Structure and Phylogenetic Relationships of Scolopacidae Mitogenomes (Charadriiformes: Scolopacidae)
Abstract
1. Introduction
2. Materials and Methods
2.1. Sampling and DNA Extraction
2.2. PCR Amplification and Mitochondrial Genome Sequencing
2.3. Mitogenome Annotation and Sequence Analysis
2.4. Phylogenetic Analysis
3. Results and Discussion
3.1. Structure of Mitogenome
3.2. Composition and Mutations of Protein-Coding Genes
3.3. rRNA and tRNA Analysis
3.4. The Usage of Start and Stop Codon
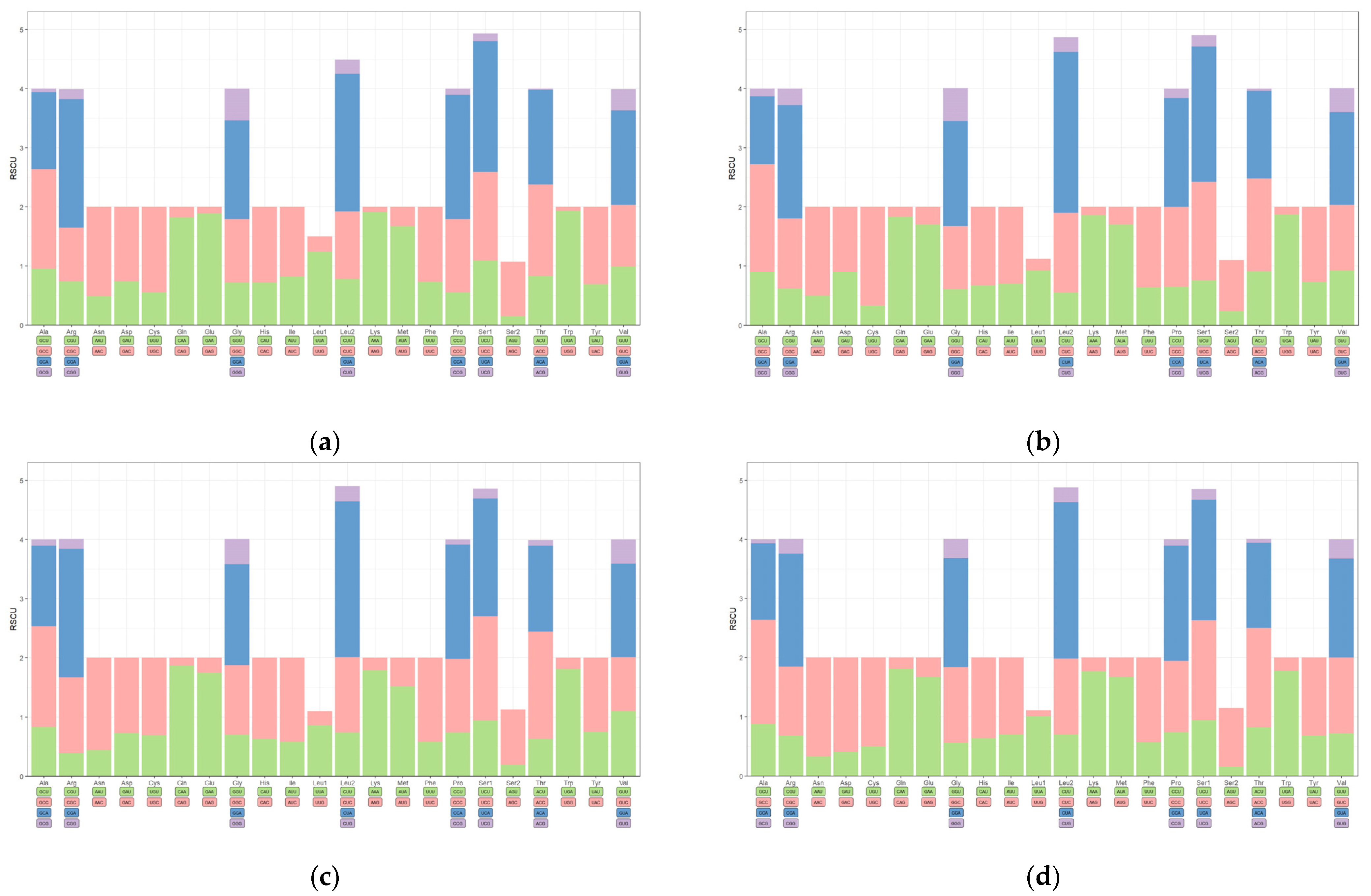
3.5. Analysis of Codon Usage for A. hypoleucos, L. semipalmatus, L. limosa, and N. arquata
3.6. Phylogenetic Analysis
4. Conclusions
Supplementary Materials
Author Contributions
Funding
Institutional Review Board Statement
Informed Consent Statement
Data Availability Statement
Conflicts of Interest
References
- Chen, P.; Li, J.; Zhang, J.; Liu, W. The Complete Mitochondrial Genome of Numenius minutus (Charadriiformes: Scolopacidae): Comparative and Phylogenetic Analysis. Mitochondrial DNA Part B Resour. 2022, 7, 2009–2011. [Google Scholar] [CrossRef]
- Gill, F.; Donsker, D.; Rasmussen, P. IOC World Bird List (v14.1). Available online: https://www.worldbirdnames.org/new/ (accessed on 13 April 2024).
- Strauch, J.G. The Phylogeny of the Charadriiformes (Aves): A New Estimate Using the Method of Character Compatibility Analysis. Trans. Zool. Soc. Lond. 1978, 34, 263–345. [Google Scholar] [CrossRef]
- Chu, P.C. Phylogenetic Reanalysis of Strauch’s Osteological Data Set for the Charadriiformes. Condor 1995, 97, 174–196. [Google Scholar] [CrossRef]
- Fain, M.G.; Houde, P. Multilocus Perspectives on the Monophyly and Phylogeny of the Order Charadriiformes (Aves). BMC Evol. Biol. 2007, 7, 35. [Google Scholar] [CrossRef]
- Baker, A.J.; Pereira, S.L.; Paton, T.A. Phylogenetic Relationships and Divergence Times of Charadriiformes Genera: Multigene Evidence for the Cretaceous Origin of at Least 14 Clades of Shorebirds. Biol. Lett. 2007, 3, 205–209. [Google Scholar] [CrossRef]
- Winkler, D.W.; Billerman, S.M.; Lovette, I.J. Sandpipers and Allies (Scolopacidae), Version 1.0. In Birds World; Cornell Lab of Ornithology: Ithaca, NY, USA, 2020. [Google Scholar]
- Dhorne-Pollet, S.; Barrey, E.; Pollet, N. A New Method for Long-Read Sequencing of Animal Mitochondrial Genomes: Application to the Identification of Equine Mitochondrial DNA Variants. BMC Genomics 2020, 21, 785. [Google Scholar] [CrossRef]
- Boore, J.L. Animal Mitochondrial Genomes. Nucleic Acids Res. 1999, 27, 1767–1780. [Google Scholar] [CrossRef]
- Wolstenholme, D.R. Animal Mitochondrial DNA: Structure and Evolution. Int. Rev. Cytol. 1992, 141, 173–216. [Google Scholar] [CrossRef]
- Ruokonen, M.; Kvist, L. Structure and Evolution of the Avian Mitochondrial Control Region. Mol. Phylogenet. Evol. 2002, 23, 422–432. [Google Scholar] [CrossRef]
- Gonçalves, V.F. Mitochondrial Genetics. Adv. Exp. Med. Biol. 2019, 1158, 247–255. [Google Scholar] [CrossRef]
- Sharko, F.S.; Boulygina, E.S.; Rastorguev, S.M.; Tsygankova, S.V.; Tomkovich, P.S.; Nedoluzhko, A.V. Phylogenetic Position of the Presumably Extinct Slender-Billed Curlew, Numenius tenuirostris. Mitochondrial DNA Part A 2019, 30, 626–631. [Google Scholar] [CrossRef]
- Lopez De Pietri, V.; Worthy, T.; Scofield, R.P.; Cole, T.; Wood, J.; Mitchell, K.; Cibois, A.; Jansen, J.; Cooper, A.; Feng, S.; et al. A New Extinct Species of Polynesian Sandpiper (Charadriiformes: Scolopacidae: Prosobonia) from Henderson Island, Pitcairn Group, and the Phylogenetic Relationships of Prosobonia. Zool. J. Linn. Soc. 2021, 192, 1045–1070. [Google Scholar] [CrossRef]
- Liu, W.; Hu, C.; Xie, W.; Chen, P.; Zhang, Y.; Yao, R.; Li, K.; Chang, Q. The Mitochondrial Genome of Red-Necked Phalarope Phalaropus lobatus (Charadriiformes: Scolopacidae) and Phylogeny Analysis among Scolopacidae. Genes Genom. 2018, 40, 455–463. [Google Scholar] [CrossRef]
- Dhanjal-Adams, K.L.; Fuller, R.A.; Murray, N.J.; Studds, C.E.; Wilson, H.B.; Milton, D.A.; Kendall, B.E. Distinguishing Local and Global Correlates of Population Change in Migratory Species. Divers. Distrib. 2019, 25, 797–808. [Google Scholar] [CrossRef]
- Shen, Y.-Y.; Shi, P.; Sun, Y.-B.; Zhang, Y.-P. Relaxation of Selective Constraints on Avian Mitochondrial DNA Following the Degeneration of Flight Ability. Genome Res. 2009, 19, 1760–1765. [Google Scholar] [CrossRef]
- Wu, L.; Tong, Y.; Ayivi, S.P.G.; Storey, K.B.; Zhang, J.-Y.; Yu, D.-N. The Complete Mitochondrial Genomes of Three Sphenomorphinae Species (Squamata: Scincidae) and the Selective Pressure Analysis on Mitochondrial Genomes of Limbless Isopachys Gyldenstolpei. Anim. Open Access J. 2022, 12, 2015. [Google Scholar] [CrossRef]
- Zheng, G. A Checklist on the Classification and Distribution of the Birds of China, 3rd ed.; CSPM; Science Press: Beijing, China, 2017; ISBN 978-7-03-054751-4. [Google Scholar]
- Sambrook, J.F.; Fritsch, E.F.; Maniatis, T. Molecular Cloning: A Laboratory Manual; Cold Spring Harbor Laboratory Press: Cold Spring Harbor, NY, USA, 2001. [Google Scholar]
- Hu, C.; Zhang, Y.; Zhang, C.; Wu, Y.; Chen, W.; Li, K.; Chang, Q. Strategy of Amplification and Sequencing of the Mitochondrial Genome of Charadriiformes. Chin. J. Zool. 2018, 53, 769–780. [Google Scholar] [CrossRef]
- Grant, J.R.; Enns, E.; Marinier, E.; Mandal, A.; Herman, E.K.; Chen, C.-Y.; Graham, M.; Van Domselaar, G.; Stothard, P. Proksee: In-Depth Characterization and Visualization of Bacterial Genomes. Nucleic Acids Res. 2023, 51, W484–W492. [Google Scholar] [CrossRef]
- Chan, P.P.; Lowe, T.M. tRNAscan-SE: Searching for tRNA Genes in Genomic Sequences. Methods Mol. Biol. Clifton NJ 2019, 1962, 1–14. [Google Scholar] [CrossRef]
- Laslett, D.; Canbäck, B. ARWEN: A Program to Detect tRNA Genes in Metazoan Mitochondrial Nucleotide Sequences. Bioinformatics 2008, 24, 172–175. [Google Scholar] [CrossRef]
- Tamura, K.; Stecher, G.; Kumar, S. MEGA11: Molecular Evolutionary Genetics Analysis Version 11. Mol. Biol. Evol. 2021, 38, 3022–3027. [Google Scholar] [CrossRef]
- Lobry, J.R. Asymmetric Substitution Patterns in the Two DNA Strands of Bacteria. Mol. Biol. Evol. 1996, 13, 660–665. [Google Scholar] [CrossRef]
- Perna, N.T.; Kocher, T.D. Patterns of Nucleotide Composition at Fourfold Degenerate Sites of Animal Mitochondrial Genomes. J. Mol. Evol. 1995, 41, 353–358. [Google Scholar] [CrossRef]
- Rozas, J.; Ferrer-Mata, A.; Sánchez-DelBarrio, J.C.; Guirao-Rico, S.; Librado, P.; Ramos-Onsins, S.E.; Sánchez-Gracia, A. DnaSP 6: DNA Sequence Polymorphism Analysis of Large Data Sets. Mol. Biol. Evol. 2017, 34, 3299–3302. [Google Scholar] [CrossRef]
- Katoh, K.; Standley, D.M. MAFFT Multiple Sequence Alignment Software Version 7: Improvements in Performance and Usability. Mol. Biol. Evol. 2013, 30, 772–780. [Google Scholar] [CrossRef]
- Zhang, D.; Gao, F.; Jakovlić, I.; Zou, H.; Zhang, J.; Li, W.X.; Wang, G.T. PhyloSuite: An Integrated and Scalable Desktop Platform for Streamlined Molecular Sequence Data Management and Evolutionary Phylogenetics Studies. Mol. Ecol. Resour. 2020, 20, 348–355. [Google Scholar] [CrossRef]
- Xiang, C.; Gao, F.; Jakovlić, I.; Lei, H.; Hu, Y.; Zhang, H.; Zou, H.; Wang, G.; Zhang, D. Using PhyloSuite for Molecular Phylogeny and Tree-based Analyses. iMeta 2023, 2, e87. [Google Scholar] [CrossRef]
- Nguyen, L.-T.; Schmidt, H.A.; von Haeseler, A.; Minh, B.Q. IQ-TREE: A Fast and Effective Stochastic Algorithm for Estimating Maximum-Likelihood Phylogenies. Mol. Biol. Evol. 2015, 32, 268–274. [Google Scholar] [CrossRef]
- Ronquist, F.; Teslenko, M.; van der Mark, P.; Ayres, D.L.; Darling, A.; Höhna, S.; Larget, B.; Liu, L.; Suchard, M.A.; Huelsenbeck, J.P. MrBayes 3.2: Efficient Bayesian Phylogenetic Inference and Model Choice across a Large Model Space. Syst. Biol. 2012, 61, 539–542. [Google Scholar] [CrossRef]
- Letunic, I.; Bork, P. Interactive Tree of Life (iTOL) v6: Recent Updates to the Phylogenetic Tree Display and Annotation Tool. Nucleic Acids Res. 2024, gkae268. [Google Scholar] [CrossRef]
- Liu, W.; Zhang, Y.; Hu, D.; Ge, X.; Chen, P.; Chang, Q. The Complete Mitochondrial Genome of Terek Sandpiper, Xenus cinereus (Charadriiformes: Scolopacidae). Mitochondrial DNA Part B Resour. 2016, 1, 732–733. [Google Scholar] [CrossRef][Green Version]
- Diniz Sander Morais, B.; Lemos Queiroz, A.L.; Pereira, A.H.; Kalapothakis, E. The Complete Mitochondrial Genome of Sporophila nigricollis (Aves, Passeriformes). Mol. Biol. Rep. 2023, 50, 2919–2923. [Google Scholar] [CrossRef]
- Pham, L.D.; Giang, T.T.N.; Nguyen, V.B.; Pham, T.P.M.; Tran, T.T.T.; Nguyen, T.Q.C.; Van Nguyen, K.; Do, D.N. The Complete Mitochondrial Genome and Phylogenetic Analyses of To Chicken in Vietnam. Genes 2023, 14, 1088. [Google Scholar] [CrossRef]
- Dong, Y.; Zhou, L.; Li, B.; Zhao, G. The Complete Mitochondrial Genome of the Black-Headed Gull Chroicocephalus ridibundus (Charadriiformes: Laridae). Mitochondrial DNA Part DNA Mapp. Seq. Anal. 2016, 27, 1991–1992. [Google Scholar] [CrossRef]
- Sun, C.-H.; Liu, H.-Y.; Lu, C.-H. Five New Mitogenomes of Phylloscopus (Passeriformes, Phylloscopidae): Sequence, Structure, and Phylogenetic Analyses. Int. J. Biol. Macromol. 2020, 146, 638–647. [Google Scholar] [CrossRef]
- Mindell, D.P.; Sorenson, M.D.; Dimcheff, D.E. An Extra Nucleotide Is Not Translated in Mitochondrial ND3 of Some Birds and Turtles. Mol. Biol. Evol. 1998, 15, 1568–1571. [Google Scholar] [CrossRef]
- Lee, D.Y.; Roh, S.J.; Kim, S.H.; Jung, T.W.; Lee, D.J.; Kim, H.K.; Jung, J.H.; Cho, S.-Y.; Kim, Y.J.; Kook, J.W.; et al. Complete Mitochondrial Genome of Little Ringed Plover Charadrius dubius (Charadriiformes, Charadriidae). Mitochondrial DNA Part B Resour. 2022, 7, 1896–1898. [Google Scholar] [CrossRef]
- Luo, H.; Fang, W.; Lin, Q.; Chen, X.; Zhou, X. Characterization of the Complete Mitochondrial Genome of Elanus caeruleus Desfontaines, 1789 (Accipitriformes: Accipitridae). Mitochondrial DNA Part B Resour. 2022, 7, 627–628. [Google Scholar] [CrossRef]
- Joen, H.-S.; Lee, M.-Y.; Choi, Y.-S.; An, J. Mitochondrial Genome Analysis of the Spoon-Billed Sandpiper (Eurynorhynchus pygmeus). Mitochondrial DNA Part B Resour. 2017, 2, 150–151. [Google Scholar] [CrossRef]
- Guo, C.; McDowell, I.C.; Nodzenski, M.; Scholtens, D.M.; Allen, A.S.; Lowe, W.L.; Reddy, T.E. Transversions Have Larger Regulatory Effects than Transitions. BMC Genom. 2017, 18, 1. [Google Scholar] [CrossRef]
- Chen, L.; Lin, Y.; Xiao, Q.; Lin, Y.; Du, Y.; Lin, C.; Ward-Fear, G.; Hu, C.; Qu, Y.; Li, H. Characterization of the Complete Mitochondrial Genome of the Many-Lined Sun Skink (Eutropis multifasciata) and Comparison with Other Scincomorpha Species. Genomics 2021, 113, 2526–2536. [Google Scholar] [CrossRef]
- Pacheco, M.A.; Battistuzzi, F.U.; Lentino, M.; Aguilar, R.F.; Kumar, S.; Escalante, A.A. Evolution of Modern Birds Revealed by Mitogenomics: Timing the Radiation and Origin of Major Orders. Mol. Biol. Evol. 2011, 28, 1927–1942. [Google Scholar] [CrossRef]
- Chen, W.; Miao, K.; Wang, J.; Wang, H.; Sun, W.; Yuan, S.; Luo, S.; Hu, C.; Chang, Q. Five New Mitogenomes Sequences of Calidridine Sandpipers (Aves: Charadriiformes) and Comparative Mitogenomics of Genus Calidris. PeerJ 2022, 10, e13268. [Google Scholar] [CrossRef]




| Family | Common Name | Scientific Name | Length (bp) | Accession |
|---|---|---|---|---|
| Scolopacidae | Common sandpiper | Actitis hypoleucos | 16,732 | PP727181 |
| Ruddy turnstone | Arenaria interpres | 16,725 | AY074885 | |
| Sanderling | Calidris alba | 16,642 | MW168384 | |
| Dunlin | Calidris alpina | 16,791 | MW168383 | |
| Ruff | Calidris pugnax | 16,902 | MN956840 | |
| Spoon-billed sandpiper | Calidris pygmeus | 16,709 | KY434065 | |
| Calidris pygmeus | 16,707 | KP742478 | ||
| Red-necked stint | Calidris ruficollis | 16,860 | MG736926 | |
| Long-toed stint | Calidris subminuta | 16,765 | MW168385 | |
| Great knot | Calidris tenuirostris | 16,775 | MK992912 | |
| Calidris tenuirostris | 16,732 | MK341548 | ||
| Calidris tenuirostris | 16,678 | MW160419 | ||
| Broad-billed sandpiper | Calidris falcinellus | 15,555 | MW160420 | |
| Common snipe | Gallinago gallinago | 16,919 | MZ157405 | |
| Gallinago gallinago | 16,814 | MW865755 | ||
| Pintail snipe | Gallinago stenura | 16,899 | KY056596 | |
| Gallinago stenura | 18,153 | KY888681 | ||
| Bar-tailed godwit | Limosa lapponica | 16,773 | MK341549 | |
| Limosa lapponica baueri | 16,732 | KX371106 | ||
| Black-tailed godwit | Limosa limosa | 15,587 | PP737171 | |
| Asian dowitcher | Limnodromus semipalmatus | 15,739 | PP737170 | |
| Eurasian curlew | Numenius arquata | 14,978 | PP737172 | |
| Eastern curlew | Numenius madagascariensis | 17,668 | KY230384 | |
| Numenius madagascariensis | 17,117 | MW930394 | ||
| Little curlew | Numenius minutus | 17,047 | OK552672 | |
| Whimbrel | Numenius phaeopus | 17,091 | KP308149 | |
| Slender-billed curlew | Numenius tenuirostris | 16,705 | MK108195 | |
| Red-necked phalarope | Phalaropus lobatus | 16,714 | KY765409 | |
| Tuamotu sandpiper | Prosobonia parvirostris | 15,590 | MT880247 | |
| Eurasian woodcock | Scolopax rusticola | 16,984 | KM434134 | |
| Spotted redshank | Tringa erythropus | 16,683 | KX230491 | |
| Wood sandpiper | Tringa glareola | 16,804 | KY128485 | |
| Nordmann’s greenshank | Tringa guttifer | 16,835 | MK905885 | |
| Common greenshank | Tringa nebularia | 16,682 | MK460251 | |
| Tringa nebularia | 16,689 | MG883743 | ||
| Green sandpiper | Tringa ochropus | 16,906 | KX668223 | |
| Willet | Tringa semipalmata | 16,603 | MF036175 | |
| Marsh sandpiper | Tringa stagnatilis | 16,799 | MT572847 | |
| Common redshank | Tringa totanus | 16,818 | MK922124 | |
| Terek sandpiper | Xenus cinereus | 16,817 | KX644890 | |
| Jacanidae | Northern jacana | Jacana spinosa | 17,079 | KJ631048 |
| Rostratulidae | South American painted-snipe | Nycticryphes semicollaris | 18,584 | MN356246 |
| Gene | %Vs | %Pis | %S | %Aupd | ts/tv | Ks | Ka | Ka/Ks |
|---|---|---|---|---|---|---|---|---|
| ND1 | 42.26% | 37.54% | 4.72% | 0.14 | 4.43 | 0.793 | 0.020 | 0.025 |
| ND2 | 48.51% | 42.16% | 6.35% | 0.15 | 3.28 | 0.783 | 0.042 | 0.054 |
| COX1 | 35.59% | 31.65% | 3.94% | 0.12 | 3.96 | 0.762 | 0.005 | 0.007 |
| COX2 | 36.56% | 31.57% | 4.99% | 0.12 | 4.00 | 0.739 | 0.010 | 0.014 |
| ATP8 | 52.12% | 44.85% | 7.27% | 0.16 | 2.36 | 0.800 | 0.063 | 0.079 |
| ATP6 | 44.93% | 37.89% | 7.05% | 0.14 | 2.71 | 0.704 | 0.020 | 0.028 |
| COX3 | 36.14% | 31.16% | 4.98% | 0.11 | 3.49 | 0.646 | 0.011 | 0.017 |
| ND3 | 43.84% | 38.97% | 4.87% | 0.13 | 4.35 | 0.564 | 0.042 | 0.074 |
| ND4L | 43.54% | 37.07% | 6.46% | 0.12 | 4.33 | 0.647 | 0.016 | 0.025 |
| ND4 | 46.41% | 39.29% | 7.04% | 0.14 | 2.66 | 0.687 | 0.033 | 0.048 |
| ND5 | 45.68% | 38.64% | 7.04% | 0.13 | 3.36 | 0.662 | 0.078 | 0.118 |
| Cyt b | 41.49% | 34.65% | 6.84% | 0.13 | 2.31 | 0.655 | 0.021 | 0.032 |
| ND6 | 50.00% | 40.80% | 9.00% | 0.14 | 2.40 | 0.632 | 0.080 | 0.127 |
| Species | Codon Site | Proportion of Nucleotides (%) | AT Skew | GC Skew | ||||
|---|---|---|---|---|---|---|---|---|
| T | C | A | G | A+T | ||||
| A. hypoleucos | 1st | 23.11 | 26.01 | 29.05 | 21.84 | 52.15 | 0.11 | −0.09 |
| 2nd | 40.35 | 28.76 | 18.30 | 12.60 | 58.65 | −0.38 | −0.39 | |
| 3rd | 20.02 | 34.51 | 40.93 | 4.54 | 60.95 | 0.34 | −0.77 | |
| Total | 27.82 | 29.76 | 29.43 | 12.99 | 57.25 | 0.03 | −0.39 | |
| L. semipalmatus | 1st | 21.73 | 27.36 | 28.89 | 22.02 | 50.62 | 0.14 | −0.11 |
| 2nd | 40.08 | 28.97 | 18.22 | 12.73 | 58.30 | −0.38 | −0.39 | |
| 3rd | 18.17 | 36.52 | 40.16 | 5.15 | 58.33 | 0.38 | −0.75 | |
| Total | 26.66 | 30.95 | 29.09 | 13.30 | 55.75 | 0.04 | −0.40 | |
| L. limosa | 1st | 21.86 | 27.20 | 28.68 | 22.26 | 50.54 | 0.13 | −0.10 |
| 2nd | 40.14 | 28.76 | 18.27 | 12.83 | 58.41 | −0.37 | −0.38 | |
| 3rd | 17.72 | 37.36 | 39.40 | 5.52 | 57.12 | 0.38 | −0.74 | |
| Total | 26.57 | 31.11 | 28.78 | 13.54 | 55.36 | 0.04 | −0.39 | |
| N. arquata | 1st | 21.64 | 27.68 | 29.75 | 20.92 | 51.39 | 0.16 | −0.14 |
| 2nd | 39.72 | 29.59 | 18.65 | 12.04 | 58.37 | −0.36 | −0.42 | |
| 3rd | 17.41 | 37.86 | 40.13 | 4.59 | 57.54 | 0.39 | −0.78 | |
| Total | 26.26 | 31.71 | 29.51 | 12.52 | 55.77 | 0.06 | −0.43 | |
Disclaimer/Publisher’s Note: The statements, opinions and data contained in all publications are solely those of the individual author(s) and contributor(s) and not of MDPI and/or the editor(s). MDPI and/or the editor(s) disclaim responsibility for any injury to people or property resulting from any ideas, methods, instructions or products referred to in the content. |
© 2024 by the authors. Licensee MDPI, Basel, Switzerland. This article is an open access article distributed under the terms and conditions of the Creative Commons Attribution (CC BY) license (https://creativecommons.org/licenses/by/4.0/).
Share and Cite
Li, Q.; Jiang, P.; Li, M.; Du, J.; Sun, J.; Chen, N.; Wu, Y.; Chang, Q.; Hu, C. Structure and Phylogenetic Relationships of Scolopacidae Mitogenomes (Charadriiformes: Scolopacidae). Curr. Issues Mol. Biol. 2024, 46, 6186-6198. https://doi.org/10.3390/cimb46060369
Li Q, Jiang P, Li M, Du J, Sun J, Chen N, Wu Y, Chang Q, Hu C. Structure and Phylogenetic Relationships of Scolopacidae Mitogenomes (Charadriiformes: Scolopacidae). Current Issues in Molecular Biology. 2024; 46(6):6186-6198. https://doi.org/10.3390/cimb46060369
Chicago/Turabian StyleLi, Quanheng, Peiyue Jiang, Mingxuan Li, Jingjing Du, Jianxiang Sun, Nuo Chen, Yu Wu, Qing Chang, and Chaochao Hu. 2024. "Structure and Phylogenetic Relationships of Scolopacidae Mitogenomes (Charadriiformes: Scolopacidae)" Current Issues in Molecular Biology 46, no. 6: 6186-6198. https://doi.org/10.3390/cimb46060369
APA StyleLi, Q., Jiang, P., Li, M., Du, J., Sun, J., Chen, N., Wu, Y., Chang, Q., & Hu, C. (2024). Structure and Phylogenetic Relationships of Scolopacidae Mitogenomes (Charadriiformes: Scolopacidae). Current Issues in Molecular Biology, 46(6), 6186-6198. https://doi.org/10.3390/cimb46060369

