Knee Diameter and Cross-Section Area Measurements in MRI as New Promising Methods of Chondromalacia Diagnosis-Pilot Study
Abstract
1. Introduction
2. Materials and Methods
2.1. Ethics
2.2. Study Design
2.3. Inclusion and Exclusion Criteria
2.4. Evaluation of Cartilage Chondromalacia
2.5. Knee Parameter Measurements
2.6. Image Acquisition
2.7. Statistical Analysis
3. Results
3.1. Demographics
3.2. Outerbridge Scale
3.3. Age
3.4. Sex
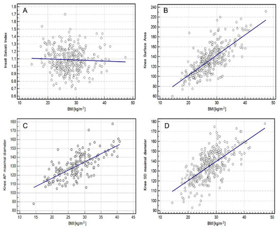
3.5. BMI
3.6. Comparison of MRI 1.5 T with MRI 3.0 T
4. Discussion
4.1. Strengths
4.2. Limitations
5. Conclusions
Author Contributions
Funding
Institutional Review Board Statement
Informed Consent Statement
Data Availability Statement
Conflicts of Interest
References
- Wong, B.; Bae, W.; Chun, J.; Gratz, K.; Lotz, M.; Robert, L. Sah Biomechanics of cartilage articulation: Effects of lubrication and degeneration on shear deformation. Arthritis Rheumatol. 2008, 58, 2065–2074. [Google Scholar] [CrossRef] [PubMed]
- Ekman, S.; Carlson, C. The Pathophysiology of Osteochondrosis. Vet. Clin. N. Am. Small Anim. Pract. 1998, 28, 17–32. [Google Scholar] [CrossRef]
- Slattery, C.; Kweon, C. Classifications in Brief: Outerbridge Classification of Chondral Lesions. Clin. Orthop. Relat. Res. 2018, 476, 2101–2104. [Google Scholar] [CrossRef] [PubMed]
- Reed, M.; Villacis, D.; Hatch, G.; Burke, W.; Colletti, P.; Narvy, S.; Mirzayan, R.; Vangsness, C. 3.0-Tesla MRI and Arthroscopy for Assessment of Knee Articular Cartilage Lesions. Orthopedics 2013, 36, e1060–e1064. [Google Scholar] [CrossRef]
- Lohmander, L.; Gerhardsson de Verdier, M.; Rollof, J.; Nilsson, P.; Engström, G. Incidence of severe knee and hip osteoarthritis in relation to different measures of body mass: A population-based prospective cohort study. Ann. Rheum. 2008, 68, 490–496. [Google Scholar] [CrossRef]
- Fairbank, J.; Pynsent, P.; van Poortvliet, J.; Phillips, H. Mechanical factors in the incidence of knee pain in adolescents and young adults. JBJS Br. Vol. 1984, 66-B, 685–693. [Google Scholar] [CrossRef]
- Erkocak, O.; Kucukdurmaz, F.; Sayar, S.; Erdil, M.; Ceylan, H.; Tuncay, I. Anthropometric measurements of tibial plateau and correlation with the current tibial implants. Knee Surg. Sports Traumatol. Arthrosc. 2015, 24, 2990–2997. [Google Scholar] [CrossRef]
- Guven, N.; Ozkan, S.; Turkozu, T.; Yokus, A.; Adanas, C.; Gokalp, M.; Tokyay, A. Insall–Salvati index is associated with anterior cruciate ligament tears in men: A Case-controlled study. J. Orthop. 2022, 30, 230949902110696. [Google Scholar] [CrossRef]
- Verhulst, F.; van Sambeeck, J.; Olthuis, G.; van der Ree, J.; Koëter, S. Patellar height measurements: Insall–Salvati ratio is most reliable method. Knee Surg. Sports Traumatol. Arthrosc. 2019, 28, 869–875. [Google Scholar] [CrossRef]
- Franco, B.; Sadigursky, D.; Daltro, G. Patellar position in patients with patellofemoral syndrome as characterized by anatomo-radiographic study. Rev. Bras. Ortop. (Engl. Ed.) 2018, 53, 410–414. [Google Scholar] [CrossRef]
- Haj-Mirzaian, A.; Guermazi, A.; Pishgar, F.; Roemer, F.; Sereni, C.; Hakky, M.; Zikria, B.; Demehri, S. Patellofemoral morphology measurements and their associations with tibiofemoral osteoarthritis-related structural damage: Exploratory analysis on the osteoarthritis initiative. Eur. Radiol. 2019, 30, 128–140. [Google Scholar] [CrossRef] [PubMed]
- Park, C.; Song, K.; Kim, J.; Lee, S. Retrospective evaluation of outcomes of bone peg fixation for osteochondral lesion of the talus. Bone Jt. J. 2020, 102-B, 1349–1353. [Google Scholar] [CrossRef] [PubMed]
- Slimi, F.; Zribi, W.; Trigui, M.; Amri, R.; Gouiaa, N.; Abid, C.; Rebai, M.; Boudawara, T.; Jebahi, S.; Keskes, H. The effectiveness of platelet-rich plasma gel on full-thickness cartilage defect repair in a rabbit model. Bone Jt. J. 2021, 10, 192–202. [Google Scholar] [CrossRef] [PubMed]
- Elder, S.; Clune, J.; Walker, J.; Gloth, P. Suitability of EGCG as a Means of Stabilizing a Porcine Osteochondral Xenograft. J. Funct. 2017, 8, 43. [Google Scholar] [CrossRef]
- Eldridge, S.; Barawi, A.; Wang, H.; Roelofs, A.; Kaneva, M.; Guan, Z.; Lydon, H.; Thomas, B.; Thorup, A.; Fernandez, B.; et al. Agrin induces long-term osteochondral regeneration by supporting repair morphogenesis. Sci. Transl. Med. 2020, 12, eaax9086. [Google Scholar] [CrossRef]
- Kurt, M.; Öner, A.; Uçar, M.; Kurt Aladağ, S. The relationship between patellofemoral arthritis and fat tissue volume, body mass index and popliteal artery intima-media thickness through 3T knee MRI. Turk. J. Med. Sci. 2019, 49, 844–853. [Google Scholar] [CrossRef]
- Available online: http://www.statstutor.ac.uk/resources/uploaded/spearmans.pdf (accessed on 15 February 2022).
- Skagen, P.; Horn, T.; Milunsky, A.; Dejour, D.; Stærgaard, B.; Kruse, H.; Nicolaisen, T. Patella Alta and Trochlea Dysplasia Is Associated with Abnormal Type II Collagen and Matrix Accumulation in Chondrocytes. Available online: www.scirp.org/journal/mr (accessed on 30 May 2022). [CrossRef][Green Version]
- Kar, M. Comparative Study on Insall-Salvati Index by Radiological and Clinical Methods in a Tertiary Care Centre of North Bengal, India. J. Clin. Diagn. Res. 2017, 11, AC05. [Google Scholar] [CrossRef]
- Özel, D. The relationship between early-onset chondromalacia and the position of the patella. Acta Radiol. 2019, 61, 370–375. [Google Scholar] [CrossRef]
- Leung, Y.; Wai, Y.; Leung, Y. Patella alta in Southern China. Int. Orthop. 1996, 20, 305–310. [Google Scholar] [CrossRef]
- Hauser, E. The Classic: Total Tendon Transplant for Slipping Patella. Clin. Orthop. Relat. Res. 2006, 452, 7–16. [Google Scholar] [CrossRef]
- Jordan, K. EULAR Recommendations 2003: An evidence based approach to the management of knee osteoarthritis: Report of a Task Force of the Standing Committee for International Clinical Studies Including Therapeutic Trials (ESCISIT). Ann. Rheum. 2003, 62, 1145–1155. [Google Scholar] [CrossRef] [PubMed]
- Holm, B.; Kristensen, M.; Bencke, J.; Husted, H.; Kehlet, H.; Bandholm, T. Loss of Knee-Extension Strength Is Related to Knee Swelling After Total Knee Arthroplasty. Arch. Phys. Med. Rehabil. 2010, 91, 1770–1776. [Google Scholar] [CrossRef] [PubMed]
- Holm, B.; Kristensen, M.; Husted, H.; Kehlet, H.; Bandholm, T. Thigh and Knee Circumference, Knee-Extension Strength, and Functional Performance After Fast-Track Total Hip Arthroplasty. Arch. Phys. Med. Rehabil. 2011, 3, 117–124. [Google Scholar] [CrossRef]
- Zhang, W.; Doherty, M.; Peat, G.; Bierma-Zeinstra, M.; Arden, N.; Bresnihan, B.; Herrero-Beaumont, G.; Kirschner, S.; Leeb, B.; Lohmander, L.; et al. EULAR evidence-based recommendations for the diagnosis of knee osteoarthritis. Ann. Rheum. 2009, 69, 483–489. [Google Scholar] [CrossRef]
- Murray, I.; Benke, M.; Mandelbaum, B. Management of knee articular cartilage injuries in athletes: Chondroprotection, chondrofacilitation, and resurfacing. Knee Surg. Sports Traumatol. Arthrosc. 2015, 24, 1617–1626. [Google Scholar] [CrossRef] [PubMed]
- Bakhtiary, A.; Fatemi, E. Open versus closed kinetic chain exercises for patellar chondromalacia. Br. J. Sports Med. 2007, 42, 99–102. [Google Scholar] [CrossRef]




| Grade | Macroscopy | MRI |
|---|---|---|
| Grade 0 | Normal cartilage | Normal cartilage |
| Grade 1 | Rough surface; chondral softening, focal thickening | Inhomogeneous; high signal; surface intact; cartilage swelling |
| Grade 2 | Irregular surface defects; <50% of cartilage thickness | Superficial ulceration, fissuring, fibrillation; <50% of cartilage thickness |
| Grade 3 | Loss of >50% cartilage thickness | Ulceration fissuring, fibrillation; >50% of depth of cartilage |
| Grade 4 | Cartilage loss | Full thickness chondral wear with exposure of subchondral bone |
| Parameter | Mean | SD | Median | Q25 | Q75 |
|---|---|---|---|---|---|
| Insall–Salvati Index | 1.1 | 0.15 | 1.08 | 0.99 | 1.18 |
| Knee Surface Area | 133.8 | 28.27 | 131.00 | 114.00 | 149.00 |
| Knee AP Maximal Diameter | 133.5 | 13.90 | 134.00 | 125.00 | 142.00 |
| Knee SD Maximal Diameter | 135.4 | 14.61 | 135.00 | 124.00 | 145.50 |
| Knee Surface | Knee AP Maximal Diameter | Knee SD Maximal Diameter | ||||||||
|---|---|---|---|---|---|---|---|---|---|---|
| Surface | N | Spearman | t(N-2) | p | Spearman | t(N-2) | p | Spearman | t(N-2) | p |
| Femur Lateral | 324 | 0.2234 | 4.1120 | 0.0000 | 0.1950 | 3.5673 | 0.0004 | 0.2021 | 3.7025 | 0.0003 |
| Femur Medial | 324 | 0.3067 | 5.7823 | 0.0000 | 0.2647 | 4.9259 | 0.0000 | 0.2615 | 4.8625 | 0.0000 |
| Tibia Lateral | 324 | 0.2098 | 3.8503 | 0.0001 | 0.1771 | 3.2289 | 0.0014 | 0.1928 | 3.5259 | 0.0005 |
| Tibia Medial | 324 | 0.2975 | 5.5925 | 0.0000 | 0.2655 | 4.9411 | 0.0000 | 0.2636 | 4.9030 | 0.0000 |
| Patella | 324 | 0.2351 | 4.3394 | 0.0000 | 0.1962 | 3.5900 | 0.0004 | 0.2160 | 3.9695 | 0.0001 |
| Femur | 324 | 0.2472 | 4.5780 | 0.0000 | 0.2071 | 3.7981 | 0.0002 | 0.2074 | 3.8052 | 0.0002 |
| Correlating Variables | N | Spearman | T(N-2) | p |
|---|---|---|---|---|
| Insall–Salvati Index and Age | 324 | −0.1447 | −2.6243 | 0.0002 |
| Knee Surface Area and Age | 324 | 0.2056 | 3.7691 | 0.0000 |
| Knee AP Maximal Diameter and Age | 324 | 0.1597 | 2.9022 | 0.0040 |
| Knee SD Maximal Diameter and Age | 324 | 0.2287 | 4.2152 | 0.0000 |
| Outerbridge | BMI (Mean ± SD) | |||||
|---|---|---|---|---|---|---|
| Femur Lateral | Tibia Lateral | Femur Medial | Tibia Medial | Femur | Patella | |
| Grade 0 | 26.0 ± 4.88 | 25.7 ± 4.92 | 25.3 ± 4.47 | 25.4 ± 4.55 | 25.3 ± 4.30 | 25.0 ± 3.81 |
| Grade 1 | 29.1 ± 5.31 | 28.8 ± 4.97 | 26.4 ± 4.17 | 28.2 ± 4.71 | 29.0 ± 5.90 | 26.4 ± 5.05 |
| Grade 2 | 29.4 ± 4.49 | 29.6 ± 4.54 | 29.4 ± 3.85 | 28.3 ± 3.97 | 28.8 ± 4.09 | 29.2 ± 5.29 |
| Grade 3 | 29.6 ± 5.00 | 28.8 ± 4.06 | 29.9 ± 4.90 | 28.3 ± 3.97 | 30.6 ± 4.09 | 29.5 ± 4.53 |
| Grade 4 | 27.0 ± 3.54 | 29.4 ± 5.33 | 30.3 ± 5.01 | 29.6 ± 4.78 | 29.4 ± 5.29 | 29.8 ± 4.56 |
Publisher’s Note: MDPI stays neutral with regard to jurisdictional claims in published maps and institutional affiliations. |
© 2022 by the authors. Licensee MDPI, Basel, Switzerland. This article is an open access article distributed under the terms and conditions of the Creative Commons Attribution (CC BY) license (https://creativecommons.org/licenses/by/4.0/).
Share and Cite
Sieroń, D.; Jabłońska, I.; Lukoszek, D.; Szyluk, K.; Meusburger, H.; Delimpasis, G.; Kostrzewa, M.; Platzek, I.; Christe, A. Knee Diameter and Cross-Section Area Measurements in MRI as New Promising Methods of Chondromalacia Diagnosis-Pilot Study. Medicina 2022, 58, 1142. https://doi.org/10.3390/medicina58091142
Sieroń D, Jabłońska I, Lukoszek D, Szyluk K, Meusburger H, Delimpasis G, Kostrzewa M, Platzek I, Christe A. Knee Diameter and Cross-Section Area Measurements in MRI as New Promising Methods of Chondromalacia Diagnosis-Pilot Study. Medicina. 2022; 58(9):1142. https://doi.org/10.3390/medicina58091142
Chicago/Turabian StyleSieroń, Dominik, Izabella Jabłońska, Dawid Lukoszek, Karol Szyluk, Hugo Meusburger, Georgios Delimpasis, Maciej Kostrzewa, Ivan Platzek, and Andreas Christe. 2022. "Knee Diameter and Cross-Section Area Measurements in MRI as New Promising Methods of Chondromalacia Diagnosis-Pilot Study" Medicina 58, no. 9: 1142. https://doi.org/10.3390/medicina58091142
APA StyleSieroń, D., Jabłońska, I., Lukoszek, D., Szyluk, K., Meusburger, H., Delimpasis, G., Kostrzewa, M., Platzek, I., & Christe, A. (2022). Knee Diameter and Cross-Section Area Measurements in MRI as New Promising Methods of Chondromalacia Diagnosis-Pilot Study. Medicina, 58(9), 1142. https://doi.org/10.3390/medicina58091142

