Practical Applicability of the ISARIC-4C Score on Severity and Mortality due to SARS-CoV-2 Infection in Patients with Type 2 Diabetes
Abstract
1. Introduction
2. Material and Methods
2.1. Study Design and Patients
2.2. Clinical, Anthropometric, and Laboratory Data
2.3. Confirmation of SARS-CoV-2 Infection
2.4. ISARIC-4C Score
2.5. Statistical Analysis
3. Results
3.1. Characteristics of Patients
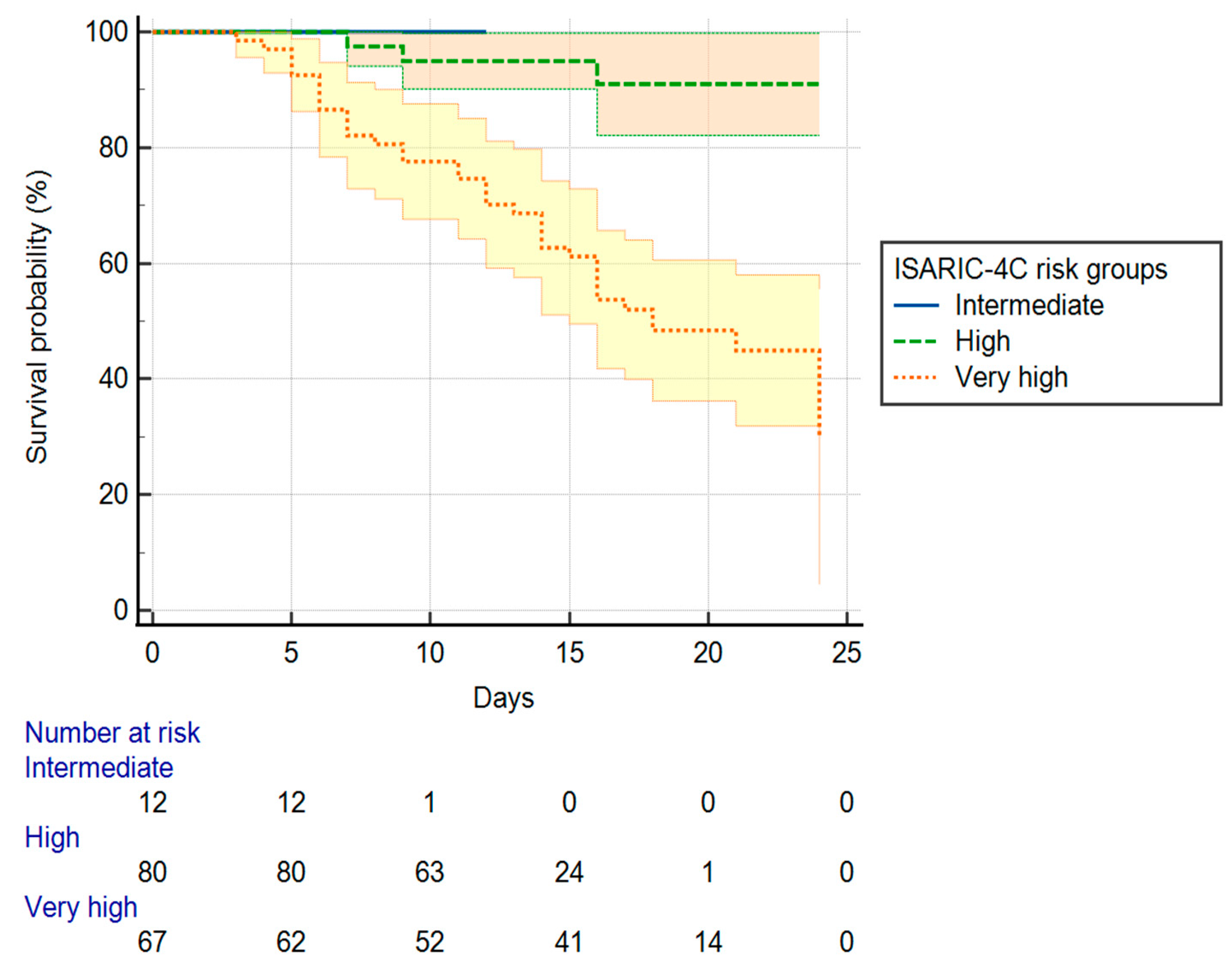
3.2. Accuracy of the ISARIC-4C Score
3.3. Hospitalization Rate
4. Discussion
5. Conclusions
Author Contributions
Funding
Institutional Review Board Statement
Informed Consent Statement
Data Availability Statement
Acknowledgments
Conflicts of Interest
References
- World Health Organization. Novel Coronavirus (2019-nCoV): Situation Report, 1; World Health Organization: Geneva, Switzerland, 2020. Available online: https://apps.who.int/iris/handle/10665/330760 (accessed on 1 January 2021).
- Albai, O.; Frandes, M.; Timar, R.; Timar, B.; Anghel, T.; Avram, V.F.; Sima, A. The Mental Status in Patients with Diabetes Mellitus Admitted to a Diabetes Clinic After Presenting in the Emergency Room: The Application of the SCL-90 Scale. Diabetes Metab. Syndr. Obes.-Targets Ther. 2021, 14, 1833–1840. [Google Scholar] [CrossRef] [PubMed]
- Abu-Ashour, W.; Twells, L.K.; Valcour, J.E.; Gamble, J.-M. Diabetes and the occurrence of infection in primary care: A matched cohort study. BMC Infect. Dis. 2018, 18, 67. [Google Scholar] [CrossRef] [PubMed]
- Bartelink, M.; Hoek, L.; Freriks, J.; Rutten, G.E.H. Infections in patients with type 2 diabetes in general practice. Diabetes Res. Clin. Pract. 1998, 40, 15–19. [Google Scholar] [CrossRef]
- Wynants, L.; Van Calster, B.; Collins, G.S.; Riley, R.D.; Heinze, G.; Schuit, E.; Bonten, M.M.J.; Dahly, D.L.; Damen, J.A.A.; Debray, T.P.A.; et al. Prediction models for diagnosis and prognosis of COVID-19 infection: Systematic review and critical appraisal. BMJ 2020, 369, m1328. [Google Scholar] [CrossRef] [PubMed]
- Holman, N.; Knighton, P.; Kar, P.; O’Keefe, J.; Curley, M.; Weaver, A.; Barron, E.; Bakhai, C.; Khunti, K.; Wareham, N.J.; et al. Risk factors for COVID-19-related mortality in people with type 1 and type 2 diabetes in England: A population-based cohort study. Lancet Diabetes Endocrinol. 2020, 8, 823–833. [Google Scholar] [CrossRef]
- Zhu, L.; She, Z.G.; Cheng, X.; Qin, J.J.; Zhang, X.J.; Cai, J.; Lei, F.; Wang, H.; Xie, J.; Wang, W.; et al. Association of blood glucose control and outcomes in patients with COVID-19 and pre-existing type 2 diabetes. Cell Metab. 2020, 31, 1068–1077. [Google Scholar] [CrossRef]
- Barron, E.; Bakhai, C.; Kar, P.; Weaver, A.; Bradley, D.; Ismail, H.; Knighton, P.; Holman, N.; Khunti, K.; Sattar, N.; et al. Associations of type 1 and type 2 diabetes with COVID-19-related mortality in England: A whole-population study. Lancet Diabetes Endocrinol. 2020, 8, 813–822. [Google Scholar] [CrossRef]
- Albai, O.; Frandes, M.; Timar, B.; Paun, D.-L.; Roman, D.; Timar, R. Long-term Risk of Malignant Neoplastic Disorders in Type 2 Diabetes Mellitus Patients with Metabolic Syndrome. Diabetes Metab. Syndr. Obes. Targets Ther. 2020, 13, 1317–1326. [Google Scholar] [CrossRef]
- Albai, O.; Timar, B.; Paun, D.-L.; Sima, A.; Roman, D.; Timar, R. Metformin Treatment: A Potential Cause of Megaloblastic Anemia in Patients with Type 2 Diabetes Mellitus. Diabetes Metab. Syndr. Obes. 2020, 13, 3873–3878. [Google Scholar] [CrossRef]
- Chen, N.; Zhou, M.; Dong, X.; Qu, J.; Gong, F.; Han, Y.; Qiu, Y.; Wang, J.; Liu, Y.; Wei, Y.; et al. Epidemiological and clinical characteristics of 99 cases of 2019 novel coronavirus pneumonia in Wuhan, China: A descriptive study. Lancet 2020, 395, 507–513. [Google Scholar] [CrossRef]
- Walls, A.C.; Park, Y.J.; Tortorici, M.A.; Wall, A.; McGuire, A.T.; Veesler, D. Structure, function, and antigenicity of the SARS-CoV-2 spike glycoprotein. Cell 2020, 181, 281–292.e6. [Google Scholar] [CrossRef]
- Li, F.; Li, W.; Farzan, M.; Harrison, S.C. Structure of SARS coronavirus spike receptor-binding domain complexed with receptor. Science 2005, 309, 1864–1868. [Google Scholar] [CrossRef]
- Zhang, H.; Penninger, J.M.; Li, Y.; Zhong, N.; Slutsky, A.S. Angiotensin-converting enzyme 2 (ACE2) as a SARS-CoV-2 receptor: Molecular mechanisms and potential therapeutic target. Intensive Care Med. 2020, 46, 586–590. [Google Scholar] [CrossRef] [PubMed]
- Wu, L.; Girgis, C.M.; Cheung, N.W. COVID-19 and diabetes: Insulin requirements parallel illness severity in critically unwell patients. Clin. Endocrinol. 2020, 93, 390–393. [Google Scholar] [CrossRef] [PubMed]
- Yang, J.K.; Feng, Y.; Yuan, M.Y.; Yuan, S.Y.; Fu, H.J.; Wu, B.Y.; Sun, G.Z.; Yang, G.R.; Zhang, X.L.; Wang, L.; et al. Plasma glucose levels and diabetes are independent predictors for mortality and morbidity in patients with SARS. Diabet. Med. 2006, 23, 623–628. [Google Scholar] [CrossRef] [PubMed]
- Codo, A.C.; Davanzo, G.G.; Monteiro, L.B.; de Souza, G.F.; Muraro, S.P.; Virgilio-da-Silva, J.V.; Prodonoff, J.S.; Carregari, V.C.; de Biagi Junior, C.A.O.; Crunfli, F.; et al. Elevated glucose levels favor SARS-CoV-2 infection and monocyte response through a HIF-1α/glycolysis-dependent axis. Cell Metab. 2020, 32, 437–446.e5. [Google Scholar] [CrossRef] [PubMed]
- Drucker, D.J. Coronavirus infections and type 2 diabetes–shared pathways with therapeutic implications. Endocr. Rev. 2020, 41, 457–470. [Google Scholar] [CrossRef]
- Gianchandani, R.; Esfandiari, N.H.; Ang, L.; Iyengar, J.; Knotts, S.; Choksi, P.; Pop-Busui, R. Managing hyperglycemia in the COVID-19 inflammatory storm. Diabetes 2020, 69, 2048–2053. [Google Scholar] [CrossRef]
- Pal, R.; Banerjee, M.; Yadav, U.; Bhattacharjee, S. Clinical profile and outcomes in COVID-19 patients with diabetic ketoacidosis: A systematic review of literature. Diabetes Metab. Syndr. 2020, 14, 1563–1569. [Google Scholar] [CrossRef]
- Knight, S.R.; Ho, A.; Pius, R.; Buchan, I.; Carson, G.; Drake, T.M.; Dunning, J.; Fairfield, C.J.; Gamble, C.; Green, C.A.; et al. Risk stratification of patients admitted to hospital with COVID-19 using the ISARIC WHO Clinical Characterisation Protocol: Development and validation of the 4C Mortality Score. BMJ 2020, 370, m3339. [Google Scholar] [CrossRef]
- Guo, W.; Li, M.; Dong, Y.; Zhou, H.; Zhang, Z.; Tian, C. Diabetes Is a Risk Factor for the Progression and Prognosis of COVID-19. Diabet. Metab. Res. Rev. 2020, 36, e3319. [Google Scholar] [CrossRef] [PubMed]
- Casqueiro, J.; Casqueiro, J.; Alves, C. Infections in Patients with Diabetes Mellitus: A Review of Pathogenesis. Indian J. Endocrinol. Metabol. 2012, 16, S27–S36. [Google Scholar] [CrossRef]
- Peleg, Y.; Weerarathna, T.; McCarthy, J.S.; Davis, T. Common Infections in Diabetes: Pathogenesis, Management and Relationship to Glycaemic Control. Diabet. Metab. Res. Rev. 2007, 23, 3–13. [Google Scholar] [CrossRef] [PubMed]
- Albai, O.; Timar, R. The relationship between 1 h glycemia, during oral glucose tolerance test and cardiometabolic risk. Rom. J. Diabetes Nutr. Metab. Dis. 2012, 19, 25–32. [Google Scholar] [CrossRef][Green Version]
- Deng, S.-Q.; Peng, H.-J. Characteristics of and Public Health Responses to the Coronavirus Disease 2019 Outbreak in China. J. Clin. Med. 2020, 9, 575. [Google Scholar] [CrossRef]
- Williamson, E.J.; Walker, A.J.; Bhaskaran, K.; Bacon, S.; Bates, C.; Morton, C.E.; Curtis, H.J.; Mehrkar, A.; Evans, D.; Inglesby, P.; et al. Factors associated with COVID-19-related death using OpenSAFELY. Nature 2020, 584, 430–436. [Google Scholar] [CrossRef]
- Wu, C.; Chen, X.; Cai, Y. Risk Factors Associated with Acute Respiratory Distress Syndrome and Death in Patients with Coronavirus Disease 2019 Pneumonia in Wuhan, China. JAMA Intern. Med. 2020, 180, 934–943. [Google Scholar] [CrossRef]
- Kulcsar, K.A.; Coleman, C.M.; Beck, S.E.; Frieman, M.B. Comorbid diabetes results in immune dysregulation and enhanced disease severity following MERS-CoV infection. JCI Insight. 2019, 4, e131774. [Google Scholar] [CrossRef]
- Adler, E.M. IL-2 Antagonizes Th17 Differentiation. Sci. STKE 2007, 2007, tw103. [Google Scholar] [CrossRef]
- Muniyappa, R.; Gubbi, S. COVID-19 pandemic, coronaviruses, and diabetes mellitus. Am. J. Physiol. Metab. 2020, 318, E736–E741. [Google Scholar] [CrossRef]
- Tang, X.; Du, R.H.; Wang, R.; Cao, T.Z.; Guan, L.L.; Yang, C.Q.; Zhu, Q.; Hu, M.; Li, X.Y.; Li, Y.; et al. Comparison of hospitalized patients with ARDS caused by COVID-19 and H1N1. Chest 2020, 158, 195–205. [Google Scholar] [CrossRef] [PubMed]
- Chen, G.; Wu, D.; Guo, W.; Cao, Y.; Huang, D.; Wang, H.; Wang, T.; Zhang, X.; Chen, H.; Yu, H.; et al. Clinical and immunological features of severe and moderate coronavirus disease 2019. J. Clin. Investig. 2020, 130, 2620–2629. [Google Scholar] [CrossRef] [PubMed]
- Teuwen, L.A.; Geldhof, V.; Pasut, A.; Carmeliet, P. COVID-19: The vasculature unleashed. Nat. Rev. Immunol. 2020, 20, 389–391. [Google Scholar] [CrossRef] [PubMed]
- Imai, Y.; Kuba, K.; Neely, G.G.; Yaghubian-Malhami, R.; Perkmann, T.; van Loo, G.; Ermolaeva, M.; Veldhuizen, R.; Leung, Y.H.; Wang, H.; et al. Identification of oxidative stress and Toll-like receptor 4 signaling as a key pathway of acute lung injury. Cell 2008, 133, 235–249. [Google Scholar] [CrossRef] [PubMed]
- Chen, I.Y.; Moriyama, M.; Chang, M.F.; Ichinohe, T. Severe acute respiratory syndrome coronavirus viroporin 3a activates the NLRP3 inflammasome. Front. Microbiol. 2019, 10, 50. [Google Scholar] [CrossRef] [PubMed]
- Zhou, F.; Yu, T.; Du, R.; Fan, G.; Liu, Y.; Liu, Z.; Xiang, J.; Wang, Y.; Song, B.; Gu, X.; et al. Clinical course and risk factors for mortality of adult inpatients with COVID-19 in Wuhan, China: A retrospective cohort study. Lancet 2020, 395, 1054–1062. [Google Scholar] [CrossRef]
- Wang, S.; Ma, P.; Zhang, S.; Song, S.; Wang, Z.; Ma, Y.; Xu, J.; Wu, F.; Duan, L.; Yin, Z.; et al. Fasting blood glucose at admission is an independent predictor for 28-day mortality in patients with COVID-19 without previous diagnosis of diabetes: A multi-centre. Diabetologia 2020, 63, 2102–2111. [Google Scholar] [CrossRef]



| Variable | All Cohort (n = 159) | Survivors (n = 117) | Non-Survivors (n = 42) | p-Value |
|---|---|---|---|---|
| Age (years) | 68.05 ± 10.06 | 65.20 ± 8.75 | 70.90 ± 11.30 | 0.010 |
| Gender (Males) | 85 (53.45%) | 63 (53.4%) | 22 (53.7%) | 0.976 |
| BMI (kg/m2) | 31.24 ± 4.31 | 30.34 ± 3.76 | 32.14 ± 4.63 | 0.0134 |
| Duration of DM (years) | 9.98 ± 4.71 | 9.76 ± 4.45 | 10.20 ± 4.98 | 0.5947 |
| Mean HbA1c (%) | 9.02 ± 1.06 | 8.84 ± 0.78 | 9.20 ± 1.36 | 0.0394 |
| Mean blood sugar at admission (mg/dL) | 228.97 ± 106.56 | 211.19 ± 104.98 | 246.75 ± 114.43 | 0.0675 |
| Serum cholesterol (mg/dL) | 206.01 ± 39.08 | 200.88 ± 37.23 | 211.14 ± 40.19 | 0.1351 |
| Serum triglycerides (mg/dL) | 245.43 ± 117.68 | 214.52 ± 114.34 | 276.34 ± 119.76 | 0.0034 |
| HDLc (mg/dL) | 36.62 ± 12.64 | 38.17 ± 13.88 | 35.06 ± 54.12 | 0.5654 |
| LDLc (mg/dL) | 121.36 ± 32.81 | 119.80 ± 35.17 | 122.92 ± 37.56 | 0.6284 |
| Fever | 151 (94.96%) | 112 (94.9%) | 39 (95.1%) | 0.838 |
| Dyspnea | 157 (98.74%) | 118 (100%) | 39 (95.1%) | 0.016 |
| Myalgia | 142 (89.3%) | 103 (87.3%) | 39 (95.1%) | 0.132 |
| Diarrhea | 10 (6.28%) | 4 (3.4%) | 6 (14.6%) | 0.019 |
| Nausea/vomiting | 9 (5.66%) | 6 (5.1%) | 3 (7.3%) | 0.422 |
| SatO2 (%) | 84.93 ± 8.26 | 93.53 ± 8.43 | 76.33 ± 5.72 | <0.001 |
| Lung impairment (%) | 48.83 ± 17.73 | 43.55 ± 11.31 | 54.11 ± 18.86 | <0.001 |
| Respiratory rate-RR | 30.18 ± 4.93 | 28.07 ± 3.74 | 32.29 ± 5.01 | <0.001 |
| PCR | 157.41 ± 81.56 | 100.09 ± 52.96 | 214.73 ± 94.17 | <0.001 |
| D-Dimer | 1257.79 ± 142.06 | 925.97 ± 115.98 | 1589.61 ± 193.92 | <0.001 |
| ASAT | 53.91 ± 24.71 | 44.73 ± 20.22 | 63.09 ± 30.98 | <0.001 |
| ALAT | 57.46 ± 51.90 | 44.21 ± 17.03 | 70.71 ± 96.23 | <0.001 |
| Lymphocytes | 983.90 ± 538.36 | 896.34 ± 443.51 | 1071.46 ± 739.02 | 0.112 |
| Low platelets | 294,981 ± 96,013.54 | 300,762.71 ± 95,017.82 | 278,341.46 ± 98,097.05 | 0.226 |
| Urea | 52.40 ± 31.67 | 47.11± 23.06 | 57.69 ± 45.68 | <0.001 |
| Mortality score | 13.66 ± 3.19 | 12.63 ± 2.94 | 14.69 ± 1.74 | <0.001 |
| Risk of death (%) | 45.18 ± 19.15 | 38.72 ± 16.84 | 51.64 ± 11.98 | <0.001 |
| Deterioration score | 633.68 ± 159.83 | 610.42 ± 108.65 | 656.94 ± 162.76 | <0.001 |
| Risk of deterioration (%) | 67.37 ± 19.09 | 59.56 ± 15.58 | 75.18 ± 5.70 | <0.001 |
| ICM/OTI | 42 (26.4%) | 2 (1.7%) | 40 (97.6%) | <0.001 |
| Comorbidity | Type | Value |
|---|---|---|
| Hypertension | Grade II | 77 (48.42%) |
| Grade III | 80 (50.31%) | |
| Neoplasm | Breast cancer | 1 (0.62%) |
| Melanoma | 1 (0.62%) | |
| Laryngeal cancer | 1 (0.62%) | |
| Bronchopulmonary neoplasm | 1 (0.62%) | |
| Prostate cancer | 1 (0.62%) | |
| Gastric neoplasm | 1 (0.62%) | |
| Heart Disease | Chronic coronary heart disease: pectoris angina, atrial fibrillation, heart failure | 152 (95.59%) |
| Lung disease | Chronic obstructive pulmonary disease | 20 (12.57%) |
| Asthma | 9 (5.66%) |
| Covariate | b | SEE | Wald | HR | 95% CI | p-Value |
|---|---|---|---|---|---|---|
| Age (years) | −0.018 | 0.032 | 0.312 | 0.981 | 0.921–1.046 | 0.576 |
| BMI (kg/m2) | 0.168 | 0.078 | 4.632 | 1.183 | 1.015–1.381 | 0.031 |
| HbA1c (%) | −0.443 | 0.135 | 10.821 | 0.641 | 0.492–0.835 | 0.001 |
| Triglycerides (mg/dL) | 0.001 | 0.002 | 0.136 | 1.001 | 0.995–1.006 | 0.712 |
| Lung impairment (%) | 0.072 | 0.022 | 10.397 | 1.075 | 1.029–1.124 | 0.001 |
| SatO2 (%) | −0.138 | 0.034 | 16.081 | 0.871 | 0.814–0.932 | <0.001 |
| PCR | 0.004 | 0.002 | 2.803 | 1.004 | 0.999–1.011 | 0.094 |
| ASAT | −0.006 | 0.011 | 0.412 | 0.993 | 0.973–1.014 | 0.521 |
| ALAT | 0.011 | 0.004 | 5.882 | 1.011 | 1.002–1.021 | 0.015 |
| D-Dimer | 0.001 | 0.001 | 0.391 | 1.001 | 0.999–1.004 | 0.532 |
| Urea | −0.008 | 0.005 | 2.681 | 0.991 | 0.981–1.002 | 0.101 |
Publisher’s Note: MDPI stays neutral with regard to jurisdictional claims in published maps and institutional affiliations. |
© 2022 by the authors. Licensee MDPI, Basel, Switzerland. This article is an open access article distributed under the terms and conditions of the Creative Commons Attribution (CC BY) license (https://creativecommons.org/licenses/by/4.0/).
Share and Cite
Albai, O.; Frandes, M.; Sima, A.; Timar, B.; Vlad, A.; Timar, R. Practical Applicability of the ISARIC-4C Score on Severity and Mortality due to SARS-CoV-2 Infection in Patients with Type 2 Diabetes. Medicina 2022, 58, 848. https://doi.org/10.3390/medicina58070848
Albai O, Frandes M, Sima A, Timar B, Vlad A, Timar R. Practical Applicability of the ISARIC-4C Score on Severity and Mortality due to SARS-CoV-2 Infection in Patients with Type 2 Diabetes. Medicina. 2022; 58(7):848. https://doi.org/10.3390/medicina58070848
Chicago/Turabian StyleAlbai, Oana, Mirela Frandes, Alexandra Sima, Bogdan Timar, Adrian Vlad, and Romulus Timar. 2022. "Practical Applicability of the ISARIC-4C Score on Severity and Mortality due to SARS-CoV-2 Infection in Patients with Type 2 Diabetes" Medicina 58, no. 7: 848. https://doi.org/10.3390/medicina58070848
APA StyleAlbai, O., Frandes, M., Sima, A., Timar, B., Vlad, A., & Timar, R. (2022). Practical Applicability of the ISARIC-4C Score on Severity and Mortality due to SARS-CoV-2 Infection in Patients with Type 2 Diabetes. Medicina, 58(7), 848. https://doi.org/10.3390/medicina58070848

