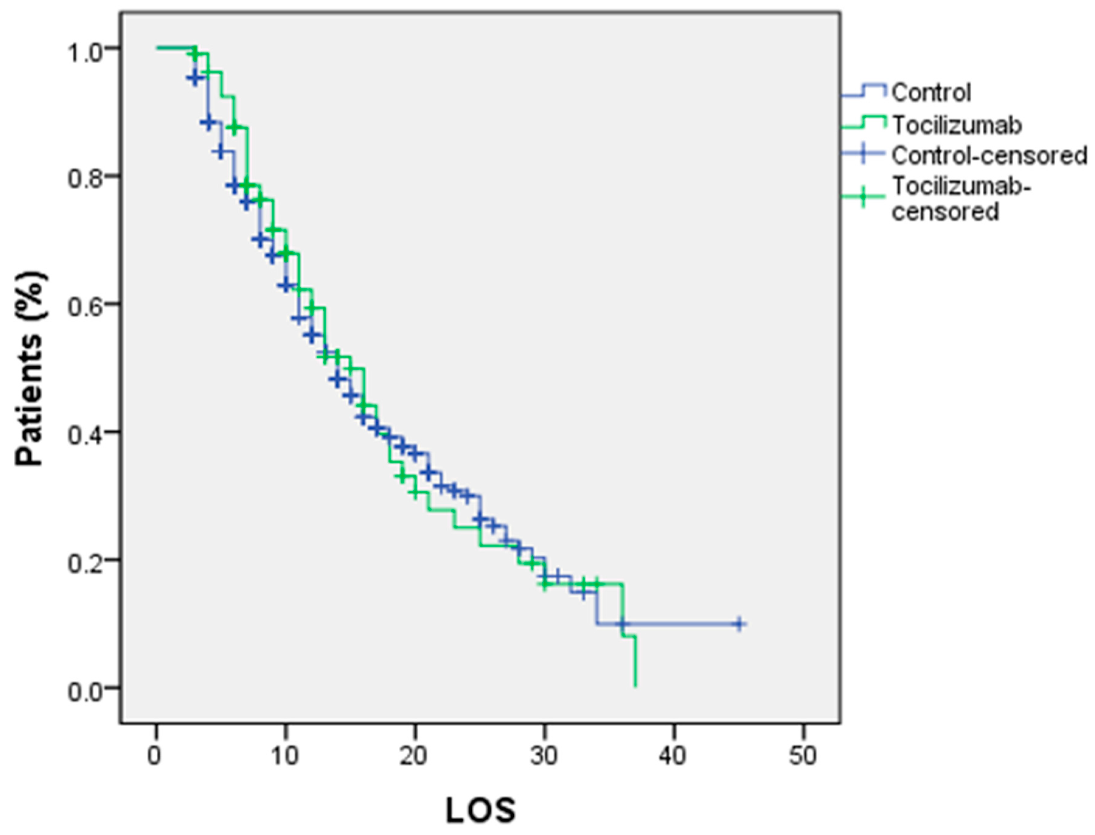
3.2. Effect on the Clinical Outcomes
4. Discussion
5. Conclusions
6. Limitations
Author Contributions
Funding
Institutional Review Board Statement
Informed Consent Statement
Data Availability Statement
Acknowledgments
Conflicts of Interest
References
- Farahat, R.A.; Baklola, M.; Umar, T.P. Omicron B.1.1.529 subvariant: Brief evidence and future prospects. Ann. Med. Surg. 2022, 83, 104808. [Google Scholar] [CrossRef] [PubMed]
- Schaalan, M.; Abou Warda, A.E.; Osman, S.M.; Fathy, S.; Sarhan, R.M.; Boshra, M.S.; Sarhan, N.; Gaber, S.; Ali, A.M.A. The Impact of Sociodemographic, Nutritional, and Health Factors on the Incidence and Complications of COVID-19 in Egypt: A Cross-Sectional Study. Viruses 2022, 14, 448. [Google Scholar] [CrossRef] [PubMed]
- Li, Q.; Guan, X.; Wu, P.; Wang, X.; Zhou, L.; Tong, Y.; Ren, R.; Leung, K.S.M.; Lau, E.H.Y.; Wong, J.Y.; et al. Early Transmission Dynamics in Wuhan, China, of Novel Coronavirus–Infected Pneumonia. N. Engl. J. Med. 2020, 382, 1199–1207. [Google Scholar] [CrossRef] [PubMed]
- Cao, B.; Wang, Y.; Wen, D.; Liu, W.; Wang, J.; Fan, G.; Ruan, L.; Song, B.; Cai, Y.; Wei, M.; et al. A Trial of Lopinavir–Ritonavir in Adults Hospitalized with Severe COVID-19. N. Engl. J.Med. 2020, 382, 1787–1799. [Google Scholar] [CrossRef]
- Moore, J.B.; June, C.H. Cytokine release syndrome in severe COVID-19. Science 2020, 368, 473–474. [Google Scholar] [CrossRef]
- Xu, X.; Han, M.; Li, T.; Sun, W.; Wang, D.; Fu, B.; Zhou, Y.; Zheng, X.; Yang, Y.; Li, X.; et al. Effective treatment of severe COVID-19 patients with tocilizumab. Proc. Natl. Acad. Sci. USA 2020, 117, 10970–10975. [Google Scholar] [CrossRef]
- Price, C.C.; Altice, F.L.; Shyr, Y.; Koff, A.; Pischel, L.; Goshua, G.; Azar, M.M.; Mcmanus, D.; Chen, S.-C.; Gleeson, S.E.; et al. Tocilizumab Treatment for Cytokine Release Syndrome in Hospitalized Patients With Coronavirus Disease 2019: Survival and Clinical Outcomes. Chest 2020, 158, 1397–1408. [Google Scholar] [CrossRef]
- Durán-Méndez, A.; Aguilar-Arroyo, A.D.; Vivanco-Gómez, E.; Nieto-Ortega, E.; Pérez-Ortega, D.; Jiménez-Pérez, C.; Hernández-Skewes, K.Y.; Montiel-Bravo, G.; Roque-Reyes, O.J.; Romero-Lechuga, F.; et al. Tocilizumab reduces COVID-19? J. Transl. Med. 2020, 18, 1–5. [Google Scholar]
- DeMerle, K.; Angus, D.C.; Seymour, C.W. Precision medicine for COVID-19: Phenotype anarchy or promise realized? JAMA 2021, 325, 2041–2042. [Google Scholar] [CrossRef]
- Rodríguez-Baño, J.; Pachón, J.; Carratalà, J.; Ryan, P.; Jarrín, I.; Yllescas, M.; Arribas, J.R.; Berenguer, J.; Muñoz, E.A.; Gil Divasson, P.; et al. Treatment with tocilizumab or corticosteroids for COVID-19 patients with hyperinflammatory state: A multicentre cohort study (SAM-COVID-19). Clin. Microbiol. Infect. 2021, 27, 244–252. [Google Scholar] [CrossRef]
- Huang, E.; Isonaka, S.; Yang, H.; Salce, E.; Rosales, E.; Jordan, S.C. Tocilizumab treatment in critically ill patients with COVID-19: A retrospective observational study. Int. J. Infect. Dis. 2021, 105, 245–251. [Google Scholar] [CrossRef] [PubMed]
- Seguin, A.; Galicier, L.; Boutboul, D.; Lemiale, V.; Azoulay, E. Pulmonary involvement in patients with hemophagocytic lymphohistiocytosis. Chest 2016, 149, 1294–1301. [Google Scholar] [CrossRef] [PubMed]
- Crisafulli, S.; Isgrò, V.; La Corte, L.; Atzeni, F.; Trifirò, G. Potential role of anti-interleukin (IL)-6 drugs in the treatment of COVID-19: Rationale, clinical evidence and risks. BioDrugs 2020, 34, 415–422. [Google Scholar] [CrossRef] [PubMed]
- Fu, B.; Xu, X.; Wei, H. Why tocilizumab could be an effective treatment for severe COVID-19 mortality and pathology in a dose and timing-dependent fashion: A multi-centric study. Sci. Rep. 2021, 11, 19728. [Google Scholar]
- Guaraldi, G.; Meschiari, M.; Cozzi-Lepri, A.; Milic, J.; Tonelli, R.; Menozzi, M.; Franceschini, E.; Cuomo, G.; Orlando, G.; Borghi, V.; et al. Tocilizumab in patients with severe COVID-19: A retrospective cohort study. Lancet Rheumatol. 2020, 2, e474–e484. [Google Scholar] [CrossRef]
- Gupta, S.; Wang, W.; Hayek, S.S.; Chan, L.; Mathews, K.S.; Melamed, M.L.; Brenner, S.K.; Leonberg-Yoo, A.; Schenck, E.J.; Radbel, J.; et al. Association between early treatment with tocilizumab and mortality among critically ill patients with COVID-19. JAMA Intern. Med. 2021, 181, 41–51. [Google Scholar] [CrossRef]
- Cardona-Pascual, I.; Berlana, D.; Martinez-Valle, F.; Campany-Herrero, D.; Montoro-Ronsano, J.B. Effect of tocilizumab versus standard of care in adults hospitalized with moderate-severe COVID-19 pneumonia. Med. Clínica 2022, 158, 301–307. [Google Scholar] [CrossRef]
- Hermine, O.; Mariette, X.; Tharaux, P.L.; Resche-Rigon, M.; Porcher, R.; Ravaud, P.; CORIMUNO-19 Collaborative Group. Effect of tocilizumab vs usual care in adults hospitalized with COVID-19 and moderate or severe pneumonia: A randomized clinical trial. JAMA Intern. Med. 2021, 181, 32–40. [Google Scholar] [CrossRef]
- Salvarani, C.; Dolci, G.; Massari, M.; Merlo, D.F.; Cavuto, S.; Savoldi, L.; Bruzzi, P.; Boni, F.; Braglia, L.; Turrà, C.; et al. Effect of tocilizumab vs standard care on clinical worsening in patients hospitalized with COVID-19 pneumonia: A randomized clinical trial. JAMA Intern. Med. 2021, 181, 24–31. [Google Scholar] [CrossRef]
- Stone, J.H.; Frigault, M.J.; Serling-Boyd, N.J.; Fernandes, A.D.; Harvey, L.; Foulkes, A.S.; Horick, N.K.; Healy, B.C.; Shah, R.; Bensaci, A.M.; et al. Efficacy of tocilizumab in patients hospitalized with COVID-19. N. Engl. J. Med. 2020, 383, 2333–2344. [Google Scholar] [CrossRef]
- Somers, E.C.; Eschenauer, G.A.; Troost, J.P.; Golob, J.L.; Gandhi, T.N.; Wang, L.; Zhou, N.; Petty, L.A.; Baang, J.H.; Dillman, N.O.; et al. Tocilizumab for treatment of mechanically ventilated patients with COVID-19. Clin. Infect. Dis. 2021, 73, e445–e454. [Google Scholar] [CrossRef] [PubMed]
- Campochiaro, C.; Della-Torre, E.; Cavalli, G.; De Luca, G.; Ripa, M.; Boffini, N.; Tomelleri, A.; Baldissera, E.; Rovere-Querini, P.; Ruggeri, A.; et al. Efficacy and safety of tocilizumab in severe COVID-19 patients: A single-centre retrospective cohort study. Eur. J. Intern. Med. 2020, 76, 43–49. [Google Scholar] [CrossRef] [PubMed]
- Biran, N.; Ip, A.; Ahn, J.; Go, R.C.; Wang, S.; Mathura, S.; Sinclaire, B.A.; Bednarz, U.; Marafelias, M.; Hansen, E.; et al. Tocilizumab among patients with COVID-19 in the intensive care unit: A multicentre observational study. Lancet Rheumatol. 2020, 2, e603–e612. [Google Scholar] [CrossRef] [PubMed]
- Martínez-Sanz, J.; Muriel, A.; Ron, R.; Herrera, S.; Pérez-Molina, J.A.; Moreno, S.; Serrano-Villar, S. Effects of tocilizumab on mortality in hospitalized patients with COVID-19: A multicentre cohort study. Clin. Microbiol. Infect. 2021, 27, 238–243. [Google Scholar] [CrossRef] [PubMed]
- Sarhan, R.M.; Madney, Y.M.; Abou Warda, A.E.; Boshra, M.S. Therapeutic efficacy, mechanical ventilation, length of hospital stay, and mortality rate in severe COVID-19 patients treated with tocilizumab. Int. J. Clin. Pract. 2021, 75, 14079. [Google Scholar] [CrossRef]
- Russo, G.; Solimini, A.; Zuccalà, P.; Zingaropoli, M.A.; Carraro, A.; Pasculli, P.; Perri, V.; Marocco, R.; Kertusha, B.; Del Borgo, C.; et al. Real-life use of tocilizumab with or without corticosteroid in hospitalized patients with moderate-to-severe COVID-19 pneumonia: A retrospective cohort study. PLoS ONE 2021, 16, e0257376. [Google Scholar] [CrossRef]
- Pawar, A.; Rishi, J.; Daniel, H.; Adrian, J.S.; Gale, S.; Bao, M.; Sarsour, K.; Schneeweiss, S.; Kim, S.C. Risk of serious infections in tocilizumab versus other biologic drugs in patients with rheumatoid arthritis: A multidatabase cohort study. Ann. Rheum. Dis. 2019, 78, 456–464. [Google Scholar] [CrossRef]
- Sarhan, R.M.; Harb, H.S.; Warda, A.E.A.; Salem-Bekhit, M.M.; Shakeel, F.; Alzahrani, S.A.; Madney, Y.M.; Boshra, M.S. Efficacy of the early treatment with tocilizumab-hydroxychloroquine and tocilizumab-remdesivir in severe COVID-19 Patients. J. Infect. Public Health 2022, 15, 116–122. [Google Scholar] [CrossRef]
- Rabbani, R.; Hasan, J.; Anam, A.M.; Huq, S.M.R. Impact of three consecutive intravenous doses of tocilizumab in severe COVID-19 pneumonia: A retrospective cohort study. Microbes Infect. Chemother. 2021, 1, e1251. [Google Scholar] [CrossRef]
- Jones, G.; Ding, C. Chapter 71—Tocilizumab (Actemra®). In Handbook of Therapeutic Antibodies; Dübel, S., Reichert, J.M., Eds.; Wiley: New York, NY, USA, 2014. [Google Scholar] [CrossRef]
- Akdeniz, S.; Sen, A. Effect of tocilizumab treatment for COVID-19-induced acute respiratory distress syndrome (ARDS) on renal function of patients. Trop. J. Pharm. Res. 2022, 21, 629–634. [Google Scholar] [CrossRef]

| Clinical Variables | Tocilizumab (n = 110) (1) | Control (n = 630) (1) | p Value (2) | |
|---|---|---|---|---|
| Sex | Male | 68 (61.8%) | 283 (44.9%) | 0.01 |
| Female | 42 (38.2%) | 347 (55.1%) | ||
| Age | 58.5 (17.5) | 63(17) | 0.127 | |
| COVID Severity | Moderate | 69 (62.7%) | 441 (70%) | 0.128 |
| Severe | 41 (37.3%) | 189 (30%) | ||
| Comorbidities | Diabetes Mellitus | 60 (54.5%) | 316 (50.2%) | 0.396 |
| Cardiovascular Diseases | 17 (15.5%) | 171 (27.1%) | 0.009 | |
| Hypertension | 54 (49.1%) | 336 (53.3%) | 0.411 | |
| Chronic liver Diseases | 6 (5.5%) | 36 (5.7%) | 0.913 | |
| Chronic Kidney Diseases | 3 (2.7%) | 50 (7.9%) | 0.051 | |
| Asthma | 14 (12.7%) | 80 (12.7%) | 0.993 | |
| Smoking | 6 (5.5%) | 29 (4.6%) | 0.0698 | |
| Laboratory Variables | Tocilizumab (n = 110) (1) | Control (n = 630) (1) | p Value (2) |
|---|---|---|---|
| C-reactive protein (CRP) | 70 (41–74) | 44.5 (40–48.9) | <0.001 |
| Ferritin | 882 (535–882) | 681 (625–681) | <0.001 |
| D Dimer | 151 (77–249) | 151 (95–204) | 0.705 |
| Lactate dehydrogenase (LDH) | 668.3 (621–759) | 707.5 (694–720) | <0.001 |
| Aspartate transaminase (AST) | 43.5 (39–44) | 47.5 (33–48) | 0.001 |
| Alanine transaminase (ALT) | 39.5 (30–40) | 52 (28–52) | <0.001 |
| Urea | 50.5 (34.75–63) | 64 (44–76) | 0.001 |
| Creatinine | 1.2 (−1–2) | 1.2 (1–2) | 0.073 |
| Complete blood count (CBC) Normal | 23 (20.9%) | 124 (19.7%) | 0.766 |
| Monocytosis | 29 (26.4%) | 95 (15.1%) | 0.003 |
| Lymphopenia | 69 (62.7%) | 334 (53%) | 0.059 |
| lymphocytosis | 8 (7.3%) | 32 (5.1%) | 0.348 |
| Neutrophilia | 51 (46.4%) | 214 (34%) | 0.012 |
| Neutropenia | 8 (7.3%) | 12 (1.9%) | 0.005 F |
| Thrombocytopenia | 18 (16.4%) | 107(17%) | 0.873 |
| Thrombocytosis | 4 (3.6%) | 30 (4.8%) | 0.603 |
| Leukopenia | 6 (5.5%) | 24 (3.8%) | 0.603 F |
| Leukocytosis | 48 (43.6%) | 229 (36.3%) | 0.145 |
| Medication | Tocilizumab (n = 110) (1) | Control (n = 630) | p Value (2) |
|---|---|---|---|
| Antivirals | 34 (30.9%) | 245 (38.9%) | 0.111 C |
| Hydroxychloroquine | 38 (34.5%) | 48 (7.2%) | 0.001 C |
| Ivermectin | 77 (70%) | 368 (58%) | 0.022 C |
| Anticoagulants | 110 (100%) | 609 (96%) | 0.058 F |
| Corticosteroids | 110 (100%) | 588 (93%). | 0.002 F |
| Convalescent Plasma | 3 (2.7%) | 3 (0.5%) | 0.046 F |
| Antibiotics | 107 (97.3%) | 621 (98%) | 0.401 F |
| Antifungals | 0 (0%) | 35 (5.6%) | 0.006 F |
| Clinical Investigations | Tocilizumab (n = 110) (1) | Control (n = 630) (1) | p Value (2) | |
|---|---|---|---|---|
| CT Scan Findings | Ground glass opacity | 53 (48.2%) | 352 (55.9%) | 0.001 F |
| Infiltrations | 2 (1%) | 19 (3%) | ||
| Major abnormality | 14 (12.7%) | 80 (12.7%) | ||
| Mixed ground glass opacity and Infiltrations | 37 (33.6%) | 66 (10.5%) | ||
| Patchy shadowing | 4 (3.6%) | 113 (17.9%) |
| Outcome | Tocilizumab (n = 110) (1) | Control (n = 630) (1) | p Value (2) |
|---|---|---|---|
| Primary Outcome | |||
| Death (Mortality) | 59 (53.6%) | 304 (48.3%) | 0.297 |
| Discharged alive | 51 (46.4%) | 326 (51.7%) | |
| Secondary Outcome | |||
| Length of stay (Days) (3) | 10 (7–15) | 8 (5–14) | 0.045 |
| Respiratory Support | Death (n = 363) (1) | Discharged Alive (n = 377) (1) | p Value (2) |
|---|---|---|---|
| Ordinary simple nasal cannula | 6 (1.7%) | 36 (9.5%) | <0.001 |
| Simple mask | 30 (8.3%) | 151 (40.1%) | |
| Mask with reservoir (non-rebreathing mask) | 115 (31.7%) | 93 (24.7%) | |
| High flow nasal oxygen | 17 (4.7%) | 44 (11.7%) | |
| Noninvasive ventilation, Continuous positive airway pressure (CPAP) | 125 (34.4%) | 47 (12.5%) | |
| Invasive ventilation, Mechanical ventilation (MV) | 70 (19.3%) | 6 (1.6%) |
| Risk Factor | Odd Ratio | 95% CI | p-Value | |
|---|---|---|---|---|
| Lower | Upper | |||
| Sex | 1.358 | 0.926 | 1.990 | 0.117 |
| Smoking | 0.725 | 0.311 | 1.690 | 0.456 |
| Diabetes | 1.065 | 0.726 | 1.561 | 0.749 |
| Cardiovascular diseases | 0.928 | 0.601 | 1.434 | 0.737 |
| Hypertension | 1.500 | 0.997 | 2.257 | 0.052 |
| Chronic liver disease | 1.183 | 0.559 | 2.505 | 0.661 |
| Creatine kinase (CK) | 0.570 | 0.254 | 1.281 | 0.174 |
| Asthma | 0.896 | 0.516 | 1.557 | 0.698 |
| COVID Severity | 1.536 | 1.022 | 2.309 | 0.039 * |
| CT scan findings | 1.562 | 0.434 | 5.627 | 0.045 * |
| CBC Normal | 1.625 | 0.985 | 2.682 | 0.058 |
| Monocytosis | 0.841 | 0.507 | 1.395 | 0.502 |
| Lymphopenia | 0.832 | 0.541 | 1.280 | 0.403 |
| Lymphocytosis | 0.502 | 0.213 | 1.181 | 0.114 |
| Neutrophilia | 1.120 | 0.721 | 1.739 | 0.614 |
| Neutropenia | 0.958 | 0.323 | 2.839 | 0.938 |
| Thrombocytopenia | 1.210 | 0.745 | 1.967 | 0.441 |
| Thrombocytosis | 2.833 | 1.053 | 7.627 | 0.039 * |
| Leukopenia | 0.791 | 0.319 | 1.962 | 0.613 |
| Leukocytosis | 0.659 | 0.426 | 1.019 | 0.061 |
| Antivirals | 0.739 | 0.501 | 1.089 | 0.126 |
| Hydroxychloroquine | 0.940 | 0.514 | 1.719 | 0.841 |
| Ivermectin | 1.605 | 1.093 | 2.356 | 0.016 * |
| Anticoagulants | 0.542 | 0.172 | 1.710 | 0.297 |
| Corticosteroids | 1.826 | 0.808 | 4.129 | 0.148 |
| Convalescent plasma | 14.838 | 1.256 | 17.298 | 0.032 * |
| Antibiotics | 0.687 | 0.161 | 2.935 | 0.612 |
| Antifungals | 0.242 | 0.090 | 0.650 | 0.005 * |
| Respiratory support | 0.422 | 0.360 | 0.495 | 0.000 * |
| Tocilizumab | 0.764 | 0.446 | 1.308 | 0.326 |
Disclaimer/Publisher’s Note: The statements, opinions and data contained in all publications are solely those of the individual author(s) and contributor(s) and not of MDPI and/or the editor(s). MDPI and/or the editor(s) disclaim responsibility for any injury to people or property resulting from any ideas, methods, instructions or products referred to in the content. |
© 2022 by the authors. Licensee MDPI, Basel, Switzerland. This article is an open access article distributed under the terms and conditions of the Creative Commons Attribution (CC BY) license (https://creativecommons.org/licenses/by/4.0/).
Share and Cite
Ibrahem, H.Y.; Aly, D.H.; Warda, A.E.A.; Farahat, R.A.; Youssef, R.M.; Abdelhamid, M.H.; Goud, H.A.; Mohamed, R.R.; Eldien, M.A.Y.N.; Alotaibi, F.O.; et al. Efficacy of Tocilizumab in Management of COVID-19 Patients Admitted to Intensive Care Units: A Multicenter Retrospective Cohort Study. Medicina 2023, 59, 53. https://doi.org/10.3390/medicina59010053
Ibrahem HY, Aly DH, Warda AEA, Farahat RA, Youssef RM, Abdelhamid MH, Goud HA, Mohamed RR, Eldien MAYN, Alotaibi FO, et al. Efficacy of Tocilizumab in Management of COVID-19 Patients Admitted to Intensive Care Units: A Multicenter Retrospective Cohort Study. Medicina. 2023; 59(1):53. https://doi.org/10.3390/medicina59010053
Chicago/Turabian StyleIbrahem, Hoda Younes, Doaa Hamdy Aly, Ahmed E. Abou Warda, Ramadan Abdelmoez Farahat, Raghda Mamdouh Youssef, Mona Hassan Abdelhamid, Heba Ahmed Goud, Rana Ragab Mohamed, Menna Allah Y. Nasr Eldien, Fahad Obaid Alotaibi, and et al. 2023. "Efficacy of Tocilizumab in Management of COVID-19 Patients Admitted to Intensive Care Units: A Multicenter Retrospective Cohort Study" Medicina 59, no. 1: 53. https://doi.org/10.3390/medicina59010053
APA StyleIbrahem, H. Y., Aly, D. H., Warda, A. E. A., Farahat, R. A., Youssef, R. M., Abdelhamid, M. H., Goud, H. A., Mohamed, R. R., Eldien, M. A. Y. N., Alotaibi, F. O., Alzarea, A. I., Alanazi, A. S., Eisa, N. M., & Refaee, A. S. (2023). Efficacy of Tocilizumab in Management of COVID-19 Patients Admitted to Intensive Care Units: A Multicenter Retrospective Cohort Study. Medicina, 59(1), 53. https://doi.org/10.3390/medicina59010053

