Synthesis and In Silico Study of Some New bis-[1,3,4]thiadiazolimines and bis-Thiazolimines as Potential Inhibitors for SARS-CoV-2 Main Protease
Abstract
1. Introduction
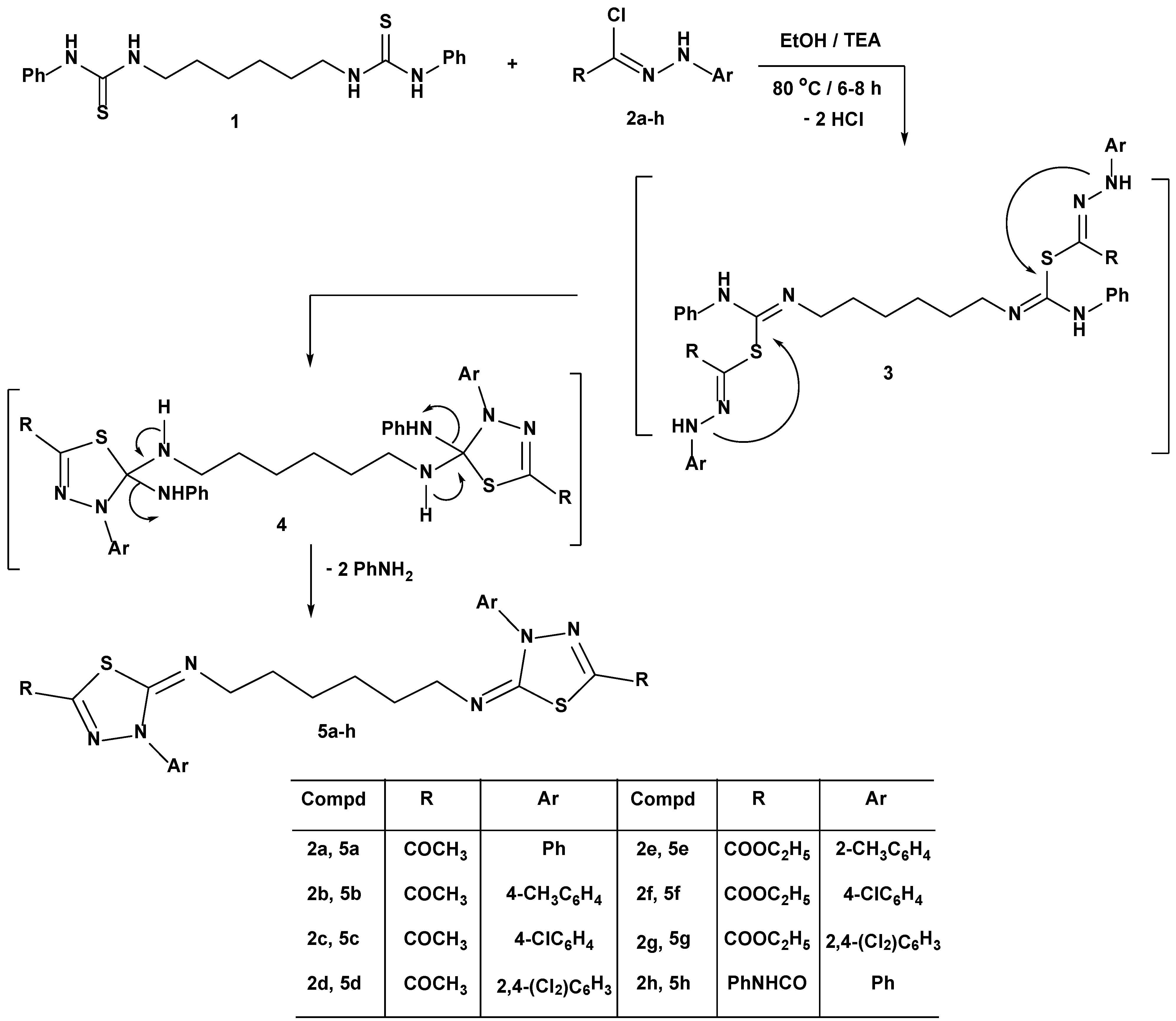
2. Results and Discussion
3. Computational Analysis
3.1. Experimental
- Synthesis of 1,1′-(hexane-1,6-diyl)bis(3-phenylthiourea) (1).
- Synthesis of bis[1,3,4]thiadiazolimines and bis-thiazolimines.
- 1,1′-[Hexane-1,6-diyl-bis(azaneylylidene)]bis[(4-phenyl-4,5-dihydro-1,3,4-thiadiazol-2-yl-5-ylidene)]bis(ethan-1-one) (5a).
- 1,1′-[Hexane-1,6-diyl-bis(azaneylylidene)]bis[4-(p-tolyl)-4,5-dihydro-1,3,4-thiadiazole-2-yl-5-ylidene)]bis(ethan-1-one) (5b).
- 1,1′-[Hexane-1,6-diyl-bis(azaneylylidene)]bis[4-(4-chlorophenyl)-4,5-dihydro-1,3,4-thiadiazole-2-yl-5-ylidene)]bis(ethan-1-one) (5c).
- 1,1′-[Hexane-1,6-diyl-bis(azaneylylidene)]bis[4-(2,4-dichlorophenyl)-4,5-dihydro-1,3,4-thiadiazole-2-yl-5-ylidene)]bis(ethan-1-one) (5d).
- Diethyl 5,5′-[hexane-1,6-diyl-bis(azaneylylidene)]-bis[4-(o-tolyl)-4,5-dihydro-1,3,4-thiadiazole-2-carboxylate] (5e).
- Diethyl 5,5′-[hexane-1,6-diyl-bis(azaneylylidene)]-bis[4-(4-chlorophenyl)-4,5-dihydro- 1,3,4-thiadiazole-2-carboxylate] (5f).
- Diethyl 5,5′-[hexane-1,6-diyl-bis(azaneylylidene)]-bis[4-(2,4-dichlorophenyl)-4,5- dihydro-1,3,4-thiadiazole-2-carboxylate] (5g).
- 5,5′-[Hexane-1,6-diyl-bis(azaneylylidene)]bis[N,4-diphenyl-4,5-dihydro-1,3,4-thiadiazole-2-carboxamide] (5h).
- N,N′-(Hexane-1,6-diyl)bis[3,4-diphenylthiazol-2(3H)-imine] (8a).
- N,N′-(Hexane-1,6-diyl)bis[3-phenyl-4-(p-tolyl)thiazol-2(3H)-imine] (8b).
- N,N′-(Hexane-1,6-diyl)bis[4-(4-chlorophenyl)-3-phenylthiazol-2(3H)-imine] (8c).
- N,N′-(Hexane-1,6-diyl)bis[4-(4-bromophenyl)-3-phenylthiazol-2(3H)-imine] (8d).
- N,N′-(Hexane-1,6-diyl)bis[4-(4-nitrophenyl)-3-phenylthiazol-2(3H)-imine] (8e).
- 1,1′-[Hexane-1,6-diyl-bis(azaneylylidene)]bis[4-methyl-3-phenyl-2,3-dihydrothiazole-5-yl-2-ylidene]bis(ethan-1-one) (11a).
- Diethyl2,2′-[hexane-1,6-diyl-bis(azaneylylidene)]-bis[4-methyl-3-phenyl-2,3-dihydrothiazole-5-carboxylate] (11b).
3.2. Molecular Docking
4. Conclusions
Author Contributions
Funding
Institutional Review Board Statement
Informed Consent Statement
Data Availability Statement
Conflicts of Interest
References
- Gao, Z.; Xu, Y.; Sun, C.; Wang, X.; Guo, Y.; Qiu, S.; Ma, K. A systematic review of asymptomatic infections with COVID-19. J. Microbiol. Immunol. Infect. 2021, 54, 12–16. [Google Scholar] [CrossRef] [PubMed]
- Yüce, M.; Filiztekin, E.; Özkaya, K.G. COVID-19 diagnosis—A review of current methods. Biosens. Bioelectron. 2021, 172, 112752. [Google Scholar] [CrossRef]
- Li, Y.; Tenchov, R.; Smoot, J.; Liu, C.; Watkins, S.; Zhou, Q. A Comprehensive Review of the Global Efforts on COVID-19 Vaccine Development. ACS Cent. Sci. 2021, 7, 512–533. [Google Scholar] [CrossRef]
- Noor, R. A Review on the Effectivity of the Current COVID-19 Drugs and Vaccines: Are They Really Working Against the Severe Acute Respiratory Syndrome Coronavirus 2 (SARS-CoV-2) Variants? Curr. Clin. Microbiol. Rep. 2021, 8, 186–193. [Google Scholar] [CrossRef] [PubMed]
- El-Enany, W.A.M.A.; Gomha, S.M.; El-Ziaty, A.K.; Hussein, W.; Abdulla, M.M.; Hassan, S.A.; Sallam, H.A.; Ali, R.S. Synthesis and molecular docking of some new bis-thiadiazoles as antihypertensive α-blocking agents. Synth. Commun. 2019, 50, 85–96. [Google Scholar] [CrossRef]
- El-Enany, W.A.M.A.; Gomha, S.M.; El-Ziaty, A.K.; Hussein, W.; Sallam, H.A.; Ali, R.S.; El-Ziaty, A.K. Synthesis and Biological Evaluation of Some Novel bis-Thiadiazoles as Antimicrobial and Antitumor Agents. Polycycl. Aromat. Compd. 2021, 41, 2071–2082. [Google Scholar] [CrossRef]
- Gomha, S.M.; Muhammad, Z.A.; Al-Hussain, S.A.; Zaki, M.E.A.; Abdel-aziz, H.M. Synthesis, Characterization and antimicrobial evaluation of some new 1,4-dihydropyridine hybrid with 1,3,4-thiadiazole. Polycycl. Aromat. Compd. 2022, 42, 1697–1709. [Google Scholar] [CrossRef]
- Gomha, S.M.; El-Gendy, M.S.; Muhammad, Z.A.; Abdelhamid, A.O.; Abdel-Aziz, M.M. Utility of Bis-Hydrazonoyl Chlorides as Precursors for Synthesis of New Functionalized bis-Thiadiazoles as Potent Antimicrobial Agents. J. Heterocycl. Chem. 2018, 55, 844–851. [Google Scholar] [CrossRef]
- Gomha, S.M.; Kheder, N.A.; Abdelhamid, A.O.; Mabkhot, Y.N. One Pot Single Step Synthesis and Biological Evaluation of Some Novel Bis(1,3,4-thiadiazole) Derivatives as Potential Cytotoxic Agents. Molecules 2016, 21, 1532. [Google Scholar] [CrossRef] [PubMed]
- Gomha, S.M.; Muhammad, Z.A.; El-Reedy, A.A.M. Intramolecular ring transformation of bis-oxadiazoles to bis-thiadiazoles and investigation of their anticancer activities. J. Heterocycl. Chem. 2018, 55, 2360–2367. [Google Scholar] [CrossRef]
- Muhammad, Z.A.; Masaret, G.; Amin, M.A.; Abdallah, M.A.; Farghaly, T.A. Anti-inflammatory, Analgesic and Anti-ulcerogenic Activities of Novel bis-thiadiazoles, bis-thiazoles and bis-formazanes. Med. Chem. 2017, 13, 226–238. [Google Scholar] [CrossRef]
- Dawood, K.M.; Eldebss, T.M.A.; El-Zahabi, H.S.A.; Yousef, M.H. Synthesis and antiviral activity of some new bis-1,3-thiazole derivatives. Eur. J. Med. Chem. 2015, 102, 266–276. [Google Scholar] [CrossRef]
- Kassab, R.M.; Gomha, S.M.; Al-Hussain, S.A.; Abo Dena, A.S.; Abdel-Aziz, M.M.; Zaki, M.E.A.; Muhammad, Z.A. Synthesis and in-silico simulation of some new bis-thiazole derivatives and their preliminary antimicrobial profile: Investigation of hydrazonoyl chloride addition to hydroxy-functionalized bis-carbazones. Arab. J. Chem. 2021, 14, 103396. [Google Scholar] [CrossRef]
- Mahmoud, H.K.; Abbas, A.A.; Gomha, S.M. Synthesis, antimicrobial evaluation and molecular docking of new functionalized bis(1,3,4-thiadiazole) and bis(thiazole) derivatives. Polycycl. Aromat. Compd. 2021, 41, 2029–2041. [Google Scholar] [CrossRef]
- Al-Omair, M.A.; Sayed, A.R.; Youssef, M. Synthesis and Biological Evaluation of Bisthiazoles and Polythiazoles. Molecules 2018, 23, 1133. [Google Scholar] [CrossRef]
- Gomha, S.M.; Badrey, M.G.; Edrees, M.M. Heterocyclization of a bis-thiosemicarbazone of 2,5-diacetyl-3,4-disubstituted-thieno[2,3-b]thiophene bis-1,4-phenylene-bis-thiazole derivatives and bis-1,3,4-thiadiazoles as anti-breast cancer agents. J. Chem. Res. 2016, 40, 120–125. [Google Scholar] [CrossRef]
- Gomha, S.M.; Edrees, M.M.; Altalbawy, F.M.A. Synthesis and characterization of some new bis-pyrazolyl-thiazoles incorporating the thiophene moiety as potent anti-tumor agents. Inter. J. Mol. Sci. 2016, 17, 1499. [Google Scholar] [CrossRef]
- Gomha, S.M.; El-Hashash, M.A.; Edrees, M.M.; El-Arab, E.E. Synthesis, characterization and molecular docking of novel bis-thiazolyl thienothiophene derivatives as promising cytotoxic antitumor drug. J. Heterocycl. Chem. 2017, 54, 2686–2695. [Google Scholar] [CrossRef]
- Alshabanah, L.A.; Gomha, S.M.; Al-Mutabagani, L.A.; Abolibda, T.Z.; Abd El-Ghany, N.A.; El-Enany, W.A.M.A.; El-Ziaty, A.K.; Ali, R.S.; Mohamed, N.A. Cross-linked chitosan/multi-walled carbon nanotubes composite as ecofriendly biocatalyst for synthesis of some composite as ecofriendly biocatalyst for synthesis of some novel benzil bis-thiazoles. Polymers 2021, 13, 1728. [Google Scholar] [CrossRef]
- Altamimi, M.A.; Hussain, A.; Alshehri, S.; Imam, S.S.; Alnami, A.; Bari, A. Novel hemocompatible imine compounds as alternatives for antimicrobial therapy in pharmaceutical application. Processes 2020, 8, 1476. [Google Scholar] [CrossRef]
- Bashiri, M.; Jarrahpour, A.; Rastegari, B.; Iraji, A.; Irajie, C.; Amirghofran, Z.; Malek-Hosseini, S.; Motamedifar, M.; Haddadi, M.; Zomorodian, K.; et al. Synthesis and evaluation of biological activities of tripodal imines and β-lactams attached to the 1,3,5-triazine nucleus. Monatsh. Chem. 2020, 151, 821–835. [Google Scholar] [CrossRef]
- da Silva, E.T.; Araújo, A.S.; Moraes, A.M.; de Souza, L.A.; Lourenço, M.C.S.; de Souza, M.V.N.; Wardell, J.L.; Wardell, S.M.S.V. Synthesis and Biological Activities of Camphor Hydrazone and Imine Derivatives. Sci. Pharm. 2016, 84, 467. [Google Scholar] [CrossRef] [PubMed]
- Sakthinathan, S.P.; Suresh, R.; Kamalakkannan, D.; Mala, V.; Sathiyamoorthi, K.; Vanangamudi, G.; Thirunarayanan, G. Microwave assisted synthesis, spectral correlation and antimicrobial Evaluation of some aryl imines. J. Chil. Chem. Soc. 2018, 63, 3918–3923. [Google Scholar] [CrossRef]
- Gomha, S.M.; Edrees, M.M.; Muhammad, Z.A.; El-Reedy, A.A.M. 5-(Thiophen-2-yl)-1,3,4-thiadiazole derivatives: Synthesis, molecular docking and in-vitro cytotoxicity evaluation as potential anticancer agents. Drug Des. Dev. Ther. 2018, 12, 1511–1523. [Google Scholar] [CrossRef]
- Alshabanah, L.A.; Al-Mutabagani, L.A.; Gomha, S.M.; Ahmed, H.A. Three-component synthesis of some new coumarin derivatives as anti-cancer agents. Front. Chem. 2022, 9, 762248. [Google Scholar] [CrossRef]
- Abu-Melha, S.; Edrees, M.M.; Said, M.A.; Riyadh, S.M.; Al-Kaff, N.S.; Gomha, S.M. Potential COVID-19 Drug Candidates Based on Diazinyl-Thiazol-Imine Moieties: Synthesis and Greener Pastures Biological Study. Molecules 2022, 27, 488. [Google Scholar] [CrossRef]
- Zhang, L.; Lin, D.; Sun, X.; Curth, U.; Drosten, C.; Sauerhering, L.; Becker, S.; Rox, K.; Hilgenfeld, R. Crystal structure of SARS-CoV-2 main protease provides a basis for design of improved α-ketoamide inhibitors. Science 2020, 368, 409–412. [Google Scholar] [CrossRef]
- Citarella, A.; Scala, A.; Piperno, A.; Micale, N. SARS-CoV-2 M(pro): A Potential Target for Peptidomimetics and Small-Molecule Inhibitors. Biomolecules 2021, 11, 607. [Google Scholar] [CrossRef]
- Goyal, B.; Goyal, D. Targeting the Dimerization of the Main Protease of Coronaviruses: A Potential Broad-Spectrum Therapeutic Strategy. ACS Comb. Sci. 2020, 22, 297–305. [Google Scholar] [CrossRef]
- Jin, Z.; Du, X.; Xu, Y.; Deng, Y.; Liu, M.; Zhao, Y.; Zhang, B.; Li, X.; Zhang, L.; Peng, C.; et al. Structure of Mpro from SARS-CoV-2 and discovery of its inhibitors. Nature 2020, 582, 289–293. [Google Scholar] [CrossRef]
- Macip, G.; Garcia-Segura, P.; Mestres-Truyol, J.; Saldivar-Espinoza, B.; Pujadas, G.; Garcia-Vallvé, S. A Review of the Current Landscape of SARS-CoV-2 Main Protease Inhibitors: Have We Hit the Bullseye Yet? Int. J. Mol. Sci. 2021, 23, 259. [Google Scholar] [CrossRef] [PubMed]
- Abu-Melha, S.; Edrees, M.M.; Riyadh, S.M.; Abdelaziz, M.R.; Elfiky, A.A.; Gomha, S.M. Clean Grinding Technique: A Facile Synthesis and In Silico Antiviral Activity of Hydrazones, Pyrazoles, and Pyrazines Bearing Thiazole Moiety against SARS-CoV-2 Main Protease (Mpro). Molecules 2020, 25, 4565. [Google Scholar] [CrossRef]
- Burki, T.K. The role of antiviral treatment in the COVID-19 pandemic. Lancet Respir. Med. 2022, 10, e18. [Google Scholar] [CrossRef]
- Owen, D.R.; Allerton, C.M.N.; Anderson, A.S.; Aschenbrenner, L.; Avery, M.; Berritt, S.; Boras, B.; Cardin, R.D.; Carlo, A.; Coffman, K.J.; et al. An oral SARS-CoV-2 M(pro) inhibitor clinical candidate for the treatment of COVID-19. Science 2021, 374, 1586–1593. [Google Scholar] [CrossRef]
- Doupp, D.; Hassan, A.A. Thermolysis of N,N″-1,ω-alkanediyl-bis[n′-organylthiourea] derivatives. J. Heterocycl. Chem. 2006, 43, 593–598. [Google Scholar] [CrossRef]
- Stoutland, O.; Helgen, L.; Agre, C.L. Reactions of diamines with isocyanates and isothiocyanates. J. Org. Chem. 1959, 24, 818–820. [Google Scholar] [CrossRef]
- Hanwell, M.D.; Curitis, D.E.; Loniem, D.C.; Vandermeersch, T.; Zurek, E.; Hutchison, G.R. Avogadro: An advanced semantic chemical editor, visualization, and analysis platform. J. Cheminform. 2012, 4, 17–30. [Google Scholar] [CrossRef]
- Rappé, A.K.; Casewit, C.J.; Colwell, K.S.; Goddard, W.A.; Skiff, W.M. UFF, a full periodic table force field for molecular mechanics and molecular dynamics simulations. J. Am. Chem. Soc. 1992, 114, 10024–10035. [Google Scholar] [CrossRef]
- Trott, O.; Olson, A.J. AutoDock Vina: Improving the speed and accuracy of docking with a new scoring function, efficient optimization, and multithreading. J. Comput. Chem. 2010, 31, 455–461. [Google Scholar] [CrossRef]
- Morris, G.M.; Huey, R.; Lindstrom, W.; Sanner, M.F.; Belew, R.K.; Goodsell, D.S.; Olson, A.J. AutoDock4 and AutoDockTools4: Automated docking with selective receptor flexibility. J. Comput. Chem. 2009, 30, 2785–2791. [Google Scholar] [CrossRef]
- Elgohary, A.M.; Elfiky, A.A.; Pereira, F.; Abd El-Aziz, T.M.; Sobeh, M.; Arafa, R.K.; El-Demerdash, A. Investigating the Structure-Activity Relationship of Marine Polycyclic Batzelladine Alkaloids as Promising Inhibitors for SARS-CoV-2 Main Protease (Mpro). ChemRxiv 2022. [Google Scholar] [CrossRef]
- Bekker, H.; Berendsen, H.J.; Dijkstra, E.J.; Achterop, S.; Vondrumen, R.; Vanderspol, D.; Sijbers, A.; Keegstra, H.; Renardus, M.K.R. Gromacs—A Parallel Computer for Molecular-Dynamics Simulations; World Scientific Publishing: Singapore, 1993; pp. 252–256. ISBN 981-02-1245-3. [Google Scholar]
- Huang, J.; MacKerell, A.D. CHARMM36 all-atom additive protein force field: Validation based on comparison to NMR data. J. Comput. Chem. 2013, 34, 2135–2145. [Google Scholar] [CrossRef] [PubMed]
- Pettersen, E.F.; Goddard, T.D.; Huang, C.C.; Couch, G.S.; Greenblatt, D.M.; Meng, E.C.; Ferrin, T.E. UCSF Chimera—A visualization system for exploratory research and analysis. J. Comput. Chem. 2004, 25, 1605–1612. [Google Scholar] [CrossRef]
- Elfiky, A.A.; Mahran, H.A.; Ibrahim, I.M.; Ibrahim, M.N.; Elshemey, W.M. Molecular dynamics simulations and MM-GBSA reveal novel guanosine derivatives against SARS-CoV-2 RNA dependent RNA polymerase. RSC Adv. 2022, 12, 2741–2750. [Google Scholar] [CrossRef] [PubMed]
- Seeliger, D.; de Groot, B.L. Ligand docking and binding site analysis with PyMOL and Autodock/Vina. J. Comput. Mol. Des. 2010, 24, 417–422. [Google Scholar] [CrossRef] [PubMed]
- Adasme, M.F.; Linnemann, K.L.; Bolz, S.N.; Kaiser, F.; Salentin, S.; Haupt, V.J.; Schroeder, M. PLIP 2021: Expanding the scope of the protein-ligand interaction profiler to DNA and RNA. Nucleic Acids Res. 2021, 49, W530–W534. [Google Scholar] [CrossRef] [PubMed]
- Salentin, S.; Schreiber, S.; Haupt, V.J.; Adasme, M.F.; Schroeder, M. PLIP: Fully automated protein–ligand interaction profiler. Nucleic Acids Res. 2015, 43, W443–W447. [Google Scholar] [CrossRef]










| Compd | Binding Energy (kcal/mol) | H-Bonding or Halogen Bonds | Hydrophobic Interaction | ||
|---|---|---|---|---|---|
| Number | Residues Take Part in the Interaction | Number | Residues Take Part in the Interaction | ||
| O6K | −7.4 | 8 | S1, H41, G143, S144, C145, H164, and E166(2) | 4 | N142, M165, D187, and Q189 |
| N3 | −6.6 | 2 | H164 and E166 | 3 | T25, T26, and P168 |
| 1 | −5.8 | 2 | E166 and T190 | ||
| 5a | −6.9 | 4 | G143, S144, C145, and Q189 | 3 | M165, E166, and Q189 |
| 5b | −6.7 | 4 | G143, S144, C145, and Q192 | 2 | P39 and D187 |
| 5c | −6.8 | 2 1 | G143 and S144 R188 | 1 | Q189 |
| 5d | −6.9 | 2 1 | G143 and S144 R188 | 2 | N142 and Q189 |
| 5e | −6.8 | 2 | N142 and E166 | 6 | T25, N142, M165, E166, P168, and Q189 |
| 5f | −6.6 | 3 | G143, S144, and C145 | 4 | F140, M165, P168, and Q189 |
| 5g | −6.9 | 2 1 | G143 and S144 T190 | 5 | T25, Y118, M165, E166, and Q189 |
| 5h | −7.5 | 5 | F140, E166(2), P168, and Q189 | ||
| 8a | −6.9 | 3 | N142, E166, and L167 | ||
| 8b | −7.2 | 4 | N142, E166, L167, and P168 | ||
| 8c | −7.0 | 4 | N142, M165, E166, and L167 | ||
| 8d | −7.0 | 2 | N142 and E166 | ||
| 8e | −7.1 | 4 | N142, E166, and Q189(2) | ||
| 11a | −6.5 | 3 | G143, S144, and C145 | 2 | Q189(2) |
| 11b | −6.3 | 3 | G143, S144, and C145 | 2 | Q189(2) |
Publisher’s Note: MDPI stays neutral with regard to jurisdictional claims in published maps and institutional affiliations. |
© 2022 by the authors. Licensee MDPI, Basel, Switzerland. This article is an open access article distributed under the terms and conditions of the Creative Commons Attribution (CC BY) license (https://creativecommons.org/licenses/by/4.0/).
Share and Cite
Gomha, S.M.; Riyadh, S.M.; Abdellattif, M.H.; Abolibda, T.Z.; Abdel-aziz, H.M.; Nayl, A.A.; Elgohary, A.M.; Elfiky, A.A. Synthesis and In Silico Study of Some New bis-[1,3,4]thiadiazolimines and bis-Thiazolimines as Potential Inhibitors for SARS-CoV-2 Main Protease. Curr. Issues Mol. Biol. 2022, 44, 4540-4556. https://doi.org/10.3390/cimb44100311
Gomha SM, Riyadh SM, Abdellattif MH, Abolibda TZ, Abdel-aziz HM, Nayl AA, Elgohary AM, Elfiky AA. Synthesis and In Silico Study of Some New bis-[1,3,4]thiadiazolimines and bis-Thiazolimines as Potential Inhibitors for SARS-CoV-2 Main Protease. Current Issues in Molecular Biology. 2022; 44(10):4540-4556. https://doi.org/10.3390/cimb44100311
Chicago/Turabian StyleGomha, Sobhi M., Sayed M. Riyadh, Magda H. Abdellattif, Tariq Z. Abolibda, Hassan M. Abdel-aziz, AbdElAziz. A. Nayl, Alaa M. Elgohary, and Abdo A. Elfiky. 2022. "Synthesis and In Silico Study of Some New bis-[1,3,4]thiadiazolimines and bis-Thiazolimines as Potential Inhibitors for SARS-CoV-2 Main Protease" Current Issues in Molecular Biology 44, no. 10: 4540-4556. https://doi.org/10.3390/cimb44100311
APA StyleGomha, S. M., Riyadh, S. M., Abdellattif, M. H., Abolibda, T. Z., Abdel-aziz, H. M., Nayl, A. A., Elgohary, A. M., & Elfiky, A. A. (2022). Synthesis and In Silico Study of Some New bis-[1,3,4]thiadiazolimines and bis-Thiazolimines as Potential Inhibitors for SARS-CoV-2 Main Protease. Current Issues in Molecular Biology, 44(10), 4540-4556. https://doi.org/10.3390/cimb44100311

