A Novel Mutation in a Gene Causes Sclerosteosis in a Family of Mediterranean Origin
Abstract
:1. Introduction
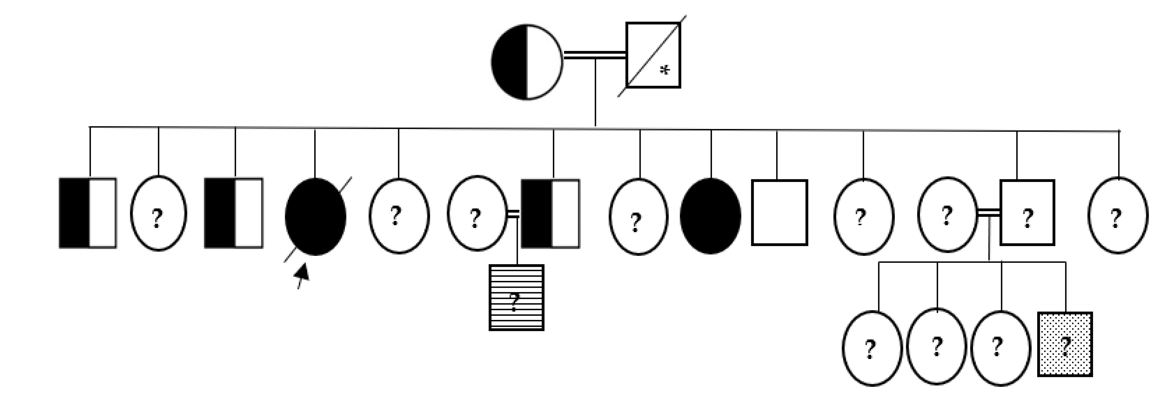
2. Case Presentation
3. Discussion
4. Conclusions
Author Contributions
Funding
Institutional Review Board Statement
Informed Consent Statement
Data Availability Statement
Acknowledgments
Conflicts of Interest
References
- Piters, E.; Culha, C.; Moester, M.; Van Bezooijen, R.; Adriaensen, D.; Mueller, T.; Weidauer, S.; Jennes, K.; De Freitas, F.; Löwik, C.; et al. First missense mutation in the SOST gene causing sclerosteosis by loss of sclerostin function. Hum. Mutat. 2010, 31, E1526–E1543. [Google Scholar] [CrossRef] [PubMed] [Green Version]
- Choi, H.Y.; Dieckmann, M.; Herz, J.; Niemeier, A. Lrp4, a novel receptor for Dickkopf 1 and sclerostin, is expressed by osteoblasts and regulates bone growth and turnover in vivo. PLoS ONE 2009, 4, e7930. [Google Scholar] [CrossRef] [PubMed]
- Beighton, P.; Durr, L.; Hamersma, H. The clinical features of sclerosteosis. A review of the manifestations in twenty-five affected individuals. Ann. Intern. Med. 1976, 84, 393–397. [Google Scholar] [CrossRef] [PubMed]
- Appelman-Dijkstra, N.; Van Lierop, A.; Papapoulos, S. SOST-Related Sclerosing Bone Dysplasias. In GeneReviews®; Appelman-Dijkstra, N., van Lierop, A., Papapoulos, S., Adam, M.P., Ardinger, H.H., Pagon, R.A., et al., Eds.; University of Washington: Seattle, WA, USA, 2002; pp. 1993–2021. [Google Scholar]
- Beighton, P.; Barnard, A.; Hamersma, H.; van der Wouden, A. The syndromic status of sclerosteosis and van Buchem disease. Clin. Genet. 1984, 25, 175–181. [Google Scholar] [CrossRef] [PubMed]
- Tacconi, P.; Ferrigno, P.; Cocco, L.; Cannas, A.; Tamburini, G.; Bergonzi, P.; Giagheddu, M. Sclerosteosis: Report of a case in a black African man. Clin. Genet. 1998, 53, 497–501. [Google Scholar] [CrossRef]
- Bueno, M.; Olivian, G.; Jimenez, A.; Garagorri, J.M.; Sarria, A.; Bueno, A.L.; Ramos, F.J. Sclerosteosis in a Spanish male: First report in a person of Mediterranean origin. J. Med. Genet. 1994, 31, 976–977. [Google Scholar] [CrossRef] [Green Version]
- Fayez, A.; Aglan, M.; Esmaiel, N.; El Zanaty, T.; Abdel Kader, M.; El Ruby, M. A Novel Loss-of-Sclerostin Function Mutation in a First Egyptian Family with Sclerosteosis. Biomed. Res. Int. 2015, 2015, 517815. [Google Scholar] [CrossRef] [Green Version]
- Belkhribchia, M.R.; Collet, C.; Laplanche, J.L.; Hassani, R. Novel SOST gene mutation in a sclerosteosis patient from Morocco: A case report. Eur. J. Med. Genet. 2014, 4, 133–137. [Google Scholar] [CrossRef]
- Whyte, M.P.; Deepak Amalnath, S.; McAlister, W.H.; Pedapati, R.; Muthupillai, V.; Duan, S.; Huskey, M.; Bijanki, V.N.; Mumm, S. Sclerosteosis: Report of type 1 or 2 in three Indian Tamil families and literature review. Bone 2018, 116, 321–332. [Google Scholar] [CrossRef]
- Bhadada, S.K.; Rastogi, A.; Steenackers, E.; Boudin, E.; Arya, A.; Dhiman, V.; Bhansali, A.; Van Hul, W. Novel SOST gene mutation in a sclerosteosis patient and her parents. Bone. 2013, 52, 707–710. [Google Scholar] [CrossRef]
- He, W.T.; Chen, C.; Pan, C.; Zhang, M.X.; Yu, X.F.; Wang, D.W.; Hu, S.H. Sclerosteosis caused by a novel nonsense mutation of SOST in a consanguineous family. Clin. Genet. 2016, 89, 205–209. [Google Scholar] [CrossRef]
- Brunkow, M.E.; Gardner, J.C.; Van Ness, J.; Paeper, B.W.; Kovacevich, B.R.; Proll, S.; Skonier, J.E.; Zhao, L.; Sabo, P.J.; Fu, Y.H.; et al. Bone dysplasia sclerosteosis results from loss of the SOST gene product, a novel cystine knot-containing protein. Am. J. Hum. Genet. 2001, 68, 577–589. [Google Scholar] [CrossRef] [Green Version]
- Loots, G.G.; Kneissel, M.; Keller, H.; Baptist, M.; Chang, J.; Collette, N.M.; Ovcharenko, D.; Plajzer-Frick, I.; Rubin, E.M. Genomic deletion of a long-range bone enhancer misregulates sclerostin in Van Buchem disease. Genome Res. 2005, 15, 928–935. [Google Scholar] [CrossRef] [Green Version]
- Balemans, W.; Van Den Ende, J.; Paes-Alves, A.F.; Dikkers, F.G.; Willems, P.J.; Vanhoenacker, F.; de Almeida-Melo, N.; Alves, C.F.; Stratakis, C.A.; Hill, S.C.; et al. Localization of the gene for sclerosteosis to the van Buchem disease—Gene region on chromosome 17q12-q21. Am. J. Hum. Genet. 1999, 64, 1661–1669. [Google Scholar] [CrossRef] [Green Version]
- Hadjidakis, D.J.; Androulakis, I.I. Bone remodeling. Ann. N. Y. Acad. Sci. 2006, 1092, 385–396. [Google Scholar] [CrossRef]
- Marie, P.J.; Kassem, M. Osteoblasts in osteoporosis: Past, emerging, and future anabolic targets. Eur. J. Endocrinol. 2011, 165, 1–10. [Google Scholar] [CrossRef] [Green Version]
- Sebastian, A.; Loots, G. G Transcriptional control of Sost in bone. Bone 2017, 96, 76–84. [Google Scholar] [CrossRef] [Green Version]
- Niehrs, C. The complex world of WNT receptor signalling. Nat. Rev. Mol. Cell Biol. 2012, 13, 767–779. [Google Scholar] [CrossRef]
- Rossi, M.; Battafarano, G.; De Martino, V.; Scillitani, A.; Minisola, S.; Del Fattore, A. Looking for new anabolic treatment from rare diseases of bone formation. J. Endocrinol. 2021, 248, R29–R40. [Google Scholar] [CrossRef]
- Paik, J.; Scott, L.J. Romosozumab: A Review in Postmenopausal Osteoporosis. Drugs Aging 2020, 37, 845–855. [Google Scholar] [CrossRef]
- Nishida, H. Bone-targeted agents in multiple myeloma. Hematol. Rep. 2018, 10, 7401. [Google Scholar] [CrossRef] [PubMed] [Green Version]
- Kim, S.J.; Bieganski, T.; Sohn, Y.B.; Kozlowski, K.; Semënov, M.; Okamoto, N.; Kim, C.H.; Ko, A.R.; Ahn, G.H.; Choi, Y.L.; et al. Identification of signal peptide domain SOST mutations in autosomal dominant craniodiaphyseal dysplasia. Hum Genet. 2011, 129, 497–502. [Google Scholar] [CrossRef]
- Balemans, W.; Ebeling, M.; Patel, N.; Van Hul, E.; Olson, P.; Dioszegi, M.; Lacza, C.; Wuyts, W.; Van Den Ende, J.; Willems, P.; et al. Increased bone density in sclerosteosis is due to the deficiency of a novel secreted protein (SOST). Hum. Mol. Genet. 2001, 10, 537–543. [Google Scholar] [CrossRef] [PubMed] [Green Version]
- Gregson, C.L.; Wheeler, L.; Hardcastle, S.A.; Appleton, L.H.; Addison, K.A.; Brugmans, M.; Clark, G.R.; Ward, K.A.; Paggiosi, M.; Stone, M.; et al. Mutations in Known Monogenic High Bone Mass Loci Only Explain a Small Proportion of High Bone Mass Cases. J. Bone Miner. Res. 2016, 31, 640–649. [Google Scholar] [CrossRef] [PubMed] [Green Version]
- Balemans, W.; Patel, N.; Ebeling, M.; Van Hul, E.; Wuyts, W.; Lacza, C.; Dioszegi, M.; Dikkers, F.G.; Hildering, P.; Willems, P.J.; et al. Identification of a 52 kb deletion downstream of the SOST gene in patients with van Buchem disease. J. Med. Genet. 2002, 39, 91–97. [Google Scholar] [CrossRef]
- Yagi, H.; Takagi, M.; Hasegawa, Y.; Kayserili, H.; Nishimura, G. Sclerosteosis (craniotubular hyperostosis-syndactyly) with complex hyperphalangy of the index finger. Pediatr. Radiol. 2015, 45, 1239–1243. [Google Scholar] [CrossRef]
- Kim, C.A.; Honjo, R.; Bertola, D.; Albano, L.; Oliveira, L.; Jales, S.; Siqueira, J.; Castilho, A.; Balemans, W.; Piters, E.; et al. A known SOST gene mutation causes sclerosteosis in a familial and an isolated case from Brazilian origin. Genet. Test. 2008, 12, 475–479. [Google Scholar] [CrossRef]
- Van Lierop, A.H.; Appelman-Dijkstra, N.M.; Papapoulos, S.E. Sclerostin deficiency in humans. Bone 2017, 96, 51–62. [Google Scholar] [CrossRef]
- Dreyer, T.; Shah, M.; Doyle, C.; Greenslade, K.; Penney, M.; Creeke, P.; Kotian, A.; Ke, H.Z.; Naidoo, V.; Holdsworth, G. Recombinant sclerostin inhibits bone formation in vitro and in a mouse model of sclerosteosis. J. Orthop. Translat. 2021, 29, 134–142. [Google Scholar] [CrossRef]



| Reference | Parental Consanguinity | Origin | Syndactyly | DNA Nucleotide Change | Predicted Protein Change | Mutation Effect | 
|---|---|---|---|---|---|---|
| Whyte et al., 2018 [10] | Yes | India | Yes | c.129C > G | p.Try43X | Nonsense | 
| He et al., 2016 [12] | Yes | China | Yes | (c.444_445TC > AA) in exon 2 | p.Cys148Ter | Premature stop codon | 
| Fayez et al., 2015 [8] | Yes | Egypt | Yes | c.87_88insC in exon 1 | p.Lys30GInfsTer3 | Frame shift | 
| Yagi et al., 2015 [27] | Yes | Turkey | Yes | c.371G > A (p.W124*) in exon 2 | pTrp124Ter | Nonsense | 
| Belkhribchia et al., 2014 [9] | No | Morocco | Yes | c.79C > T (p.Gln27*) in exon 1 | p.Gln27Ter | Nonsense | 
| Bhadada et al., 2013 [11] | No | India | Yes | c.296_297insC in exon 2 | (p.Val100fsX128) | Frame shift | 
| Piters et al., 2010 [1] | Yes | Turkey | No | (c.499T > C) in exon 2 | p.Cys167Arg | Missense | 
| Kim et al., 2008 [28] | No | Brazil | Yes | c.372G > A (Trp124X) exon 2 | p.Trp124Ter | Nonsense | 
| Balemans et al., 2001 [24] | NK | USA | NK | c.376C > T | p.Arg126Ter | Nonsense | 
| Balemans et al., 2001 [24] | Yes | Brazil | NK | c.372G > A (Trp124X) in exon 2 | p.Trp124Ter | Nonsense | 
| Brunkow at al., 2001 [13] | 6: Yes, 2: NK21: No | South Africa | NK | c.69C > T | p.Gln24Ter | Nonsense | 
| Tacconi et al., 1998 [6] | NK | Senegal | Yes | IVS1 + 3A > T | NK | Splice site | 
| Publisher’s Note: MDPI stays neutral with regard to jurisdictional claims in published maps and institutional affiliations. | 
© 2022 by the authors. Licensee MDPI, Basel, Switzerland. This article is an open access article distributed under the terms and conditions of the Creative Commons Attribution (CC BY) license (https://creativecommons.org/licenses/by/4.0/).
Share and Cite
Ekhzaimy, A.A.; Alyusuf, E.Y.; Alswailem, M.; Alzahrani, A.S. A Novel Mutation in a Gene Causes Sclerosteosis in a Family of Mediterranean Origin. Medicina 2022, 58, 202. https://doi.org/10.3390/medicina58020202
Ekhzaimy AA, Alyusuf EY, Alswailem M, Alzahrani AS. A Novel Mutation in a Gene Causes Sclerosteosis in a Family of Mediterranean Origin. Medicina. 2022; 58(2):202. https://doi.org/10.3390/medicina58020202
Chicago/Turabian StyleEkhzaimy, Aishah A., Ebtihal Y. Alyusuf, Meshael Alswailem, and Ali S. Alzahrani. 2022. "A Novel Mutation in a Gene Causes Sclerosteosis in a Family of Mediterranean Origin" Medicina 58, no. 2: 202. https://doi.org/10.3390/medicina58020202
APA StyleEkhzaimy, A. A., Alyusuf, E. Y., Alswailem, M., & Alzahrani, A. S. (2022). A Novel Mutation in a Gene Causes Sclerosteosis in a Family of Mediterranean Origin. Medicina, 58(2), 202. https://doi.org/10.3390/medicina58020202
 
         
                                                

 
       