Association among Executive Function, Physical Activity, and Weight Status in Youth
Abstract
1. Introduction
2. Materials and Methods
2.1. Participants
2.2. Measurements
2.2.1. Anthropometry
2.2.2. Pulmonary Gas Exchange
2.2.3. Heart Rate (HR)
2.2.4. Increasing Walking Exercise (IWE)
2.2.5. Executive Function Evaluation
2.3. Study Design
2.4. Data Analysis
2.5. Statistical Analysis
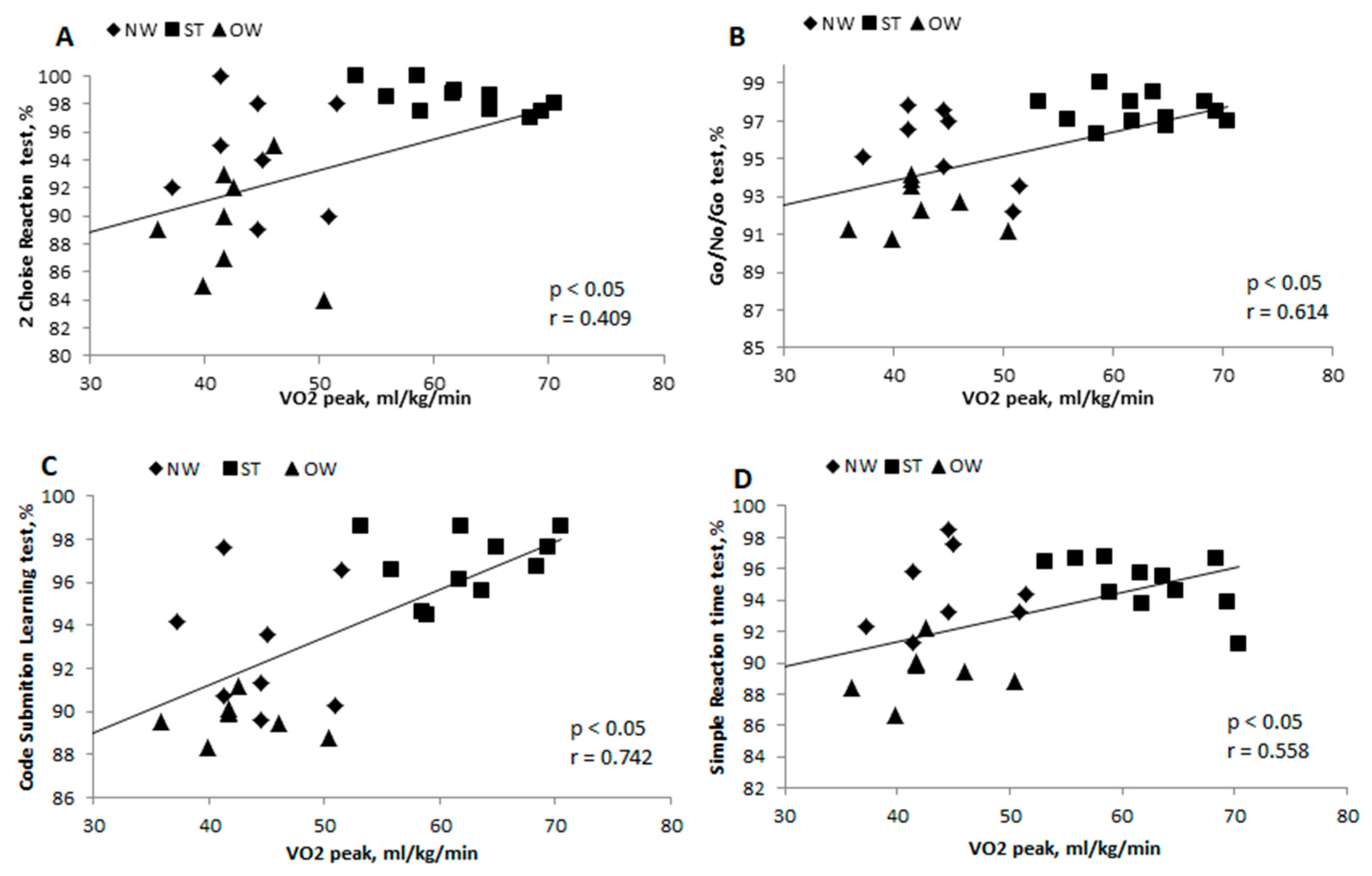
3. Results
3.1. Participants’ Characteristics
3.2. Oxygen Uptake Parameters
3.3. Executive Function Performance
4. Discussion
5. Conclusions
Author Contributions
Funding
Acknowledgments
Conflicts of Interest
References
- Tomporowski, P.D. Effects of acute bouts of exercise on cognition. Acta Psychol. 2003, 112, 297–324. [Google Scholar] [CrossRef]
- Miller, A.L.; Jong, H.; Lumeng, J.C. Obesity—Associated biomarkers and executive function in children. Pediatr. Res. 2015, 277, 143–147. [Google Scholar] [CrossRef]
- Diamond, A. Executive functions. Ann. Rev. Psychol. 2013, 64, 135–168. [Google Scholar] [CrossRef]
- Collins, A.; Koechlin, E. Reasoning, learning, and creativity: Frontal lobe function and human decision-making. PLoS Biol. 2012, 10, e1001293. [Google Scholar] [CrossRef] [PubMed]
- Wu, N.; Chen, Y.; Yang, J.; Li, F. Childhood obesity and academic performance: The role of working memory. Front. Psychol. 2017, 8, 611–617. [Google Scholar] [CrossRef]
- Sweat, V.; Yates, K.F.; Migliaccio, R.; Concit, A. Obese adolescents show reduced cognitive processing speed compared with healthy weight peers. Child Obes. 2017, 13, 190–196. [Google Scholar] [CrossRef]
- Judge, S.; Jahns, L. Association of overweight with academic performance and social and behavioral problems: An update from the early childhood longitudinal study. J. Sch. Health 2007, 77, 672–678. [Google Scholar] [CrossRef]
- Datar, A.; Sturm, R.; Magnabosco, J.L. Childhood overweight and academic performance: National study of kindergartners and first-graders. Obes. Res. 2004, 12, 58–68. [Google Scholar] [CrossRef]
- Li, Y.; Dai, Q.; Jackson, J.C.; Zhang, J. Overweight is associated with decreased cognitive functioning among school-age children and adolescents. Obesity 2008, 16, 1809–1815. [Google Scholar] [CrossRef] [PubMed]
- Liang, J.; Matheson, B.E.; Kaye, W.H.; Boutelle, K.N. Neurocognitive correlates of obesity and obesity-related behaviors in children and adolescents. Int. J. Obes. 2014, 38, 494. [Google Scholar] [CrossRef] [PubMed]
- Yeomans, M.R. Adverse effects of consuming high fat–sugar diets on cognition: Implications for understanding obesity. Proc. Nutr. Soc. 2017, 76, 455–465. [Google Scholar] [CrossRef] [PubMed]
- World Health Organization. Global Recommendations on Physical Activity for Health; WHO: Geneva, Switzerland, 2010; ISBN 9789241599979. [Google Scholar]
- Johnstone, A.; Hughes, A.R.; Janssen, X.; Reilly, J.J. Pragmatic evaluation of the Go2Play active play intervention on physical activity and fundamental movement skills in children. Prevent. Med. Rep. 2017, 7, 58–63. [Google Scholar] [CrossRef] [PubMed]
- Donnelly, J.E.; Hillman, C.H.; Castelli, D.; Etnier, J.L.; Lee, S.; Tomporowski, P.; Szabo-Reed, A.N. Physical activity, fitness, cognitive function, and academic achievement in children: A systematic review. Med. Sci. Sports Exerc. 2016, 48, 1197. [Google Scholar] [CrossRef] [PubMed]
- Resaland, G.K.; Aadland, E.; Nilsen, A.K.O.; Bartholomew, J.B.; Andersen, L.B.; Anderssen, S.A. The effect of a two-year school-based daily physical activity intervention on a clustered CVD risk factor score—The Sogndal school-intervention study. Scand. J. Med. Sci. Sports 2018, 28, 1027–1035. [Google Scholar] [CrossRef] [PubMed]
- Aadland, E.; Andersen, L.B.; Skrede, T.; Ekelund, U.; Anderssen, S.A.; Resaland, G.K. Reproducibility of objectively measured physical activity and sedentary time over two seasons in children; Comparing a day-by-day and a week-by-week approach. PLoS ONE 2017, 12, e0189304. [Google Scholar] [CrossRef] [PubMed]
- Best, J.R. Effects of physical activity on children’s executive function: Contributions of experimental research on aerobic exercise. Dev. Rev. 2010, 30, 331–351. [Google Scholar] [CrossRef] [PubMed]
- Sibley, B.A.; Etnier, J.L. The relationship between physical activity and cognition in children: A meta-analysis. Pediatr. Exerc. Sci. 2003, 15, 243–256. [Google Scholar] [CrossRef]
- Samuel, R.D.; Zavdy, O.; Levav, M.; Reuveny, R.; Katz, U.; Dubnov-Raz, G. The effects of maximal intensity exercise on cognitive performance in children. J. Hum. Kinet. 2017, 57, 85–96. [Google Scholar] [CrossRef] [PubMed]
- Afzal, A.S.; Gortmaker, S. The relationship between obesity and cognitive performance in children: A longitudinal study. Child. Obes. 2015, 11, 466–474. [Google Scholar] [CrossRef]
- Black, N.; Johnston, D.W.; Peeters, A. Childhood obesity and cognitive achievement. Health Econ. 2015, 24, 1082–1100. [Google Scholar] [CrossRef]
- Marinov, B.; Mandadzhieva, S.; Kostianev, S. Oxygen-uptake efficiency slope in healthy 7-to 18-year-old children. Pediatr. Exercise Sci. 2007, 19, 159–170. [Google Scholar] [CrossRef]
- Automated Neuropsychological Assessment Metrics. Manual User, Center of the Study of Human Operator Performance; University of Oklahoma: Norman, OK, USA, 2008. [Google Scholar]
- Baranauskienė, N.; Kilikevičienė, S.; Stasiulė, L.; Civinskienė, G.; Stasiulis, A. Gender differences in residual effect of prior drop jumps on oxygen uptake during heavy cycling exercise. Medicina 2017, 53, 331–338. [Google Scholar] [CrossRef] [PubMed]
- Mahar, M.T.; Murphy, S.K.; Rowe, D.A.; Golden, J.; Shields, A.T.; Raedeke, T.D. Effects of a classroom-based program on physical activity and on-task behavior. Med. Sci. Sports Exerc. 2006, 38, 2086. [Google Scholar] [CrossRef] [PubMed]
- Colcombe, S.; Kramer, A.F. Fitness effects on the cognitive function of older adults: A meta-analytic study. Psychol. Sci. 2003, 14, 125–130. [Google Scholar] [CrossRef]
- Etnier, J.L.; Nowell, P.M.; Landers, D.M.; Sibley, B.A. A meta-regression to examine the relationship between aerobic fitness and cognitive performance. Brain Res. Rev. 2006, 52, 119–130. [Google Scholar] [CrossRef] [PubMed]
- Marsh, H.W.; Kleitman, S. School athletic participation: Mostly gain with little pain. J. Sport Exerc. Psychol. 2003, 25, 205–228. [Google Scholar] [CrossRef]
- Yu, Z.B.; Han, S.P.; Cao, X.G.; Guo, X.R. Intelligence in relation to obesity: A systematic review and meta-analysis. Obes. Rev. 2010, 11, 656–670. [Google Scholar] [CrossRef] [PubMed]
- Gunstad, J.; Spitznagel, M.B.; Paul, R.H.; Cohen, R.A.; Kohn, M.; Luyster, F.S.; Gordon, E. Body mass index and neuropsychological function in healthy children and adolescents. Appetite 2008, 50, 246–251. [Google Scholar] [CrossRef] [PubMed]
- Taras, H.; Potts-Datema, W. Obesity and student performance at school. J. Sch. Health 2005, 75, 291–295. [Google Scholar] [CrossRef]
- Morita, N.; Nakajima, T.; Okita, K.; Ishihara, T.; Sagawa, M.; Yamatsu, K. Relationships among fitness, obesity, screen time and academic achievement in Japanese adolescents. Physiol. Behav. 2016, 163, 161–166. [Google Scholar] [CrossRef]
- Kang, Y.W.; Park, J.H. Does skipping breakfast and being overweight influence academic achievement among Korean adolescents? Osong Public Health Res. Perspect. 2016, 7, 220–227. [Google Scholar] [CrossRef] [PubMed]
- Ariza González, M.; Garolera i Freixa, M.; Jurado, M.; Garcia-Garcia, I.; Hernan, I.; Sanchez-Garre, C.; Segura i Fàbregas, B. Dopamine genes (DRD2/ANKK1-TaqA1 and DRD4-7R) and executive function: Their interaction with obesity. PLoS ONE 2012, 7, e41482. [Google Scholar]
- Delgado-Rico, E.; Soriano-Mas, C.; Verdejo-Román, J.; S Río-Valle, J.; Verdejo-García, A. Decreased insular and increased midbrain activations during decision-making under risk in adolescents with excess weight. Obesity 2013, 21, 1662–1668. [Google Scholar] [CrossRef] [PubMed]
- Bourassa, K.; Sbarra, D.A. Body mass and cognitive decline are indirectly associated via inflammation among aging adults. Brain Behav. Immun. 2017, 60, 63–70. [Google Scholar] [CrossRef] [PubMed]
- D O’Brien, P.; Hinder, L.M.; Callaghan, B.C.; Feldman, E.L. Neurological consequences of obesity. Lancet Neurol. 2017, 16, 465–477. [Google Scholar] [CrossRef]
- Lasselin, J.; Magne, E.; Beau, C.; Aubert, A.; Dexpert, S.; Carrez, J.; Capuron, L. Low-grade inflammation is a major contributor of impaired attentional set shifting in obese subjects. Brain Behav. Immun. 2016, 58, 63–68. [Google Scholar] [CrossRef] [PubMed]
- Santana, C.C.A.; Azevedo, L.B.; Cattuzzo, M.T.; Hill, J.O.; Andrade, L.P.; Prado, W.L. Physical fitness and academic performance in youth: A systematic review. Scand. J. Med. Sci. Sports 2017, 27, 579–603. [Google Scholar] [CrossRef] [PubMed]
- Jabbour, G.; Henderson, M.; Tremblay, A.; Mathieu, M.E. Aerobic fitness indices of children differed not by body weight status but by level of engagement in physical activity. J. Phys. Act. Health 2015, 12, 854–860. [Google Scholar] [CrossRef]
- Karbach, J.; Kray, J. How useful is executive control training? Age differences in near and far transfer of task-switching training. Dev. Sci. 2009, 12, 978–990. [Google Scholar] [CrossRef]
- Klingberg, T.; Fernell, E.; Olesen, P.J.; Johnson, M.; Gustafsson, P.; Dahlström, K.; Westerberg, H. Computerized training of working memory in children with ADHD-a randomized, controlled trial. J. Am. Acad. Child Adolesc. Psychiatr. 2005, 44, 177–186. [Google Scholar] [CrossRef]
- Voss, M.W.; Chaddock, L.; Kim, J.S.; VanPatter, M.; Pontifex, M.B.; Raine, L.B.; Kramer, A.F. Aerobic fitness is associated with greater efficiency of the network underlying cognitive control in preadolescent children. Neuroscience 2011, 199, 166–176. [Google Scholar] [CrossRef] [PubMed]
- Daley, A.J.; Ryan, J. Academic performance and participation in physical activity by secondary school adolescents. Perceptual Motor Skills 2000, 91, 531–534. [Google Scholar] [CrossRef] [PubMed]
- Lindner, K.J. The physical activity participation–academic performance relationship revisited: Perceived and actual performance and the effect of banding (academic tracking). Pediatr. Exerc. Sci. 2002, 14, 155–169. [Google Scholar] [CrossRef]
- Nelson, M.C.; Gordon-Larsen, P. Physical activity and sedentary behavior patterns are associated with selected adolescent health risk behaviors. Pediatrics 2006, 117, 1281–1290. [Google Scholar] [CrossRef] [PubMed]
- De Bruijn, A.G.M.; Hartman, E.; Kostons, D.D.N.M.; Visscher, C.; Bosker, R.J. Exploring the relations among physical fitness, executive functioning, and low academic achievement. J. Exp. Child Psychol. 2018, 167, 204–221. [Google Scholar] [CrossRef] [PubMed]
- Lakes, K.D.; Hoyt, W.T. Promoting self-regulation through school-based martial arts training. J. Appl. Dev. Psychol. 2004, 25, 283–302. [Google Scholar] [CrossRef]
- Chaddock-Heyman, L.; Hillman, C.H.; Cohen, N.J.; Kramer, A.F. The importance of physical activity and aerobic fitness for cognitive control and memory in children. Monographs Soc. Res. Child Dev. 2014, 79, 25–50. [Google Scholar] [CrossRef] [PubMed]
- Álvarez-Bueno, C.; Pesce, C.; Cavero-Redondo, I.; Sánchez-López, M.; Pardo-Guijarro, M.J.; Martínez-Vizcaíno, V. Association of physical activity with cognition, metacognition and academic performance in children and adolescents: A protocol for systematic review and meta-analysis. BMJ Open 2016, 6, e011065. [Google Scholar] [CrossRef]
- Hillman, C.H.; Pontifex, M.B.; Castelli, D.M.; Khan, N.A.; Raine, L.B.; Scudder, M.R.; Kamijo, K. Effects of the FITKids randomized controlled trial on executive control and brain function. Pediatrics 2014, 134, e1063. [Google Scholar] [CrossRef]


| Variable | NW Group (n = 10) | ST Group (n = 14) | OW Group (n = 10) |
|---|---|---|---|
| Age (year) | 18.12 ± 0.60 | 18.66 ± 0.32 | 18.75 ± 0.50 |
| Height (m) | 1.76 ± 0.14 | 1.79 ± 0.06 | 1.81 ± 0.03 |
| Weight (kg) | 68.65 ± 14.31 * | 75.24 ± 6.16 # | 89.95 ± 6.75 |
| Body mass index (kg/m2) | 21.78 ± 1.45 * | 23.45 ± 1.80 # | 27.45 ± 1.61 |
| Adipose tissue (%) | 17 ± 2.81 * | 15 ± 1.71 # | 24 ± 3.87 |
| Test | Description of Test | Executive Domain |
|---|---|---|
| 2CRT | This test measures choice reaction time by presenting the user with a “*” or “o” on the display. The subject is instructed to respond as quickly as possible by pressing the designated button for each stimulus as soon as the stimulus appears. | This test measures choice reaction time. |
| CSL | In this test, the subject must compare a displayed digit-symbol pair with a set of defined digit-symbol pairs or the key. The user presses designated buttons to indicate whether the pair in question represents a correct or incorrect mapping relative to the key. In the learning phase, the defined pairs are presented on the screen along with the digit-symbol pair in question. | Results of this test are used as an index of complex scanning, visual tracking, and attention. |
| Go/No-Go | The subject is presented with two characters, “x” and “o”. The subject is instructed to respond as quickly as possible to the “x” by pressing a button each time the stimulus appears. When the “o” appears, the user is to do nothing. | This test assesses response inhibition. |
| PRO | The subject clicks the left mouse button (single-button response) when an asterisk stimulus is presented on the screen. This stimulus is presented at different intervals for 40 trials, and the reaction time for each trial is recorded. This subtest assesses reaction time. | Results of this test are used as an index of attention and visuo-motor response timing. |
| NW Group | ST Group | OW Group | |
|---|---|---|---|
| VO2max, L/ min | 2.89 ± 0.52 ^ | 4.83 ± 0.53 # | 3.86 ± 0.65 |
| VO2peak, mL/kg/min | 43.62 ± 6.15 * | 64.19 ± 6.45 # | 42.97 ± 5.49 |
| HRmax, b/min | 194 ± 8.4 | 191 ± 9.3 | 190 ± 8.2 |
| VEmax, L/min | 101.9 ± 17.01 ^ | 123 ± 15.55 # | 103.3 ± 9.73 |
| VTmax, L | 3.03 ± 1.19 | 3.5 ± 0.32 | 3.20 ± 0.28 |
| BFmax, L/min | 42.54 ± 4.23 ^ | 40.33± 5.91 | 43.09 ± 5.72 |
| RER | 1.19 ± 0.10 * | 1.18 ± 0.12 # | 1.11 ± 0.04 |
| Max test power, W | 317.47 ± 11.96 | 353.93 ± 5.90 | 309.50 ± 13.59 |
© 2019 by the authors. Licensee MDPI, Basel, Switzerland. This article is an open access article distributed under the terms and conditions of the Creative Commons Attribution (CC BY) license (http://creativecommons.org/licenses/by/4.0/).
Share and Cite
Borkertienė, V.; Stasiulis, A.; Zacharienė, B.; Kyguolienė, L.; Bacevičienė, R. Association among Executive Function, Physical Activity, and Weight Status in Youth. Medicina 2019, 55, 677. https://doi.org/10.3390/medicina55100677
Borkertienė V, Stasiulis A, Zacharienė B, Kyguolienė L, Bacevičienė R. Association among Executive Function, Physical Activity, and Weight Status in Youth. Medicina. 2019; 55(10):677. https://doi.org/10.3390/medicina55100677
Chicago/Turabian StyleBorkertienė, Vaida, Arvydas Stasiulis, Birutė Zacharienė, Laura Kyguolienė, and Rasa Bacevičienė. 2019. "Association among Executive Function, Physical Activity, and Weight Status in Youth" Medicina 55, no. 10: 677. https://doi.org/10.3390/medicina55100677
APA StyleBorkertienė, V., Stasiulis, A., Zacharienė, B., Kyguolienė, L., & Bacevičienė, R. (2019). Association among Executive Function, Physical Activity, and Weight Status in Youth. Medicina, 55(10), 677. https://doi.org/10.3390/medicina55100677
