Genetic Relationship of Brassicaceae Hybrids with Various Resistance to Blackleg Is Disclosed by the Use of Molecular Markers
Abstract
1. Introduction
2. Materials and Methods
2.1. Molecular Analysis
2.2. Statistical Analysis
2.3. Resistance to Blackleg
3. Results
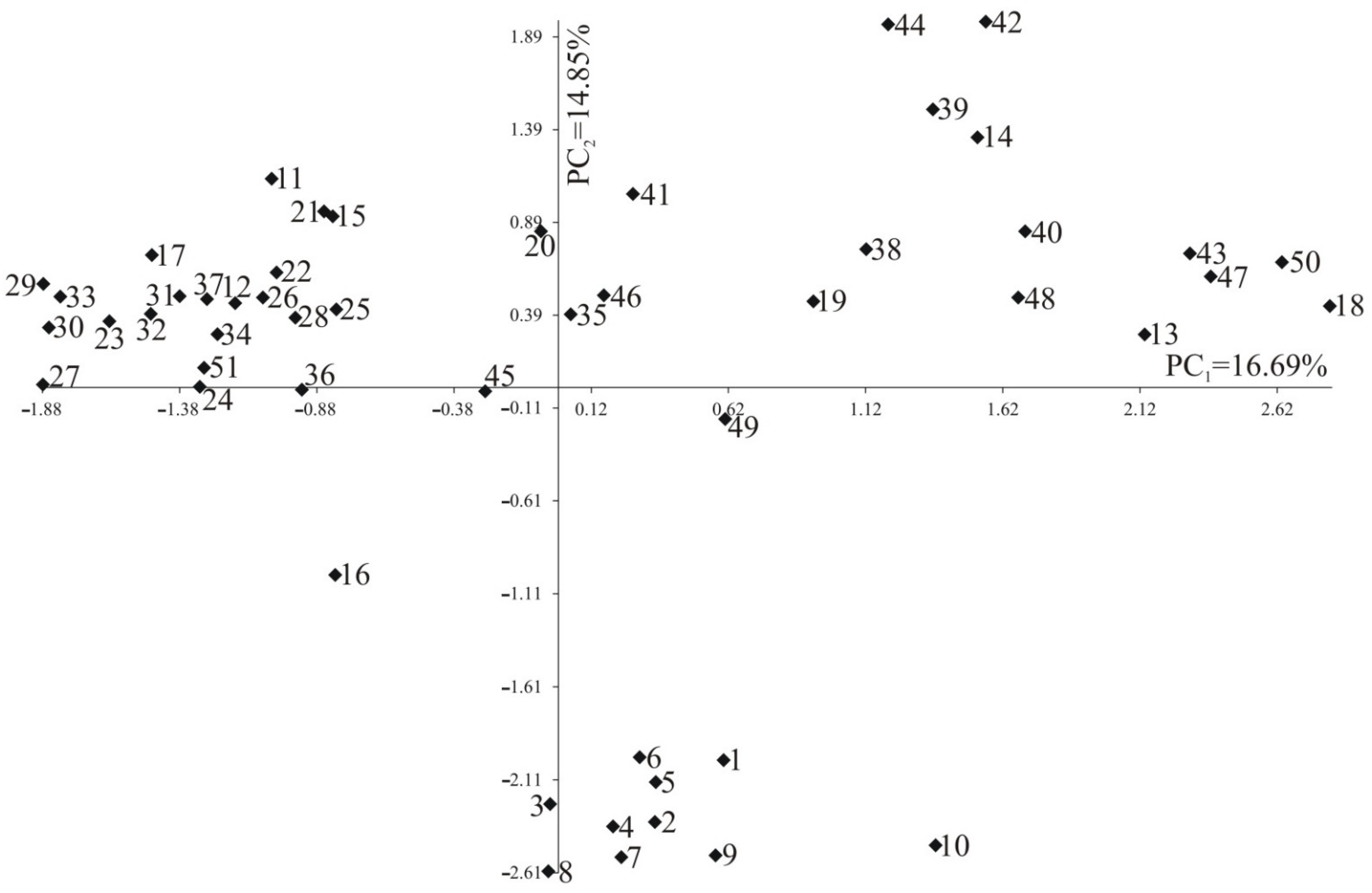
3.1. Genetic Similarity Assessment
3.2. Field Resistance to Blackleg
4. Discussion
Author Contributions
Funding
Institutional Review Board Statement
Informed Consent Statement
Data Availability Statement
Conflicts of Interest
References
- Hasanuzzaman, M. The Plant Family Brassicaceae; Springer Nature Singapore Pte Ltd.: Singapore, 2020; ISBN 978-981-15-6344-7. [Google Scholar]
- Kumari, P.; Bisht, D.S.; Bhat, S.R. Stable, fertile somatic hybrids between Sinapis alba and Brassica juncea show resistance to Alternaria brassicae and heat stress. Plant Cell Tissue Organ Cult. 2018, 133, 77–86. [Google Scholar] [CrossRef]
- Prakash, S.; Xiao Ming, W.; Bhat, S.R. History, evolution, and domestication of Brassica crops. Plant Breed. Rev. 2012, 35, 19–84. [Google Scholar]
- Fu, Y.-B.; Gugel, R.K. Genetic diversity of Canadian elite summer rape (Brassica napus L.) cultivars from the pre- to post-canola quality era. Can. J. Plant Sci. 2010, 90, 23–33. [Google Scholar] [CrossRef]
- Hu, D.; Jing, J.; Snowdon, R.J.; Mason, A.S.; Shen, J.; Meng, J.; Zou, J. Exploring the gene pool of Brassica napus by genomics-based approaches. Plant Biotechnol. J. 2021, 19, 1693–1712. [Google Scholar] [CrossRef]
- Kamiński, P.; Marasek-Ciolakowska, A.; Podwyszyńska, M.; Starzycki, M.; Starzycka-Korbas, E.; Nowak, K. Development and Characteristics of Interspecific Hybrids between Brassica oleracea L. and B. napus L. Agronomy 2020, 10, 1339. [Google Scholar] [CrossRef]
- Sharma, B.B.; Kalia, P.; Singh, D.; Sharma, T.R. Introgression of Black Rot Resistance from Brassica carinata to Cauliflower (Brassica oleracea botrytis Group) through Embryo Rescue. Front. Plant Sci. 2017, 8, 1255. [Google Scholar] [CrossRef]
- Hwang, S.-F.; Strelkov, S.E.; Peng, G.; Ahmed, H.; Zhou, Q.; Turnbull, G. Blackleg (Leptosphaeria maculans) Severity and Yield Loss in Canola in Alberta, Canada. Plants 2016, 5, 31. [Google Scholar] [CrossRef]
- Kutcher, H.; Fernando, D.; Turkington, T.; Mclaren, D. Best Management Practices for Blackleg Disease of Canola. Prairie Soils Crops 2011, 4, 122–134. [Google Scholar]
- Fernando, W.G.D.; Chen, Y.; Ghanbarnia, K. Breeding for Blackleg Resistance: The Biology and Epidemiology. In Advances in Botanical Research; Rapeseed Breeding; Academic Press: Cambridge, MA, USA, 2007; Volume 45, pp. 271–311. [Google Scholar]
- Hasan, M.; Seyis, F.; Badani, A.; Pons-Kühnemann, J.; Friedt, W.; Lühs, W.; Snowdon, R. Analysis of Genetic Diversity in the Brassica napus L. Gene Pool Using SSR Markers. Genet. Resour. Crop Evol. 2006, 53, 793–802. [Google Scholar] [CrossRef]
- Gupta, P.K.; Balyan, H.S.; Sharma, P.C.; Ramesh, B. Microsatellites in plants: A new class of molecular markers. Curr. Sci. 1996, 70, 45–54. [Google Scholar]
- Yu, Q.; Wang, Q.; Wu, G.; Ma, Y.; He, X.; Wang, X.; Xie, P.; Hu, L.; Liu, J. Genetic differentiation and delimitation of Pugionium dolabratum and Pugionium cornutum (Brassicaceae). Plant Syst. Evol. 2013, 299, 1355–1365. [Google Scholar] [CrossRef]
- Thakur, A.K.; Singh, K.H.; Singh, L.; Nanjundan, J.; Khan, Y.J.; Singh, D. SSR marker variations in Brassica species provide insight into the origin and evolution of Brassica amphidiploids. Hereditas 2017, 155, 6. [Google Scholar] [CrossRef]
- Matuszczak, M. Markery molekularne w badaniach rzepaku (Brassica napus L.). I. Przegląd stosowanych technik. Rośliny Oleiste-Oilseed Crops 2013, 34, 129–150. [Google Scholar]
- Abbas, S.J.; Farhatullah; Marwat, K.B.; Khan, I.A.; Munir, I. Molecular analysis of genetic diversity in Brassica species. Pak. J. Bot. Pak. 2009, 41, 167–176. [Google Scholar]
- Wang, J.; Kaur, S.; Cogan, N.O.I.; Dobrowolski, M.P.; Salisbury, P.A.; Burton, W.A.; Baillie, R.; Hand, M.; Hopkins, C.; Forster, J.W.; et al. Assessment of genetic diversity in Australian canola (Brassica napus L.) cultivars using SSR markers. Crop Pasture Sci. 2009, 60, 1193–1201. [Google Scholar] [CrossRef]
- Zhai, L.; Xu, L.; Wang, Y.; Cheng, H.; Chen, Y.; Gong, Y.; Liu, L. Novel and useful genic-SSR markers from de novo transcriptome sequencing of radish (Raphanus sativus L.). Mol. Breed. 2014, 33, 611–624. [Google Scholar] [CrossRef]
- Plieske, J.; Struss, D. Microsatellite markers for genome analysis in Brassica. I. development in Brassica napus and abundance in Brassicaceae species. Theor. Appl. Genet. 2001, 102, 689–694. [Google Scholar] [CrossRef]
- Tamura, K.; Nishioka, M.; Hayashi, M.; Zhang, Z.; Lian, C.; Hougetsu, T.; Harada, K. Development of Microsatellite Markers by ISSR-suppression-PCR Method in Brassica rapa. Breed. Sci. 2005, 55, 247–252. [Google Scholar] [CrossRef]
- Anderson, J.A.; Churchill, G.A.; Autrique, J.E.; Tanksley, S.D.; Sorrells, M.E. Optimizing parental selection for genetic linkage maps. Genome 1993, 36, 181–186. [Google Scholar] [CrossRef]
- Wolko, Ł.; Bocianowski, J.; Antkowiak, W.; Słomski, R. Genetic diversity and population structure of wild pear (Pyrus pyraster (L.) Burgsd.) in Poland. Open Life Sci. 2014, 10, 19–29. [Google Scholar] [CrossRef]
- Nei, M.; Li, W.H. Mathematical model for studying genetic variation in terms of restriction endonucleases. Proc. Natl. Acad. Sci. USA 1979, 76, 5269–5273. [Google Scholar] [CrossRef]
- Peakall, R.; Smouse, P.E. genalex 6: Genetic analysis in Excel. Population genetic software for teaching and research. Mol. Ecol. Notes 2006, 6, 288–295. [Google Scholar] [CrossRef]
- Excoffier, L.; Smouse, P.E.; Quattro, J.M. Analysis of molecular variance inferred from metric distances among DNA haplotypes: Application to human mitochondrial DNA restriction data. Genetics 1992, 131, 479–491. [Google Scholar] [CrossRef]
- Brachaczek, A.; Kaczmarek, J.; Jedryczka, M. Warm and Wet Autumns Favour Yield Losses of Oilseed Rape Caused by Phoma Stem Canker. Agronomy 2021, 11, 1171. [Google Scholar] [CrossRef]
- Shirasawa, K.; Oyama, M.; Hirakawa, H.; Sato, S.; Tabata, S.; Fujioka, T.; Kimizuka-Takagi, C.; Sasamoto, S.; Watanabe, A.; Kato, M.; et al. An EST-SSR Linkage Map of Raphanus sativus and Comparative Genomics of the Brassicaceae. DNA Res. 2011, 18, 221–232. [Google Scholar] [CrossRef]
- Flannery, M.; Mitchell, F.; Coyne, S.; Kavanagh, T.; Burke, J.; Salamin, N.; Dowding, P.; Hodkinson, T. Plastid genome characterisation in Brassica and Brassicaceae using a new set of nine SSRs. Theor. Appl. Genet. Theor. Angew. Genet. 2006, 113, 1221–1231. [Google Scholar] [CrossRef]
- Suwabe, K.; Iketani, H.; Nunome, T.; Ohyama, A.; Hirai, M.; Fukuoka, H. Characteristics of Microsatellites in Brassica rapa Genome and their Potential Utilization for Comparative Genomics in Cruciferae. Breed. Sci. 2004, 54, 85–90. [Google Scholar] [CrossRef]
- Serrote, C.M.L.; Reiniger, L.R.S.; Silva, K.B.; dos Santos Rabaiolli, S.M.; Stefanel, C.M. Determining the Polymorphism Information Content of a molecular marker. Gene 2020, 726, 144175. [Google Scholar] [CrossRef]
- Berg, P.; Singer, M. Dealing with Genes: The Language of Heredity; University Science Books: Mill Valley, CA, USA, 1992; ISBN 978-0-935702-69-9. [Google Scholar]
- Das, S.; Rajagopal, J.; Bhatia, S.; Srivastava, P.S.; Lakshmikumaran, M. Assessment of genetic variation within Brassica campestris cultivars using amplified fragment length polymorphism and random amplification of polymorphic DNA markers. J. Biosci. 1999, 24, 433–440. [Google Scholar] [CrossRef]
- Kumari, P.; Rathore, R.K.S.; Yadav, R.; Singh, K.P.; Kumar, R. Utility of SSR and ISSR markers for assessment of genetic diversity in Brassicas and their related genera. Progress. Agric. 2009, 9, 71–78. [Google Scholar]
- Westman, A.L.; Kresovich, S. Simple sequence repeat (SSR)-based marker variation in Brassica nigra genebank accessions and weed populations. Euphytica 1999, 109, 85–92. [Google Scholar] [CrossRef]
- Van de Wouw, A.P.; Marcroft, S.J.; Ware, A.; Lindbeck, K.; Khangura, R.; Howlett, B.J. Breakdown of resistance to the fungal disease, blackleg, is averted in commercial canola (Brassica napus) crops in Australia. Field Crops Res. 2014, 166, 144–151. [Google Scholar] [CrossRef]
- Rimmer, S.R.; van den Berg, C.G.J. Resistance of oilseed Brassica spp. to blackleg caused by Leptosphaeria maculans. Can. J. Plant Pathol. 1992, 14, 56–66. [Google Scholar] [CrossRef]
- Marcroft, S.J.; Wratten, N.; Purwantara, A.; Salisbury, P.A.; Potter, T.D.; Barbetti, M.J.; Khangura, R.; Howlett, B.J. Reaction of a range of Brassica species under Australian conditions to the fungus, Leptosphaeria maculans, the causal agent of blackleg. Aust. J. Exp. Agric. 2002, 42, 587–594. [Google Scholar] [CrossRef]
- Niemann, J.; Kaczmarek, J.; Wojciechowski, A.; Jędryczka, M. Resistance to stem canker (Leptosphaeria spp.) in interspecific Brassica hybrids. Prog. Plant Prot. 2016, 56, 245–250. [Google Scholar]




| No of Genotype | Combination/Species | Group |
|---|---|---|
| 1 | B. napus cv. Jet Neuf × B. carinata PI 649091 | 1 |
| 2 | B. napus cv. Lisek × B. carinata Dodola | 1 |
| 3 | B. napus cv. Jet Neuf × B. carinata—PI 649094 | 1 |
| 4 | B. napus cv. Jet Neuf × B. carinata—PI 649096 | 1 |
| 5 | B. carinata 1 | 1 |
| 6 | B. carinata 2 | 1 |
| 7 | B. carinata 3 | 1 |
| 8 | B. carinata 4 | 1 |
| 9 | B. carinata cv. Dodola | 1 |
| 10 | B. carinata PI 596534 | 1 |
| 11 | B. napus cv. Górczański × B. rapa ssp. chinensis | 2 |
| 12 | B. napus cv. Zhongshuang9 × B. rapa ssp. chinensis 08 007574 | 2 |
| 13 | B. rapa ssp. chinensis (COBORU) | 2 |
| 14 | B. rapa ssp. chinensis PI430485 98CI | 2 |
| 15 | B. napus cv. Lisek × B. rapa Pak Choi 08, 007574 | 2 |
| 16 | B. napus cv. Lisek × B. rapa Pak Choi 08, 007569 | 2 |
| 17 | B. napus cv. Górczański × B. rapa Pak Choi 08, 007574 | 2 |
| 18 | B. fruticulosa PI 649097 | 3 |
| 19 | B. napus cv. Californium × B. fruticulosa—PI649097 | 3 |
| 20 | B. napus cv. Lisek × B. fruticulosa—PI649097 | 3 |
| 21 | B.napus cv. Anderson | 1, 2, 3, 4, 5, 6, 7 |
| 22 | B. napus cv. Monolit | 1, 2, 3, 4, 5, 6, 7 |
| 23 | B. napus cv. Skrzeszowicki | 1, 2, 3, 4, 5, 6, 7 |
| 24 | B. napus cv. Lisek | 1, 2, 3, 4, 5, 6, 7 |
| 25 | B. napus cv. Californium × B. oleracea var. alboglabra | 4 |
| 26 | B. napus cv. Jet Neuf × B. rapa ssp. pekinensis 08 007569 | 5 |
| 27 | B. napus cv. Jet Neuf × B. rapa ssp. pekinensis 08 007574 | 5 |
| 28 | B. napus cv. Górczański × B. rapa ssp. pekinensis 08.007574 | 5 |
| 29 | B. napus cv. Górczański × B. rapa ssp. pekinensis 08.007569 | 5 |
| 30 | B. napus cv. Californium × B. rapa ssp. pekinensis 08 007574 | 5 |
| 31 | B. napus cv. Californium × B. rapa ssp. pekinensis 08 007574-1 | 5 |
| 32 | B. napus cv. Californium × B. rapa ssp. pekinensis 08 007574-2 | 5 |
| 33 | B. napus cv. Californium × B. rapa ssp. pekinensis 08 007574-3 | 5 |
| 34 | B. napus cv. Zhongshuang9 × B. rapa ssp. pekinensis 08 006169 | 5 |
| 35 | B. napus MS8 line × B. rapa ssp. pekinensis 08 006169 | 5 |
| 36 | B. napus MS8 line × B. rapa ssp. pekinensis 08 006169 | 5 |
| 37 | B. napus MS8 line × B. rapa ssp. pekinensis 08 006169 | 5 |
| 38 | B. rapa ssp. pekinensis 08, 007569 | 5 |
| 39 | B. rapa ssp. pekinensis 08, 007574 | 5 |
| 40 | B. rapa ssp. pekinensis (COBORU) | 5 |
| 41 | B. napus cv. Lisek × B. oleracea var. alboglabra | 4 |
| 42 | B. napus cv. Jet Neuf × S. alba cv. Bamberka | 6 |
| 43 | B. napus cv. Lisek × B. fruticulosa—PI649099 | 3 |
| 44 | B. napus cv. Lisek × S. alba cv. Bamberka | 6 |
| 45 | B. napus cv. Lisek × B. tournefortii | 7 |
| 46 | B. napus cv. Jet Neuf × B. oleracea var. alboglabra | 4 |
| 47 | B. napus cv. Californium × S. alba cv. Bamberka | 6 |
| 48 | B. rapa ssp. pekinensis 08 006169 | 5 |
| 49 | B. oleracea var. alboglabra | 4 |
| 50 | S. alba cv. Bamberka | 6 |
| 51 | B. napus cv. Zhongshuang9 × B. rapa ssp. pekinensis 08 006169 2 | 5 |
| SSR Marker | Primer Sequences | Annealing Temperature |
|---|---|---|
| mstg001 | F: CAT GAG TTT TCA TAA ATA AAA | 41 °C |
| R: TAT GCA ACT TGT CTT TGA TAT | ||
| mstg004 | F: CAT ATA TAG CAT GAG TGG TGC | 47 °C |
| R: CTT AAA GGG CAC TCT TTC ATG | ||
| mstg008 | F: TCT CTT TGA AAT CTC AAC CCA | 47 °C |
| R: AGA TGG CAT GTT AAA CTG AAC | ||
| mstg012 | F: TGA TAC ATA GAC TTG GTG GTG | 48 °C |
| R: CGG CAT TAT CTT GAA CAC GTT | ||
| mstg013 | F: AGA TTT GGC TTA CAC GAC GAC | 50 °C |
| R: ATA TAC CAG GTA CCG TCA CTC | ||
| mstg016 | F: CGT TAC ATT CGG GTA TCA CTA | 48 °C |
| R: TCA TCG AAA GCC TTG TAA CTG | ||
| mstg025 | F: AGA GGC AGT TAC GTT CAC GTC | 52 °C |
| R: CAT CGC ACT CGT GTC TCT TTC | ||
| mstg027 | F: CTC TTT TGG TCA GCT TCC TCA | 48 °C |
| R: TTG TTA GTT AGA TCC TCG TAG | ||
| mstg028 | F: GCC AAG AAG ACG AAG ATT CTC | 49 °C |
| R: AGG TTC TCG ATT TAG GAA CCG | ||
| mstg033 | F: ATG TAA GCA TCT TTG ATC TGC | 46 °C |
| R: CTT GAT CTT CCT GAT GTA CTC | ||
| mstg034 | F: CGA CTG GTA ATA TTC TGA TAC | 46 °C |
| R: CAT GAA AGA CTC TCA AAT CCC | ||
| mstg038 | F: GAA TGG TGG TTC TTG TGT GTC | 49 °C |
| R: CAA AGC GAA GCT CTT GAA TTG | ||
| mstg039 | F: TAC TCG CTC TTG TTG AAG CTG | 50 °C |
| R: GAC AAT CTT GGA GTC ATC TCG | ||
| mstg042 | F: GAT ATT CGA TCC GCT TCG ACA | 49 °C |
| R: CGA ATA TCT CAT CCA CTT TGT | ||
| mstg052 | F: AGT AAC ATG TTT TCT TTT GTG | 46 °C |
| R: CAT CAG ATG CTC AAG GAA CTT | ||
| mstg055 | F: ACA CGC GCC TAT GCA GAA TAC | 52 °C |
| R: CTT AGC GAT TAC GGT GAA GCC |
| SSR Marker | Quantity of Polymorphic Alleles | Quantity of Monomorphic Alleles | Percentage of Polymorphic Alleles (%) | PIC (Polymorphism Information Content) |
|---|---|---|---|---|
| mstg004 | 2 | 0 | 100 | 0.962 |
| mstg008 | 8 | 0 | 100 | 0.969 |
| mstg012 | 7 | 0 | 100 | 0.771 |
| mstg016 | 8 | 0 | 100 | 0.594 |
| mstg025 | 4 | 0 | 100 | 0.838 |
| mstg028 | 7 | 1 | 87.5 | 0.769 |
| mstg033 | 3 | 0 | 100 | 0.988 |
| mstg038 | 9 | 0 | 100 | 0.841 |
| mstg039 | 15 | 0 | 100 | 0.989 |
| mstg042 | 2 | 1 | 66.7 | 0.913 |
| mstg052 | 7 | 0 | 100 | 0.893 |
| mstg055 | 9 | 0 | 100 | 0.776 |
| mstg001 | 4 | 0 | 100 | 0.908 |
| mstg034 | 5 | 0 | 100 | 0.686 |
| mstg027 | 8 | 0 | 100 | 0.822 |
| Mean | 6.533 | 0.133 | 96.947 | 0.848 |
| Group | 1 | 2 | 3 | 4 | 5 | 6 | 7 |
|---|---|---|---|---|---|---|---|
| 1 | 0.000 | 0.045 | 0.002 | 0.016 | 0.005 | 0.002 | 0.055 |
| 2 | 0.041 * | 0.000 | 0.153 | 0.072 | 0.421 | 0.398 | 0.433 |
| 3 | 0.154 ** | 0.028 | 0.000 | 0.001 | 0.012 | 0.052 | 0.181 |
| 4 | 0.077 * | 0.052 | 0.191 *** | 0.000 | 0.083 | 0.009 | 0.060 |
| 5 | 0.066 ** | 0.000 | 0.092 * | 0.050 | 0.000 | 0.289 | 0.393 |
| 6 | 0.135 ** | 0.000 | 0.103 | 0.160 * | 0.017 | 0.000 | 0.384 |
| 7 | 0.077 | 0.000 | 0.046 | 0.099 | 0.000 | 0.000 | 0.000 |
| Mean squares within group | 9.582 | 8.132 | 4.281 | 8.797 | 8.853 | 4.250 | 4.160 |
| No of Genotype | Combination | Infestation Level—Term I | Infestation Level—Term II |
|---|---|---|---|
| 1 | B. napus cv. Jet Neuf × B. carinata PI 649091 | 0 f * | 3 ef |
| 2 | B. napus cv. Lisek × B. carinata Dodola | 0 f | 3 ef |
| 3 | B. napus cv. Jet Neuf × B. carinata—PI 649094 | 0 f | 4 ef |
| 4 | B. napus cv. Jet Neuf × B. carinata—PI 649096 | 0 f | 3 ef |
| 11 | B. napus cv. Górczański × B. rapa ssp. chinensis | 23.33 a | 25 a |
| 12 | B. napus cv. Zhongshuang9 × B. rapa ssp. chinensis 08 007574 | 15 b | 22 ab |
| 15 | B. napus cv. Lisek × B. rapa Pak Choi 08, 007574 | 8 bcde | 8 def |
| 16 | B. napus cv. Lisek × B. rapa Pak Choi 08, 007569 | 8 bcde | 9 cdef |
| 17 | B. napus cv. Górczański × B. rapa Pak Choi 08, 007574 | 7 cdef | 8 def |
| 19 | B. napus cv. Californium × B. fruticulosa—PI649097 | 0 f | 4 ef |
| 20 | B. napus cv. Lisek × B. fruticulosa—PI649097 | 0 f | 5 ef |
| 25 | B. napus cv. Californium × B. oleracea var. alboglabra | 9.33 bcde | 2.08 f |
| 26 | B. napus cv. Jet Neuf × B. rapa ssp. pekinensis 08 007569 | 8 bcde | 8 def |
| 27 | B. napus cv. Jet Neuf × B. rapa ssp. pekinensis 08 007574 | 5 def | 6 ef |
| 28 | B. napus cv. Górczański × B. rapa ssp. pekinensis 08.007574 | 12.33 bc | 15 bcd |
| 29 | B. napus cv. Górczański × B. rapa ssp. pekinensis 08.007569 | 11 bcd | 6 ef |
| 30 | B. napus cv. Californium × B. rapa ssp. pekinensis 08 007574 | 5 def | 15 bcd |
| 31 | B. napus cv. Californium × B. rapa ssp. pekinensis 08 007574-1 | 4 def | 16 bc |
| 32 | B. napus cv. Californium × B. rapa ssp. pekinensis 08 007574-2 | 5.25 def | 13.33 cd |
| 33 | B. napus cv. Californium × B. rapa ssp. pekinensis 08 007574-3 | 6 cdef | 14 cd |
| 34 | B. napus cv. Zhongshuang9 × B. rapa ssp. pekinensis 08 006169 | 3.33 ef | 9 cdef |
| 35 | B. napus MS8 line × B. rapa ssp. pekinensis 08 006169 1 | 4 def | 6 ef |
| 36 | B. napus MS8 line × B. rapa ssp. pekinensis 08 006169 2 | 6 cdef | 6 ef |
| 37 | B. napus MS8 line × B. rapa ssp. pekinensis 08 006169 3 | 6 cdef | 6 ef |
| 41 | B. napus cv. Lisek × B. oleracea var. alboglabra | 10 bcde | 10 cde |
| 42 | B. napus cv. Jet Neuf × S. alba cv. Bamberka | 0 f | 3 ef |
| 43 | B. napus cv. Lisek × B. fruticulosa—PI649099 | 0 f | 5 ef |
| 44 | B. napus cv. Lisek × S. alba cv. Bamberka | 4 def | 4 ef |
| 45 | B. napus cv. Lisek × B. tournefortii | 8 bcde | 6 ef |
| 46 | B. napus cv. Jet Neuf × B. oleracea var. alboglabra | 10.33 bcde | 10 cde |
| 47 | B. napus cv. Californium × S. alba cv. Bamberka | 0 f | 3 ef |
| 51 | B. napus cv. Zhongshuang9 × B. rapa ssp. pekinensis 08 006169 2 | 6 cdef | 15 bcd |
Publisher’s Note: MDPI stays neutral with regard to jurisdictional claims in published maps and institutional affiliations. |
© 2022 by the authors. Licensee MDPI, Basel, Switzerland. This article is an open access article distributed under the terms and conditions of the Creative Commons Attribution (CC BY) license (https://creativecommons.org/licenses/by/4.0/).
Share and Cite
Szwarc, J.; Niemann, J.; Kaczmarek, J.; Bocianowski, J.; Weigt, D. Genetic Relationship of Brassicaceae Hybrids with Various Resistance to Blackleg Is Disclosed by the Use of Molecular Markers. Curr. Issues Mol. Biol. 2022, 44, 4290-4302. https://doi.org/10.3390/cimb44090295
Szwarc J, Niemann J, Kaczmarek J, Bocianowski J, Weigt D. Genetic Relationship of Brassicaceae Hybrids with Various Resistance to Blackleg Is Disclosed by the Use of Molecular Markers. Current Issues in Molecular Biology. 2022; 44(9):4290-4302. https://doi.org/10.3390/cimb44090295
Chicago/Turabian StyleSzwarc, Justyna, Janetta Niemann, Joanna Kaczmarek, Jan Bocianowski, and Dorota Weigt. 2022. "Genetic Relationship of Brassicaceae Hybrids with Various Resistance to Blackleg Is Disclosed by the Use of Molecular Markers" Current Issues in Molecular Biology 44, no. 9: 4290-4302. https://doi.org/10.3390/cimb44090295
APA StyleSzwarc, J., Niemann, J., Kaczmarek, J., Bocianowski, J., & Weigt, D. (2022). Genetic Relationship of Brassicaceae Hybrids with Various Resistance to Blackleg Is Disclosed by the Use of Molecular Markers. Current Issues in Molecular Biology, 44(9), 4290-4302. https://doi.org/10.3390/cimb44090295

