Biological Potential and Physicochemical Properties of Ionic Liquids Bioinspired by Carboxylic Acids: A Review
Abstract
1. Introduction
2. Carboxylic Acid-Based ILs
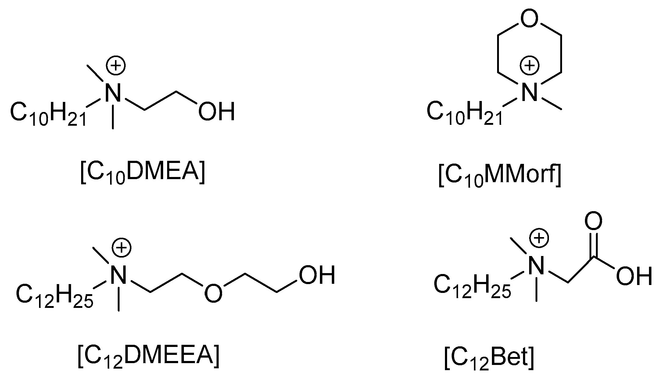
2.1. Fatty Acid-Based ILs (FAILs)
2.1.1. Toxicological Aspects of FAILS
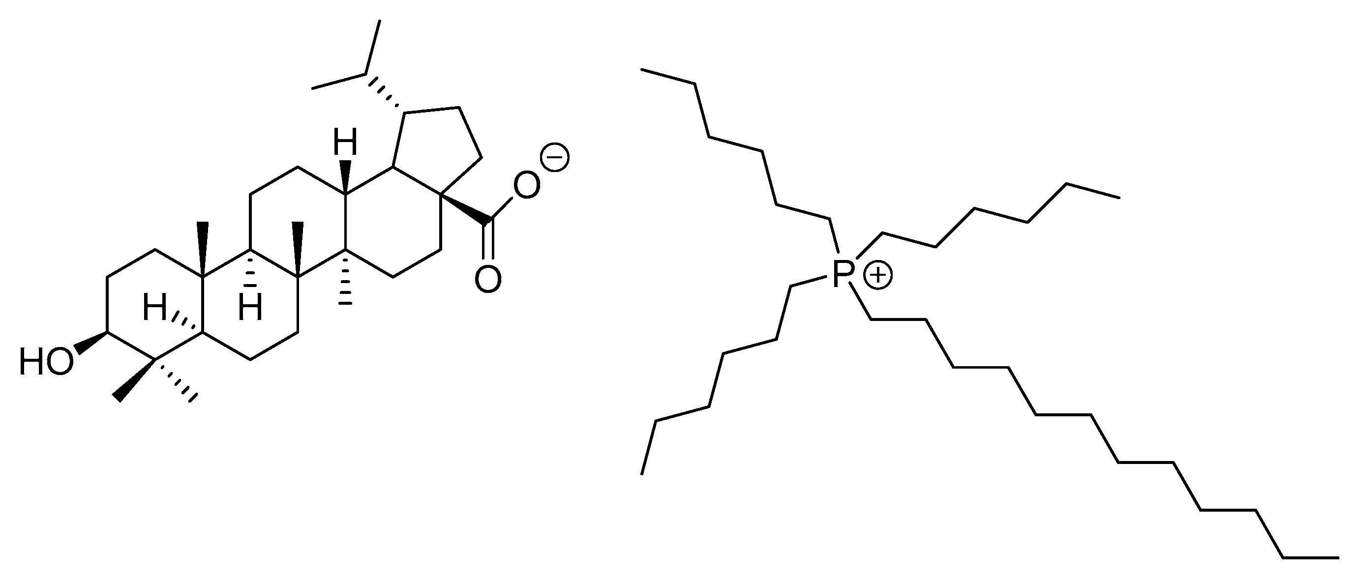
2.1.2. Biological Potential of FAILs
2.1.3. Physicochemical Properties of Bioactive FAILs
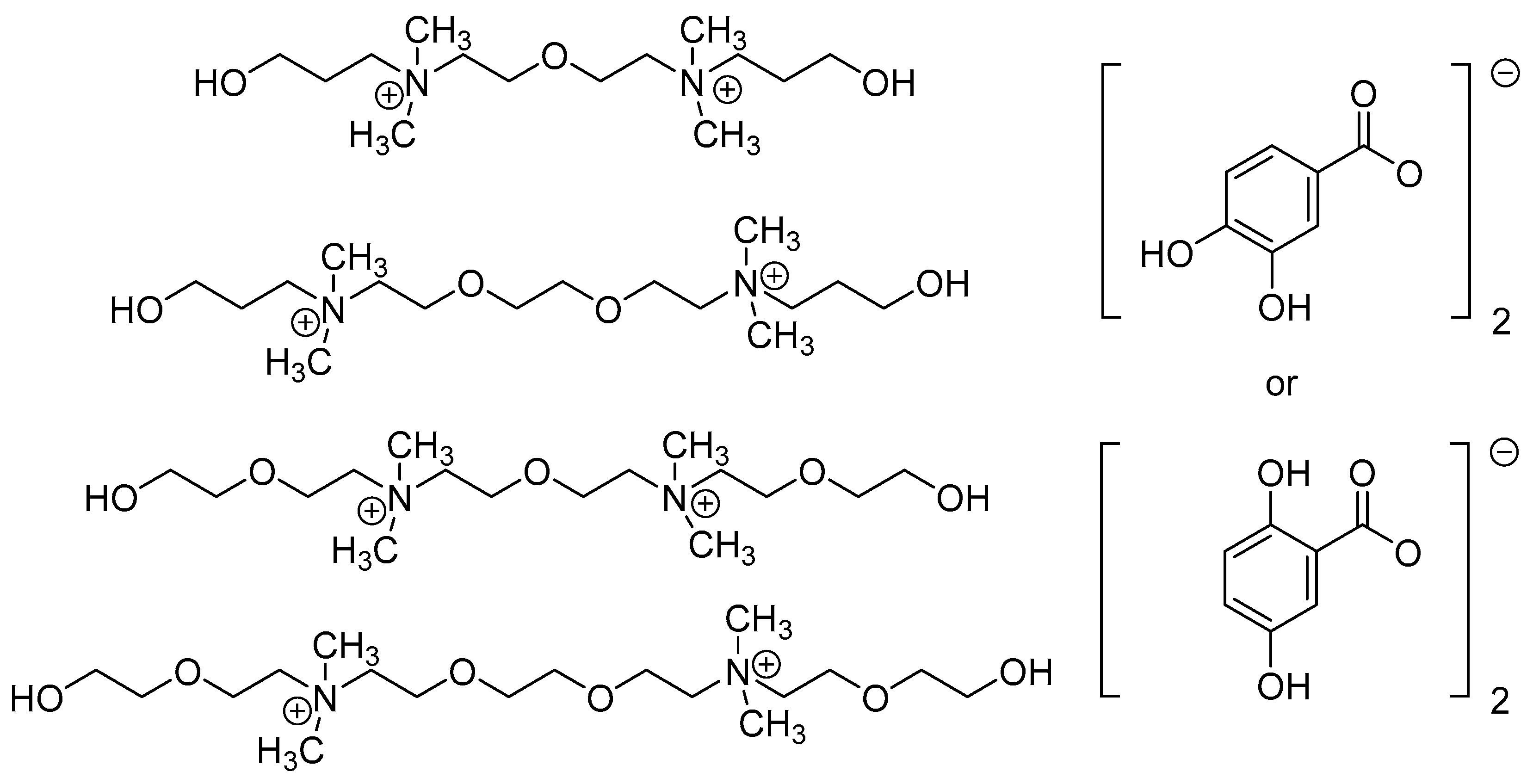
2.2. Phenolic Acid-Based ILs
2.2.1. Biological Potential of Phenolic Acid-Based ILs
2.2.2. Physicochemical Properties of Bioactive Phenolic Acid-Based ILs
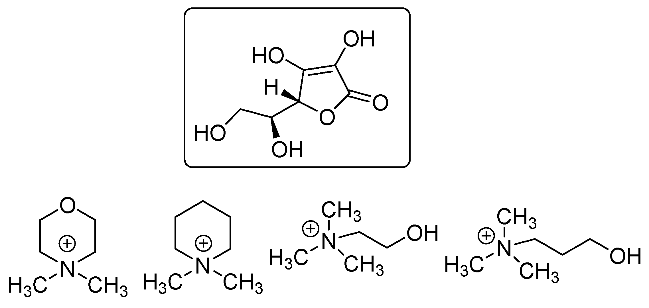
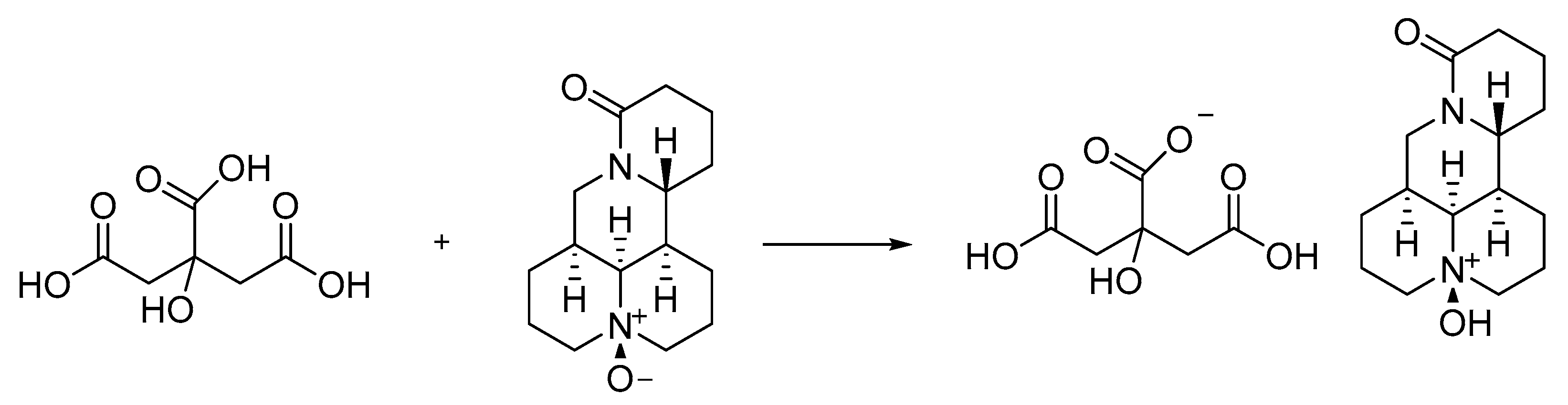
2.3. Hydroxy Acid-Based ILs
2.3.1. Biological Potential of Hydroxy Acid-Based ILs
2.3.2. Physicochemical Properties of Bioactive Hydroxy Acid-Based ILs
3. Physicochemical Highlights of the Reviewed Carboxylic Acid-Based ILs
4. Conclusions
Author Contributions
Funding
Data Availability Statement
Conflicts of Interest
Abbreviations
| APIs | active pharmaceutical ingredients |
| FAILs | fatty acid-based ionic liquids |
| API-ILs | active pharmaceutical ingredient ionic liquids |
| HAs | hydroxy acids |
| CMC | critical micelle concentration |
| ILs | ionic liquids |
| DES | deep eutectic solvent |
| MBC | minimal bactericidal concentration |
| DILs | dicationic ionic liquids |
| PILs | protic ionic liquids |
| DSC | differential scanning calorimetry |
| RTILs | room-temperature ionic liquids |
| EC50 | half maximal effective concentration |
References
- Wasserscheid, P.; Welton, T. (Eds.) Ionic Liquids in Synthesis, 2nd ed.; Wiley-VCH Verlar GmbH & Co. KGaA: Weinheim, Germany, 2008. [Google Scholar] [CrossRef]
- MacFarlane, D.R.; Meakin, P.; Sun, J.; Amini, N.; Forsyth, M. Pyrrolidinium imides: A new family of molten salts and conductive plastic crystal phases. J. Phys. Chem. B 1999, 103, 4164–4170. [Google Scholar] [CrossRef]
- Welton, T. Room-temperature ionic liquids. solvents for synthesis and catalysis. Chem. Rev. 1999, 99, 2071–2083. [Google Scholar] [CrossRef]
- Fremantle, M. Designer solvents-ionic liquids may boost clean technology development. Chem. Eng. News 1998, 76, 32–37. [Google Scholar] [CrossRef]
- Kim, H.S.; Kim, K.Y.; Lee, C.; Chin, C.S. Ionic liquids containing anionic selenium species: Applications for the oxidative carbonylation of aniline. Angew. Chem. Int. Ed. 2002, 41, 4300. [Google Scholar] [CrossRef]
- Olivier-Bourbigou, H.; Magna, L.; Morvan, D. Ionic liquids and catalysis: Recent progress from knowledge to applications. Appl. Catal. A Gen. 2010, 373, 1–56. [Google Scholar] [CrossRef]
- Ranke, J.; Stolte, S.; Störmann, R.; Arning, J.; Jastorff, B. Design of sustainable chemical products—The example of ionic liquids. Chem. Rev. 2007, 107, 2183–2206. [Google Scholar] [CrossRef]
- Frade, R.F.M.; Afonso, C.A.M. Impact of ionic liquids in environment and humans: An overview. Hum. Exp. Toxicol. 2010, 29, 1038–1054. [Google Scholar] [CrossRef]
- Heckenbach, M.E.; Romero, F.N.; Green, M.D.; Halden, R.U. Meta-analysis of ionic liquid literature and toxicology. Chemosphere 2016, 150, 266–274. [Google Scholar] [CrossRef]
- Flieger, J.; Flieger, M. Ionic liquids toxicity—Benefits and threats. Int. J. Mol. Sci. 2020, 21, 6267. [Google Scholar] [CrossRef] [PubMed]
- Wasserscheid, P.; Keim, W. Ionic liquids new solution for transition metal catalysis. Angew. Chem. Int. Ed. 2000, 39, 3773–3789. [Google Scholar] [CrossRef]
- Sheldon, R. Catalytic reactions in ionic liquids. Chem. Commun. 2001, 23, 2399–2407. [Google Scholar] [CrossRef]
- Dean, P.M.; Pringle, J.M.; MacFarlane, D.R. Structural analysis of low melting organic salts: Perspectives on ionic liquids. Phys. Chem. Chem. Phys. 2010, 12, 9144–9153. [Google Scholar] [CrossRef] [PubMed]
- Zein El Abedin, S.; Endres, F. Electrodeposition of metals and semiconductors in air- and water-stable ionic liquids. ChemPhysChem 2006, 7, 58–61. [Google Scholar] [CrossRef]
- Kuchenbuch, A.; Giernoth, R. Ionic liquids beyond simple solvents: Glimpses at the state of the art in organic chemistry. ChemistryOpen 2015, 4, 677–681. [Google Scholar] [CrossRef]
- Armand, M.; Endres, F.; MacFarlane, D.R.; Ohno, H.; Scrosati, B. Ionic-liquid materials for the electrochemical challenges of the future. Nat. Mater. 2009, 8, 621–629. [Google Scholar] [CrossRef] [PubMed]
- MacFarlane, D.R.; Tachikawa, N.; Forsyth, M.; Pringle, J.M.; Howlett, P.C.; Elliott, G.D.; Davis, J.H.; Watanabe, M.; Simon, P.; Angell, C.A. Energy applications of ionic liquids. Energy Environ. Sci. 2014, 7, 232–250. [Google Scholar] [CrossRef]
- Sanchez, P.B.; Curras, M.R.; Mato, M.M.; Salgado, J.; Garcia, J. Density and viscosity study of pyridinium based ionic liquids as potential absorbents for natural refrigerants: Experimental and modelling. Fluid Phase Equilib. 2015, 405, 37–45. [Google Scholar] [CrossRef]
- Lee, S.H.; Doan, T.T.N.; Ha, S.H.; Chang, W.-J.; Koo, Y.-M. Influence of ionic liquids as additives on sol−gel immobilized lipase. J. Mol. Catal. B Enzym. 2007, 47, 129–134. [Google Scholar] [CrossRef]
- Attri, P.; Venkatesu, P.; Kumar, A. Activity and stability of alpha-chymotrypsin in biocompatible ionic liquids: Enzyme refolding by triethyl ammonium acetate. Phys. Chem. Chem. Phys. 2011, 13, 2788–2796. [Google Scholar] [CrossRef]
- Zhou, F.; Liang, Y.; Liu, W. Ionic liquid lubricants: Designed chemistry for engineering applications. Chem. Soc. Rev. 2009, 38, 2590–2599. [Google Scholar] [CrossRef]
- Shamshina, J.L.; Kelley, S.P.; Gurau, G.; Rogers, R.D. Develop ionic liquid drugs. Nature 2015, 528, 188–189. [Google Scholar] [CrossRef]
- Egorova, K.S.; Gordeev, E.G.; Ananikov, V.P. Biological activity of ionic liquids and their application in pharmaceutics and medicine. Chem. Rev. 2017, 117, 7132–7189. [Google Scholar] [CrossRef]
- Shamshina, J.L.; Rogers, R.D. Ionic liquids: New forms of active pharmaceutical ingredients with unique, tunable properties. Chem. Rev. 2023, 123, 11894–11953. [Google Scholar] [CrossRef]
- Earle, M.J.; Seddon, K.R.; McCormac, P.B. The first high yield green route to a pharmaceutical in a room temperature ionic liquid. Green Chem. 2000, 2, 261–262. [Google Scholar] [CrossRef]
- Hongwei, Y.; Jinchuan, W.; Chi Bun, C. Kinetic resolution of ibuprofen catalyzed by Candida rugosa lipase in ionic liquids. Chirality 2005, 17, 16–21. [Google Scholar] [CrossRef] [PubMed]
- Naik, P.U.; Harjani, J.R.; Nara, S.J.; Salunkhe, M.M. Ionic liquid enabled sulfamoylation of arenes: An ambient, expeditious and regioselective protocol for aryl sulfonamides. Tetrahedron Lett. 2004, 45, 1933–1936. [Google Scholar] [CrossRef]
- Siódmiak, T.; Marszall, M.P.; Proszowska, A. Ionic liquids: A new strategy in pharmaceutical synthesis. Mini-Rev. Org. Chem. 2012, 9, 203–208. [Google Scholar] [CrossRef]
- van Rantwijk, F.; Sheldon, R.A. Biocatalysis in ionic liquids. Chem. Rev. 2007, 107, 2757–2785. [Google Scholar] [CrossRef]
- Constable, D.J.C.; Jiménez-González, C.; Henderson, R.K. Perspective on solvent use in the pharmaceutical industry. Org. Process Res. Dev. 2007, 11, 133. [Google Scholar] [CrossRef]
- Hough, W.L.; Rogers, R.D. Ionic liquids then and now: From solvents to materials to active pharmaceutical ingredients. Bull. Chem. Soc. Jpn. 2007, 80, 2262–2269. [Google Scholar] [CrossRef]
- Hough, W.L.; Smiglak, M.; Rodríguez, H.; Swatloski, R.P.; Spear, S.K.; Daly, D.T.; Pernak, J.; Grisel, J.E.; Carliss, R.D.; Soutullo, M.D.; et al. The third evolution of ionic liquids: Active pharmaceutical ingredients. New J. Chem. 2007, 31, 1429–1436. [Google Scholar] [CrossRef]
- Rodríguez, H.; Bica, K.; Rogers, R.D. Ionic liquid technology: A potential new platform for the pharmaceutical industry. Trop. J. Pharm. Res. Sept. 2008, 7, 1011–1012. [Google Scholar]
- Ferraz, R.; Branco, L.C.; Prudencio, C.; Noronha, J.P.; Petrovski, Z. Ionic liquids as active pharmaceutical ingredients. ChemMedChem 2011, 6, 975–985. [Google Scholar] [CrossRef]
- Hu, Y.; Xing, Y.; Yue, H.; Chen, T.; Diao, Y.; Wei, W.; Zhang, S. Ionic liquids revolutionizing biomedicine: Recent advances and emerging opportunities. Chem. Soc. Rev. 2023, 52, 7262–7293. [Google Scholar] [CrossRef] [PubMed]
- Tornero, B.; Fernández-Stefanuto, V.; Tojo, E.; Besada, P.; Terán, C. Development of novel API-ILs for the optimization of anti-Alzheimer drugs. In Proceedings of the 22nd International Electronic Conference on Synthetic Organic Chemistry (ECSOC-22), Online, 15 November–15 December 2018; Volume 9, p. 47. [Google Scholar] [CrossRef]
- Shamshina, J.L.; Barber, P.S.; Rogers, R.D. Ionic liquids in drug delivery. Expert Opin. Drug Deliv. 2013, 10, 1367–1381. [Google Scholar] [CrossRef]
- Ravimoorthy, R.; Pottail, L.; Sharma, S.C. Ionic liquids-based extraction of natural products from plants-An overview. J. Mol. Liq. 2025, 425, 127226. [Google Scholar] [CrossRef]
- Henkel, T.; Brunne, R.M.; Müller, H.; Reichel, F. Statistical investigation into the structural complementarity of natural products and synthetic compounds. Angew. Chem. Int. Ed. 1999, 38, 643–647. [Google Scholar] [CrossRef]
- Subhawa, S.; Chewonarin, T.; Banjerdpongchai, R. The Effects of Houttuynia cordata Thunb and Piper ribesioides wall Extracts on breast carcinoma cell proliferation, migration, invasion and apoptosis. Molecules 2020, 25, 1196. [Google Scholar] [CrossRef]
- Zhao, J.; Li, Y.; Liu, Q.; Gao, K. Antimicrobial activities of some thymol derivatives from the roots of Inula hupehensis. Food Chem. 2010, 120, 512–516. [Google Scholar] [CrossRef]
- Wang, C.; Zhang, X.; Wei, P.; Cheng, X.; Ren, J.; Yan, S.; Zhang, W.; Jin, H. Chemical constituents from Inula wissmanniana and their anti-inflammatory activities. Arch. Pharm. Res. 2013, 36, 1516–1524. [Google Scholar] [CrossRef] [PubMed]
- Pudziuvelyte, L.; Liaudanskas, M.; Jekabsone, A.; Sadauskiene, I.; Bernatoniene, J. Elsholtzia ciliata (Thunb.) Hyl. Extracts from different plant parts: Phenolic composition, antioxidant, and anti-inflammatory activities. Molecules 2020, 25, 1153. [Google Scholar] [CrossRef]
- Ferreira, A.; Rodrigues, M.; Fortuna, A.; Falcão, A.; Alves, G. Huperzine A from Huperzia serrata: A review of its sources, chemistry, pharmacology and toxicology. Phytochem. Rev. 2014, 15, 51–85. [Google Scholar] [CrossRef]
- Zhang, L.; Song, J.; Kong, L.; Yuan, T.; Li, W.; Zhang, W.; Hou, B.; Lu, Y.; Du, G. The strategies and techniques of drug discovery from natural products. Pharmacol. Ther. 2020, 216, 107286. [Google Scholar] [CrossRef] [PubMed]
- Lipinski, C.A.; Lombardo, F.; Dominy, B.W.; Feeney, P.J. Experimental and computational approaches to estimate solubility and permeability in drug discovery and development settings. Adv. Drug Deliv. Rev. 2001, 46, 3–26. [Google Scholar] [CrossRef] [PubMed]
- DeCorte, B.L. Underexplored opportunities for natural products in drug discovery. J. Med. Chem. 2016, 59, 9295–9304. [Google Scholar] [CrossRef] [PubMed]
- Chism, C.M.; Plash, S.; Zuckerman, D.; Dasanayake, G.S.; Bennett, M.; Tripathi, S.K.; Pedigo, S.D.; Tanner, E.E.L. Antimicrobial effects of anion manipulation with biocompatible choline carboxylic acid-based ionic liquids. ACS Appl. Eng. Mater. 2023, 1, 23–31. [Google Scholar] [CrossRef]
- Ibsen, K.N.; Ma, H.; Banerjee, A.; Tanner, E.E.L.; Nangia, S.; Mitragotri, S. Mechanism of antibacterial activity of choline-based ionic liquids (CAGE). ACS Biomater. Sci. Eng. 2018, 4, 2370–2379. [Google Scholar] [CrossRef]
- Toledo Hijo, A.A.C.; Meirelles, A.A.D.; Maximo, G.J.; Cunha, R.L.; Cristianini, M.; Leite, T.S.; Pereira, J.F.B.; Meirelles, A. Synergetic application of ionic liquids as new naturally based antimicrobial preservatives and emulsifiers. ACS Sustain. Chem. Eng. 2022, 10, 15017–15024. [Google Scholar] [CrossRef]
- Bica, K.; Rijksen, C.; Nieuwenhuyzena, M.; Rogers, R.D. In search of pure liquid salt forms of aspirin: Ionic liquid approaches with acetylsalicylic acid and salicylic acid. Phys. Chem. Chem. Phys. 2010, 12, 2011–2017. [Google Scholar] [CrossRef]
- Pinto, P.C.A.G.; Ribeiro, D.M.G.P.; Azevedo, A.M.O.; Dela Justina, V.; Cunha, E.; Bica, K.; Vasiliuo, M.; Reis, S.; Saraiva, M.L.M.F.S. Active pharmaceutical ingredients based on salicylate ionic liquids: Insights into the evaluation of pharmaceutical profiles. New J. Chem. 2013, 37, 4095–4102. [Google Scholar] [CrossRef]
- Marrucho, I.M.; Branco, L.C.; Rebelo, L.P.N. Ionic liquids in pharmaceutical applications. Annu. Rev. Chem. Biomol. Eng. 2014, 5, 527–546. [Google Scholar] [CrossRef] [PubMed]
- Gomes, J.M.; Silva, S.S.; Fernandes, E.M.; Lobo, F.C.M.; Martín-Pastor, M.; Taboada, P.; Reis, R.L. Silk fibroin/cholinium gallate-based architectures as therapeutic tools. Acta Biomater. 2022, 147, 168–184. [Google Scholar] [CrossRef]
- Chen, L.; Mullen, G.E.; Le Roch, M.; Cassity, G.C.; Gouault, N.; Fadamiro, H.Y.; Barletta, R.E.; O’Brien, R.A.; Sykora, R.E.; Stenson, A.C.; et al. On the formation of a protic ionic liquid in nature. Angew. Chem. Int. Ed. 2014, 53, 11762–11765. [Google Scholar] [CrossRef]
- Imperato, G.; König, B.; Chiappe, C. Ionic green solvents from renewable resources. Eur. J. Org. Chem. 2007, 2007, 1049–1058. [Google Scholar] [CrossRef]
- Chiappe, C.; Marra, A.; Mele, A. Synthesis and applications of ionic liquids derived from natural sugars. In Carbohydrates in Sustainable Development II.; Rauter, A., Vogel, P., Queneau, Y., Eds.; Topics in Current Chemistry; Springer: Berlin/Heidelberg, Germany, 2010; Volume 295. [Google Scholar] [CrossRef]
- Ohno, H. Synthesis of ionic liquids originated from natural products. In Application of Ionic Liquids in Biotechnology; Itoh, T., Koo, Y.M., Eds.; Advances in Biochemical Engineering/Biotechnology; Springer: Cham, Switzerland, 2018; Volume 168. [Google Scholar] [CrossRef]
- Moshikur, R.M.; Chowdhury, M.R.; Moniruzzaman, M.; Goto, M. Biocompatible ionic liquids and their applications in pharmaceutics. Green Chem. 2020, 22, 8116–8139. [Google Scholar] [CrossRef]
- Costa, J.M.; Foster-Carneiro, T.; Hallett, J.P. Progress in the applications of biocompatible ionic liquids: Renewable commodity production, catalytic and pharmaceutical approaches—A review. Green Chem. 2024, 26, 705–719. [Google Scholar] [CrossRef]
- Zullo, V.; Iuliano, A.; Guazzelli, L. Sugar-based ionic liquids: Multifaceted challenges and intriguing potential. Molecules 2021, 26, 2052. [Google Scholar] [CrossRef]
- Khorasania, F.; Ranjbar-Karimi, R.; Marra, A. Recent advances in the synthesis and applications of ionic liquids derived from natural products. Synthesis 2024, 56, 3519–3542. [Google Scholar] [CrossRef]
- Gaida, B.; Brzęczek-Szafran, A. Insights into the properties and potential applications of renewable carbohydrate-based ionic liquids: A review. Molecules 2020, 25, 3285. [Google Scholar] [CrossRef] [PubMed]
- Gomes, J.M.; Silva, S.S.; Reis, R.L. Biocompatible ionic liquids: Fundamental behaviours and applications. Chem. Soc. Rev. 2019, 48, 4317–4335. [Google Scholar] [CrossRef]
- Kiokias, S.; Oreopoulou, V. A review of the health protective effects of phenolic acids against a range of severe pathologic conditions (including coronavirus-based infections). Molecules 2021, 26, 5405. [Google Scholar] [CrossRef]
- Dai, Y.; van Spronsen, J.; Witkamp, G.-J.; Verpoorte, R.; Choi, Y.H. Ionic liquids and deep eutectic solvents in natural products research: Mixtures of solids as extraction solvents. J. Nat. Prod. 2013, 76, 2162–2173. [Google Scholar] [CrossRef] [PubMed]
- Binnemans, K.; Jones, P.T. Ionic liquids and deep-eutectic solvents in extractive metallurgy: Mismatch between academic research and industrial applicability. J. Sustain. Metall. 2023, 9, 423–438. [Google Scholar] [CrossRef]
- Santos, J.I.; Gonçalves, A.M.M.; Pereira, J.L.; Figueiredo, B.F.H.T.; Silva, F.A.; Coutinho, J.A.P.; Ventura, S.P.M.; Gonçalves, F. Environmental safety of cholinium-based ionic liquids: Assessing structure-ecotoxicity relationships. Green Chem. 2015, 17, 4657. [Google Scholar] [CrossRef]
- Pernak, J.; Łęgosz, B.; Walkiewicz, F.; Klejdysz, T.; Borkowskic, A.; Chrzanowski, Ł. Ammonium ionic liquids with anions of natural origin. RSC Adv. 2015, 5, 65471–65480. [Google Scholar] [CrossRef]
- Koutsoukos, S.; Becker, J.; Dobre, A.; Fan, Z.; Othman, F.; Philippi, F.; Smith, G.J.; Welton, T. Synthesis of aprotic ionic liquids. Nat. Rev. Methods Primers 2022, 2, 49. [Google Scholar] [CrossRef]
- Cai, D.-N.; Huang, K.; Chen, Y.-L.; Hu, X.-B.; Wu, Y.-T. Systematic study on the general preparation of ionic liquids with high purity via hydroxide intermediates. Ind. Eng. Chem. Res. 2014, 53, 6871–6880. [Google Scholar] [CrossRef]
- Fabris, M.; Lucchini, V.; Noè, M.; Perosa, A.; Selva, M. Ionic liquids made with dimethyl carbonate: Solvents as well as boosted basic catalysts for the Michael reaction. Chem. Eur. J. 2009, 15, 12273–12282. [Google Scholar] [CrossRef]
- Guan, W.; Ma, X.X.; Li, L.; Tong, J.; Fang, D.W.; Yang, J.Z. Ionic Parachor and Its Application in Acetic Acid Ionic Liquids Homologue of 1-Alkyl-3-methylimidazolium Acetate {[Cnmim][OAc](n = 2, 3, 4, 5, 6)}. J. Phys. Chem. B 2011, 115, 12915. [Google Scholar] [CrossRef] [PubMed]
- Silva, A.T.; Lobo, L.; Oliveira, I.S.; Gomes, J.; Teixeira, C.; Nogueira, F.; Marques, E.F.; Ferraz, R.; Gomes, P. Building on surface-active ionic liquids for the rescuing of the antimalarial drug chloroquine. Int. J. Mol. Sci. 2020, 21, 5334. [Google Scholar] [CrossRef] [PubMed]
- Stoimenovski, J.; Izgorodina, E.I.; MacFarlane, D.R. Ionicity and proton transfer in protic ionic liquids. Phys. Chem. Chem. Phys. 2010, 12, 10341–10347. [Google Scholar] [CrossRef]
- Geoffrey, L.; Burrell, G.L.; Burgar, I.M.; Separovic, F.; Dunlop, N.F. Preparation of protic ionic liquids with minimal water content and 15 N NMR study of proton transfer. Phys. Chem. Chem. Phys. 2010, 12, 1571–1577. [Google Scholar] [CrossRef]
- Petkovic, M.; Ferguson, J.L.; Nimal Gunaratne, H.Q.; Ferreira, R.; Leitão, M.C.; Seddon, K.R.; Rebelo, N.P.L.; Silva Pereira, C. Novel biocompatible cholinium-based ionic liquids—Toxicity and biodegradability. Green Chem. 2010, 12, 643–649. [Google Scholar] [CrossRef]
- Stolte, S.; Steudte, S.; Areitioaurtena, O.; Pagano, F.; Thöming, J.; Stepnowski, P.; Igartua, A. Ionic liquids as lubricants or lubrication additives: An ecotoxicity and biodegradability assessment. Chemosphere 2012, 89, 1135–1141. [Google Scholar] [CrossRef]
- Ali, M.K.; Moshikur, R.M.; Wakabayashi, R.; Tahara, Y.; Moniruzzaman, M.; Kamiya, N.; Goto, M. Synthesis and characterization of choline-fatty-acid-based ionic liquids: A new biocompatible surfactant. J. Colloid Interface Sci. 2019, 551, 72–80. [Google Scholar] [CrossRef] [PubMed]
- Ventura, S.P.M.; Silva, F.A.; Gonçalves, A.M.M.; Pereira, J.L.; Gonçalves, F.; Coutinho, J.A.P. Ecotoxicity analysis of cholinium-based ionic liquids to Vibrio fischeri marine bacteria. Ecotoxycol. Environ. Saf. 2014, 102, 48–54. [Google Scholar] [CrossRef]
- Gundolf, T.; Weyhing-Zerrer, N.; Sommer, J.; Kalb, R.; Schoder, D.; Rossmanith, P.; Mester, P. Biological impact of ionic liquids based on sustainable fatty acid anions examined with a tripartite test system. ACS Sustain. Chem. Eng. 2019, 7, 15865–15873. [Google Scholar] [CrossRef]
- Toledo Hijo, A.A.C.; Barros, H.D.F.Q.; Maximo, G.J.; Cazarin, C.B.B.; da Costa, L.B.E.; Pereira, J.F.B.; Maróstica, M.R., Jr.; Meirelles, A.J.A. Subacute toxicity assessment of biobased ionic liquids in rats. Food Res. Int. 2020, 134, 109125. [Google Scholar] [CrossRef]
- Toledo Hijo, A.A.C.; Maximo, G.J.; Costas, M.C.; Cunha, R.L.; Pereira, J.F.B.; Kurnia, K.A.; Batista, E.A.C.; Meirelles, A.J.A. Phase behavior and physical properties of new biobased ionic liquid crystals. J. Phys. Chem. B 2017, 121, 3177–3189. [Google Scholar] [CrossRef] [PubMed]
- Tomé, L.C.; Silva, N.H.C.S.; Soares, H.R.; Coroadinha, A.S.; Sadocco, P.; Marrucho, I.M.; Freire, C.S.R. Bioactive transparent films based on polysaccharides and cholinium carboxylate ionic liquids. Green Chem. 2015, 17, 4291–4299. [Google Scholar] [CrossRef]
- Panić, J.J.; Saletović, M.; Rakić, M.; Čapelja, E.; Janković, N.Ž.; Papović, S.M.; Vraneš, M.B. Biocompatible tetrabutylphosphonium-based ionic liquids with medium-chain fatty acids as anions: Thermo-physical and antimicrobial profile. J. Mol. Liq. 2024, 399, 124420. [Google Scholar] [CrossRef]
- Wang, Z.; Zhang, J.; Lu, B.; Li, Y.; Liang, Y.; Yuan, J.; Zhao, M.; Wang, B.; Mai, C.; Zhang, J. Novel bio-renewable matrinium-based ionic liquids derived from chinese herb medicine: Synthesis, physicochemical properties and biological activity. J. Mol. Liq. 2019, 296, 111822. [Google Scholar] [CrossRef]
- Wang, H.; Du, Y.; Wang, Z.; Yu, W.; Zhang, L.; Wu, C.; Wang, M.; Zhang, J. Preparation of eco-friendly composite food packaging films based on gelatin and a matrine coconut acids ionic liquid. New J. Chem. 2021, 45, 17222–17231. [Google Scholar] [CrossRef]
- Liu, T.; Zhang, J.; Lu, B.; Wang, H.; Zhan, J.; Tan, X.; Wu, C.; Liu, S.; Wang, Z.; Zhang, J.; et al. Highly efficient conotoxin delivery enabled by a bio-derived ionic liquid. J. Mol. Liq. 2022, 367, 120529. [Google Scholar] [CrossRef]
- Muhammad, N.; Hossain, M.I.; Man, Z.; El-Harbawi, M.; Bustam, M.A.; Noaman, Y.A.; Alitheen, N.B.M.; Ng, M.K.; Hefter, G.; Yin, C.-Y. Synthesis and physical properties of choline carboxylate ionic liquids. J. Chem. Eng. Data 2012, 57, 2191–2196. [Google Scholar] [CrossRef]
- Zhang, Y.; Zhang, X.; Zhang, J.; Fang, D.; Liu, X.; Wei, J. Influence of the molecular structure on physicochemical properties of choline carboxylate ionic liquids: A combined experimental and theoretical study. Chem. Phys. 2026, 601, 112962. [Google Scholar] [CrossRef]
- Gusain, R.; Khatri, O.P. Fatty acid ionic liquids as environmentally friendly lubricants for low friction and wear. RSC Adv. 2016, 6, 3462–3469. [Google Scholar] [CrossRef]
- Rocha, M.A.A.; van den Bruinhorst, A.; Schröer, W.; Rathke, B.; Kroon, M.C. Physicochemical properties of fatty acid based ionic liquids. J. Chem. Thermodyn. 2016, 100, 156–164. [Google Scholar] [CrossRef]
- Heidari, S.; Torabifard, H. Investigating the properties of fatty acid-based ionic liquids: Advancement in AMOEBA force field. Phys. Chem. Chem. Phys. 2024, 26, 29502–29511. [Google Scholar] [CrossRef] [PubMed]
- Vieira Olivieri, G.; Sarem da Cunha, C.; dos Santos Martins, L.; Ainis, M.; Paegle, P.; Dias Nuncio, S.; de Araujo Morandim-Giannetti, A.; Belchior Torres, R. Thermodynamic and spectroscopic study of binary mixtures of n-butylammonium oleate ionic liquid + alcohol at T = 288.15–308.15 K. J. Therm. Anal. Calorim. 2018, 131, 2925–2942. [Google Scholar] [CrossRef]
- Jolley, H.M.; Torneck, C.D.; Siegel, I. A topical choline salicylate gel for control of pain and inflammation in oral conditions—A controlled study. J. Can. Dent. Assoc. 1972, 38, 72–74. [Google Scholar] [PubMed]
- Bagby, R.S.; Lorz, E. Process for the Preparation of Choline Salicylate. Patent US 3141035 A, 14 July 1964. [Google Scholar]
- Sintra, T.E.; Luís, A.; Rocha, S.N.; Lobo Ferreira, A.I.M.C.; Gonçalves, F.; Santos, L.M.N.B.F.; Neves, B.M.; Freire, M.G.; Ventura, S.P.M.; Coutinho, J.A.P. Enhancing the antioxidant characteristics of phenolic acids by their conversion into cholinium salts. ACS Sustain. Chem. Eng. 2015, 3, 2558–2565. [Google Scholar] [CrossRef] [PubMed]
- Morais, E.S.; Silva, N.H.C.S.; Sintra, T.E.; Santos, S.A.O.; Neves, B.M.; Almeida, I.F.; Costa, P.C.; Correia-Sád, I.; Ventura, S.P.M.; Silvestre, A.J.D.; et al. Anti-inflammatory and antioxidant nanostructured cellulose membranes loaded with phenolic-based ionic liquids for cutaneous application. Carbohydr. Polym. 2019, 206, 187–197. [Google Scholar] [CrossRef]
- Czerniak, K.; Biedziak, A.; Krawczyk, K.; Pernak, J. Synthesis and properties of gallate ionic liquids. Tetrehedron 2016, 72, 7409–7416. [Google Scholar] [CrossRef]
- Czerniak, K.; Walkiewicz, F. Synthesis and antioxidant properties of dicationic ionic liquids. New J. Chem. 2017, 41, 530–539. [Google Scholar] [CrossRef]
- Steudte, S.; Bemowsky, S.; Mahrova, M.; Bottin-Weber, U.; Tojo-Suarez, E.; Stepnowski, P.; Stolte, S. Toxicity and biodegradability of dicationic ionic liquids. RSC Adv. 2014, 4, 5198–5205. [Google Scholar] [CrossRef]
- Vraneš, M.B.; Panić, J.J.; Tot, A.S.; Ostojić, S.M.; Ćetojević-Simin, D.D.; Janković, N.Ź.; Gadžurić, S.B. Synthesis and thermophysical characterization of new biologically friendly agmatine-based ionic liquids and salts by experimental and computational approach. ACS Sustain. Chem. Eng. 2019, 7, 10773–10783. [Google Scholar] [CrossRef]
- Ahmad, N.A.; Jumbri, K.; Ramli, A.; Ghani, N.A.; Ahmad, H.; Kassim, M.A. Synthesis, characterisation and antioxidant properties of ferulate-based protic ionic liquids: Experimental and modelling approaches. J. Mol. Liq. 2019, 278, 309–319. [Google Scholar] [CrossRef]
- Demurtas, M.; Onnis, V.; Zucca, P.; Rescigno, A.; Lachowicz, J.I.; De Villiers Engelbrecht, L.; Nieddu, M.; Ennas, G.; Scano, A.; Mocci, F.; et al. Cholinium-based ionic liquids from hydroxycinnamic acids as new promising bioactive agents: A combined experimental and theoretical investigation. ACS Sustain. Chem. Eng. 2021, 9, 2975–2986. [Google Scholar] [CrossRef]
- Ferraz, R.; Noronha, J.; Murtinheira, F.; Nogueira, F.; Machado, M.; Prudȇncio, M.; Parapini, S.; D’Alessandro, S.; Teixeira, C.; Gomes, A.; et al. Primaquine-based ionic liquids as a novel class of antimalarial hits. RSC Adv. 2016, 6, 56134–56138. [Google Scholar] [CrossRef]
- Pérez, B.C.; Teixeira, C.; Albuquerque, I.S.; Gut, J.; Rosenthal, P.J.; Gomes, J.R.B.; Prudêncio, M.; Gomes, P. N-Cinnamoylated chloroquine analogues as dual-stage antimalarial leads. J. Med. Chem. 2013, 56, 556–567. [Google Scholar] [CrossRef]
- Ferraz, R.; Pinheiro, M.; Gomes, A.; Teixeira, C.; Prudêncio, C.; Reis, S.; Gomes, P. Effects of novel triple-stage antimalarial ionic liquids on lipid membrane models. Bioorg. Med. Chem. Lett. 2017, 27, 4190–4193. [Google Scholar] [CrossRef]
- Kornhauser, A.; Coelho, S.G.; Hearing, V.J. Applications of hydroxy acids: Classification, mechanisms, and photoactivity. Clin. Cosmet. Investig. Dermatol. 2010, 3, 135–142. [Google Scholar] [CrossRef]
- Choińska, R.; Dąbrowska, K.; Świsłocka, R.; Lewandowski, W.; Świergiel, A.H. Antimicrobial properties of mandelic acid, gallic acid and their derivatives. Mini Rev. Med. Chem. 2021, 21, 2544–2550. [Google Scholar] [CrossRef]
- El Sakka, N.; Gould, I.M. Role of old antimicrobial agents in the management of urinary tract infection. Expert Rev. Clin. Pharmacol. 2016, 9, 1047–1056. [Google Scholar] [CrossRef]
- Cybulski, J.; Wiśniewska, A.; Kulig-Adamiak, A.; Dąbrowski, Z.; Praczyk, T.; Michalczyk, A.; Walkiewicz, F.; Materna, K.; Pernak, J. Mandelate and prolinate ionic liquids: Synthesis, characterization, catalytic and biological activity. Tetrahedron Lett. 2011, 52, 1325–1328. [Google Scholar] [CrossRef]
- Wiśniewska, A.; Lipiński, P.F.J.; Woźniak, K.; Sanjuan-Szklarz, F.W.; Cieniecka-Rosłonkiewicz, A.; Michalczyk, A.; Da̧browski, Z.; Kulig-Adamiak, A.; Matalińska, J.; Leś, A.; et al. Synthesis and antimicrobial properties of new mandelate ionic liquids. Acta Pol. Pharm. Drug Des. 2016, 73, 705–715. [Google Scholar]
- Rzemieniecki, T.; Gwiazdowska, D.; Rybak, K.; Materna, K.; Juś, K.; Pernak, J. Synthesis, properties, and antimicrobial activity of 1-alkyl-4-hydroxy-1-methylpiperidinium ionic liquids with mandelate anion. ACS Sustain. Chem. Eng. 2019, 7, 15053–15063. [Google Scholar] [CrossRef]
- Markiewicz, B.; Sznajdrowska, A.; Chrzanowski, Ł.; Ławniczak, Ł.; Zgoła-Grzes´kowiak, A.; Kubiak, K.; Nawrotband, J.; Pernak, J. Ionic liquids with a theophyllinate anion. New J. Chem. 2014, 38, 3146. [Google Scholar] [CrossRef]
- Pernak, J.; Rzemieniecki, T.; Klejdysz, T.; Qu, F.; Rogers, R.D. Conversion of quinine derivatives into biologically active ionic liquids: Advantages, multifunctionality, and perspectives. ACS Sustain. Chem. Eng. 2020, 8, 9263–9267. [Google Scholar] [CrossRef]
- Güntzel, P.; Schilling, K.; Hanio, S.; Schlauersbach, J.; Schollmayer, C.; Meinel, L.; Holzgrabe, U. Bioinspired ion pairs transforming papaverine into a protic ionic liquid and salts. ACS Omega 2020, 5, 19202–19209. [Google Scholar] [CrossRef] [PubMed]
- Fang, X.; Ma, R.; Xu, Y.; Guan, S. Investigation on the formation mechanism and antibacterial activity of novel citric acid-based ionic liquids applied in the food field. LWT 2025, 224, 117884. [Google Scholar] [CrossRef]
- Yogeeswari, P.; Sriram, D. Betulinic acid and its derivatives: A review on their biological properties. Curr. Med. Chem. 2005, 12, 657–666. [Google Scholar] [CrossRef] [PubMed]
- Zhao, H.; Holmes, S.S.; Baker, G.A.; Challa, S.; Bose, H.S.; Song, Z. Ionic derivatives of betulinic acid as novel HIV-1 protease inhibitors. J. Enzym. Inhib. Med. Chem. 2012, 27, 715–721. [Google Scholar] [CrossRef]
- Suresh, C.; Zhao, H.; Gumbs, A.; Chetty, C.S.; Bose, H.S. New ionic derivatives of betulinic acid as highly potent anti-cancer agents. Bioorg. Med. Chem. Lett. 2012, 22, 1734–1738. [Google Scholar] [CrossRef]
- Silva, A.T.; Cerqueira, M.J.; Prudêncio, C.; Fernandes, M.H.; Costa-Rodrigues, J.; Teixeira, C.; Gomes, P.; Ferraz, R. Antiproliferative organic salts derived from betulinic acid: Disclosure of an ionic liquid selective against lung and liver cancer cells. ACS Omega 2019, 4, 5682–5689. [Google Scholar] [CrossRef]
- Czerniak, K. Antioxidant properties of ionic liquids based on vitamin C. Chemik 2016, 70, 521–526. [Google Scholar]






















| Type of IL | Structural Characteristics | Physicochemical Properties |
|---|---|---|
| FAILs | Aliphatic anions with high conformational mobility and reduced packing efficiency. Cations include choline or simple ammonium species. | Low melting points (26–80 °C). Very low Tg (down to −74 °C). Thermal stability Td: 166–210 °C. Moderate solubility and amphiphilic behavior. Viscosity dependent on alkyl-chain length. Additional thermophysical properties (ρ, γ, σ, VM) vary systematically with anion size. |
| Phenolic acid-based ILs | Aromatic anions capable of extensive hydrogen bonding. | Broad thermal behavior: from RTILs to solids with higher melting points. Tg (13–19 °C). Thermal stability Td: 150–308 °C. High water solubility (especially cholinium salts). |
| Hydroxy acid-based ILs | Polyfunctional anions with multiple OH groups and, in some cases, chirality or chelating capability. | Tg: −51–50 °C. Tm: 40–90 °C. Td: 120–286 °C. High solubility, predominantly amorphous. |
| PILs vs. non-PILs | PILs: Cations derived from amines or alkaloids. | PILs: Lower thermal stability and enhanced amorphicity due to extensive H-bonding. |
| Non-PILs: Quaternary ammonium or phosphonium cations. | Non-PILs: Higher thermal stability, defined phase transitions and rigid ion-pair organization. |
Disclaimer/Publisher’s Note: The statements, opinions and data contained in all publications are solely those of the individual author(s) and contributor(s) and not of MDPI and/or the editor(s). MDPI and/or the editor(s) disclaim responsibility for any injury to people or property resulting from any ideas, methods, instructions or products referred to in the content. |
© 2026 by the authors. Licensee MDPI, Basel, Switzerland. This article is an open access article distributed under the terms and conditions of the Creative Commons Attribution (CC BY) license.
Share and Cite
Terán, C.; Mato, M.M.; Besada, P. Biological Potential and Physicochemical Properties of Ionic Liquids Bioinspired by Carboxylic Acids: A Review. Pharmaceuticals 2026, 19, 570. https://doi.org/10.3390/ph19040570
Terán C, Mato MM, Besada P. Biological Potential and Physicochemical Properties of Ionic Liquids Bioinspired by Carboxylic Acids: A Review. Pharmaceuticals. 2026; 19(4):570. https://doi.org/10.3390/ph19040570
Chicago/Turabian StyleTerán, Carmen, Marta María Mato, and Pedro Besada. 2026. "Biological Potential and Physicochemical Properties of Ionic Liquids Bioinspired by Carboxylic Acids: A Review" Pharmaceuticals 19, no. 4: 570. https://doi.org/10.3390/ph19040570
APA StyleTerán, C., Mato, M. M., & Besada, P. (2026). Biological Potential and Physicochemical Properties of Ionic Liquids Bioinspired by Carboxylic Acids: A Review. Pharmaceuticals, 19(4), 570. https://doi.org/10.3390/ph19040570

