Modulation of Corticotropin-Releasing Hormone Receptor Expression During In Vitro Keratinocyte Differentiation
Abstract
1. Introduction
2. Materials and Methods
2.1. Cell Culture
2.2. Calcium-Mediated Differentiation
2.3. Immunocytochemistry (ICC)
2.4. Western Blot
2.5. Immunohistochemistry (IHC)
2.6. Statistical Analysis
3. Results
3.1. Fluorescence Intensity Assessment of CRHR1 and CRHR2 Expression in HaCaT Cell Line Under Calcium-Induced Differentiation
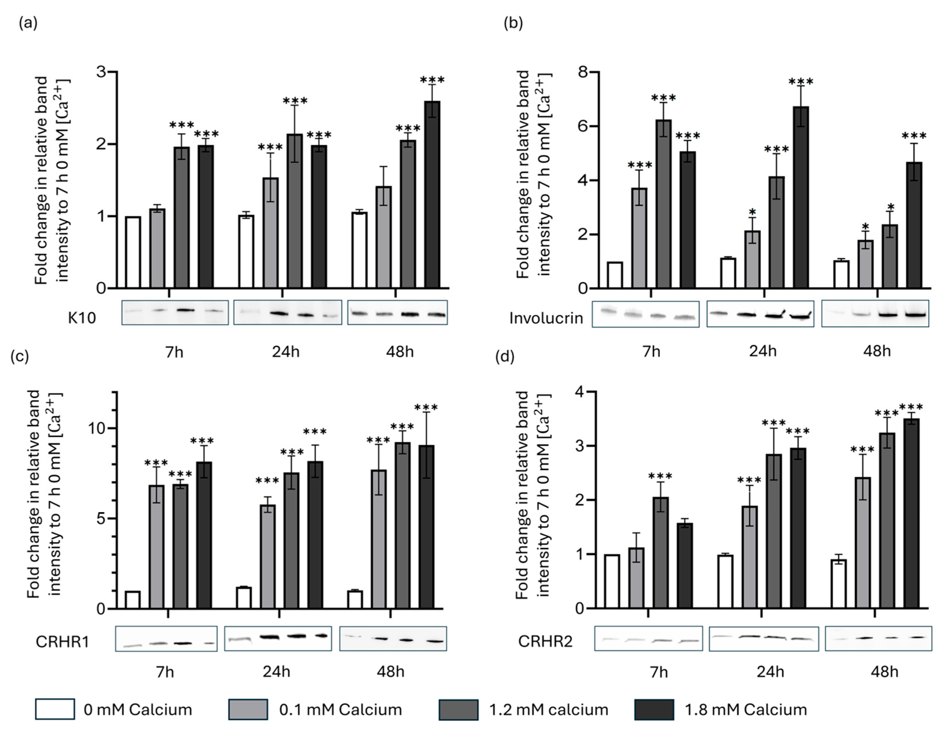
3.2. Western Blot Quantification of CRHR1 and CRHR2 Expression in HaCaT Cell Line Under Calcium-Induced Differentiation
3.3. Differential Expression of CRHR1 and CRHR2 in a Reconstructed Skin Model
4. Discussion
Supplementary Materials
Author Contributions
Funding
Institutional Review Board Statement
Informed Consent Statement
Data Availability Statement
Acknowledgments
Conflicts of Interest
Abbreviations
| ACTH | adrenocorticotropic hormone |
| BCA | bicinchoninic acid |
| BSA | bovine serum albumin |
| cAMP | cyclic adenosine monophosphate |
| CCD | charge-coupled device |
| CRH | corticotropin-releasing hormone |
| CRHR | corticotropin-releasing hormone receptor |
| CRHR1/2 | corticotropin-releasing hormone receptor 1/2 |
| DAB | 3,3′-diaminobenzidine |
| DAPI | 4′,6-diamidino-2-phenylindole |
| DMEM | Dulbecco’s modified Eagle’s medium |
| DTT | dithiothreitol |
| ECL | enhanced chemiluminescence |
| EDTA | ethylenediaminetetraacetic acid |
| FBS | fetal bovine serum |
| GPCR | G protein-coupled receptor |
| HPA | hypothalamic–pituitary–adrenal |
| HRP | horse radish peroxidase |
| ICC | immunocytochemistry |
| IgG | immunoglobulin G |
| IHC | immunohistochemistry |
| IL-1β | interleukin 1β |
| IL-6 | interleukin 6 |
| IL-8 | interleukin 8 |
| NHDF | normal human dermal fibroblast |
| NHEK | normal human epidermal keratinocyte |
| TBS | Tris-buffered saline |
| TBST | Tris-buffered saline with Tween 20 |
| TNF-α | tumor necrosis factor α |
| PAGE | polyacrylamide gel electrophoresis |
| PBS | phosphate-buffered saline |
| SDS | sodium dodecyl sulfate |
| UV | ultraviolet |
| 2D | two-dimensional |
| 3D | three-dimensional |
References
- Wang, S.; Quan, L.; Chavarro, J.E.; Slopen, N.; Kubzansky, L.D.; Koenen, K.C.; Kang, J.H.; Weisskopf, M.G.; Branch-Elliman, W.; Roberts, A.L. Associations of Depression, Anxiety, Worry, Perceived Stress, and Loneliness Prior to Infection With Risk of Post–COVID-19 Conditions. JAMA Psychiatry 2022, 79, 1081–1091. [Google Scholar] [CrossRef]
- Piao, X.; Xie, J.; Managi, S. Continuous worsening of population emotional stress globally: Universality and variations. BMC Public Health 2024, 24, 1–14. [Google Scholar] [CrossRef]
- Kivimäki, M.; Steptoe, A. Effects of stress on the development and progression of cardiovascular disease. Nat. Rev. Cardiol. 2017, 15, 215–229. [Google Scholar] [CrossRef] [PubMed]
- Steptoe, A.; Kivimäki, M. Stress and cardiovascular disease. Nat. Rev. Cardiol. 2012, 9, 360–370. [Google Scholar] [CrossRef]
- Zhang, H.; Wang, M.; Zhao, X.; Wang, Y.; Chen, X.; Su, J. Role of stress in skin diseases: A neuroendocrine-immune interaction view. Brain, Behav. Immun. 2023, 116, 286–302. [Google Scholar] [CrossRef]
- Orion, E.; Wolf, R. Psychological factors in skin diseases: Stress and skin: Facts and controversies. Clin. Dermatol. 2013, 31, 707–711. [Google Scholar] [CrossRef]
- James, K.A.; Stromin, J.I.; Steenkamp, N.; Combrinck, M.I. Understanding the relationships between physiological and psychosocial stress, cortisol and cognition. Front. Endocrinol. 2023, 14, 1085950. [Google Scholar] [CrossRef]
- Sitorus, H.P.; Silitonga, M. The Role of cortisol in the stress response. Int. J. Ecophysiol. 2025, 7, 48–58. [Google Scholar] [CrossRef]
- Takefuji, M.; Murohara, T. Corticotropin-Releasing Hormone Family and Their Receptors in the Cardiovascular System. Circ. J. 2019, 83, 261–266. [Google Scholar] [CrossRef] [PubMed]
- Hassamal, S. Chronic stress, neuroinflammation, and depression: An overview of pathophysiological mechanisms and emerging anti-inflammatories. Front. Psychiatry 2023, 14, 1130989. [Google Scholar] [CrossRef]
- Grammatopoulos, D.K. Insights into mechanisms of corticotropin-releasing hormone receptor signal transduction. Br. J. Pharmacol. 2012, 166, 85–97. [Google Scholar] [CrossRef]
- Webster, E.L.; Torpy, D.J.; Elenkov, I.J.; Chrousos, G.P. Corticotropin-releasing hormone and inflammation. Ann. N. Y. Acad. Sci. 1998, 840, 21–32. [Google Scholar] [CrossRef] [PubMed]
- Zbytek, B.; Mysliwski, A.; Slominski, A.; Wortsman, J.; Wei, E.T.; Mysliwska, J. Corticotropin-releasing hormone affects cytokine production in human HaCaT keratinocytes. Life Sci. 2002, 70, 1013–1021. [Google Scholar] [CrossRef]
- Zbytek, B.; Pfeffer, L.M.; Slominski, A.T. Corticotropin-releasing hormone stimulates NF-kappaB in human epidermal keratinocytes. J. Endocrinol. 2004, 181, R1–R7. [Google Scholar] [CrossRef]
- Mastorakos, G.; Karoutsou, E.I.; Mizamtsidi, M. Corticotropin releasing hormone and the immune/inflammatory response. Eur. J. Endocrinol. 2006, 155, S77–S84. [Google Scholar] [CrossRef]
- Kokkotou, E.; Torres, D.; Moss, A.C.; O’bRien, M.; Grigoriadis, D.E.; Karalis, K.; Pothoulakis, C. Corticotropin-releasing hormone receptor 2-deficient mice have reduced intestinal inflammatory responses. J. Immunol. 2006, 177, 3355–3361. [Google Scholar] [CrossRef] [PubMed]
- Deng, S.; Guo, A.; Huang, Z.; Guan, K.; Zhu, Y.; Chan, C.; Gui, J.; Song, C.; Li, X. The exploration of neuroinflammatory mechanism by which CRHR2 deficiency induced anxiety disorder. Prog. Neuro-Psychopharmacol. Biol. Psychiatry 2023, 128, 110844. [Google Scholar] [CrossRef]
- Slominski, A.; Pisarchik, A.; Tobin, D.J.; Mazurkiewicz, J.E.; Wortsman, J. Differential expression of a cutaneous corticotropin-releasing hormone system. Endocrinology 2004, 145, 941–950. [Google Scholar] [CrossRef]
- Slominski, A.T.; Botchkarev, V.; Choudhry, M.; Fazal, N.; Fechner, K.; Furkert, J.; Krause, E.; Roloff, B.; Sayeed, M.; Wei, E.; et al. Cutaneous Expression of CRH and CRH-R: Is There a “Skin Stress Response System?”. Ann. N. Y. Acad. Sci. 1999, 885, 287–311. [Google Scholar] [CrossRef]
- Slominski, A.; Wortsman, J.; Tuckey, R.C.; Paus, R. Differential expression of HPA axis homolog in the skin. Mol. Cell. Endocrinol. 2007, 265–266, 143–149. [Google Scholar] [CrossRef] [PubMed]
- Slominski, A.; Ermak, G.; Mazurkiewicz, J.E.; Baker, J.; Wortsman, J. Characterization of corticotropin-releasing hormone (CRH) in human skin. J. Clin. Endocrinol. Metab. 1998, 83, 1020–1024. [Google Scholar] [CrossRef]
- Colombo, I.; SanGiovanni, E.; Maggio, R.; Mattozzi, C.; Zava, S.; Corbett, Y.; Fumagalli, M.; Carlino, C.; Corsetto, P.A.; Scaccabarozzi, D.; et al. HaCaT Cells as a Reliable In Vitro Differentiation Model to Dissect the Inflammatory/Repair Response of Human Keratinocytes. Mediat. Inflamm. 2017, 2017, 7435621. [Google Scholar] [CrossRef]
- Deyrieux, A.F.; Wilson, V.G. In vitro culture conditions to study keratinocyte differentiation using the HaCaT cell line. Cytotechnology 2007, 54, 77–83. [Google Scholar] [CrossRef]
- Schoop, V.M.; Fusenig, N.E.; Mirancea, N. Epidermal organization and differentiation of HaCat keratinocytes in organotypic coculture with human dermal fibroblasts. J. Investig. Dermatol. 1999, 112, 343–353. [Google Scholar] [CrossRef] [PubMed]
- Micallef, L.; Belaubre, F.; Pinon, A.; Jayat-Vignoles, C.; Delage, C.; Charveron, M.; Simon, A. Effects of extracellular calcium on the growth-differentiation switch in immortalized keratinocyte HaCaT cells compared with normal human keratinocytes. Exp. Dermatol. 2009, 18, 143–151. [Google Scholar] [CrossRef] [PubMed]
- Harmand, P.-O. Etude du Processus Apoptotique Induit par L’acide Ursolique sur Deux Lignées Cellulaires Humaines de la Peau: Les Cellules HaCaT Dérivées de Kératinocytes Humains, les Cellules M4Beu Issues d’un Mélanome Humain. Ph.D. Thesis, Université de Limoges, Limoges, France, 2004. [Google Scholar]
- Denning, M.F.; Dlugosz, A.A.; Williams, E.K.; Szallasi, Z.; Blumberg, P.M.; Yuspa, S.H. Specific protein kinase C isozymes mediate the induction of keratinocyte differentiation markers by calcium. Cell Growth Differ.-Publ. Am. Assoc. Cancer Res. 1995, 6, 149–157. [Google Scholar]
- Bikle, D.D.; Xie, Z.; Tu, C.-L. Calcium regulation of keratinocyte differentiation. Expert Rev. Endocrinol. Metab. 2012, 7, 461–472. [Google Scholar] [CrossRef]
- Ng, D.C.; Su, M.J.; Kim, R.; Bikle, D.D. Regulation of involucrin gene expression by calcium in normal human keratinocytes. Front. Biosci. 1996, 1, a16–24. [Google Scholar] [CrossRef][Green Version]
- Warhol, M.J.; Roth, J.; Lucocq, J.M.; Pinkus, G.S.; Rice, R.H. Immuno-ultrastructural localization of involucrin in squamous epithelium and cultured keratinocytes. J. Histochem. Cytochem. 1985, 33, 141–149. [Google Scholar] [CrossRef]
- Boelsma, E.; Gibbs, S.; Faller, C.; Ponec, M. Characterization and comparison of reconstructed skin models: Morphological and immunohistochemical evaluation. Acta Dermato-Venereologica 2000, 80, 82–88. [Google Scholar] [CrossRef] [PubMed]
- Punnonen, K.; Denning, M.; Lee, E.; Li, L.; Rhee, S.G.; Yuspa, S.H. Keratinocyte differentiation is associated with changes in the expression and regulation of phospholipase C isoenzymes. J. Investig. Dermatol. 1993, 101, 719–726. [Google Scholar] [CrossRef] [PubMed]
- Lee, S.E.; Lee, S.H. Skin Barrier and Calcium. Ann. Dermatol. 2018, 30, 265–275. [Google Scholar] [CrossRef] [PubMed]
- Leuner, K.; Kraus, M.; Woelfle, U.; Beschmann, H.; Harteneck, C.; Boehncke, W.-H.; Schempp, C.M.; Müller, W.E. Reduced TRPC channel expression in psoriatic keratinocytes is associated with impaired differentiation and enhanced proliferation. PLoS ONE 2011, 6, e14716. [Google Scholar] [CrossRef] [PubMed]
- Yun, J.-W.; Seo, J.A.; Jeong, Y.S.; Bae, I.-H.; Jang, W.-H.; Lee, J.; Kim, S.-Y.; Shin, S.-S.; Woo, B.-Y.; Lee, K.-W. TRPV1 antagonist can suppress the atopic dermatitis-like symptoms by accelerating skin barrier recovery. J. Dermatol. Sci. 2010, 62, 8–15. [Google Scholar] [CrossRef]
- Slominski, A.T.; Zmijewski, M.A.; Zbytek, B.; Tobin, D.J.; Theoharides, T.C.; Rivier, J. Key role of CRF in the skin stress response system. Endocr. Rev. 2013, 34, 827–884. [Google Scholar] [CrossRef]





Disclaimer/Publisher’s Note: The statements, opinions and data contained in all publications are solely those of the individual author(s) and contributor(s) and not of MDPI and/or the editor(s). MDPI and/or the editor(s) disclaim responsibility for any injury to people or property resulting from any ideas, methods, instructions or products referred to in the content. |
© 2026 by the authors. Licensee MDPI, Basel, Switzerland. This article is an open access article distributed under the terms and conditions of the Creative Commons Attribution (CC BY) license.
Share and Cite
Martins, C.-A.; Lesink, S.; Roux, A.; Collet, G.; Daniellou, R. Modulation of Corticotropin-Releasing Hormone Receptor Expression During In Vitro Keratinocyte Differentiation. Curr. Issues Mol. Biol. 2026, 48, 210. https://doi.org/10.3390/cimb48020210
Martins C-A, Lesink S, Roux A, Collet G, Daniellou R. Modulation of Corticotropin-Releasing Hormone Receptor Expression During In Vitro Keratinocyte Differentiation. Current Issues in Molecular Biology. 2026; 48(2):210. https://doi.org/10.3390/cimb48020210
Chicago/Turabian StyleMartins, Carole-Anne, Sara Lesink, Angéline Roux, Guillaume Collet, and Richard Daniellou. 2026. "Modulation of Corticotropin-Releasing Hormone Receptor Expression During In Vitro Keratinocyte Differentiation" Current Issues in Molecular Biology 48, no. 2: 210. https://doi.org/10.3390/cimb48020210
APA StyleMartins, C.-A., Lesink, S., Roux, A., Collet, G., & Daniellou, R. (2026). Modulation of Corticotropin-Releasing Hormone Receptor Expression During In Vitro Keratinocyte Differentiation. Current Issues in Molecular Biology, 48(2), 210. https://doi.org/10.3390/cimb48020210

