Diversity of Expression Patterns of Lr34, Lr67, and Candidate Genes towards Lr46 with Analysis of Associated miRNAs in Common Wheat Hybrids in Response to Puccinia triticina Fungus
Abstract
1. Introduction
2. Materials and Methods
2.1. Plant Material
2.2. Plant Growth, Pathogen Inoculation, and Leaf Sample Collection
2.3. Molecular Markers and PCR Reactions
2.4. Gene Expression Analysis with qRT-PCR
2.5. Expression Analysis of miRNAs Associated with Lr34 and Candidates Genes for Lr46 Using ddPCR
2.6. Statistical Analysis
3. Results
3.1. Identification of Molecular Markers Associated with the Lr34/Yr18, Lr46/Yr29, and Lr67/Yr46 Locus
3.2. Results of the Statistical Analysis
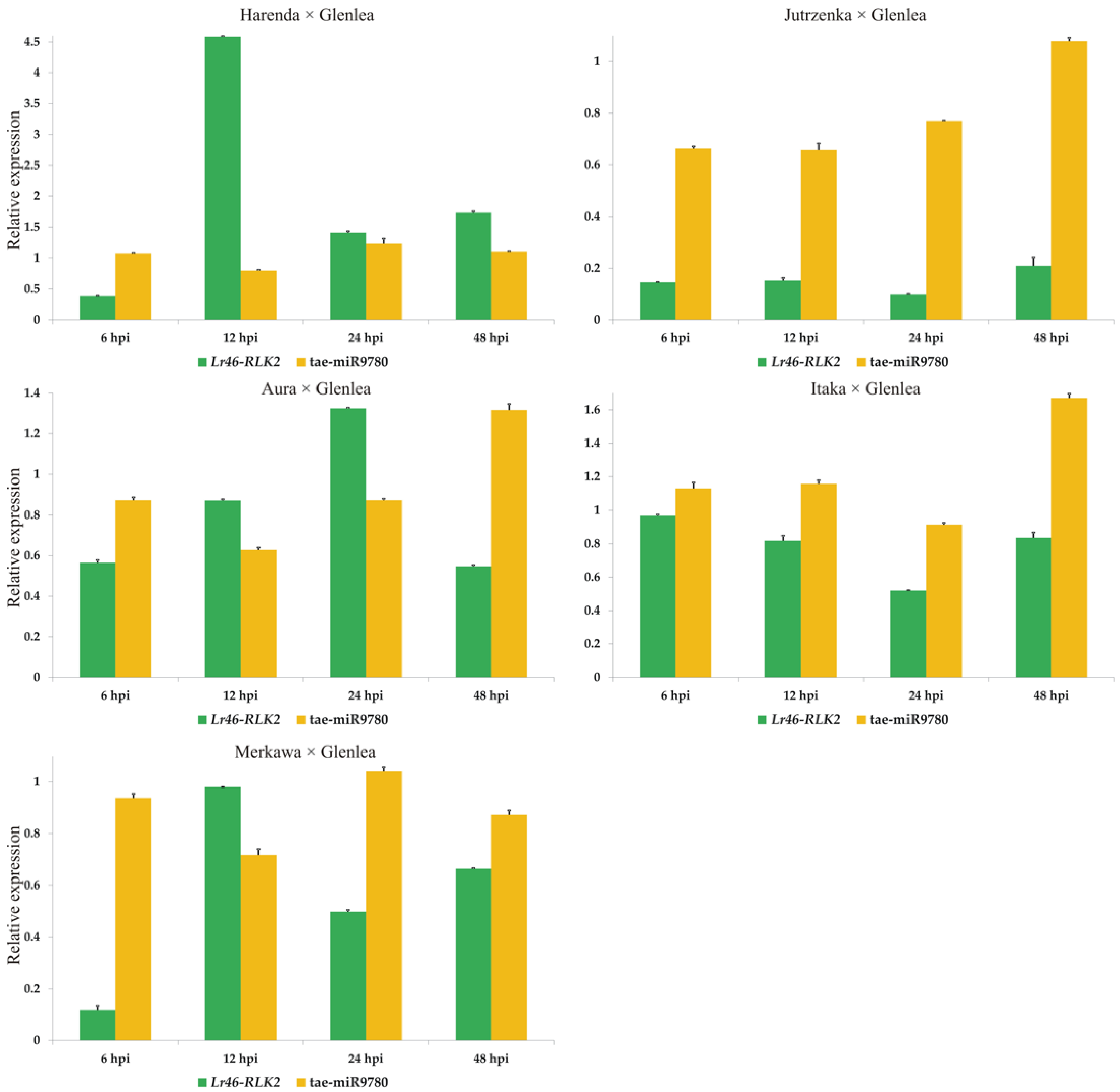
3.3. Gene Expression Analysis
3.4. Expression of miRNAs Complementary to Lr34 and Target Candidate Genes for Lr46
4. Discussion
5. Conclusions
Author Contributions
Funding
Institutional Review Board Statement
Informed Consent Statement
Data Availability Statement
Conflicts of Interest
References
- Chi, Q.; Du, L.; Ma, W.; Niu, R.; Wu, B.; Guo, L.; Ma, M.; Liu, X.; Zhao, H. The miR164-TaNAC14 Module Regulates Root Development and Abiotic-Stress Tolerance in Wheat Seedlings. J. Integr. Agric. 2023, 22, 981–998. [Google Scholar] [CrossRef]
- Beukert, U.; Liu, G.; Thorwarth, P.; Boeven, P.H.G.; Longin, C.F.H.; Zhao, Y.; Ganal, M.; Serfling, A.; Ordon, F.; Reif, J.C. The Potential of Hybrid Breeding to Enhance Leaf Rust and Stripe Rust Resistance in Wheat. Theor. Appl. Genet. 2020, 133, 2171–2181. [Google Scholar] [CrossRef]
- Huerta-Espino, J.; Singh, R.P.; Germán, S.; McCallum, B.D.; Park, R.F.; Chen, W.Q.; Bhardwaj, S.C.; Goyeau, H. Global Status of Wheat Leaf Rust Caused by Puccinia Triticina. Euphytica 2011, 179, 143–160. [Google Scholar] [CrossRef]
- Bolton, M.D.; Kolmer, J.A.; Xu, W.W.; Garvin, D.F. Lr34-Mediated Leaf Rust Resistance in Wheat: Transcript Profiling Reveals a High Energetic Demand Supported by Transient Recruitment of Multiple Metabolic Pathways. Mol. Plant-Microbe Interact. 2008, 21, 1515–1527. [Google Scholar] [CrossRef]
- Figlan, S.; Ntushelo, K.; Mwadzingeni, L.; Terefe, T.; Tsilo, T.; Shimelis, H. Breeding Wheat for Durable Leaf Rust Resistance in Southern Africa: Variability, Distribution, Current Control Strategies, Challenges and Future Prospects. Front. Plant Sci. 2020, 11, 549. [Google Scholar] [CrossRef]
- Bariana, H.S.; Bansal, U.K.; Basandrai, D.; Chhetri, M. Disease Resistance. In Genomics and Breeding for Climate-Resilient Crops; Kole, C., Ed.; Springer: Berlin/Heidelberg, Germany, 2013; pp. 291–314. ISBN 978-3-642-37047-2. [Google Scholar]
- Bariana, H.S.; Babu, P.; Forrest, K.L.; Park, R.F.; Bansal, U.K. Discovery of the New Leaf Rust Resistance Gene Lr82 in Wheat: Molecular Mapping and Marker Development. Genes 2022, 13, 964. [Google Scholar] [CrossRef]
- Ellis, J.G.; Lagudah, E.S.; Spielmeyer, W.; Dodds, P.N. The Past, Present and Future of Breeding Rust Resistant Wheat. Front. Plant Sci. 2014, 5, 641. [Google Scholar] [CrossRef]
- Kumar, K.; Jan, I.; Saripalli, G.; Sharma, P.K.; Mir, R.R.; Balyan, H.S.; Gupta, P.K. An Update on Resistance Genes and Their Use in the Development of Leaf Rust Resistant Cultivars in Wheat. Front. Genet. 2022, 13, 816057. [Google Scholar] [CrossRef]
- Qureshi, N.; Bariana, H.; Kumran, V.V.; Muruga, S.; Forrest, K.L.; Hayden, M.J.; Bansal, U. A New Leaf Rust Resistance Gene Lr79 Mapped in Chromosome 3BL from the Durum Wheat Landrace Aus26582. Theor. Appl. Genet. 2018, 131, 1091–1098. [Google Scholar] [CrossRef]
- Bokore, F.E.; Cuthbert, R.D.; Knox, R.E.; Hiebert, C.W.; Pozniak, C.J.; Berraies, S.; Ruan, Y.; Meyer, B.; Hucl, P.; McCallum, B.D. Genetic Mapping of Leaf Rust (Puccinia Triticina Eriks) Resistance Genes in Six Canadian Spring Wheat Cultivars. Front. Plant Sci. 2023, 14, 1130768. [Google Scholar] [CrossRef]
- Pinto da Silva, G.B.; Zanella, C.M.; Martinelli, J.A.; Chaves, M.S.; Hiebert, C.W.; McCallum, B.D.; Boyd, L.A. Quantitative Trait Loci Conferring Leaf Rust Resistance in Hexaploid Wheat. Phytopathology 2018, 108, 1344–1354. [Google Scholar] [CrossRef]
- Reynolds, M.P.; Braun, H.-J. Wheat Improvement. In Wheat Improvement; Reynolds, M.P., Braun, H.-J., Eds.; Springer International Publishing: Cham, Switzerland, 2022; pp. 3–15. ISBN 978-3-030-90672-6. [Google Scholar]
- Cloutier, S.; Reimer, E.; Khadka, B.; McCallum, B.D. Variations in Exons 11 and 12 of the Multi-Pest Resistance Wheat Gene Lr34 Are Independently Additive for Leaf Rust Resistance. Front. Plant Sci. 2023, 13, 1061490. [Google Scholar] [CrossRef]
- Krattinger, S.G.; Lagudah, E.S.; Spielmeyer, W.; Singh, R.P.; Huerta-Espino, J.; McFadden, H.; Bossolini, E.; Selter, L.L.; Keller, B. A Putative ABC Transporter Confers Durable Resistance to Multiple Fungal Pathogens in Wheat. Science 2009, 323, 1360–1363. [Google Scholar] [CrossRef]
- Moore, J.W.; Herrera-Foessel, S.; Lan, C.; Schnippenkoetter, W.; Ayliffe, M.; Huerta-Espino, J.; Lillemo, M.; Viccars, L.; Milne, R.; Periyannan, S.; et al. A Recently Evolved Hexose Transporter Variant Confers Resistance to Multiple Pathogens in Wheat. Nat. Genet. 2015, 47, 1494–1498. [Google Scholar] [CrossRef]
- Chen, Y.; Yu, X. Endoplasmic Reticulum Stress-Responsive microRNAs Are Involved in the Regulation of Abiotic Stresses in Wheat. Plant Cell Rep. 2023, 42, 1433–1452. [Google Scholar] [CrossRef]
- Rajagopalan, N.; Lu, Y.; Burton, I.W.; Monteil-Rivera, F.; Halasz, A.; Reimer, E.; Tweidt, R.; Brûlé-Babel, A.; Kutcher, H.R.; You, F.M.; et al. A Phenylpropanoid Diglyceride Associates with the Leaf Rust Resistance Lr34res Gene in Wheat. Phytochemistry 2020, 178, 112456. [Google Scholar] [CrossRef]
- Kolmer, J.A.; Su, Z.; Bernardo, A.; Bai, G.; Chao, S. A Backcross Line of Thatcher Wheat with Adult Plant Leaf Rust Resistance Derived from Duster Wheat Has Lr46 and Lr77. Phytopathology 2019, 109, 127–132. [Google Scholar] [CrossRef]
- William, M.; Singh, R.P.; Huerta-Espino, J.; Islas, S.O.; Hoisington, D. Molecular Marker Mapping of Leaf Rust Resistance Gene Lr46 and Its Association with Stripe Rust Resistance Gene Yr29 in Wheat. Phytopathology 2003, 93, 153–159. [Google Scholar] [CrossRef]
- Lillemo, M.; Asalf, B.; Singh, R.P.; Huerta-Espino, J.; Chen, X.M.; He, Z.H.; Bjørnstad, Å. The Adult Plant Rust Resistance Loci Lr34/Yr18 and Lr46/Yr29 Are Important Determinants of Partial Resistance to Powdery Mildew in Bread Wheat Line Saar. Theor. Appl. Genet. 2008, 116, 1155–1166. [Google Scholar] [CrossRef]
- Cobo, N.; Wanjugi, H.; Lagudah, E.; Dubcovsky, J. A High-Resolution Map of Wheat QYr.ucw-1BL, an Adult Plant Stripe Rust Resistance Locus in the Same Chromosomal Region as Yr29. Plant Genome 2019, 12, 180055. [Google Scholar] [CrossRef]
- Jain, N.; Sinha, N.; Krishna, H.; Singh, P.K.; Gautam, T.; Prasad, P.; Balyan, H.S.; Gupta, P.K. A Study of miRNAs and lncRNAs during Lr28-Mediated Resistance against Leaf Rust in Wheat (Triticum Aestivum L.). Physiol. Mol. Plant Pathol. 2020, 112, 101552. [Google Scholar] [CrossRef]
- Feng, H.; Wang, B.; Zhang, Q.; Fu, Y.; Huang, L.; Wang, X.; Kang, Z. Exploration of microRNAs and Their Targets Engaging in the Resistance Interaction between Wheat and Stripe Rust. Front. Plant Sci. 2015, 6, 469. [Google Scholar] [CrossRef]
- Lagudah, E.S.; McFadden, H.; Singh, R.P.; Huerta-Espino, J.; Bariana, H.S.; Spielmeyer, W. Molecular Genetic Characterization of the Lr34/Yr18 Slow Rusting Resistance Gene Region in Wheat. Theor. Appl. Genet. 2006, 114, 21–30. [Google Scholar] [CrossRef]
- Hiebert, C.W.; Thomas, J.B.; McCallum, B.D.; Humphreys, D.G.; DePauw, R.M.; Hayden, M.J.; Mago, R.; Schnippenkoetter, W.; Spielmeyer, W. An Introgression on Wheat Chromosome 4DL in RL6077 (Thatcher*6/PI 250413) Confers Adult Plant Resistance to Stripe Rust and Leaf Rust (Lr67). Theor. Appl. Genet. 2010, 121, 1083–1091. [Google Scholar] [CrossRef]
- Bobrowska, R.; Noweiska, A.; Spychała, J.; Tomkowiak, A.; Nawracała, J.; Kwiatek, M.T. Diagnostic Accuracy of Genetic Markers for Identification of the Lr46/Yr29 “Slow Rusting” Locus in Wheat (Triticum Aestivum L.). Biomol. Concepts 2022, 13, 1–9. [Google Scholar] [CrossRef]
- Spychała, J.; Tomkowiak, A.; Noweiska, A.; Bobrowska, R.; Bocianowski, J.; Książkiewicz, M.; Sobiech, A.; Kwiatek, M.T. Expression Profiling of the Slow Rusting Resistance Genes Lr34/Yr18 and Lr67/Yr46 in Common Wheat (Triticum Aestivum L.) and Associated miRNAs Patterns. Genes 2023, 14, 1376. [Google Scholar] [CrossRef]
- Kramer, M.F. Stem-Loop RT-qPCR for miRNAs. Curr. Protoc. Mol. Biol. 2011, 95, 1–15. [Google Scholar] [CrossRef]
- Forero, D.A.; González-Giraldo, Y.; Castro-Vega, L.J.; Barreto, G.E. qPCR-based methods for expression analysis of miRNAs. Biotechniques 2019, 67, 192–199. [Google Scholar] [CrossRef]
- Noweiska, A.; Bobrowska, R.; Spychała, J.; Tomkowiak, A.; Kwiatek, M.T. Multiplex PCR Assay for the Simultaneous Identification of Race Specific and Non-Specific Leaf Resistance Genes in Wheat (Triticum Aestivum L.). J. Appl. Genet. 2023, 64, 55–64. [Google Scholar] [CrossRef]
- VSN International. VSN International Genstat for Windows, 23rd ed.; VSN International: Hemel Hempstead, UK, 2023. [Google Scholar]
- Tomkowiak, A.; Bobrowska, R.; Kwiatek, M.; Spychała, J.; Kuczyński, J.; Tyczewska, A.; Kowalczewski, P.; Weigt, D.; Kosiada, T. Analysis of miRNA Expression Associated with Gene Lr34 Responsible for Resistance Mechanisms to Wheat Leaf Rust. Pak. J. Bot. 2023, 55, 379–385. [Google Scholar] [CrossRef]
- Ren, Y.; Singh, R.P.; Basnet, B.R.; Lan, C.X.; Huerta-Espino, J.; Lagudah, E.S.; Ponce-Molina, L.J. Identification and Mapping of Adult Plant Resistance Loci to Leaf Rust and Stripe Rust in Common Wheat Cultivar Kundan. Plant Dis. 2017, 101, 456–463. [Google Scholar] [CrossRef] [PubMed]
- Bernardo, L.; Morcia, C.; Carletti, P.; Ghizzoni, R.; Badeck, F.W.; Rizza, F.; Lucini, L.; Terzi, V. Proteomic Insight into the Mitigation of Wheat Root Drought Stress by Arbuscular Mycorrhizae. J. Proteom. 2017, 169, 21–32. [Google Scholar] [CrossRef] [PubMed]
- Zhang, S.-B.; Zhang, W.-J.; Zhai, H.-C.; Lv, Y.-Y.; Cai, J.-P.; Jia, F.; Wang, J.-S.; Hu, Y.-S. Expression of a Wheat β-1,3-Glucanase in Pichia Pastoris and Its Inhibitory Effect on Fungi Commonly Associated with Wheat Kernel. Protein Expr. Purif. 2019, 154, 134–139. [Google Scholar] [CrossRef] [PubMed]
- Chen, Z. A Superfamily of Proteins with Novel Cysteine-Rich Repeats. Plant Physiol. 2001, 126, 473–476. [Google Scholar] [CrossRef] [PubMed]
- Gu, J.; Sun, J.; Liu, N.; Sun, X.; Liu, C.; Wu, L.; Liu, G.; Zeng, F.; Hou, C.; Han, S.; et al. A Novel Cysteine-rich Receptor-like Kinase Gene, TaCRK2, Contributes to Leaf Rust Resistance in Wheat. Mol. Plant Pathol. 2020, 21, 732–746. [Google Scholar] [CrossRef] [PubMed]
- Yan, J.; Su, P.; Meng, X.; Liu, P. Phylogeny of the Plant Receptor-like Kinase (RLK) Gene Family and Expression Analysis of Wheat RLK Genes in Response to Biotic and Abiotic Stresses. BMC Genom. 2023, 24, 224. [Google Scholar] [CrossRef] [PubMed]
- Yadav, I.S.; Sharma, A.; Kaur, S.; Nahar, N.; Bhardwaj, S.C.; Sharma, T.R.; Chhuneja, P. Comparative Temporal Transcriptome Profiling of Wheat near Isogenic Line Carrying Lr57 under Compatible and Incompatible Interactions. Front. Plant Sci. 2016, 7, 1943. [Google Scholar] [CrossRef]
- Hajiahmadi, Z.; Abedi, A.; Wei, H.; Sun, W.; Ruan, H.; Zhuge, Q.; Movahedi, A. Identification, Evolution, Expression, and Docking Studies of Fatty Acid Desaturase Genes in Wheat (Triticum Aestivum L.). BMC Genom. 2020, 21, 778. [Google Scholar] [CrossRef]
- Zhang, L.; Wang, K.; Han, Y.; Yan, L.; Zheng, Y.; Bi, Z.; Zhang, X.; Zhang, X.; Min, D. Genome-Wide Analysis of the VQ Motif-Containing Gene Family and Expression Profiles during Phytohormones and Abiotic Stresses in Wheat (Triticum Aestivum L.). BMC Genom. 2022, 23, 292. [Google Scholar] [CrossRef]
- Pandey, R.; Joshi, G.; Bhardwaj, A.R.; Agarwal, M.; Katiyar-Agarwal, S. A Comprehensive Genome-Wide Study on Tissue-Specific and Abiotic Stress-Specific miRNAs in Triticum Aestivum. PLoS ONE 2014, 9, e95800. [Google Scholar] [CrossRef]
- Brenchley, R.; Spannagl, M.; Pfeifer, M.; Barker, G.L.A.; D’Amore, R.; Allen, A.M.; McKenzie, N.; Kramer, M.; Kerhornou, A.; Bolser, D.; et al. Analysis of the Bread Wheat Genome Using Whole-Genome Shotgun Sequencing. Nature 2012, 491, 705–710. [Google Scholar] [CrossRef]
- Basso, M.F.; Ferreira, P.C.G.; Kobayashi, A.K.; Harmon, F.G.; Nepomuceno, A.L.; Molinari, H.B.C.; Grossi-de-Sa, M.F. MicroRNAs and New Biotechnological Tools for Its Modulation and Improving Stress Tolerance in Plants. Plant Biotechnol. J. 2019, 17, 1482–1500. [Google Scholar] [CrossRef] [PubMed]
- Bazzini, A.A.; Hopp, H.E.; Beachy, R.N.; Asurmendi, S. Infection and Coaccumulation of Tobacco Mosaic Virus Proteins Alter microRNA Levels, Correlating with Symptom and Plant Development. Proc. Natl. Acad. Sci. USA 2007, 104, 12157–12162. [Google Scholar] [CrossRef] [PubMed]
- Feng, H.; Duan, X.; Zhang, Q.; Li, X.; Wang, B.; Huang, L.; Wang, X.; Kang, Z. The Target Gene of Tae-miR164, a Novel NAC Transcription Factor from the NAM Subfamily, Negatively Regulates Resistance of Wheat to Stripe Rust. Mol. Plant Pathol. 2014, 15, 284–296. [Google Scholar] [CrossRef] [PubMed]
- Jia, X.; Ren, L.; Chen, Q.-J.; Li, R.; Tang, G. UV-B-Responsive microRNAs in Populus Tremula. J. Plant Physiol. 2009, 166, 2046–2057. [Google Scholar] [CrossRef]
- Tomkowiak, A.; Jędrzejewski, T.; Spychała, J.; Kuczyński, J.; Kwiatek, M.T.; Tyczewska, A.; Skowrońska, R.; Twardowski, T. Analysis of miRNA Expression Associated with the Lr46 Gene Responsible for APR Resistance in Wheat (Triticum Aestivum L.). J. Appl. Genet. 2020, 61, 503–511. [Google Scholar] [CrossRef]







| Gene ID | Gene Name | Gene Predicted Function | Physical Region (Mb) |
|---|---|---|---|
| TraesCS7D02G080300.1 | Lr34 | ABC transporter | 7D: 47,412,062–47,424,490 |
| TraesCS4D02G243100.1 | Lr67 | hexose transporter | 4D: 405,770,757–405,775,531 |
| TraesCS1B02G454200.1 | Lr46-Glu2 | gucan endo-1,3-β-glucosidase | 1B: 670,142,374–670,144,629 |
| TraesCS1B02G454000.2 | Lr46-RLK1 | RLK (receptor-like kinase) | 1B: 670,025,362–670,028,705 |
| TraesCS1B02G454100.1 | Lr46-RLK2 | RLK (receptor-like kinase) | 1B: 670,034,245–670,037,207 |
| TraesCS1B02G454400.1 | Lr46-RLK3 | RLK (receptor-like kinase) | 1B: 670,152,915–670,155,867 |
| No. | Wheat Hybrid | Lr34 (csLV34) | Lr46 (csLV46G22) | Lr67 (cfd23) | Lr67 (cfd71) |
|---|---|---|---|---|---|
| 1 | Harenda × Glenlea | + | + | + | + |
| 2 | Jutrzenka × Glenlea | H | + | + | + |
| 3 | Aura × Glenlea | H | + | + | + |
| 4 | Itaka × Glenlea | H | + | + | + |
| 5 | Merkawa × Glenlea | H | + | + | + |
| Source of Variation | Hybrid | Time | Hybrid × Time Interaction | Residual |
|---|---|---|---|---|
| Degrees of freedom | 4 | 4 | 16 | 50 |
| Lr34 | 0.055 * | 0.036 | 0.025 | 0.015 |
| Lr46-Glu2 | 5.671 | 52.391 *** | 5.630 | 4.194 |
| Lr46-RLK1 | 0.00046 *** | 0.00066 *** | 0.00025 *** | 0.00003 |
| Lr46-RLK2 | 0.0023 | 0.0107 * | 0.0057 * | 0.0029 |
| Lr46-RLK3 | 3.625 *** | 1.945 *** | 1.016 *** | 0.122 |
| Lr67 | 0.207 * | 0.439 *** | 0.083 | 0.066 |
Disclaimer/Publisher’s Note: The statements, opinions and data contained in all publications are solely those of the individual author(s) and contributor(s) and not of MDPI and/or the editor(s). MDPI and/or the editor(s) disclaim responsibility for any injury to people or property resulting from any ideas, methods, instructions or products referred to in the content. |
© 2024 by the authors. Licensee MDPI, Basel, Switzerland. This article is an open access article distributed under the terms and conditions of the Creative Commons Attribution (CC BY) license (https://creativecommons.org/licenses/by/4.0/).
Share and Cite
Spychała, J.; Tomkowiak, A.; Noweiska, A.; Bobrowska, R.; Bocianowski, J.; Sobiech, A.; Kwiatek, M.T. Diversity of Expression Patterns of Lr34, Lr67, and Candidate Genes towards Lr46 with Analysis of Associated miRNAs in Common Wheat Hybrids in Response to Puccinia triticina Fungus. Curr. Issues Mol. Biol. 2024, 46, 5511-5529. https://doi.org/10.3390/cimb46060329
Spychała J, Tomkowiak A, Noweiska A, Bobrowska R, Bocianowski J, Sobiech A, Kwiatek MT. Diversity of Expression Patterns of Lr34, Lr67, and Candidate Genes towards Lr46 with Analysis of Associated miRNAs in Common Wheat Hybrids in Response to Puccinia triticina Fungus. Current Issues in Molecular Biology. 2024; 46(6):5511-5529. https://doi.org/10.3390/cimb46060329
Chicago/Turabian StyleSpychała, Julia, Agnieszka Tomkowiak, Aleksandra Noweiska, Roksana Bobrowska, Jan Bocianowski, Aleksandra Sobiech, and Michał Tomasz Kwiatek. 2024. "Diversity of Expression Patterns of Lr34, Lr67, and Candidate Genes towards Lr46 with Analysis of Associated miRNAs in Common Wheat Hybrids in Response to Puccinia triticina Fungus" Current Issues in Molecular Biology 46, no. 6: 5511-5529. https://doi.org/10.3390/cimb46060329
APA StyleSpychała, J., Tomkowiak, A., Noweiska, A., Bobrowska, R., Bocianowski, J., Sobiech, A., & Kwiatek, M. T. (2024). Diversity of Expression Patterns of Lr34, Lr67, and Candidate Genes towards Lr46 with Analysis of Associated miRNAs in Common Wheat Hybrids in Response to Puccinia triticina Fungus. Current Issues in Molecular Biology, 46(6), 5511-5529. https://doi.org/10.3390/cimb46060329

