Assessment of the Relationship between Mortality and Troponin I Levels in Hospitalized Patients with the Novel Coronavirus (COVID-19)
Abstract
1. Introduction
2. Materials and Methods
2.1. Study Design and Patients
2.2. Data Collection
2.3. Exclusion Criteria
2.4. Statistical Analyses
3. Results
3.1. Baseline Clinical Features on Admission
3.2. Medical Therapies
3.3. Laboratory Findings on Admission
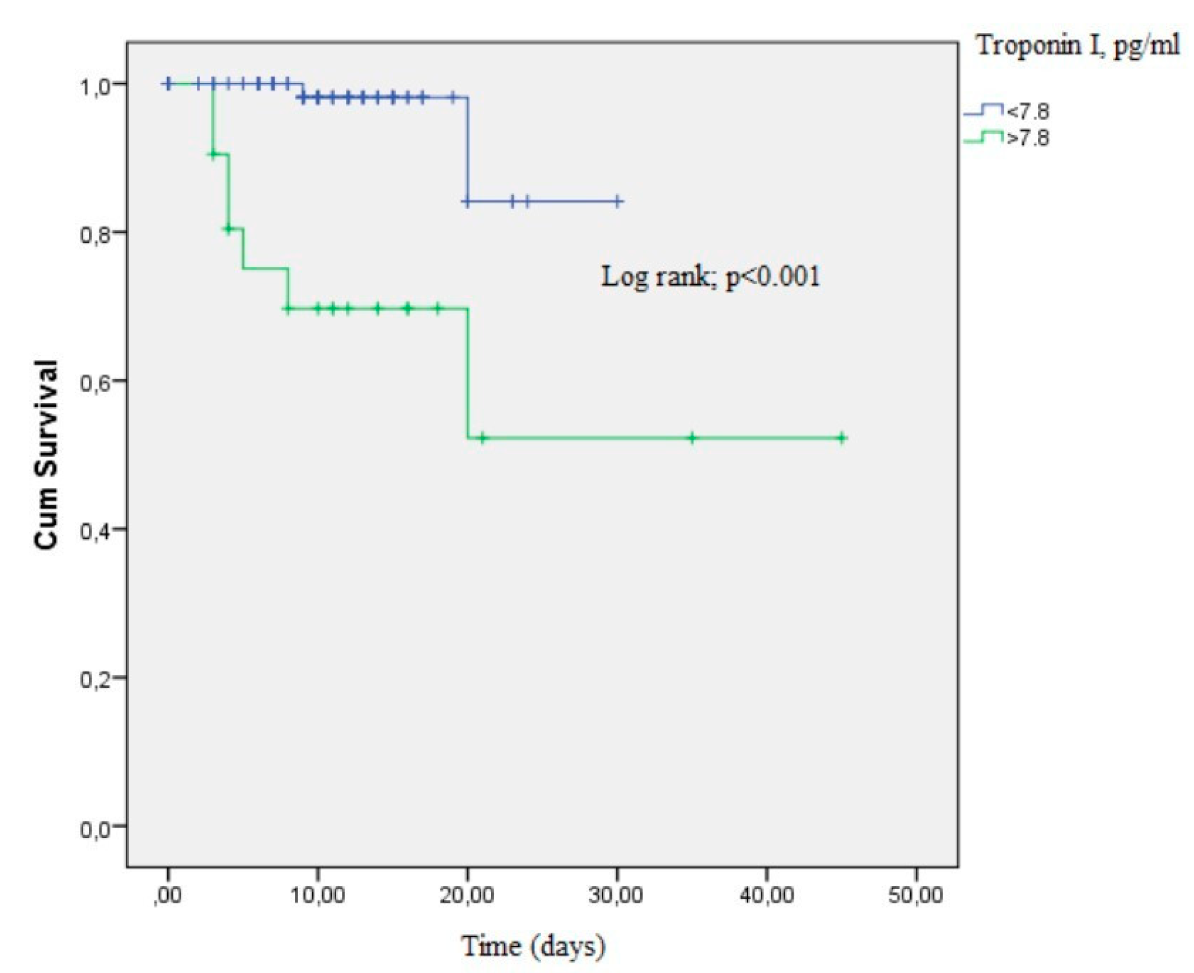
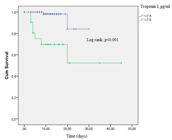
3.4. Results Regarding the Relationship between Troponin and Mortality
4. Discussion
Study Limitations
5. Conclusions
Author Contributions
Funding
Conflicts of Interest
References
- Shi, S.; Qin, M.; Shen, B.; Cai, Y.; Liu, T.; Yang, F.; Gong, W.; Liu, X.; Liang, J.; Zhao, Q.; et al. Association of Cardiac Injury With Mortality in Hospitalized Patients With COVID-19 in Wuhan, China. JAMA Cardiol. 2020, 5, 802–810. [Google Scholar] [CrossRef] [PubMed]
- Guzik, T.J.; Mohiddin, S.A.; Dimarco, A.; Patel, V.; Savvatis, K.; Marelli-Berg, F.M.; Madhur, M.S.; Tomaszewski, M.; Maffia, P.; D’Acquisto, F.; et al. COVID-19 and the Cardiovascular System: Implications for Risk Assessment, Diagnosis, and Treatment Options. Cardiovasc. Res. 2020, 116, 1666–1687. [Google Scholar] [CrossRef] [PubMed]
- Han, H.; Xie, L.; Liu, R.; Yang, J.; Liu, F.; Wu, K.; Chen, L.; Hou, W.; Feng, Y.; Zhu, C. Analysis of heart injury laboratory parameters in 273 COVID-19 patients in one hospital in Wuhan, China. J. Med. Virol. 2020, 92, 819–823. [Google Scholar] [CrossRef] [PubMed]
- Guo, T.; Fan, Y.; Chen, M.; Wu, X.; Zhang, L.; He, T.; Wang, H.; Wan, J.; Wang, X.; Lu, Z. Cardiovascular Implications of Fatal Outcomes of Patients With Coronavirus Disease 2019 (COVID-19). JAMA Cardiol. 2020, 5, 811–818. [Google Scholar] [CrossRef] [PubMed]
- Huang, C.; Wang, Y.; Li, X.; Ren, L.; Zhao, J.; Hu, Y.; Zhang, L.; Fan, G.; Xu, J.; Gu, X.; et al. Clinical features of patients infected with 2019 novel coronavirus in Wuhan, China. Lancet 2020, 395, 497–506. [Google Scholar] [CrossRef]
- Wang, D.; Hu, B.; Hu, C.; Zhu, F.; Liu, X.; Zhang, J.; Wang, B.; Xiang, H.; Cheng, Z.; Xiong, Y.; et al. Clinical characteristics of 138 hospitalized patients with 2019 novel coronavirus-infected pneumonia in Wuhan, China. JAMA 2020, 323, 1061–1069. [Google Scholar] [CrossRef]
- Ruan, Q.; Yang, K.; Wang, W.; Jiang, L.; Song, J. Clinical predictors of mortality due to COVID-19 based on an analysis of data of 150 patients from Wuhan, China. Intensive Care Med. 2020, 46, 846–848. [Google Scholar] [CrossRef]
- Xu, Z.; Shi, L.; Wang, Y.; Zhang, J.; Huang, L.; Zhang, C.; Liu, S.; Zhao, P.; Liu, H.; Zhu, L.; et al. Pathological findings of COVID-19 associated with acute respiratory distress syndrome. Lancet Respir. Med. 2020, 8, 420–422. [Google Scholar] [CrossRef]
- Zhou, F.; Yu, T.; Du, R.; Fan, G.; Liu, Y.; Liu, Z.; Xiang, J.; Wang, Y.; Song, B.; Gu, X.; et al. Clinical course and risk factors for mortality of adult in patients with COVID-19 in Wuhan, China: A retrospective cohort study. Lancet 2020, 395, 1054–1062. [Google Scholar] [CrossRef]
- Tersalvi, G.; Vicenzi, M.; Calabretta, D.; Biasco, L.; Pedrazzini, G.; Winterton, D. Elevated Troponin in Patients With Coronavirus Disease 2019: Possible Mechanisms. J. Card Fail. 2020, 26, 470–475. [Google Scholar] [CrossRef]
- He, X.W.; Lai, J.S.; Cheng, J.; Wang, M.W.; Liu, Y.J.; Xiao, Z.C.; Xu, C.; Li, S.S.; Zeng, H.S. Impact of complicated myocardial injury on the clinical outcome of severe or critically ill COVID-19 patients. Zhonghua Xin Xue Guan Bing Za Zhi 2020, 48, 456–460. [Google Scholar] [CrossRef] [PubMed]
- Chen, L.; Li, X.; Chen, M.; Feng, Y.; Xiong, C. The ACE2 expression in human heart indicates new potential mechanism of heart injury among patients infected with SARS-CoV-2. Cardiovasc. Res. 2020, 116, 1097–1100. [Google Scholar] [CrossRef] [PubMed]
- Chen, Y.; Li, Y.; Liu, X.; Zhou, H. Potential pathophysiological mechanisms underlying COVID-19-induced myocardial injury. Chin. J. Pathophysiol. 2020, 36, 573–576. [Google Scholar] [CrossRef]
- Zheng, Y.Y.; Ma, Y.T.; Zhang, J.Y.; Xie, X. COVID-19 and the cardiovascular system. Nat. Rev. Cardiol. 2020, 17, 259–260. [Google Scholar] [CrossRef] [PubMed]
- Hoffmann, M.; Kleine-Weber, H.; Schroeder, S.; Krüger, N.; Herrler, T.; Erichsen, S.; Schiergens, T.S.; Herrler, G.; Wu, N.H.; Nitsche, A.; et al. SARS-CoV-2 cell entry depends on ACE2 and TMPRSS2 and is blocked by a clinically proven protease inhibitor. Cell 2020, 181, 271–280.e8. [Google Scholar] [CrossRef] [PubMed]
- Vaduganathan, M.; Vardeny, O.; Michel, T.; McMurray, J.J.V.; Pfeffer, M.A.; Solomon, S.D. Renin_angiotensin_aldosterone system inhibitors in patients with Covid-19. N. Engl. J. Med. 2020, 382, 1653–1659. [Google Scholar] [CrossRef] [PubMed]
- Guan, W.J.; Ni, Z.Y.; Hu, Y.; Liang, W.H.; Ou, C.Q.; He, J.X.; Liu, L.; Shan, H.; Lei, C.L.; Hui, D.S.; et al. Clinical characteristics of coronavirus disease 2019 in China. N. Engl. J. Med. 2020, 382, 1708–1720. [Google Scholar] [CrossRef] [PubMed]
- Gaertner, F.; Massberg, S. Blood Coagulation in Immunothrombosis-At the Frontline of Intravascular Immunity. Semin. Immunol. 2016, 28, 561–569. [Google Scholar] [CrossRef]
- Thachil, J. The versatile heparin in COVID-19. J. Thromb. Haemost. 2020, 18, 1020–1022. [Google Scholar] [CrossRef]
- Li, J.-P.; Vlodavsky, I. Heparin, heparan sulfate and heparanase in inflammatory reactions. Thromb. Haemost. 2009, 102, 823–828. [Google Scholar] [CrossRef]
- Lin, Z.; Long, F.; Yang, Y.; Chen, X.; Xu, L.; Yang, M.J. Serum ferritin as an independent risk factor for severity in COVID-19 patients. J. Infect. 2020, 81, 647–679. [Google Scholar] [CrossRef] [PubMed]
- Tatum, D.; Taghavi, S.; Houghton, A.; Stover, J.; Toraih, E.; Duchesne, J. Neutrophil-to-Lymphocyte Ratio and Outcomes in Louisiana Covid-19 Patients. Shock 2020. [Google Scholar] [CrossRef] [PubMed]
- Xia, X.; Wen, M.; Zhan, S.; He, J.; Chen, W. An Increased neutrophil/lymphocyte Ratio Is an Early Warning Signal of Severe COVID-19. Nan Fang Yi Ke Da Xue Xue Bao 2020, 40, 333–336. [Google Scholar] [CrossRef] [PubMed]
- Zheng, Z.; Peng, F.; Xu, B.; Zhao, J.; Liu, H.; Peng, J.; Li, Q.; Jiang, C.; Zhou, Y.; Liu, S.; et al. Risk factors of critical & mortal COVID-19 cases: A systematic literature review and meta-analysis. J. Infect. 2020, 81, e16–e25. [Google Scholar] [CrossRef]
- Gaze, D.C. Clinical utility of cardiac troponin measurement in COVID-19 infection. Ann. Clin. Biochem. 2020, 57, 202–205. [Google Scholar] [CrossRef]


| Characteristics of Patients | All Patients (n-Mean ± SD or Median (min–max)) | Troponin I High Group (>7.8 pg/mL) (n-Mean ± SD or Median (min–max)) | Troponin I Low Group(<7.8 pg/mL) (n-Mean ± SD or Median (min–max)) | p-Values | |
|---|---|---|---|---|---|
| Number of patients (n) | 105 | 21 (20%) | 84 (80%) | ||
| Male (n) | 76 | 15 (71.4%) | 61 (72.6%) | 0.913 | |
| Female (n) | 29 | 6 (28.6%) | 23 (27.4%) | ||
| Age (years) | 45 (20–87) | 60 (26–87) | 45 (20–83) | 0.005 | |
| Body mass index (kg/m2) | 25 (21–38) | 27 (21–32) | 25 (21–38) | 0.008 | |
| Heart rate (/min) | 81 (60–128) | 105 (71–128) | 72 (60–108) | <0.001 | |
| Systolic blood pressure (mmHg) | 130 (91–168) | 138 (105–168) | 127 (91–150) | <0.001 | |
| Diastolic blood pressure (mmHg) | 75 (57–98) | 80 (57–98) | 71 (57–94) | 0.017 | |
| Shortness of breath | (+) | 36 | 16 (76.2%) | 20 (23.8%) | <0.001 |
| (−) | 69 | 5 (23.8%) | 64 (76.2) | ||
| Saturation (%) | 94 (45–98) | 85 (45–96) | 94 (60–98) | <0.001 | |
| Diabetes mellitus | (+) | 9 | 4 (19%) | 5 (6%) | 0.061 |
| (−) | 96 | 17 (81%) | 79 (94%) | ||
| Hypertension | (+) | 23 | 11 (52.4%) | 12 (14.3%) | <0.001 |
| (−) | 82 | 10 (47.6%) | 72 (85.7%) | ||
| Hyperlipidemia | (+) | 6 | 3 (14.3%) | 3 (3.6%) | 0.058 |
| (−) | 99 | 18 (85.7%) | 81 (96.4%) | ||
| Cigarette | (+) | 24 | 8 (38.1%) | 16 (19%) | 0.063 |
| (−) | 81 | 13 (61.9%) | 68 (81%) | ||
| Coronary artery disease | (+) | 14 | 5 (21.8%) | 9 (10.7%) | 0.114 |
| (−) | 91 | 16 (76.2%) | 75 (89.3%) | ||
| COPD | (+) | 18 | 5 (23.8%) | 13 (15.5%) | 0.365 |
| (− | 87 | 16 (76.2%) | 71 (84.5%) | ||
| Fever | (+) | 87 | 20 (95.2%) | 67 (79.8%) | 0.092 |
| (−) | 18 | 1 (4.8%) | 17 (20.2%) | ||
| Weakness | (+) | 87 | 17 (81%) | 70 (83.3%) | 0.796 |
| (−) | 18 | 4 (19%) | 14 (16.7%) | ||
| Joint pain | (+) | 81 | 14 (66.7%) | 67 (79.8%) | 0.201 |
| (−) | 24 | 7 (33.3%) | 17 (20.2%) | ||
| Hospitalization | (+) | 95 | 21 (100%) | 74 (88.1%) | 0.206 |
| (−) | 10 | 0 | 10 (11.9%) | ||
| Stay at the intensive care unit | (+) | 15 | 10 (47.6%) | 5 (6%) | <0.001 |
| (−) | 90 | 11 (52.4%) | 79 (94%) | ||
| Mortality | (+) | 9 | 7 (33.3%) | 2 (2.4%) | <0.001 |
| (−) | 96 | 14 (66.7%) | 82 (97.6%) | ||
| Duration of hospitalization | 11.12 ± 7.17 | 12.90 ± 10.81 | 10.67 ± 5.94 | 0.205 | |
| Duration of intensive care unit | 15 (11.8 ± 10.4) | 10 (10.1 ± 3.21) | 5 (15.2 ± 11.3) | 0.394 | |
| Treatment (n) | |||||
| Medical therapy | |||||
| ▪ Lopinavir/Ritonavir | (+) | 5 | 1 (4.8%) | 4 (4.8%) | 1.000 |
| (−) | 100 | 20 (95.2%) | 80 (95.2%) | ||
| ▪ Oseltamivir | (+) | 97 | 19 (90.5%) | 78 (92.9%) | 0.713 |
| (−) | 8 | 2 (9.5%) | 6 (7.1%) | ||
| ▪ Favipiravir | (+) | 15 | 9 (42.9%) | 6 (7.1%) | <0.001 |
| (−) | 90 | 12 (57.1%) | 78 (92.9%) | ||
| ▪ Seftriaxone | (+) | 73 | 15 (71.4%) | 58 (69%) | 0.832 |
| (−) | 32 | 6 (28.6%) | 26 (31%) | ||
| ▪ Hydroxychloroquine | (+) | 105 | 21 (100%) | 84 (100%) | - |
| (−) | 0 | 0 | 0 | ||
| ▪ Azytromycine | (+) | 103 | 21 (100%) | 82 (97.6%) | 0.475 |
| (−) | 2 | 0 | 2 (2.4%) | ||
| ▪ Vitamin C | (+) | 97 | 20 (95.2%) | 77 (91.7%) | 0.581 |
| (−) | 8 | 1 (4.8%) | 7 (8.3%) | ||
| ▪ Vitamin D | (+) | 99 | 21 (100%) | 78 (92.9%) | 0.207 |
| (−) | 6 | 0 | 6 (7.1%) | ||
| ▪ Low molecular weight heparin | (+) | 90 | 18 (85.7%) | 72 (85.7%) | 1.000 |
| (−) | 15 | 3 (14.3%) | 12 (14.3%) | ||
| ▪ Other therapy | |||||
| ▪ Plasma exchange | (+) | 2 | 2 (9.5%) | 0 | 0.038 |
| (−) | 103 | 19 (90.5%) | 84 (100%) | ||
| ▪ ECMO | (+) | 1 | 1 (4.8%) | 0 | 0.200 |
| (−) | 104 | 20 (95.2%) | 84 (100%) | ||
| LDL cholesterol (mg/dl) | 84.09 ± 49.77 | 69.42 ± 46.30 | 88.86 ± 50.44 | 0.207 | |
| HDL cholesterol (mg/dl) | 38.93 ± 15.91 | 41.70 ± 20.77 | 38.14 ± 14.50 | 0.519 | |
| Triglyceride (mg/dl) | 107.13 ± 51.95 | 104.75 ± 47.60 | 107.82 ± 52.56 | 0.856 | |
| Total cholesterol (mg/dl) | 141.73 ± 63.31 | 135.00 ± 62.08 | 143.70 ± 64.29 | 0.679 | |
| Blood urea nitrogen | 30.09 ± 21.66 | 47.28 ± 39.93 | 25.74 ± 10.28 | <0.001 | |
| Creatinine | 0.86 (0–1) | 0.98 (0.63–3.74) | 0.82 (0.49–2) | 0.005 | |
| Glomerular filtration rate | 98 (15–457) | 88 (15–124) | 13.2 (37–457) | 0.004 | |
| ESR | 28.27 ± 19.84 | 34.26 ± 18.46 | 26.70 ± 20.03 | 0.176 | |
| CRP | 47.5 (0.01–319) | 148 (5.1–273) | 13.2 (0.01–319) | <0.001 | |
| White blood cell count | 7.21 ± 4.12 | 9.05 ± 5.66 | 6.75 ± 3.53 | 0.021 | |
| Neutrophil count | 4.1 (1.4–83) | 8 (2.0–83) | 3.56 (1.4–19.7) | <0.001 | |
| Lymphocyte count | 1.1 (0.6–6.9) | 0.81 (0.1–6.9) | 1.28 (0.36–3.33) | 0.007 | |
| NLR | 3.09 (0.89–31) | 11.1 (2.21–30) | 2.5 (0.89–31) | <0.001 | |
| Hemoglobin | 13 (8.5–41.7) | 12 (9–15.5) | 13.2 (8.5–41.7) | 0.007 | |
| Platelet count | 217.13 ± 169.78 | 181.771 ± 885.45 | 225.97 ± 183.88 | 0.288 | |
| Lactate dehydrogenase | 329.80 ± 214.81 | 498.71 ± 362.77 | 287.07 ± 129.25 | <0.001 | |
| Ferritin | 354 (3.61–3258) | 727 (48–2684) | 291 (3.6–3258) | 0.008 | |
| D Dimer | 583 (0–8902) | 2271 (271–8802) | 422 (0–8902) | <0.001 | |
| Troponin (pg/mL) | 2.6 (0–1774.5) | 15.4 (8.6–1774.5) | 1.9 (0–7) | <0.001 | |
| CK-MB | 15.03 ± 20.00 | 23.55 ± 39.99 | 12.58 ± 6.97 | 0.046 | |
| CK | 130.80 ± 183.19 | 107.62 ± 88.44 | 135.81 ± 198.37 | 0.698 | |
| AST | 37.66 ± 29.36 | 30.52 ± 15.16 | 39.45 ± 31.76 | 0.214 | |
| ALT | 41.64 ± 30.16 | 34.19 ± 20.49 | 43.51 ± 31.85 | 0.207 | |
| INR | 1.53 ± 2.48 | 1.47 ± 0.92 | 1.56 ± 2.86 | 0.891 | |
| PT | 15.3 ± 6.0 | 18.1 ± 10.6 | 14.3 ± 2.0 | 0.020 | |
| PTT | 89.5 (8.7–110.8) | 71.9 (8.7–109) | 90.8 (34.3–110.8) | 0.089 | |
| Sodium | 138.07 ± 4.17 | 136.95 ± 5.66 | 138.35 ± 3.69 | 0.169 | |
| Potassium | 3.98 ± 0.33 | 4.06 ± 0.45 | 3.95 ± 0.29 | 0.209 | |
| Calcium | 8.5 (7.3–10) | 7.95 (7.3–9.1) | 8.6 (7.7–10) | <0.001 | |
| 25-hydroxy vitamin 25 (OH) D3 | 16.5 (4.1–90) | 8.15 (4.1–47) | 18 (6–90) | <0.001 | |
| Variables | Odds Ratio | Confidence Interval (95%) | p-Values |
|---|---|---|---|
| Troponin I | 20.500 | 3.857–108.960 | < 0.001 |
| C-Reactive Protein | 1.012 | 1.003–1.021 | 0.008 |
| Lymphocyte count | 0.087 | 0.012–0.617 | 0.015 |
| Shortness of breath | 8.086 | 1.583–41.301 | 0.012 |
| Hypertension | 5.066 | 1.240–20.695 | 0.024 |
| Hyperlipidemia | 6.571 | 1.020–42.350 | 0.048 |
| Diabetes mellitus | 4.833 | 1.029–22.693 | 0.046 |
| Coronary artery disease | 6.880 | 1.584–29.888 | 0.010 |
| Age | 1.031 | 0.988–1.076 | 0.156 |
| Gender | 0.743 | 0.173–3.190 | 0.689 |
| D dimer | 1.000 | 1.000–1.000 | 0.080 |
| Creatinine | 1.137 | 0.219–5.908 | 0.879 |
| Hemoglobin | 0.799 | 0.543–1.176 | 0.256 |
| Variables | Odds Ratio | Confidence Interval (95%) | p-Values | |
|---|---|---|---|---|
| Model 1 | Troponin I | 10.364 | 0.792–135.680 | 0.075 |
| C-Reactive Protein | 1.014 | 0.999–1.028 | 0.069 | |
| Lymphocyte count | 0.107 | 0.008–1.380 | 0.087 | |
| Shortness of breath | 2.891 | 0.176–47.556 | 0.457 | |
| Hypertension | 0.790 | 0.090–6.935 | 0.832 | |
| Hyperlipidemia | 4.060 | 0.011–1555.792 | 0.644 | |
| Diabetes mellitus | 2.806 | 0.067–117.047 | 0.588 | |
| Coronary artery disease | 0.024 | 0.000–1.207 | 0.062 | |
| Model 2 | Troponin I | 7.894 | 1.062–58.666 | 0.043 |
| C-Reactive Protein | 1.009 | 0.998–1.021 | 0.123 | |
| Shortness of breath | 0.859 | 0.102–7.261 | 0.889 | |
| Lymphocyte count | 0.320 | 0.053–1.926 | 0.213 | |
| Model 3 | Troponin I | 10.302 | 1.772–59.902 | 0.009 |
| C-Reactive Protein | 1.010 | 0.999–1021 | 0.079 |
Publisher’s Note: MDPI stays neutral with regard to jurisdictional claims in published maps and institutional affiliations. |
© 2020 by the authors. Licensee MDPI, Basel, Switzerland. This article is an open access article distributed under the terms and conditions of the Creative Commons Attribution (CC BY) license (http://creativecommons.org/licenses/by/4.0/).
Share and Cite
Özyılmaz, S.; Ergün Alış, E.; Ermiş, E.; Allahverdiyev, S.; Uçar, H. Assessment of the Relationship between Mortality and Troponin I Levels in Hospitalized Patients with the Novel Coronavirus (COVID-19). Medicina 2020, 56, 693. https://doi.org/10.3390/medicina56120693
Özyılmaz S, Ergün Alış E, Ermiş E, Allahverdiyev S, Uçar H. Assessment of the Relationship between Mortality and Troponin I Levels in Hospitalized Patients with the Novel Coronavirus (COVID-19). Medicina. 2020; 56(12):693. https://doi.org/10.3390/medicina56120693
Chicago/Turabian StyleÖzyılmaz, Sinem, Esra Ergün Alış, Emrah Ermiş, Samir Allahverdiyev, and Hakan Uçar. 2020. "Assessment of the Relationship between Mortality and Troponin I Levels in Hospitalized Patients with the Novel Coronavirus (COVID-19)" Medicina 56, no. 12: 693. https://doi.org/10.3390/medicina56120693
APA StyleÖzyılmaz, S., Ergün Alış, E., Ermiş, E., Allahverdiyev, S., & Uçar, H. (2020). Assessment of the Relationship between Mortality and Troponin I Levels in Hospitalized Patients with the Novel Coronavirus (COVID-19). Medicina, 56(12), 693. https://doi.org/10.3390/medicina56120693

