In-Season Internal and External Workload Variations between Starters and Non-Starters—A Case Study of a Top Elite European Soccer Team
Abstract
:1. Introduction
2. Materials and Methods
2.1. Subjects
2.2. Design
2.3. Internal Training Load Quantification
2.4. External Training Load Quantification
2.5. Calculations of Training Indexes
2.6. Statistical Analysis
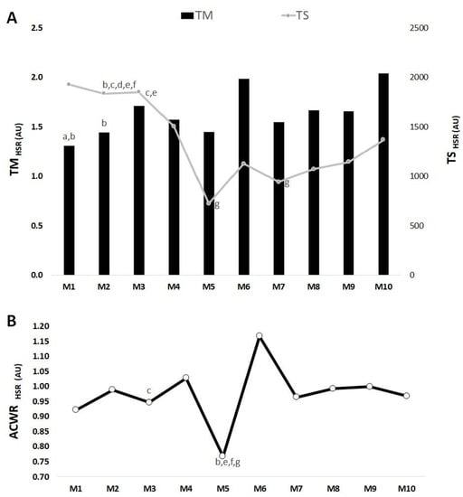
3. Results
4. Discussion
5. Conclusions
Author Contributions
Funding
Institutional Review Board Statement
Informed Consent Statement
Data Availability Statement
Acknowledgments
Conflicts of Interest
References
- Hader, K.; Rumpf, M.C.; Hertzog, M.; Kilduff, L.P.; Girard, O.; Silva, J.R. Monitoring the Athlete Match Response: Can External Load Variables Predict Post-match Acute and Residual Fatigue in Soccer? A Systematic Review with Meta-analysis. Sports Med. 2019, 5, 48. [Google Scholar] [CrossRef]
- Impellizzeri, F.M.; Marcora, S.M.; Coutts, A.J. Internal and External Training Load: 15 Years On. Int. J. Sports Physiol. Perform. 2019, 14, 270–273. [Google Scholar] [CrossRef]
- Djaoui, L.; Haddad, M.; Chamari, K.; Dellal, A. Monitoring training load and fatigue in soccer players with physiological markers. Physiol. Behav. 2017, 181, 86–94. [Google Scholar] [CrossRef]
- Rago, V.; Brito, J.; Figueiredo, P.; Costa, J.; Barreira, D.; Krustrup, P.; Rebelo, A. Methods to collect and interpret external training load using microtechnology incorporating GPS in professional football: A systematic review. Res. Sports Med. 2019, 28, 437–458. [Google Scholar] [CrossRef]
- Boullosa, D.; Casado, A.; Claudino, J.G.; Jiménez-Reyes, P.; Ravé, G.; Castaño-Zambudio, A.; Lima-Alves, A.; de Oliveira, S.A.; Dupont, G.; Granacher, U.; et al. Do you Play or Do you Train? Insights from Individual Sports for Training Load and Injury Risk Management in Team Sports Based on Individualization. Front. Physiol. 2020, 11, 995. [Google Scholar] [CrossRef] [PubMed]
- Moalla, W.; Fessi, M.S.; Farhat, F.; Nouira, S.; Wong, D.P.; Dupont, G. Relationship between daily training load and psychometric status of professional soccer players. Res. Sports Med. 2016, 24, 387–394. [Google Scholar] [CrossRef] [PubMed]
- Manzi, V.; D’Ottavio, S.; Impellizzeri, F.M.; Chaouachi, A.; Chamari, K.; Castagna, C. Profile of Weekly Training Load in Elite Male Professional Basketball Players. J. Strength Cond. Res. 2010, 24, 1399–1406. [Google Scholar] [CrossRef] [Green Version]
- Jaspers, A.; Brink, M.S.; Probst, S.G.M.; Frencken, W.G.P.; Helson, W.F. Relationships Between Training Load Indicators and Training Outcomes in Professional Soccer. Sports Med. 2017, 47, 533–544. [Google Scholar] [CrossRef] [PubMed]
- Hulin, B.T.; Gabbett, T.J.; Lawson, D.W.; Caputi, P.; Sampson, J.A. The acute:chronic workload ratio predicts injury: High chronic workload may decrease injury risk in elite rugby league players. Br. J. Sports Med. 2016, 50, 231–236. [Google Scholar] [CrossRef] [Green Version]
- Foster, C. Monitoring training in athletes with reference to overtraining syndrome. Med. Sci. Sports Exerc. 1998, 30, 1164–1168. [Google Scholar] [CrossRef]
- Nobari, H.; Praça, G.M.; Clemente, F.M.; Pérez-Gómez, J.; Carlos Vivas, J.; Ahmadi, M. Comparisons of new body load and metabolic power average workload indices between starters and non-starters: A full-season study in professional soccer players. Proceed. Inst. Mech. Eng. Part P J. Sports Eng. Technol. 2021, 235, 105–113. [Google Scholar] [CrossRef]
- Dalen, T.; Lorås, H. Monitoring Training and Match Physical Load in Junior Soccer Players: Starters versus Substitutes. Sports 2019, 7, 70. [Google Scholar] [CrossRef] [Green Version]
- Nobari, H.; Oliveira, R.; Clemente, F.M.; Adsuar, J.C.; Pérez-Gómez, J.; Carlos-Vivas, J.; Brito, J.P. Comparisons of Accelerometer Variables Training Monotony and Strain of Starters and Non-Starters: A Full-Season Study in Professional Soccer Players. Int. J. Environ. Res. Public Health 2020, 17, 6547. [Google Scholar] [CrossRef]
- Foster, C.; Florhaug, J.A.; Lori Gottschall, J.F.; Hrovatin, L.A.; Parker, S.; Doleshal, C.D.P. CBI-CDPBO1 and CBI-CDPBI1: CC-1065 analogs containing deep-seated modifications in the DNA binding subunit. J. Strength Cond. Res. 2001, 15, 109–115. [Google Scholar] [CrossRef]
- Foster, C.; Hector, L.L.; Welsh, R.; Schrager, M.; Green, M.A.; Snyder, A.C. Effects of specific versus cross-training on running performance. Eur. J. App. Physiol. Occup. Physiol. 1995, 70, 367–372. [Google Scholar] [CrossRef] [PubMed]
- Beato, M.; Devereux, G.; Stiff, A. Validity and reliability of global positioning system units (STATSports Viper) for measuring distance and peak speed in sports. J. Strength Cond. Res. 2018, 32, 2831–2837. [Google Scholar] [CrossRef]
- Clemente, F.M.; Silva, R.; Castillo, D.; Los Arcos, A.; Mendes, B.; Afonso, J. Weekly Load Variations of Distance-Based Variables in Professional Soccer Players: A Full-Season Study. Int. J. Environ. Res. Public Health 2020, 17, 3300. [Google Scholar] [CrossRef] [PubMed]
- Dalen-Lorentsen, T.; Bjørneboe, J.; Clarsen, B.; Vagle, M.; Fagerland, M.W.; Andersen, T.E. Does load management using the acute: Chronic workload ratio prevent health problems? A cluster randomised trial of 482 elite youth footballers of both sexes. Br. J. Sports Med. 2021, 55, 108–114. [Google Scholar] [CrossRef]
- Impellizzeri, F.M.; Wookcock, S.; Coutts, A.J.; Fanchini, M.; McCall, A.; Vigotsky, A.D. Acute to random workload ratio is ‘as’ associated with injury as acute to actual chronic workload ratio: Time to dismiss ACWR and its components. SportRxiv 2020. [Google Scholar] [CrossRef] [Green Version]
- Myers, N.L.; Aguilar, K.V.; Mexicano, G.; Farnsworth, J.L.; Knudson, D.; Kibler, W.B.E.N. The Acute:Chronic Workload Ratio Is Associated with Injury in Junior Tennis Players. Med. Sci. Sports Exerc. 2020, 52, 1196–1200. [Google Scholar] [CrossRef]
- Hopkins, W.G.; Marshall, S.W.; Batterham, A.M.; Hanin, J. Progressive statistics for studies in sports medicine and exercise science. Med. Sci. Sports Exerc. 2009, 41, 3–13. [Google Scholar] [CrossRef] [Green Version]
- Dupont, G.; Nedelec, M.; McCall, A.; McCormack, D.; Berthoin, S.; Wisløff, U. Effect of 2 soccer matches in a week on physical performance and injury rate. Am. J. Sports Med. 2010, 38, 1752–1758. [Google Scholar] [CrossRef]
- Lago-Peñas, C.; Rey, E.; Lago-Ballesteros, J.; Casáis, L.; Domínguez, E. The influence of a congested calendar on physical performance in elite soccer. J. Strength Cond. Res. 2011, 25, 2111–2117. [Google Scholar] [CrossRef] [PubMed]
- Julian, R.; Page, R.M.; Harper, L.D. The Effect of Fixture Congestion on Performance During Professional Male Soccer Match-Play: A Systematic Critical Review with Meta-Analysis. Sports Med. 2021, 51, 255–273. [Google Scholar] [CrossRef] [PubMed]
- Zanetti, V.; Carling, C.; Aoki, M.S.; Bradley, P.S.; Moreira, A. Are There Differences in Elite Youth Soccer Player Work Rate Profiles in Congested vs. Regular Match Schedules? J. Strength Cond. Res. 2021, 35, 473–480. [Google Scholar] [CrossRef] [Green Version]
- Dellal, A.; Lago-Peñas, C.; Rey, E.; Chamari, K.; Orhant, E. The effects of a congested fixture period on physical performance, technical activity and injury rate during matches in a professional soccer team. Br. J. Sports Med. 2015, 49, 390–394. [Google Scholar] [CrossRef] [Green Version]
- Gabbett, T.J. The training—injury prevention paradox: Should athletes be training smarter and harder? Br. J. Sports Med. 2016, 50, 273–280. [Google Scholar] [CrossRef] [Green Version]
- Impellizzeri, F.M.; Woodcock, S.; Coutts, A.J.; Fanchini, M.; McCall, A.; Vigotsky, A.D. What Role Do Chronic Workloads Play in the Acute to Chronic Workload Ratio? Time to Dismiss ACWR and Its Underlying Theory. Sports Med. 2021, 51, 581–592. [Google Scholar] [CrossRef]
- Gai, Y.; Volossovitch, A.; Leicht, A.S.; Gómez, M.-Á. Technical and physical performances of Chinese Super League soccer players differ according to their playing status and position. Int. J. Perform. Anal. Sport 2019, 19, 878–892. [Google Scholar] [CrossRef]
- Fereday, K.; Hills, S.P.; Russell, M.; Smith, J.; Cunningham, D.J.; Shearer, D.; McNarry, M.; Kilduff, L.P. A comparison of rolling averages versus discrete time epochs for assessing the worst-case scenario locomotor demands of professional soccer match-play. J. Sci. Med. Sport 2020, 23, 764–769. [Google Scholar] [CrossRef]
- Modric, T.; Versic, S.; Sekulic, D. Relations of the Weekly External Training Load Indicators and Running Performances in Professional Soccer Matches. Sport Mont. 2021, 19, 31–37. [Google Scholar]
- Clemente, F.M.; Rabbani, A.; Conte, D.; Castillo, D.; Afonso, J.; Truman Clark, C.C.; Nikolaidis, P.T.; Rosemann, T.; Knechtle, B. Training/Match External Load Ratios in Professional Soccer Players: A Full-Season Study. Int. J. Environ. Res. Public Health 2019, 16, 3057. [Google Scholar] [CrossRef] [Green Version]
- Gonçalves, L.G.C.; Kalva-Filho, C.A.; Nakamura, F.Y.; Rago, V.; Afonso, J.; Bedo, B.L.D.S.; Aquino, R. Effects of Match-Related Contextual Factors on Weekly Load Responses in Professional Brazilian Soccer Players. Int. J. Environ. Res. Public Health 2020, 17, 5163. [Google Scholar] [CrossRef]
- Saidi, K.; Zouhal, H.; Rhibi, F.; Tijani, J.M.; Boullosa, D.; Chebbi, A.; Hackney, A.C.; Granacher, U.; Bideau, B.; Abderrahman, A.B. Effects of a six-week period of congested match play on plasma volume variations, hematological parameters, training workload and physical fitness in elite soccer players. PLoS ONE 2019, 14, e0219692. [Google Scholar] [CrossRef]
- Haddad, M.; Stylianides, G.; Djaoui, L.; Dellal, A.; Chamari, K. Session-RPE Method for Training Load Monitoring: Validity, Ecological Usefulness, and Influencing Factors. Front. Neurosci. 2017, 11, 612. [Google Scholar] [CrossRef] [PubMed]
- Silva, J.R.; Brito, J.; Akenhead, R.; Nassis, G.P. The transition period in soccer: A window of opportunity. Sports Med. 2016, 46, 305–313. [Google Scholar] [CrossRef]






| Mesocycle (M) | M1 | M2 | M3 | M4 | M5 | M6 | M7 | M8 | M9 | M10 |
|---|---|---|---|---|---|---|---|---|---|---|
| Training sessions (n) | 16 | 20 | 18 | 18 | 20 | 20 | 19 | 20 | 18 | 20 |
| Session duration, total minutes, ST | 1501 | 1778 | 986 | 1495 | 1062 | 864 | 1410 | 1519 | 1206 | 1227 |
| Session duration, total minutes, NST | 1585 | 1832 | 1029 | 1424 | 1197 | 1272 | 1599 | 1441 | 1358 | 1382 |
| Number of matches (n) | 4 | 5 | 4 | 5 | 6 | 8 | 5 | 4 | 7 | 4 |
| Variables | M1 | M2 | M3 | M4 | M5 | M6 | M7 | M8 | M9 | M10 |
|---|---|---|---|---|---|---|---|---|---|---|
| TM s-RPE (AU), ST | 3.3 ± 1.1 | 3.2 ± 0.8 | 2.8 ± 0.2 | 3.9 ± 0.4 | 1.8 ± 0.3 | 4.4 ± 1.0 | 2.2 ± 0.3 | 2.3 ± 0.3 | 2.5 ± 0.2 | 3.3 ± 0.7 |
| TM s-RPE (AU), NST | 3.6 ± 1.2 | 3.6 ± 0.8 | 3 ± 0.3 | 3.5 ± 0.4 | 2.1 ± 0.3 | 3.8 ± 1.1 | 2.8 ± 0.3 | 2.7 ± 0.4 | 2.6 ± 0.3 | 3.8 ± 0.7 |
| TS s-RPE (AU), ST | 5370.6 ± 881.1 | 3972.5 ± 900.1 | 4454.0 ± 510.3 | 4002.1 ± 445.4 | 1522.6 ± 486.3 | 2839.1 ± 505.2 | 2220.8 ± 367.0 | 2442.1 ± 538.0 | 3334.9 ± 667.1 | 4202.4 ± 949.1 |
| TS s-RPE (AU), NST | 5101.1 ± 934.5 | 4206.7 ± 954.7 | 4035.9 ± 541.2 | 3764.3 ± 472.4 | 2274.6 ± 512.6 | 3593.6 ± 535.9 | 3268.3 ± 389.3 | 8308.2 ± 570.6 | 3290.7 ± 707.5 | 3933.4 ± 1006.7 |
| ACWR s-RPE(AU), ST | 0.9 ± 0.02 | 0.9 ± 0.03 | 1.0 ± 0.01 | 1.0 ± 0.03 | 0.8 ± 0.03 | 1.2 ± 0.04 | 1.0 ± 0.03 | 1.0 ± 0.03 | 1.0 ± 0.04 | 0.9 ± 0.1 |
| ACWR s-RPE (AU), NST | 1.0 ± 0.03 | 0.9 ± 0.03 | 1.0 ± 0.01 | 1.0 ± 0.04 | 0.8 ± 0.03 | 1.1 ± 0.05 | 1.0 ± 0.04 | 0.9 ± 0.03 | 0.9 ± 0.04 | 1.0 ± 0.05 |
| TM TD (AU), ST | 2.7 ± 0.1 | 3.2 ± 0.1 | 4.1 ± 0.2 | 4.8 ± 0.3 | 3.7 ± 0.4 | 12.3 ± 2.7 | 3.7 ± 0.1 | 8.0 ± 2.5 | 3.6 ± 0.2 | 4.1 ± 0.3 |
| TM TD (AU), NST | 2.4 ± 0.2 | 3.3 ± 0.1 | 3.8 ± 0.3 | 4.8 ± 0.3 | 3.6 ± 0.4 | 7.2 ± 2.9 | 3.5 ± 0.1 | 3.7 ± 2.6 | 3.2 ± 0.3 | 3.8 ± 0.4 |
| TS TD (AU), ST | 76,836.5 ± 3760.5 | 100,533.8 ± 5541.1 | 113,493.5 ± 6692.5 | 132,192.8 ± 10097.1 | 71,403.2 ± 7200.7 | 199,545.0 ± 39571.2 | 75,732.0 ± 3461.4 | 127,443.4 ± 30,416.6 | 79,449.1 ± 5330.6 | 104,429.4 ± 9679.7 |
| TS TD (AU), NST | 66,845.5 ± 3988.6 | 92,677.9 ± 5877.2 | 97,736.2 ± 798.5 | 124,250.7 ± 10709.5 | 75,171.9 ± 7637.5 | 127,445.4 ± 41971.6 | 76,288.8 ± 3671.3 | 80,471.7 ± 32,261.7 | 76,347.3± 5653.9 | 107,630.7 ± 10,266.9 |
| ACWR TD (AU), ST | 1.0 ± 0.02 | 0.9 ± 0.03 | 1.1 ± 0.03 | 1.0 ± 0.02 | 0.9 ± 0.01 | 1.1 ± 0.03 | 1.0 ± 0.02 | 1.0 ± 0.01 | 1.0 ± 0.01 | 1.0 ± 0.03 |
| ACWR TD (AU), NST | 1.0 ± 0.02 | 0.9 ± 0.03 | 1.0 ± 0.03 | 1.0 ± 0.02 | 1.0 ± 0.01 | 1.1 ± 0.03 | 1.0 ± 0.02 | 1.0 ± 0.01 | 1.0 ± 0.01 | 1.0 0.03 |
| TM HSR (AU), ST | 1.3 ± 0.06 | 1.4 ± 0.1 | 1.8 ± 0.1 | 1.6 ± 0.1 | 1.3 ± 0.3 | 2.1 ± 0.1 | 1.4 ± 0.1 | 1.7 ± 0.1 | 1.7 ± 0.2 | 1.9 ± 0.3 |
| TM HSR (AU), NST | 1.3 ± 0.1 | 1.4 ± 0.1 | 1.6 ± 0.1 | 1.6 ± 0.1 | 1.6 ± 0.3 | 1.8 ± 0.1 | 1.7 ± 0.1 | 1.6 ± 0.2 | 1.6 ± 0.2 | 2.2 ± 1.4 |
| TS HSR (AU), ST | 2226.2 ± 482.7 | 1857.1 ± 288.3 | 2051.2 ± 308.4 | 1676.5 ± 280.9 | 641.0 ± 205.1 | 1008.5 ± 185.2 | 768.6 ± 145.6 | 1003.7 ± 179.8 | 1044.7 ± 212.0 | 1269.6 ± 165.9 |
| TS HSR (AU), NST | 1586.2 ± 512.0 | 1806.5 ± 305.8 | 1617.6 ± 327.2 | 1310.9 ± 297.9 | 811.9 ± 217.5 | 1253.6 ± 196.5 | 1132.8 ± 154.4 | 1140.1 ± 190.7 | 1245.5 ± 224.9 | 1479.0 ± 176.0 |
| ACWR HSR (AU), ST | 1.0 ± 0.04 | 1.0 ± 0.04 | 0.9 ± 0.03 | 1.0 ± 0.05 | 0.7 ± 0.06 | 1.2 ± 0.08 | 1.0 ± 0.05 | 1.0 ± 0.3 | 1.0 ± 0.3 | 1.1 ± 0.04 |
| ACWR HSR (AU), NST | 0.9 ± 0.04 | 1.0 ± 0.05 | 1.0 ± 0.04 | 1.0 ± 0.06 | 0.8 ± 0.06 | 1.2 ± 0.09 | 0.9 ± 0.05 | 1.0 ± 0.03 | 1.0 ± 0.03 | 1.0 ± 0.05 |
Publisher’s Note: MDPI stays neutral with regard to jurisdictional claims in published maps and institutional affiliations. |
© 2021 by the authors. Licensee MDPI, Basel, Switzerland. This article is an open access article distributed under the terms and conditions of the Creative Commons Attribution (CC BY) license (https://creativecommons.org/licenses/by/4.0/).
Share and Cite
Oliveira, R.; Palucci Vieira, L.H.; Martins, A.; Brito, J.P.; Nalha, M.; Mendes, B.; Clemente, F.M. In-Season Internal and External Workload Variations between Starters and Non-Starters—A Case Study of a Top Elite European Soccer Team. Medicina 2021, 57, 645. https://doi.org/10.3390/medicina57070645
Oliveira R, Palucci Vieira LH, Martins A, Brito JP, Nalha M, Mendes B, Clemente FM. In-Season Internal and External Workload Variations between Starters and Non-Starters—A Case Study of a Top Elite European Soccer Team. Medicina. 2021; 57(7):645. https://doi.org/10.3390/medicina57070645
Chicago/Turabian StyleOliveira, Rafael, Luiz H. Palucci Vieira, Alexandre Martins, João Paulo Brito, Matilde Nalha, Bruno Mendes, and Filipe Manuel Clemente. 2021. "In-Season Internal and External Workload Variations between Starters and Non-Starters—A Case Study of a Top Elite European Soccer Team" Medicina 57, no. 7: 645. https://doi.org/10.3390/medicina57070645
APA StyleOliveira, R., Palucci Vieira, L. H., Martins, A., Brito, J. P., Nalha, M., Mendes, B., & Clemente, F. M. (2021). In-Season Internal and External Workload Variations between Starters and Non-Starters—A Case Study of a Top Elite European Soccer Team. Medicina, 57(7), 645. https://doi.org/10.3390/medicina57070645

