Ceramide-1-Phosphate as a Potential Regulator of the Second Sodium Pump from Kidney Proximal Tubules by Triggering Distinct Protein Kinase Pathways in a Hierarchic Way
Abstract
1. Introduction
2. Materials and Methods
2.1. Material
2.2. Isolation of Basolateral Membranes (BLM)
2.3. Protein Determination
2.4. Determination of Na+ + K+-ATPase and Na+-ATPase Activities
2.5. Determination of Protein Kinase A (PKA) Activity
2.6. Determination of Protein Kinase C (PKC) Activity
2.7. Statistical Analysis
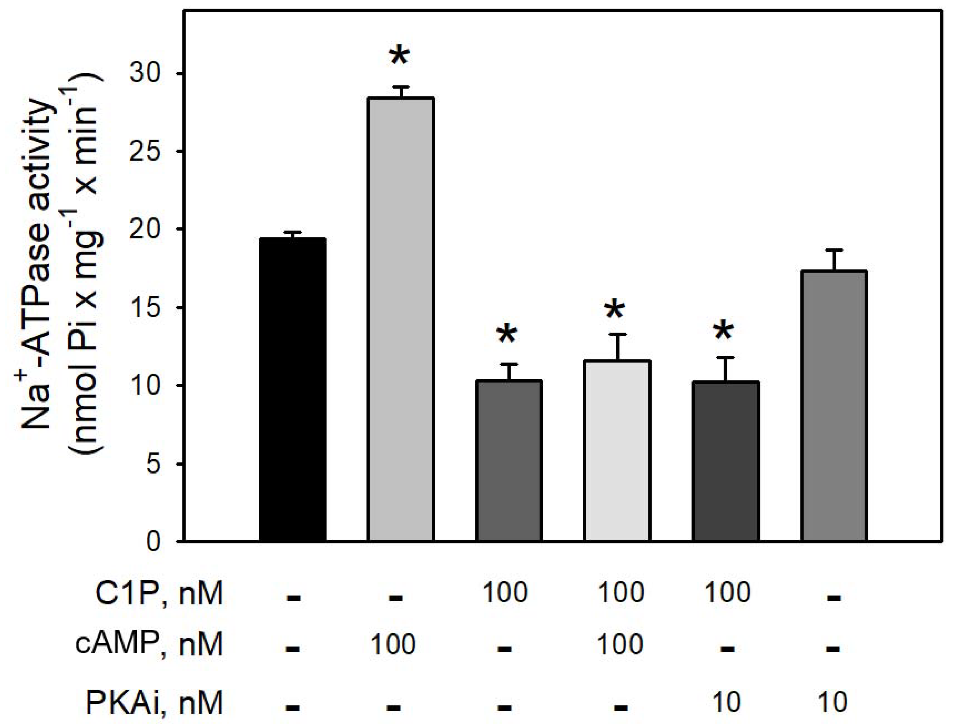
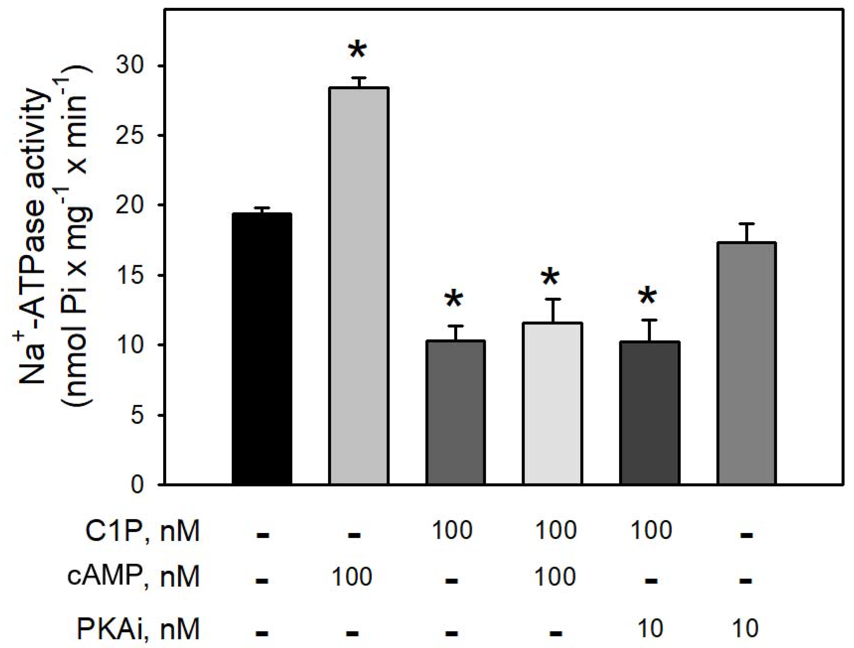
3. Results
4. Discussion
5. Conclusions
Author Contributions
Funding
Institutional Review Board Statement
Informed Consent Statement
Data Availability Statement
Acknowledgments
Conflicts of Interest
References
- Futerman, A.H.; Hannun, Y.A. The complex life of simple sphingolipids. EMBO Rep. 2004, 5, 777–782. [Google Scholar] [CrossRef] [PubMed]
- Hannun, Y.A.; Obeid, L.M. Sphingolipids and their metabolism in physiology and disease. Nat. Rev. Mol. Cell Biol. 2017, 19, 175–191. [Google Scholar] [CrossRef] [PubMed]
- Cuvillier, O.; Pirianov, G.; Kleuser, B.; Vanek, P.G.; Coso, O.A.; Gutkind, J.S.; Spiegel, S. Suppression of ceramide-mediated programmed cell death by sphingosine-1-phosphate. Nature 1996, 381, 800–803. [Google Scholar] [CrossRef] [PubMed]
- Newton, J.; Lima, S.; Maceyka, M.; Spiegel, S. Revisiting the sphingolipid rheostat: Evolving concepts in cancer therapy. Exp. Cell Res. 2015, 333, 195–200. [Google Scholar] [CrossRef]
- Serra, M.; Saba, J.D. Sphingosine 1-phosphate lyase, a key regulator of sphingosine 1- phosphate signaling and function. Adv. Enzym. Regul. 2010, 50, 349–362. [Google Scholar] [CrossRef]
- Huwiler, A.; Pfeilschifter, J. Sphingolipid signaling in renal fibrosis. Matrix Biol. 2018, 68–69, 230–247. [Google Scholar] [CrossRef]
- Raza, Z.; Saleem, U.; Naureen, Z. Sphingosine 1-phosphate signaling in ischemia and reperfusion injury. Prostaglandins Other Lipid Mediat. 2020, 149, 106436. [Google Scholar] [CrossRef]
- Holopainen, J.M.; Subramanian, M.; Kinnunen, P.K.J. Sphingomyelinase Induces Lipid Microdomain Formation in a Fluid Phosphatidylcholine/Sphingomyelin Membrane. Biochemistry 1998, 37, 17562–17570. [Google Scholar] [CrossRef]
- Bollinger, C.R.; Teichgräber, V.; Gulbins, E. Ceramide-enriched membrane domains. Biochim. Biophys. Acta (BBA)-Mol. Cell Res. 2005, 1746, 284–294. [Google Scholar] [CrossRef]
- Stancevic, B.; Kolesnick, R. Ceramide-rich platforms in transmembrane signaling. FEBS Lett. 2010, 584, 1728–1740. [Google Scholar] [CrossRef]
- Sugiura, M.; Kono, K.; Liu, H.; Shimizugawa, T.; Minekura, H.; Spiegel, S.; Kohama, T. Ceramide Kinase, a Novel Lipid Kinase. J. Biol. Chem. 2002, 277, 23294–23300. [Google Scholar] [CrossRef] [PubMed]
- Gómez-Muñoz, A. Ceramide-1-phosphate: A novel regulator of cell activation. FEBS Lett. 2004, 562, 5–10. [Google Scholar] [CrossRef]
- Bornancin, F. Ceramide kinase: The first decade. Cell. Signal. 2011, 23, 999–1008. [Google Scholar] [CrossRef] [PubMed]
- Andrieu-Abadie, N.; Levade, T. Sphingomyelin hydrolysis during apoptosis. Biochim. Biophys. Acta (BBA)-Mol. Cell Biol. Lipids 2002, 1585, 126–134. [Google Scholar] [CrossRef]
- Taha, T.A.; Mullen, T.D.; Obeid, L.M. A house divided: Ceramide, sphingosine, and sphingosine-1-phosphate in programmed cell death. Biochim. Biophys. Acta (BBA)-Biomembr. 2006, 1758, 2027–2036. [Google Scholar] [CrossRef] [PubMed]
- Gardell, S.E.; Dubin, A.E.; Chun, J. Emerging medicinal roles for lysophospholipid signaling. Trends Mol. Med. 2006, 12, 65–75. [Google Scholar] [CrossRef]
- Tan, S.T.; Ramesh, T.; Toh, X.R.; Nguyen, L.N. Emerging roles of lysophospholipids in health and disease. Prog. Lipid Res. 2020, 80, 101068. [Google Scholar] [CrossRef]
- Cabral, L.M.P.; Wengert, M.; da Ressurreição, A.A.; Feres-Elias, P.H.; Almeida, F.G.; Vieyra, A.; Caruso-Neves, C.; Einicker-Lamas, M. Ceramide Is a Potent Activator of Plasma Membrane Ca2+-ATPase from Kidney Proximal Tubule Cells with Protein Kinase A as an Intermediate. J. Biol. Chem. 2007, 282, 24599–24606. [Google Scholar] [CrossRef]
- Conrard, L.; Tyteca, D. Regulation of Membrane Calcium Transport Proteins by the Surrounding Lipid Environment. Biomolecules 2019, 9, 513. [Google Scholar] [CrossRef]
- Törnquist, K.; Blom, T.; Shariatmadari, R.; Pasternack, M. Ceramide 1-phosphate enhances calcium entry through voltage-operated calcium channels by a protein kinase C-dependent mechanism in GH4C1 rat pituitary cells. Biochem. J. 2004, 380, 661–668. [Google Scholar] [CrossRef]
- Kariya, Y.; Kihara, A.; Ikeda, M.; Kikuchi, F.; Nakamura, S.; Hashimoto, S.; Choi, C.-H.; Lee, Y.-M.; Igarashi, Y. Products by the sphingosine kinase/sphingosine 1-phosphate (S1P) lyase pathway but not S1P stimulate mitogenesis. Genes Cells 2005, 10, 605–615. [Google Scholar] [CrossRef] [PubMed]
- Nakamura, H.; Hirabayashi, T.; Shimizu, M.; Murayama, T. Ceramide-1-phosphate activates cytosolic phospholipase A2α directly and by PKC pathway. Biochem. Pharmacol. 2006, 71, 850–857. [Google Scholar] [CrossRef] [PubMed]
- Granado, M.H.; Gangoiti, P.; Ouro, A.; Arana, L.; González, M.; Trueba, M.; Gómez-Muñoz, A. Ceramide 1-phosphate (C1P) promotes cell migration: Involvement of a specific C1P receptor. Cell. Signal. 2009, 21, 405–412. [Google Scholar] [CrossRef] [PubMed]
- Kreydiyyeh, S.I.; Dakroub, Z. Ceramide and its metabolites modulate time-dependently the activity of the Na+/K+ ATPase in HepG2 cells. Int. J. Biochem. Cell Biol. 2014, 53, 102–107. [Google Scholar] [CrossRef] [PubMed]
- Nogaroli, L.; Silva, O.; Bonilha, T.A.; Moreno, P.A.; Bernardo, R.R.; Vieyra, A.; Einicker-Lamas, M. Diacylglycerol kinase activity in purified basolateral membranes of kidney tubules: I. Evidence for coupling with phospholipase C. Int. J. Biochem. Cell Biol. 2005, 37, 79–90. [Google Scholar] [CrossRef]
- Verdoorn, K.S.; Lindoso, R.S.; Lowe, J.; Lara, L.S.; Vieyra, A.; Einicker-Lamas, M. Bone marrow mononuclear cells shift bioactive lipid pattern in injured kidney towards tissue repair in rats with unilateral ureteral obstruction. Nephrol. Dial. Transplant. 2010, 25, 3867–3874. [Google Scholar] [CrossRef]
- Lemos, T.; Verdoorn, K.S.; Nogaroli, L.; Borges, T.B.; Bonilha, T.A.; Moreno, P.A.; Silva, O.; Tortelote, G.G.; Einicker-Lamas, M. Biphasic regulation of type II phosphatidylinositol-4 kinase by sphingosine: Cross talk between glycero- and sphingolipids in the kidney. Biochim. Biophys. Acta (BBA)-Biomembr. 2014, 1838, 1003–1009. [Google Scholar] [CrossRef]
- Sant’Anna, J.F.; Baldez, V.S.; Razuck-garrão, N.A.; Lemos, T.; Diaz, B.; Einicker-Lamas, M. Lysophosphatidic acid (LPA) as a modulator of plasma mem-brane Ca 2 + -ATPase from basolateral membranes of kidney proximal tubules. J. Physiol. Biochem. 2021, 77, 321–329. [Google Scholar] [CrossRef]
- Sampaio, L.D.S.; Da Silva, P.A.; Ribeiro, V.S.; Castro-Chaves, C.; Lara, L.S.; Vieyra, A.; Einicker-Lamas, M. Bioactive lipids are altered in the kidney of chronic undernourished rats: Is there any correlation with the progression of prevalent nephropathies? Lipids Health Dis. 2017, 16, 245. [Google Scholar] [CrossRef]
- Kihara, A.; Mitsutake, S.; Mizutani, Y.; Igarashi, Y. Metabolism and biological functions of two phosphorylated sphingolipids, sphingosine 1-phosphate and ceramide 1-phosphate. Prog. Lipid Res. 2007, 46, 126–144. [Google Scholar] [CrossRef]
- Kolesnick, R.N.; Krönke, M. Regulation of ceramide production and apoptosis. Annu. Rev. Physiol. 1998, 60, 643–665. [Google Scholar] [CrossRef] [PubMed]
- Ruvolo, P.P. Intracellular signal transduction pathways activated by ceramide and its metabolites. Pharmacol. Res. 2003, 47, 383–392. [Google Scholar] [CrossRef]
- Cabral, L.M.P.; Wengert, M.; Almeida, F.G.; Caruso-Neves, C.; Vieyra, A.; Einicker-Lamas, M. Ceramide-activated protein kinases A and C zeta inhibit kidney proximal tubule cell Na+-ATPase. Arch. Biochem. Biophys. 2010, 498, 57–61. [Google Scholar] [CrossRef] [PubMed]
- Simons, K.; Ikonen, E. Functional rafts in cell membranes. Nature 1997, 387, 569–572. [Google Scholar] [CrossRef]
- Tortelote, G.G.; Valverde, R.H.; Lemos, T.; Guilherme, A.; Einicker-Lamas, M.; Vieyra, A. The plasma membrane Ca2+ pump from proximal kidney tubules is exclusively localized and active in caveolae. FEBS Lett. 2004, 576, 31–35. [Google Scholar] [CrossRef]
- Einicker-Lamas, M.; Wenceslau, L.D.; Bernardo, R.R.; Nogaroli, L.; Guilherme, A.; Oliveira, M.M.; Vieyra, A. Sphingosine-1-Phosphate Formation Activates Phosphatidylinositol-4 Kinase in Basolateral Membranes from Kidney Cells: Crosstalk in Cell Signaling through Sphingolipids and Phospholipids. J. Biochem. 2003, 134, 529–536. [Google Scholar] [CrossRef]
- Boumendil-Podevin, E.F.; Podevin, R.A. Isolation of basolateral and brush-border membrane from the rabbit kidney cortex: Vesicle integrity and membrane sidedness of the basolateral fraction. Biochim. Biophys. Acta (BBA)-Biomembr. 735, 86–94. [CrossRef]
- Rangel, L.; Lopes, A.; Lara, L.; Carvalho, T.; Silva, I.; Oliveira, M.; Einicker-Lamas, M.; Vieyra, A.; Nogaroli, L.; Caruso-Neves, C. PI-PLCβ is involved in the modulation of the proximal tubule Na+-ATPase by angiotensin II. Regul. Pept. 2005, 127, 177–182. [Google Scholar] [CrossRef]
- Lowry, O.H.; Rosebrough, N.J.; Farr, A.L.; Randall, R.J. Protein measurement with the Folin phenol reagent. J. Biol. Chem. 1951, 193, 265–275. [Google Scholar] [CrossRef]
- Taussky, H.H.; Shorr, E.; Kurzmann, G.A. microcolorimetric method for the determination of inorganic phosphorus. J. Biol. Chem. 1953, 202, 675–685. [Google Scholar] [CrossRef]
- Lara, L.S.; Cavalcante, F.; Axelband, F.; De Souza, A.M.; Gil Lopes, A.; Caruso-Neves, C. Involvement of the Gi/o/cGMP/PKG pathway in the AT2-mediated inhibition of outer cortex proximal tubule Na+-ATPase by Ang-(1–7). Biochem. J. 2006, 395, 183–190. [Google Scholar] [CrossRef] [PubMed]
- Sorenson, M.M.; Coelho, H.S.L.; Reuben, J.P. Caffeine inhibition of calcium accumulation by the sarcoplasmic reticulum in mammalian skinned fibers. J. Membr. Biol. 1986, 90, 219–230. [Google Scholar] [CrossRef] [PubMed]
- Zager, R.A.; Burkhart, K.M.; Johnson, A. Sphingomyelinase and membrane sphingomyelin content: Determinants of proximal tubule cell susceptibility to injury. J. Am. Soc. Nephrol. 2000, 11, 894–902. [Google Scholar] [CrossRef] [PubMed]
- Wang, G.; Krishnamurthy, K.; Umapathy, N.S.; Verin, A.D.; Bieberich, E. The Carboxyl-terminal Domain of Atypical Protein Kinase Cζ Binds to Ceramide and Regulates Junction Formation in Epithelial Cells. J. Biol. Chem. 2009, 284, 14469–14475. [Google Scholar] [CrossRef] [PubMed]
- Caruso-Neves, C.; Rangel, L.; Vives, D.; Vieyra, A.; Coka-Guevara, S.; Lopes, A. Ouabain-insensitive Na+-ATPase activity is an effector protein for cAMP regulation in basolateral membranes of the proximal tubule. Biochim. Biophys. Acta (BBA)-Biomembr. 2000, 1468, 107–114. [Google Scholar] [CrossRef][Green Version]
- Caruso-Neves, C.; Rangel, L.; Lara, L.S.; Lopes, A. Regulation of the renal proximal tubule second sodium pump by angiotensins. Braz. J. Med. Biol. Res. 2001, 34, 1079–1084. [Google Scholar] [CrossRef][Green Version]
- Caruso-Neves, C.; Malaquias, A.; Lóss, F.; da Costa, V.C.; Gomes, V.; Lopes, A. Bradykinin B1 receptor stimulates the proximal tubule Na+-ATPase activity through protein kinase C pathway. Regul. Pept. 2003, 115, 195–201. [Google Scholar] [CrossRef]
- Wengert, M.; Berto, C.; Kaufman, J.; Leão-Ferreira, L.; Paes-De-Carvalho, R.; Lopes, A.; Caruso-Neves, C. Stimulation of the proximal tubule Na+-ATPase activity by adenosine A2A receptor. Int. J. Biochem. Cell Biol. 2005, 37, 155–165. [Google Scholar] [CrossRef]
- Dantzler, W.H. Regulation of renal proximal and distal tubule transport: Sodium, chloride and organic anions. Comp. Biochem. Physiol. Part A Mol. Integr. Physiol. 2003, 136, 453–478. [Google Scholar] [CrossRef]
- Féraille, E.; Doucet, A. Sodium-potassium-adenosinetriphosphatase-dependent sodium transport in the kidney: Hormonal control. Physiol. Rev. 2001, 81, 345–418. [Google Scholar] [CrossRef] [PubMed]
- Skou, J.C. The influence of some cations on an adenosine triphosphatase from peripheral nerves. Biochim. Biophys. Acta 1957, 23, 394–401. [Google Scholar] [CrossRef]
- Whittembury, G.; Proverbio, F. Two modes of Na extrusion in cells from guinea pig kidney cortex slices. Pflugers Arch. 1970, 316, 1–25. [Google Scholar] [CrossRef]
- Proverbio, F.; Marín, R.; Proverbio, T. The ouabain-insensitive sodium pump. Comp. Biochem. Physiol. Part A Physiol. 1991, 99, 279–283. [Google Scholar] [CrossRef]
- Pedemonte, C.H.; Efendiev, R.; Bertorello, A.M. Inhibition of Na, K-ATPase by Dopamine in Proximal Tubule Epithelial Cells. Semin. Nephrol. 2005, 25, 322–327. [Google Scholar] [CrossRef] [PubMed]
- Aperia, A.; Holtbäck, U.; Syrén, M.L.; Svensson, L.B.; Fryckstedt, J.; Greengard, P. Activation / deactivation of renal Na+, K+-ATPase: A final common pathway for regulation of natriuresis. FASEB J. 1994, 8, 436–439. [Google Scholar] [CrossRef] [PubMed]
- Caruso-Neves, C.; Coelho-Souza, S.; Vives, D.; Goes, G.; Lara, L.S.; Lopes, A. Modulation of ouabain-insensitive Na+-ATPase activity in the renal proximal tubule by Mg2+, MgATP and furosemide. Int. J. Biochem. Cell Biol. 2002, 34, 1586–1593. [Google Scholar] [CrossRef]
- Gomes, C.; Leão-Ferreira, L.; Caruso-Neves, C.; Lopes, A. Adenosine reverses the stimulatory effect of angiotensin II on the renal Na+-ATPase activity through the A2 receptor. Regul. Pept. 2005, 129, 9–15. [Google Scholar] [CrossRef] [PubMed]
- Coka-Guevara, S.; Markus, R.P.; Caruso-Neves, C.; Lopes, A.G.; Vieyra, A. Adenosine inhibits the renal plasma-membrane (Ca2+ + Mg2+)-ATPase through a pathway sensitive to cholera toxin and sphingosine. J. Biol. Inorg. Chem. 1999, 263, 71–78. [Google Scholar] [CrossRef]
- De Souza, A.M.; Batista, E.J.; Pinheiro, A.A.D.S.; Carvalhaes, M.; Lopes, A.G.; De Souza, W.; Caruso-Neves, C. Entamoeba histolytica: Ouabain-insensitive Na+-ATPase activity. Exp. Parasitol. 2007, 117, 195–200. [Google Scholar] [CrossRef]
- Garciadeblas, B.; Rubio, F.; Quintero, F.J.; Bañuelos, M.A.; Haro, R.; Rodriguez-Navarro, A. Differential expression of two genes encoding isoforms of the ATPase involved in sodium efflux in Saccharomyces cerevisiae. Mol. Gen. Genet. 1993, 236, 363–368. [Google Scholar] [CrossRef]
- Iizumi, K.; Mikami, Y.; Hashimoto, M.; Nara, T.; Hara, Y.; Aoki, T. Molecular cloning and characterization of ouabain-insensitive Na+-ATPase in the parasitic protist, Trypanosoma cruzi. Biochim. Biophys. Acta (BBA)-Biomembr. 2006, 1758, 738–746. [Google Scholar] [CrossRef]
- Rocafull, M.A.; Romero, F.J.; Thomas, L.E.; del Castillo, J.R. Isolation and cloning of the K+-independent, ouabain-insensitive Na+-ATPase. Biochim. Biophys. Acta (BBA)-Biomembr. 2011, 1808, 1684–1700. [Google Scholar] [CrossRef] [PubMed]
- Rocafull, M.A.; Thomas, L.E.; del Castillo, J.R. The second sodium pump: From the function to the gene. Pflugers Arch. 2012, 463, 755–777. [Google Scholar] [CrossRef] [PubMed]
- Barros, S.A.; Srimaroeng, C.; Perry, J.L.; Walden, R.; Dembla-Rajpal, N.; Sweet, D.; Pritchard, J.B. Activation of Protein Kinase Cζ Increases OAT1 (SLC22A6)- and OAT3 (SLC22A8)-mediated Transport. J. Biol. Chem. 2009, 284, 2672–2679. [Google Scholar] [CrossRef] [PubMed]
- Deng, X.; Sun, L.; Lai, X.; Xiang, L.; Li, Q.; Zhang, W.; Zhang, L.; Sun, S. Tea Polypeptide Ameliorates Diabetic Nephropathy through RAGE and NF-κB Signaling Pathway in Type 2 Diabetes Mice. J. Agric. Food Chem. 2018, 66, 11957–11967. [Google Scholar] [CrossRef] [PubMed]
- Sirijariyawat, K.; Ontawong, A.; Palee, S.; Thummasorn, S.; Maneechote, C.; Boonphang, O.; Chatsudthipong, V.; Chattipakorn, N.; Srimaroeng, C. Impaired renal organic anion transport 1 (SLC22A6) and its regulation following acute myocardial infarction and reperfusion injury in rats. Biochim. Biophys. Acta (BBA)-Mol. Basis Dis. 2019, 1865, 2342–2355. [Google Scholar] [CrossRef]
- Drexler, Y.; Molina, J.; Mitrofanova, A.; Fornoni, A.; Merscher, S. Sphingosine-1-Phosphate Metabolism and Signaling in Kidney Diseases. J. Am. Soc. Nephrol. 2020, 32, 9–31. [Google Scholar] [CrossRef]
- Emerscher, S.; Fornoni, A. Podocyte Pathology and Nephropathy – Sphingolipids in Glomerular Diseases. Front. Endocrinol. 2014, 5, 127. [Google Scholar] [CrossRef]
- Mallela, S.K.; Mitrofanova, A.; Merscher, S.; Fornoni, A. Regulation of the amount of ceramide-1-phosphate synthesized in differentiated human podocytes. Biochim. Biophys. Acta (BBA)-Mol. Cell Biol. Lipids 2019, 1864, 158517. [Google Scholar] [CrossRef]
- Iwata, M.; Herrington, J.; Zager, R.A. Sphingosine: A mediator of acute renal tubular injury and subsequent cytoresistance. Proc. Natl. Acad. Sci. USA 1995, 92, 8970–8974. [Google Scholar] [CrossRef]






Publisher’s Note: MDPI stays neutral with regard to jurisdictional claims in published maps and institutional affiliations. |
© 2022 by the authors. Licensee MDPI, Basel, Switzerland. This article is an open access article distributed under the terms and conditions of the Creative Commons Attribution (CC BY) license (https://creativecommons.org/licenses/by/4.0/).
Share and Cite
Cabral, L.M.P.; Almeida, F.G.; Grelle, G.M.R.S.; Vieyra, A.; Caruso-Neves, C.; Einicker-Lamas, M. Ceramide-1-Phosphate as a Potential Regulator of the Second Sodium Pump from Kidney Proximal Tubules by Triggering Distinct Protein Kinase Pathways in a Hierarchic Way. Curr. Issues Mol. Biol. 2022, 44, 998-1011. https://doi.org/10.3390/cimb44030066
Cabral LMP, Almeida FG, Grelle GMRS, Vieyra A, Caruso-Neves C, Einicker-Lamas M. Ceramide-1-Phosphate as a Potential Regulator of the Second Sodium Pump from Kidney Proximal Tubules by Triggering Distinct Protein Kinase Pathways in a Hierarchic Way. Current Issues in Molecular Biology. 2022; 44(3):998-1011. https://doi.org/10.3390/cimb44030066
Chicago/Turabian StyleCabral, Lindsey M. P., Fernando G. Almeida, Gloria M. R. S. Grelle, Adalberto Vieyra, Celso Caruso-Neves, and Marcelo Einicker-Lamas. 2022. "Ceramide-1-Phosphate as a Potential Regulator of the Second Sodium Pump from Kidney Proximal Tubules by Triggering Distinct Protein Kinase Pathways in a Hierarchic Way" Current Issues in Molecular Biology 44, no. 3: 998-1011. https://doi.org/10.3390/cimb44030066
APA StyleCabral, L. M. P., Almeida, F. G., Grelle, G. M. R. S., Vieyra, A., Caruso-Neves, C., & Einicker-Lamas, M. (2022). Ceramide-1-Phosphate as a Potential Regulator of the Second Sodium Pump from Kidney Proximal Tubules by Triggering Distinct Protein Kinase Pathways in a Hierarchic Way. Current Issues in Molecular Biology, 44(3), 998-1011. https://doi.org/10.3390/cimb44030066

