Network Pharmacology-Based Analysis Reveals the Mechanisms of the Tibetan Medicinal Plant Meconopsis quintuplinervia Against COPD and NAFLD: Insights from LC-MS/MS Profiling and Antioxidant/Anti-Inflammatory Activities
Abstract
1. Introduction
2. Materials and Methods
2.1. Preparation of M. quintuplinervia Extract
2.2. Antioxidant Capacity Analysis
2.3. MTT Assay for Cell Viability
2.4. Intracellular ROS Analysis
2.5. Anti-Inflammatory Activity
2.6. Analysis of Total Phenolic and Total Flavonoid Content
2.7. LC-MS/MS Analysis
2.8. Network Pharmacology Analysis
2.9. Statistical Analysis
3. Results
3.1. Antioxidant Capacity of MQ Extract
3.2. ROS Scavenging by MQ Extract
3.3. NO Scavenging by MQ Extract
3.4. Total Phenolic and Total Flavonoid Content of MQ Extract
3.5. LC-MS/MS Analysis of MQ Extract
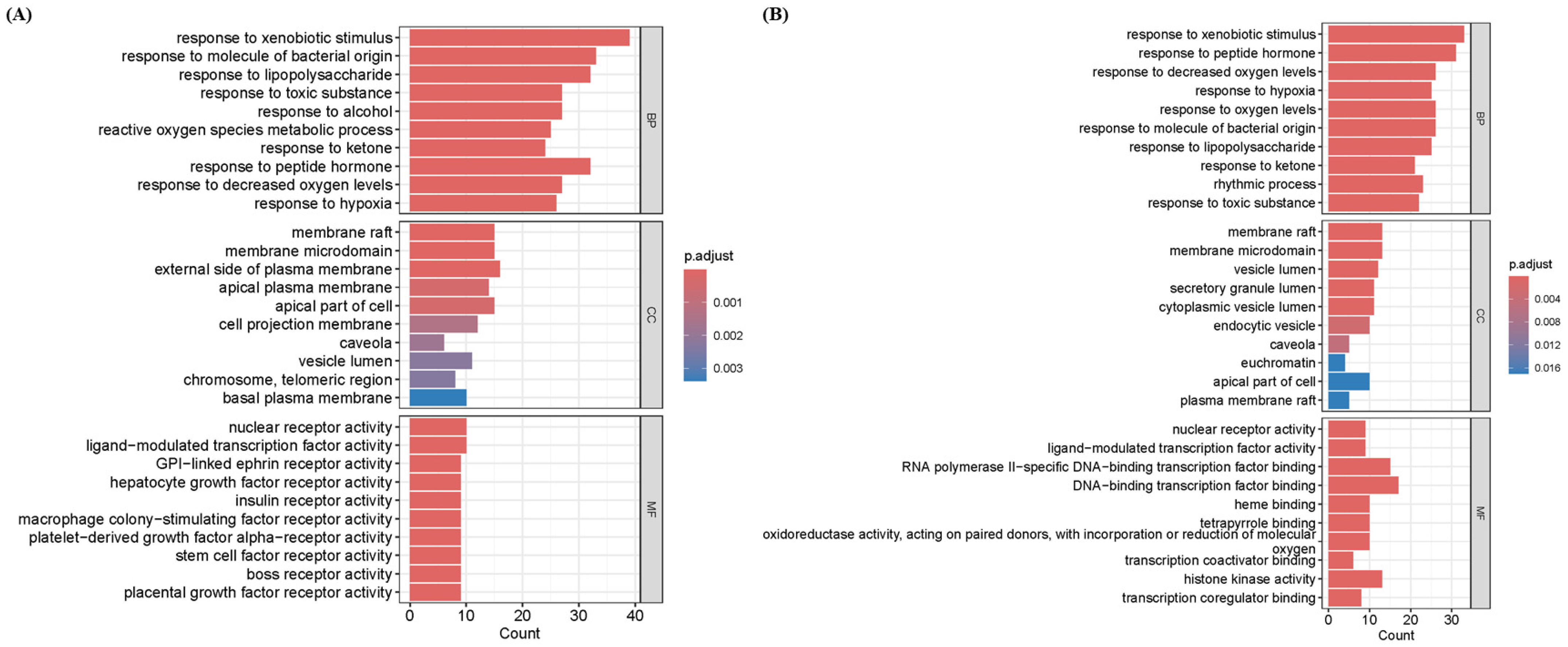
3.6. Network Pharmacology Analysis of MQ Extract
4. Discussion
4.1. Azaleatin
4.2. Catechin
4.3. Eriodictyol
4.4. Estrone
4.5. Isocorypalmine
4.6. Isorhamnetin
4.7. Kaempferide
4.8. Kaempferol
4.9. Luteolin
4.10. Naringenin
4.11. Nobiletin
4.12. Pentahydroxyflavanone
4.13. Quercetin
4.14. Taxifolin
5. Conclusions
Author Contributions
Funding
Institutional Review Board Statement
Informed Consent Statement
Data Availability Statement
Acknowledgments
Conflicts of Interest
Abbreviations
| MQ | Meconopsis quintuplinervia |
| COPD | Chronic obstructive pulmonary disease |
| NAFLD | Non-alcoholic fatty liver disease |
| DPPH | 2,2-Diphenyl-1-picrylhydrazyl |
| ABTS | 2,2′-Azino-bis(3-ethylbenzothiazoline-6-sulfonic acid |
| ROS | Reactive oxygen species |
| GO | Gene Ontology |
| KEGG | Kyoto Encyclopedia of Genes and Genomes |
| PPI | Protein–protein interaction |
| NO | Nitric oxide |
| FOS | FBJ murine osteosarcoma viral oncogene homolog |
| TLR4 | Toll-like receptor 4 |
| AKT1 | AKT serine/threonine kinase 1 |
| TNF | Tumor necrosis factor |
| ESR1 | Estrogen receptor 1 |
| HSP90AA1 | Heat-shock protein 90 alpha family class A member 1 |
| PTGS2 | Prostaglandin-endoperoxide synthase 2 |
| MMP9 | Matrix metallopeptidase 9 |
| GSK3B | Glycogen synthase kinase 3 beta |
| CREB1 | cAMP responsive element-binding protein 1 |
| JUN | Jun proto-oncogene, AP-1 transcription factor subunit |
| EGFR | Epidermal growth factor receptor |
| APP | Amyloid precursor protein |
References
- Gong, Y.; Zhou, H.; Chen, H. Research progress in medicinal plants of the genus Meconopsis in the past decade. J. Chin. Med. Mater. 2020, 43, 758–763. (In Chinese) [Google Scholar]
- Liu, H.; Zheng, X.; Zhang, M.; Xu, Z.; Xu, L.; Gesangwendeng; Mimapanduo. Comparison and correlation analysis of mass fractions of four components and chemical elements in different tissues of Tibetan medicine Meconopsis quintuplinervia Regel. J. Shandong Univ. Tradit. Chin. Med. 2025, 49, 493–502. (In Chinese) [Google Scholar]
- Kinkade, S.; Long, N.A. Acute bronchitis. Am. Fam. Physician 2016, 94, 560–565. [Google Scholar] [PubMed]
- Jeyachandran, V.; Hurst, J.R. Advances in chronic obstructive pulmonary disease: Management of exacerbations. Br. J. Hosp. Med. 2022, 83, 1–7. [Google Scholar] [CrossRef] [PubMed]
- Chinese Pharmacopoeia Commission. Drug Standards of the Ministry of Health of the People’s Republic of China: Tibetan Medicine; China Medical Science and Technology Press: Beijing, China, 1995; Volume 98. [Google Scholar]
- Chen, J.; Zhang, Q.; Wang, R.; Yang, Y.; Wang, Y.; Liu, X.; Zhang, X.; Qiao, X.; Zhong, G.; Wei, J.; et al. Preliminary study on the effective site and mechanism of action of Meconopsis quintuplinervia Regel in alleviating acute alcoholic liver injury in mice. J. Ethnopharmacol. 2023, 308, 116230. [Google Scholar] [CrossRef]
- Shang, X.Y.; Wang, Y.H.; Li, C.; Zhang, C.Z.; Yang, Y.C.; Shi, J.G. Acetylated flavonol diglucosides from Meconopsis quintuplinervia. Phytochemistry 2006, 67, 511–515. [Google Scholar] [CrossRef]
- Tian, Y.; Liu, Y.; Kong, Y.; Li, L.; Yang, Z.; Li, W.; Li, Q.; Ren, C.; Sun, W.; Huang, Y. Discovery of quality markers of Meconopsis quintuplinervia based on an absorption-based metabolite approach and rapid quantification using polarity-switching UPLC-QQQ-MS/MS. Front. Pharmacol. 2024, 15, 1474768. [Google Scholar] [CrossRef]
- Zhu, X.; Chen, R.; Han, Q.; Jiang, H.; Qi, D.; Wu, Z. Establishment of HPLC fingerprint and determination of quercetin content in Meconopsis quintuplinervia from different habitats. Chin. Tradit. Pat. Med. 2024, 46, 2711–2715. (In Chinese) [Google Scholar]
- He, J.; Huang, B.; Ban, X.; Tian, J.; Zhu, L.; Wang, Y. In vitro and in vivo antioxidant activity of the ethanolic extract from Meconopsis quintuplinervia. J. Ethnopharmacol. 2012, 141, 104–110. [Google Scholar] [CrossRef]
- Daina, A.; Michielin, O.; Zoete, V. SwissADME: A free web tool to evaluate pharmacokinetics, drug-likeness and medicinal chemistry friendliness of small molecules. Sci. Rep. 2017, 7, 42717. [Google Scholar] [CrossRef]
- Ru, J.; Li, P.; Wang, J.; Zhou, W.; Li, B.; Huang, C.; Li, P.; Guo, Z.; Tao, W.; Yang, Y.; et al. TCMSP: A database of systems pharmacology for drug discovery from herbal medicines. J. Cheminform. 2014, 6, 13. [Google Scholar] [CrossRef]
- Keiser, M.J.; Roth, B.L.; Armbruster, B.N.; Ernsberger, P.; Irwin, J.J.; Shoichet, B.K. Relating protein pharmacology by ligand chemistry. Nat. Biotechnol. 2007, 25, 197–206. [Google Scholar] [CrossRef]
- Yao, Z.J.; Dong, J.; Che, Y.J.; Zhu, M.F.; Wen, M.; Wang, N.N.; Wang, S.; Lu, A.P.; Cao, D.S. TargetNet: A web service for predicting potential drug-target interaction profiling via multi-target SAR models. J. Comput. Aided Mol. Des. 2016, 30, 413–424. [Google Scholar] [CrossRef] [PubMed]
- Stelzer, G.; Rosen, N.; Plaschkes, I.; Zimmerman, S.; Twik, M.; Fishilevich, S.; Stein, T.I.; Nudel, R.; Lieder, I.; Mazor, Y.; et al. The GeneCards Suite: From gene data mining to disease genome sequence analyses. Curr. Protoc. Bioinform. 2016, 54, 1.30.1–1.30.33. [Google Scholar] [CrossRef] [PubMed]
- Hamosh, A.; Scott, A.F.; Amberger, J.S.; Bocchini, C.A.; McKusick, V.A. Online Mendelian Inheritance in Man (OMIM), a knowledgebase of human genes and genetic disorders. Nucleic Acids Res. 2005, 33, D514–D517. [Google Scholar] [CrossRef] [PubMed]
- Zhang, Y.; Zhou, Y.; Xu, H.; Jiang, W.; Li, B.; Lai, D.; Wan, C.; Wang, S.; Zhao, M.; Tan, Y.; et al. Therapeutic target database 2026: Facilitating targeted therapies and precision medicine. Nucleic Acids Res. 2026, 54, D1692–D1701. [Google Scholar] [CrossRef]
- Liu, Y.; Yang, X.; Gan, J.; Chen, S.; Xiao, Z.X.; Cao, Y. CB-Dock2: Improved protein-ligand blind docking by integrating cavity detection, docking and homologous template fitting. Nucleic Acids Res. 2022, 50, W159–W164. [Google Scholar] [CrossRef]
- Taylor, B.S.; Alarcon, L.H.; Billiar, T.R. Inducible nitric oxide synthase in the liver: Regulation and function. Biochemistry 1998, 63, 766–781. [Google Scholar]
- Mustafa, N.F.; Cheng, K.K.; Nadri, M.H.; Razali, S.A.; Zakaria, I.I.; Salin, N.H.; Amran, S.I. Discovery of azaleatin as a potential allosteric inhibitor for dengue NS2B-NS3 protease using in vitro and in silico studies. J. Biomol. Struct. Dyn. 2025, 43, 7759–7770. [Google Scholar] [CrossRef]
- Tsai, K.C.; Zhang, Y.X.; Kao, H.Y.; Fung, K.M.; Tseng, T.S. Pharmacophore-driven identification of human glutaminyl cyclase inhibitors from foods, plants and herbs unveils the bioactive property and potential of Azaleatin in the treatment of Alzheimer’s disease. Food Funct. 2022, 13, 12632–12647. [Google Scholar] [CrossRef]
- Hassan, H.M.; Bibi, A.; Hayat, M.F.; Alzahrani, K.J.; Alzahrani, F.M.; Alsuwat, M.A.; Al-Aream, M.A. Cardioprotective potential of azaleatin against sodium arsenite instigated sub-chronic cardiotoxicity via targeting TLR4/MyD88, JAK1/STAT3, and NF-κB in Sprague Dawley rats. J. Trace Elem. Med. Biol. 2025, 92, 127763. [Google Scholar] [CrossRef] [PubMed]
- Tabak, C.; Arts, I.C.; Smit, H.A.; Heederik, D.; Kromhout, D. Chronic obstructive pulmonary disease and intake of catechins, flavonols, and flavones: The MORGEN Study. Am. J. Respir. Crit. Care Med. 2001, 164, 61–64. [Google Scholar] [CrossRef] [PubMed]
- Hodges, J.K.; Sasaki, G.Y.; Bruno, R.S. Anti-inflammatory activities of green tea catechins along the gut-liver axis in nonalcoholic fatty liver disease: Lessons learned from preclinical and human studies. J. Nutr. Biochem. 2020, 85, 108478. [Google Scholar] [CrossRef] [PubMed]
- Ranneh, Y.; Bedir, A.S.; Abu-Elsaoud, A.M.; Al Raish, S. Polyphenol intervention ameliorates non-alcoholic fatty liver disease: An updated comprehensive systematic review. Nutrients 2024, 16, 4150. [Google Scholar] [CrossRef]
- Mohammadhasani, K.; Vahedi Fard, M.; Mottaghi Moghaddam Shahri, A.; Khorasanchi, Z. Polyphenols improve non-alcoholic fatty liver disease via gut microbiota: A comprehensive review. Food Sci. Nutr. 2024, 12, 5341–5356. [Google Scholar] [CrossRef]
- Wang, X.C.; Song, L.; Wang, X.H. Efficacy of dietary polyphenol supplement in patients with non-alcoholic fatty liver disease: A network meta-analysis. Front. Nutr. 2025, 12, 1582861. [Google Scholar] [CrossRef]
- Zhai, L.; Yang, W.; Li, D.; Zhou, W.; Cui, M.; Yao, P. Network pharmacology and molecular docking reveal the immunomodulatory mechanism of rhubarb peony decoction for the treatment of ulcerative colitis and irritable bowel syndrome. J. Pharm. Pharm. Sci. 2023, 26, 11225. [Google Scholar] [CrossRef]
- Wu, W.; Shi, Y.; Wu, Y.; Zhang, R.; Wu, X.; Zhao, W.; Chen, Z.; Ye, G. Network pharmacology and single-cell transcriptomic analysis with molecular docking to elucidate the potential compounds and targets of Polygonum cuspidatum Sieb. et Zucc. for hepatocellular carcinoma. iLIVER 2024, 3, 100115. [Google Scholar] [CrossRef]
- Sun, M.; Ding, Q. Correlation of dietary flavonoid intake with chronic bronchitis, emphysema, and asthma in U.S. adults: A large, national, cross-sectional study. PLoS ONE 2024, 19, e0309310. [Google Scholar] [CrossRef]
- Islam, A.; Islam, M.S.; Rahman, M.K.; Uddin, M.N.; Akanda, M.R. The pharmacological and biological roles of eriodictyol. Arch. Pharm. Res. 2020, 43, 582–592. [Google Scholar] [CrossRef]
- Stevens Brentjens, L.; Delvoux, B.; den Hartog, J.E.; Obukhova, D.; Xanthoulea, S.; Romano, A.; van Golde, R.J.T. Endometrial Metabolism of 17β-Estradiol during the Window of Implantation in Women with Recurrent Implantation Failure. Gynecol. Obstet. Investig. 2025, online ahead of print, 1–12. [Google Scholar] [CrossRef] [PubMed]
- Alemany, M. Estrogens and the regulation of glucose metabolism. World J. Diabetes 2021, 12, 1622–1654. [Google Scholar] [CrossRef] [PubMed]
- Mueller, N.T.; Liu, T.; Mitchel, E.B.; Yates, K.P.; Suzuki, A.; Behling, C.; Lavine, J.E. Sex hormone relations to histologic severity of pediatric nonalcoholic fatty liver disease. J. Clin. Endocrinol. Metab. 2020, 105, 3496–3504. [Google Scholar] [CrossRef] [PubMed]
- Pavlič, R.; Pušić, M.N.; Rižner, T.L. Evaluation of the effects of estrogens on endometrial cancer cells of different grades. J. Steroid Biochem. Mol. Biol. 2025, 251, 106762. [Google Scholar] [CrossRef]
- Grimm, A.; Biliouris, E.E.; Lang, U.E.; Götz, J.; Mensah-Nyagan, A.G.; Eckert, A. Sex hormone-related neurosteroids differentially rescue bioenergetic deficits induced by amyloid-β or hyperphosphorylated tau protein. Cell. Mol. Life Sci. 2016, 73, 201–215. [Google Scholar] [CrossRef]
- Kang, H.; Wang, J.; Liu, Y.; Huang, F.; Zhou, H.; Xie, X.; Xu, Q.; Liang, X.; Xue, X. Integrating UPLC-MS/MS with in silico and in vitro screening accelerates the discovery of active compounds in Stephania epigaea. J. Pharm. Biomed. Anal. 2024, 248, 116289. [Google Scholar] [CrossRef]
- Li, Y.; Zhang, T.; Huai, J.; Cheng, C.; Xie, L.; Wang, S.; Dai, R. Metabolite profiling of l-isocorypalmine in rat urine, plasma, and feces after oral administration using high performance liquid chromatography coupled to Fourier transform ion cyclotron resonance mass spectrometry. J. Sep. Sci. 2019, 42, 619–627. [Google Scholar] [CrossRef]
- Dong, X.; Li, J.J.; Ma, N.; Liu, A.Z.; Liu, J.W. Anti-inflammatory and anti-oxidative effects of isorhamnetin for protection against lung injury in a rat model of heatstroke in a dry-heat environment. Med. Sci. Monit. 2022, 28, e935426. [Google Scholar] [CrossRef]
- Yang, B.; Ma, L.; Wei, Y.; Cui, Y.; Li, X.; Wei, Y.; Zhang, S.; Zhang, L.; Zhou, H.; Wang, G.; et al. Isorhamnetin alleviates lipopolysaccharide-induced acute lung injury by inhibiting mTOR signaling pathway. Immunopharmacol. Immunotoxicol. 2022, 44, 387–399. [Google Scholar] [CrossRef]
- Ganbold, M.; Owada, Y.; Ozawa, Y.; Shimamoto, Y.; Ferdousi, F.; Tominaga, K.; Zheng, Y.W.; Ohkohchi, N.; Isoda, H. Isorhamnetin alleviates steatosis and fibrosis in mice with nonalcoholic steatohepatitis. Sci. Rep. 2019, 9, 16210. [Google Scholar] [CrossRef]
- La, X.; Zhang, Z.; Dong, C.; Li, H.; He, X.; Kang, Y.; Wu, C.; Li, Z. Isorhamnetin in Quinoa whole-grain flavonoids intervenes in non-alcoholic fatty liver disease by modulating bile acid metabolism through regulation of FXR expression. Foods 2024, 13, 3076. [Google Scholar] [CrossRef] [PubMed]
- Zhou, Y.; Li, S.; Hong, B.; Wang, Z.; Shao, Y.; Wu, M.; Wang, J. Mechanisms of isorhamnetin inhibition of osteoclast differentiation: Insights from molecular dynamics simulations and in vitro/in vivo experiments. Front. Pharmacol. 2025, 16, 1551257. [Google Scholar] [CrossRef] [PubMed]
- Li, Y.; Chi, G.; Shen, B.; Tian, Y.; Feng, H. Isorhamnetin ameliorates LPS-induced inflammatory response through downregulation of NF-κB signaling. Inflammation 2016, 39, 1291–1301. [Google Scholar] [CrossRef] [PubMed]
- Wang, M.; Xu, Z.; Cai, Q.; Deng, Y.; Shi, W.; Zhou, H.; Wang, D.; Li, J. Isorhamnetin inhibits progression of ovarian cancer by targeting ESR1. Ann. Transl. Med. 2022, 10, 1216. [Google Scholar] [CrossRef]
- Alqudah, A.; Qnais, E.; Bseiso, Y.; Gammoh, O.; Wedyan, M.; Oqal, M.; AbuDalo, R.; Alotaibi, B.S. Exploring the analgesic potential of isorhamnetin: Insights from formalin-induced pain and diabetic neuropathy models. Eur. Rev. Med. Pharmacol. Sci. 2024, 28, 4214–4224. [Google Scholar]
- Song, B.; Niu, W.; Zhang, S.; Hao, M.; Li, Y.; Chen, Q.; Li, S.; Tong, C. A mechanistic review of the pharmacological aspects of Kaempferide as a natural compound. Heliyon 2024, 10, e38243. [Google Scholar] [CrossRef]
- Tie, F.; Ding, J.; Hu, N.; Dong, Q.; Chen, Z.; Wang, H. Kaempferol and kaempferide attenuate oleic acid-induced lipid accumulation and oxidative stress in HEPG2 cells. Int. J. Mol. Sci. 2021, 22, 8847. [Google Scholar] [CrossRef]
- Tang, X.L.; Liu, J.X.; Dong, W.; Li, P.; Li, L.; Hou, J.C.; Zheng, Y.Q.; Lin, C.R.; Ren, J.G. Protective effect of kaempferol on LPS plus ATP-induced inflammatory response in cardiac fibroblasts. Inflammation 2015, 38, 94–101. [Google Scholar] [CrossRef]
- Wang, J.; Wu, Q.; Ding, L.; Song, S.; Li, Y.; Shi, L.; Wang, T.; Zhao, D.; Wang, Z.; Li, X. Therapeutic effects and molecular mechanisms of bioactive compounds against respiratory diseases: Traditional chinese medicine theory and high-frequency use. Front. Pharmacol. 2021, 12, 734450. [Google Scholar] [CrossRef]
- Li, N.; Yin, L.; Shang, J.; Liang, M.; Liu, Z.; Yang, H.; Qiang, G.; Du, G.; Yang, X. Kaempferol attenuates nonalcoholic fatty liver disease in type 2 diabetic mice via the Sirt1/AMPK signaling pathway. Biomed. Pharmacother. 2023, 165, 115113. [Google Scholar] [CrossRef]
- Yang, H.; Li, D.; Gao, G. Kaempferol alleviates hepatic injury in nonalcoholic steatohepatitis (NASH) by suppressing neutrophil-mediated NLRP3-ASC/TMS1-Caspase 3 signaling. Molecules 2024, 29, 2630. [Google Scholar] [CrossRef] [PubMed]
- Yao, Y.X.; Yu, Y.J.; Dai, S.; Zhang, C.Y.; Xue, X.Y.; Zhou, M.L.; Yao, C.H.; Li, Y.X. Kaempferol efficacy in metabolic diseases: Molecular mechanisms of action in diabetes mellitus, obesity, non-alcoholic fatty liver disease, steatohepatitis, and atherosclerosis. Biomed. Pharmacother. 2024, 175, 116694. [Google Scholar] [CrossRef] [PubMed]
- Ruan, G.Y.; Ye, L.X.; Lin, J.S.; Lin, H.Y.; Yu, L.R.; Wang, C.Y.; Mao, X.D.; Zhang, S.H.; Sun, P.M. An integrated approach of network pharmacology, molecular docking, and experimental verification uncovers kaempferol as the effective modulator of HSD17B1 for treatment of endometrial cancer. J. Transl. Med. 2023, 21, 204. [Google Scholar] [CrossRef] [PubMed]
- Zhang, D.; Qu, X.; Chu, F.; Wang, Z.; Mou, J.; Yuan, F. Regulation of macrophage-mediated osteogenesis by kaempferol liposomes in trauma-induced heterotopic ossification. Int. J. Pharm. 2025, 671, 125226. [Google Scholar] [CrossRef]
- Zhang, Y.; Zhen, W.; Maechler, P.; Liu, D. Small molecule kaempferol modulates PDX-1 protein expression and subsequently promotes pancreatic β-cell survival and function via CREB. J. Nutr. Biochem. 2013, 24, 638–646. [Google Scholar] [CrossRef]
- Zhou, L.; Jian, T.; Wan, Y.; Huang, R.; Fang, H.; Wang, Y.; Liang, C.; Ding, X.; Chen, J. Luteolin alleviates oxidative stress in chronic obstructive pulmonary disease induced by cigarette smoke via modulation of the TRPV1 and CYP2A13/NRF2 signaling pathways. Int. J. Mol. Sci. 2023, 25, 369. [Google Scholar] [CrossRef]
- Lv, J.; Song, X.; Luo, Z.; Huang, D.; Xiao, L.; Zou, K. Luteolin: Exploring its therapeutic potential and molecular mechanisms in pulmonary diseases. Front. Pharmacol. 2025, 16, 1535555. [Google Scholar] [CrossRef]
- Ahmed, E.S.; Mohamed, H.E.; Farrag, M.A. Luteolin loaded on zinc oxide nanoparticles ameliorates non-alcoholic fatty liver disease associated with insulin resistance in diabetic rats via regulation of PI3K/AKT/FoxO1 pathway. Int. J. Immunopathol. Pharmacol. 2022, 36, 3946320221137435. [Google Scholar] [CrossRef]
- Sun, W.L.; Yang, J.W.; Dou, H.Y.; Li, G.Q.; Li, X.Y.; Shen, L.; Ji, H.F. Anti-inflammatory effect of luteolin is related to the changes in the gut microbiota and contributes to preventing the progression from simple steatosis to nonalcoholic steatohepatitis. Bioorg Chem. 2021, 112, 104966. [Google Scholar] [CrossRef]
- Wang, T.; Xu, Q.; Cao, Y.; Zhang, C.; Chen, S.; Zhang, Y.; Liang, T. Luteolin ameliorates hepatic steatosis and enhances mitochondrial biogenesis via AMPK/PGC-1α pathway in western diet-fed mice. J. Nutr. Sci. Vitaminol. 2023, 69, 259–267. [Google Scholar] [CrossRef]
- Yu, Y.; Ding, S.; Xu, X.; Yan, D.; Fan, Y.; Ruan, B.; Zhang, X.; Zheng, L.; Jie, W.; Zheng, S. Integrating network pharmacology and bioinformatics to explore the effects of Dangshen (Codonopsis pilosula) against hepatocellular carcinoma: Validation based on the active compound luteolin. Drug Des. Dev. Ther. 2023, 17, 659–673. [Google Scholar] [CrossRef]
- Zhang, R.; Li, W.; Yang, J.; Fan, X.; Fan, H.; Li, W. The role of luteolin in inhibiting prostaglandin-endoperoxide synthase 2 to relieve neointimal hyperplasia in arteriovenous fistula. Adv Biol. 2025, 9, e2400437. [Google Scholar] [CrossRef] [PubMed]
- Yao, X.; Jiang, W.; Yu, D.; Yan, Z. Luteolin inhibits proliferation and induces apoptosis of human melanoma cells in vivo and in vitro by suppressing MMP-2 and MMP-9 through the PI3K/AKT pathway. Food Funct. 2019, 10, 703–712. [Google Scholar] [CrossRef] [PubMed]
- Raina, R.; Pramodh, S.; Rais, N.; Haque, S.; Shafarin, J.; Bajbouj, K.; Hamad, M.; Hussain, A. Luteolin inhibits proliferation, triggers apoptosis and modulates Akt/mTOR and MAP kinase pathways in HeLa cells. Oncol. Lett. 2021, 21, 192. [Google Scholar] [CrossRef] [PubMed]
- Rezai-Zadeh, K.; Douglas Shytle, R.; Bai, Y.; Tian, J.; Hou, H.; Mori, T.; Zeng, J.; Obregon, D.; Town, T.; Tan, J. Flavonoid-mediated presenilin-1 phosphorylation reduces Alzheimer’s disease beta-amyloid production. J. Cell. Mol. Med. 2009, 13, 574–588. [Google Scholar] [CrossRef]
- Chen, Z.; Chen, P.; Wu, H.; Shi, R.; Su, W.; Wang, Y.; Li, P. Evaluation of naringenin as a promising treatment option for COPD based on literature review and network pharmacology. Biomolecules 2020, 10, 1644. [Google Scholar] [CrossRef]
- Cao, P.; Yue, M.; Cheng, Y.; Sullivan, M.A.; Chen, W.; Yu, H.; Li, F.; Wu, S.; Lv, Y.; Zhai, X.; et al. Naringenin prevents non-alcoholic steatohepatitis by modulating the host metabolome and intestinal microbiome in MCD diet-fed mice. Food Sci. Nutr. 2023, 11, 7826–7840. [Google Scholar] [CrossRef]
- Kozłowska, A. Clinical insights into non-alcoholic fatty liver disease and the therapeutic potential of flavonoids: An update. Nutrients 2025, 17, 956. [Google Scholar] [CrossRef]
- Tao, W.; Xufeng, Y.; Xianmei, C.; Mengrou, Q.; Jieqiong, W.; Mingqi, Q. Exploring the mechanism of myrrh in the treatment of breast cancer based on network pharmacology and cell experiments. Chem. Biol. Drug Des. 2024, 104, e14604. [Google Scholar] [CrossRef]
- Hai, B.; Zhang, Y.; Huang, J.; Mprah, R.; Wang, M. Exploring the key ingredients and mechanisms of Banxia Xiexin decoction for the treatment of polycystic ovary syndrome based on network pharmacology and experimental validation. Ann. Med. 2025, 57, 2503921. [Google Scholar] [CrossRef]
- Qin, Y.; Yang, J.; Li, H.; Li, J. Recent advances in the therapeutic potential of nobiletin against respiratory diseases. Phytomedicine 2024, 128, 155506. [Google Scholar] [CrossRef] [PubMed]
- Zikela, L.; Zhu, H.; Yu, Z.; Wang, D.; Li, J.; Li, S.; Han, Q. Nobiletin attenuates alcohol-related liver disease by inhibting gut-liver inflammation and gut microbiota disturbance in mice. Eur. J. Nutr. 2024, 64, 36. [Google Scholar] [CrossRef] [PubMed]
- Hosokawa, Y.; Hosokawa, I.; Ozaki, K. Nobiletin Decreases Inflammatory Mediator Expression in Tumor Necrosis Factor-Stimulated Human Periodontal Ligament Cells. Mediat. Inflamm. 2021, 2021, 5535844. [Google Scholar] [CrossRef] [PubMed]
- Yin, C.; Tian, Y.; Yan, A.; Wang, H.; Lu, F.; Li, X.; Li, X.; Han, S.; Miao, R.; Chen, H.; et al. Mitigating inflammation and fibrosis: The therapeutic potential of quercetin liposomes in COPD. Front. Pharmacol. 2024, 15, 1503283. [Google Scholar] [CrossRef]
- Katsaros, I.; Sotiropoulou, M.; Vailas, M.; Papachristou, F.; Papakyriakopoulou, P.; Grigoriou, M.; Kostomitsopoulos, N.; Giatromanolaki, A.; Valsami, G.; Tsaroucha, A.; et al. The effect of quercetin on non-alcoholic fatty liver disease (NAFLD) and the role of Beclin1, P62, and LC3: An experimental study. Nutrients 2024, 16, 4282. [Google Scholar] [CrossRef]
- Ye, B.; Chen, P.; Lin, C.; Liu, X.; Chen, J.; Zhang, C.; Li, L. To reveal the potential mechanism of quercetin against NSCLC based on network pharmacology and experimental validation. Comb. Chem. High Throughput Screen. 2024, 28, 2025. [Google Scholar] [CrossRef]
- Haas, M.J.; Onstead-Haas, L.M.; Szafran-Swietlik, A.; Kojanian, H.; Davis, T.; Armstrong, P.; Wong, N.C.; Mooradian, A.D. Induction of hepatic apolipoprotein A-I gene expression by the isoflavones quercetin and isoquercetrin. Life Sci. 2014, 110, 8–14. [Google Scholar] [CrossRef]
- Deng, X.; Chen, D.; Xie, A.; Li, S.; Chen, A.; Zhou, Q.; Yu, R. Quercetin alleviates hyperoxia-induced bronchopulmonary dysplasia by inhibiting ferroptosis through the MAPK/PTGS2 pathway: Insights from network pharmacology, molecular docking, and experimental evaluations. Chem. Biol. Drug Des. 2024, 103, e14520. [Google Scholar] [CrossRef]
- Liu, Y.; Li, C.L.; Xu, Q.Q.; Cheng, D.; Liu, K.D.; Sun, Z.Q. Quercetin inhibits invasion and angiogenesis of esophageal cancer cells. Pathol. Res. Pract. 2021, 222, 153455. [Google Scholar] [CrossRef]
- Chen, K.; Rekep, M.; Wei, W.; Wu, Q.; Xue, Q.; Li, S.; Tian, J.; Yi, Q.; Zhang, G.; Zhang, G.; et al. Quercetin prevents in vivo and in vitro myocardial hypertrophy through the proteasome-gsk-3 pathway. Cardiovasc. Drugs Ther. 2018, 32, 5–21. [Google Scholar] [CrossRef]
- Batabyal, A.; Rivi, V.; Benatti, C.; Blom, J.M.C.; Lukowiak, K. Long-term memory of configural learning is enhanced via CREB upregulation by the flavonoid quercetin in Lymnaea stagnalis. J. Exp. Biol. 2021, 224, jeb242761. [Google Scholar] [CrossRef] [PubMed]
- Wang, Q.; Wang, F.; Li, X.; Ma, Z.; Jiang, D. Quercetin inhibits the amphiregulin/EGFR signaling-mediated renal tubular epithelial-mesenchymal transition and renal fibrosis in obstructive nephropathy. Phytother. Res. 2023, 37, 111–123. [Google Scholar] [CrossRef] [PubMed]
- Bermejo-Bescós, P.; Jiménez-Aliaga, K.L.; Benedí, J.; Martín-Aragón, S. A diet containing rutin ameliorates brain intracellular redox homeostasis in a mouse model of Alzheimer’s disease. Int. J. Mol. Sci. 2023, 24, 4863. [Google Scholar] [CrossRef]
- Yan, X.; Wang, K.; Zheng, K.; Zhang, L.; Ye, Y.; Qi, L.; Zhu, M. Efficient organogenesis and taxifolin production system from mature zygotic embryos and needles in larch. For. Res. 2023, 3, 4. [Google Scholar] [CrossRef] [PubMed]
- Liu, X.; Ma, Y.; Luo, L.; Zeng, Z.; Zong, D.; Chen, Y. Taxifolin ameliorates cigarette smoke-induced chronic obstructive pulmonary disease via inhibiting inflammation and apoptosis. Int. Immunopharmacol. 2023, 115, 109577. [Google Scholar] [CrossRef]
- Inoue, T.; Fu, B.; Nishio, M.; Tanaka, M.; Kato, H.; Tanaka, M.; Itoh, M.; Yamakage, H.; Ochi, K.; Ito, A.; et al. Novel therapeutic potentials of taxifolin for obesity-induced hepatic steatosis, fibrogenesis, and tumorigenesis. Nutrients 2023, 15, 350. [Google Scholar] [CrossRef]









| No. | Name | mz | RT | Class | Relative Abundance | Relative Percentage |
|---|---|---|---|---|---|---|
| 1 | L-Phenylalanine | 166.0852 | 302.4 | Carboxylic acids and derivatives | 3.37 × 1010 ± 3.24 × 108 | 11.65 |
| 2 | L-Isoleucine | 132.1015 | 191.2 | Carboxylic acids and derivatives | 2.70 × 1010 ± 1.56 × 1010 | 9.35 |
| 3 | L-Glutamic acid | 130.0491 | 156.6 | Carboxylic acids and derivatives | 2.12 × 1010 ± 2.49 × 108 | 7.32 |
| 4 | 4-Hydroxycinnamoylagmatine | 276.1436 | 243.6 | Cinnamic acids and derivatives | 1.66 × 1010 ± 6.66 × 108 | 5.74 |
| 5 | (6Z)-Octadecenoic acid | 281.2477 | 827.6 | — | 1.51 × 1010 ± 1.22 × 1010 | 5.23 |
| 6 | L-Tyrosine | 182.0806 | 185.8 | Carboxylic acids and derivatives | 1.02 × 1010 ± 2.14 × 108 | 3.51 |
| 7 | Hypoxanthine | 137.0453 | 146.9 | Imidazopyrimidines | 8.43 × 109 ± 7.72 × 107 | 2.91 |
| 8 | 5-Aminopentanoic acid | 118.0854 | 104.5 | Carboxylic acids and derivatives | 7.77 × 109 ± 2.34 × 108 | 2.68 |
| 9 | Pyroglutamic acid | 128.0356 | 89.7 | Carboxylic acids and derivatives | 7.44 × 109 ± 6.03 × 108 | 2.57 |
| 10 | 16-Hydroxy hexadecanoic acid | 271.228 | 810.6 | Fatty Acyls | 7.29 × 109 ± 2.18 × 109 | 2.52 |
| 11 | Taxifolin | 303.0504 | 488.6 | — | 6.92 × 109 ± 1.65 × 108 | 2.39 |
| 12 | D-Galactose | 179.0558 | 91.8 | — | 6.67 × 109 ± 5.82 × 108 | 2.30 |
| 13 | Aminoadipic acid | 144.0648 | 274.1 | Carboxylic acids and derivatives | 6.17 × 109 ± 1.11 × 108 | 2.13 |
| 14 | 9-OxoODE | 293.2125 | 818.9 | Fatty Acyls | 6.08 × 109 ± 3.73 × 109 | 2.10 |
| 15 | Threonic acid | 135.029 | 82.4 | Organooxygen compounds | 5.01 × 109 ± 1.13 × 108 | 1.73 |
| 16 | Citric acid | 173.0082 | 76.7 | Carboxylic acids and derivatives | 4.74 × 109 ± 3.25 × 108 | 1.64 |
| 17 | 13S-hydroxyoctadecadienoic acid | 279.2314 | 813.7 | Fatty Acyls | 4.65 × 109 ± 1.82 × 108 | 1.61 |
| 18 | (R)-Salsolinol | 180.1012 | 280.6 | Tetrahydroisoquinolines | 4.21 × 109 ± 1.56 × 109 | 1.46 |
| 19 | 3-Hydroxymethylglutaric acid | 145.0493 | 283.6 | Fatty Acyls | 3.17 × 109 ± 1.71 × 109 | 1.10 |
| 20 | 13-OxoODE | 294.2153 | 810.8 | Fatty Acyls | 2.68 × 109 ± 8.33 × 108 | 0.92 |
| No. | Name | mz | RT | Class | Relative Abundance | Relative Percentage |
|---|---|---|---|---|---|---|
| 1 | Azaleatin | 317.0652 | 441.2 | Benzene and substituted derivatives | 3.07 × 106 ± 9.84 × 105 | 0.001 |
| 2 | Catechin | 289.0714 | 414.1 | Flavonoids | 2.08 × 107 ± 2.79 × 106 | 0.007 |
| 3 | Eriodictyol | 287.0559 | 579.3 | Flavonoids | 1.26 × 109 ± 8.03 × 107 | 0.434 |
| 4 | Estrone | 271.1684 | 776.1 | Steroids and steroid derivatives | 1.00 × 108 ± 4.21 × 106 | 0.035 |
| 5 | Glutaric acid | 131.0342 | 79.2 | Carboxylic acids and derivatives | 3.68 × 106 ± 1.24 × 106 | 0.001 |
| 6 | Isocorypalmine | 341.1372 | 556.5 | — | 5.01 × 107 ± 1.94 × 106 | 0.017 |
| 7 | Isorhamnetin | 315.0504 | 657.6 | Flavonoids | 1.76 × 108 ± 1.14 × 107 | 0.061 |
| 8 | Kaempferide | 300.059 | 647.5 | Flavonoids | 5.98 × 108 ± 4.23 × 107 | 0.207 |
| 9 | Kaempferol | 287.0546 | 647.3 | Flavonoids | 8.01 × 107 ± 2.31 × 106 | 0.028 |
| 10 | Luteolin | 286.0434 | 646.9 | Flavonoids | 6.03 × 107 ± 4.02 × 106 | 0.021 |
| 11 | Naringenin | 271.0608 | 632.3 | Flavonoids | 6.02 × 108 ± 4.76 × 107 | 0.208 |
| 12 | Nobiletin | 403.1381 | 735.8 | Flavonoids | 3.20 × 107 ± 6.04 × 106 | 0.011 |
| 13 | Pentahydroxyflavanone | 303.0507 | 517.6 | Benzene and substituted derivatives | 4.67 × 108 ± 3.96 × 108 | 0.161 |
| 14 | Quercetin | 301.0347 | 615.3 | Flavonoids | 1.13 × 108 ± 3.97 × 107 | 0.039 |
| 15 | Taxifolin | 303.0504 | 488.6 | Flavonoids | 6.92 × 109 ± 1.65 × 108 | 2.392 |
| Protein | Compounds | Binding Energy (kcal/mol) | π-π | π-Cation | H-Bond | Weak H-Bond | Ionic Interaction |
|---|---|---|---|---|---|---|---|
| FOS | Isorhamnetin | −7.3 | 0 | 0 | 8 | 1 | 3 |
| TLR4 | Nobiletin | −8.0 | 2 | 0 | 1 | 2 | 1 |
| AKT1 | Quercetin | −8.2 | 2 | 0 | 9 | 6 | 1 |
| TNF | Kaempferide | −8.4 | 0 | 0 | 6 | 0 | 0 |
| Isorhamnetin | −8.9 | 0 | 1 | 7 | 0 | 0 | |
| Azaleatin | −9.4 | 0 | 1 | 8 | 0 | 0 | |
| ESR1 | Taxifolin | −8.4 | 1 | 0 | 5 | 1 | 1 |
| Eriodictyol | −8.6 | 1 | 0 | 5 | 0 | 1 | |
| Pentahydroxyflavanone | −8.5 | 1 | 0 | 5 | 1 | 1 | |
| Naringenin | −8.4 | 1 | 0 | 4 | 2 | 1 | |
| Kaempferide | −8.3 | 1 | 0 | 6 | 1 | 1 | |
| Isorhamnetin | −8.3 | 0 | 0 | 7 | 1 | 1 | |
| Estrone | −9.6 | 0 | 0 | 2 | 0 | 1 | |
| Quercetin | −9.1 | 2 | 0 | 5 | 2 | 1 | |
| Kaempferol | −8.7 | 2 | 0 | 4 | 2 | 1 | |
| Luteolin | −8.8 | 2 | 0 | 5 | 2 | 1 | |
| Catechin | −8.8 | 1 | 0 | 7 | 0 | 1 | |
| Azaleatin | −7.7 | 2 | 0 | 6 | 5 | 1 | |
| HSP90AA1 | Taxifolin | −9.6 | 1 | 0 | 4 | 3 | 0 |
| Eriodictyol | −9.9 | 2 | 0 | 8 | 2 | 0 | |
| Pentahydroxyflavanone | −9.8 | 2 | 0 | 10 | 4 | 0 | |
| Naringenin | −9.5 | 2 | 0 | 6 | 2 | 0 | |
| Estrone | −10.0 | 2 | 0 | 1 | 0 | 0 | |
| Catechin | −9.4 | 1 | 0 | 4 | 4 | 0 | |
| PTGS2 | Kaempferide | −9.5 | 2 | 0 | 4 | 1 | 0 |
| Isorhamnetin | −9.2 | 1 | 0 | 11 | 3 | 0 | |
| Quercetin | −10.0 | 2 | 0 | 6 | 1 | 0 | |
| Kaempferol | −9.7 | 1 | 0 | 4 | 0 | 0 | |
| Luteolin | −9.7 | 2 | 0 | 5 | 1 | 0 | |
| Nobiletin | −8.1 | 2 | 1 | 2 | 6 | 0 | |
| Azaleatin | −9.7 | 2 | 0 | 7 | 2 | 0 | |
| MMP9 | Kaempferide | −9.5 | 0 | 0 | 5 | 3 | 0 |
| Quercetin | −9.7 | 0 | 0 | 8 | 5 | 0 | |
| Luteolin | −10.1 | 1 | 0 | 8 | 5 | 0 | |
| GSK3B | Kaempferide | −8.0 | 0 | 0 | 7 | 6 | 0 |
| Isorhamnetin | −8.4 | 2 | 0 | 8 | 5 | 1 | |
| Quercetin | −8.3 | 1 | 0 | 6 | 3 | 2 | |
| Kaempferol | −8.3 | 0 | 0 | 11 | 3 | 0 | |
| Luteolin | −8.3 | 0 | 0 | 6 | 3 | 0 | |
| Azaleatin | −8.0 | 0 | 0 | 11 | 3 | 0 | |
| CREB1 | Kaempferide | −7.5 | 0 | 0 | 4 | 0 | 1 |
| Isorhamnetin | −7.5 | 0 | 0 | 3 | 0 | 1 | |
| Quercetin | −7.9 | 0 | 0 | 5 | 0 | 1 | |
| Kaempferol | −7.1 | 0 | 0 | 3 | 0 | 1 | |
| Azaleatin | −7.3 | 0 | 0 | 6 | 0 | 1 | |
| JUN | Isocorypalmine | −8.7 | 0 | 1 | 3 | 2 | 2 |
| EGFR | Quercetin | −10.1 | 0 | 0 | 13 | 5 | 0 |
| APP | Kaempferide | −8.3 | 0 | 0 | 13 | 9 | 0 |
| Isorhamnetin | −8.3 | 0 | 0 | 15 | 9 | 0 | |
| Estrone | −7.8 | 0 | 0 | 9 | 6 | 0 | |
| Quercetin | −8.3 | 0 | 0 | 14 | 7 | 0 | |
| Kaempferol | −8.6 | 0 | 0 | 13 | 8 | 0 | |
| Luteolin | −8.1 | 0 | 0 | 11 | 7 | 0 | |
| Azaleatin | −7.8 | 0 | 0 | 7 | 6 | 0 |
Disclaimer/Publisher’s Note: The statements, opinions and data contained in all publications are solely those of the individual author(s) and contributor(s) and not of MDPI and/or the editor(s). MDPI and/or the editor(s) disclaim responsibility for any injury to people or property resulting from any ideas, methods, instructions or products referred to in the content. |
© 2026 by the authors. Licensee MDPI, Basel, Switzerland. This article is an open access article distributed under the terms and conditions of the Creative Commons Attribution (CC BY) license.
Share and Cite
Chen, F.; Chen, M.; Chen, Y.; Chen, C.; Li, F.; Zhang, S.; Chen, Y.-P. Network Pharmacology-Based Analysis Reveals the Mechanisms of the Tibetan Medicinal Plant Meconopsis quintuplinervia Against COPD and NAFLD: Insights from LC-MS/MS Profiling and Antioxidant/Anti-Inflammatory Activities. Curr. Issues Mol. Biol. 2026, 48, 176. https://doi.org/10.3390/cimb48020176
Chen F, Chen M, Chen Y, Chen C, Li F, Zhang S, Chen Y-P. Network Pharmacology-Based Analysis Reveals the Mechanisms of the Tibetan Medicinal Plant Meconopsis quintuplinervia Against COPD and NAFLD: Insights from LC-MS/MS Profiling and Antioxidant/Anti-Inflammatory Activities. Current Issues in Molecular Biology. 2026; 48(2):176. https://doi.org/10.3390/cimb48020176
Chicago/Turabian StyleChen, Fangfang, Mingjing Chen, Yiyu Chen, Chunyan Chen, Fei Li, Shudi Zhang, and Yu-Pei Chen. 2026. "Network Pharmacology-Based Analysis Reveals the Mechanisms of the Tibetan Medicinal Plant Meconopsis quintuplinervia Against COPD and NAFLD: Insights from LC-MS/MS Profiling and Antioxidant/Anti-Inflammatory Activities" Current Issues in Molecular Biology 48, no. 2: 176. https://doi.org/10.3390/cimb48020176
APA StyleChen, F., Chen, M., Chen, Y., Chen, C., Li, F., Zhang, S., & Chen, Y.-P. (2026). Network Pharmacology-Based Analysis Reveals the Mechanisms of the Tibetan Medicinal Plant Meconopsis quintuplinervia Against COPD and NAFLD: Insights from LC-MS/MS Profiling and Antioxidant/Anti-Inflammatory Activities. Current Issues in Molecular Biology, 48(2), 176. https://doi.org/10.3390/cimb48020176

