Multi-Residue Determination and Risk Assessment of EU-Relevant Pharmaceuticals, Pesticides, and UV-Filters in Drinking Water
Abstract
1. Introduction
2. Results and Discussion
2.1. SPE Optimisation
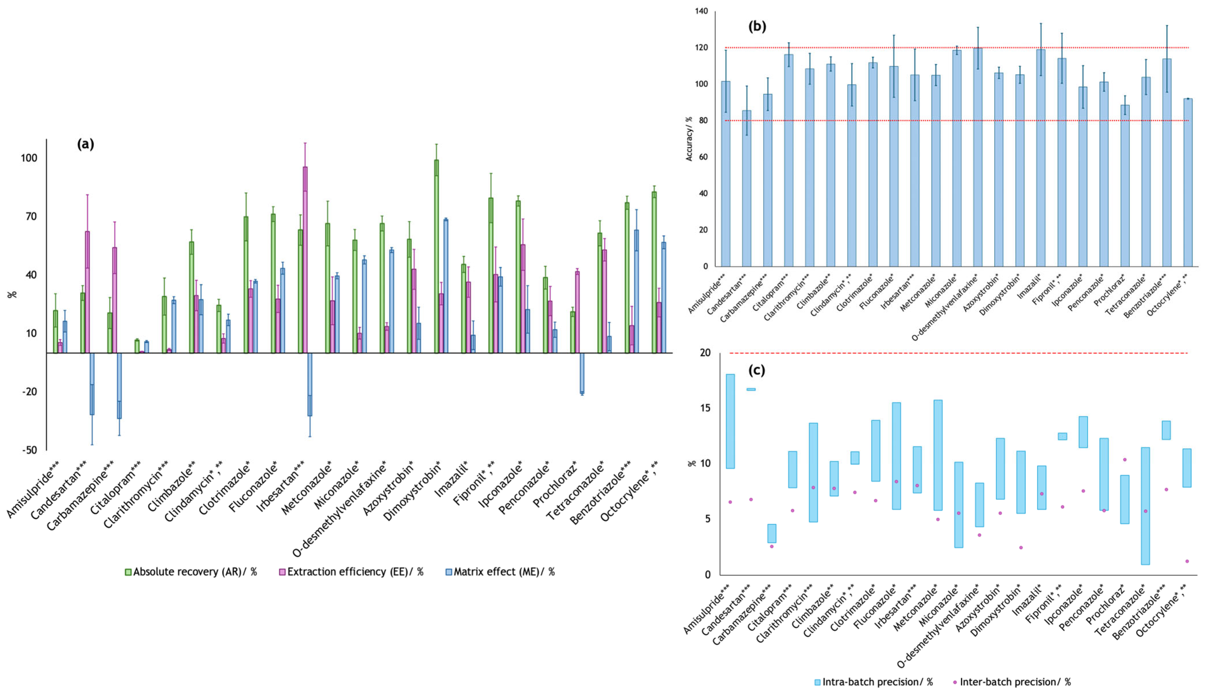
2.2. Drinking Water Method Validation
2.3. Portuguese Drinking Water Sample Analysis
2.4. Hazard Quotients: Human Health Risk Assessment
3. Materials and Methods
3.1. Chemicals and Materials
3.2. Solid-Phase Extraction Protocol
3.3. Liquid-Chromatography Tandem Mass-Spectrometry Analysis
3.4. Method Validation
3.5. Sample Analysis
3.6. Human Health Risk Assessment
4. Conclusions
Supplementary Materials
Author Contributions
Funding
Institutional Review Board Statement
Informed Consent Statement
Data Availability Statement
Conflicts of Interest
List of Acronyms and Abbreviations
References
- A/RES/64/292, The Human Right to Water and Sanitation [Online]. 2010. Available online: https://docs.un.org/en/A/RES/64/292 (accessed on 20 June 2025).
- The United Nations Relief and Works Agency. United Nations World Water Development Report 2024: Water for Prosperity and Peace [Online]. 2024. Available online: https://www.unwater.org/publications/un-world-water-development-report-2024 (accessed on 20 June 2025).
- Schreiber, F.; Donato, F.F.; Kemmerich, M.; Zanella, R.; Camargo, E.R.; Avila, L.A.d. Efficiency of home water filters on pesticide removal from drinking water. Environ. Pollut. 2024, 341, 122936. [Google Scholar] [CrossRef] [PubMed]
- Barbosa, M.O.; Moreira, N.F.F.; Ribeiro, A.R.; Pereira, M.F.R.; Silva, A.M.T. Occurrence and removal of organic micropollutants: An overview of the watch list of EU Decision 2015/495. Water Res. 2016, 94, 257–279. [Google Scholar] [CrossRef]
- Gorito, A.M.; Mota, B.R.; Silva, A.M.T.; Ribeiro, A.R.L. SPE-LC-MS/MS optimisation using response surface methodology for quantification of pharmaceuticals, pesticides and organic UV filters included in water protection guidelines. J. Chromatogr. A 2025, 1756, 466052. [Google Scholar] [CrossRef] [PubMed]
- Barbosa, M.O.; Ribeiro, A.R.; Pereira, M.F.R.; Silva, A.M.T. Eco-friendly LC–MS/MS method for analysis of multi-class micropollutants in tap, fountain, and well water from northern Portugal. Anal. Bioanal. Chem. 2016, 408, 8355–8367. [Google Scholar] [CrossRef]
- Kumar, R.; Qureshi, M.; Vishwakarma, D.K.; Al-Ansari, N.; Kuriqi, A.; Elbeltagi, A.; Saraswat, A. A review on emerging water contaminants and the application of sustainable removal technologies. Case Stud. Chem. Environ. Eng. 2022, 6, 100219. [Google Scholar] [CrossRef]
- de Rezende, A.T.; Mounteer, A.H. Ecological risk assessment of pharmaceuticals and endocrine disrupting compounds in Brazilian surface waters. Environ. Pollut. 2023, 338, 122628. [Google Scholar] [CrossRef] [PubMed]
- Directive 2000/60/EC of 23 October 2000 Establishing a Framework for Community Action in the Field of Water Policy [Online]. 2000. Available online: http://data.europa.eu/eli/dir/2000/60/oj (accessed on 20 June 2025).
- Commission Implementing Decision (EU) 2015/495 of 20 March 2015 Establishing a Watch List of Substances for Union-Wide Monitoring in the Field of Water Policy Pursuant to Directive 2008/105/EC [Online]. 2015. Available online: http://data.europa.eu/eli/dec_impl/2015/495/oj (accessed on 20 June 2025).
- Commission Implementing Decision (EU) 2018/840 of 5 June 2018 Establishing a Watch List of Substances for Union-Wide Monitoring in the Field of Water Policy Pursuant to Directive 2008/105/EC and Repealing Decision 2015/495 [Online]. 2018. Available online: http://data.europa.eu/eli/dec_impl/2018/840/oj (accessed on 20 June 2025).
- Commission Implementing Decision (EU) 2020/1161 of 4 August 2020 Establishing a Watch List of Substances for Union-Wide Monitoring in the Field of Water Policy Pursuant to Directive 2008/105/EC [Online]. 2020. Available online: http://data.europa.eu/eli/dec_impl/2020/1161/oj (accessed on 20 June 2025).
- Commission Implementing Decision (EU) 2022/1307 of 22 July 2022 Establishing a Watch List of Substances for Union-Wide Monitoring in the Field of Water Policy Pursuant to Directive 2008/105/EC [Online]. 2022. Available online: http://data.europa.eu/eli/dec_impl/2022/1307/oj (accessed on 20 June 2025).
- Commission Implementing Decision (EU) 2025/439 of 28 February 2025 Establishing a Watch List of Substances for Union-Wide Monitoring in the Field of Water Policy Pursuant to Directive 2008/105/EC [Online]. 2025. Available online: https://eur-lex.europa.eu/eli/dec_impl/2025/439/oj (accessed on 20 June 2025).
- Directive (EU) 2020/2184 of 16 December 2020 on the Quality of Water Intended for Human Consumption (Recast) [Online]. 2020. Available online: https://eur-lex.europa.eu/eli/dir/2020/2184/oj/eng (accessed on 20 June 2025).
- Directive (EU) 2024/3019 of 27 November 2024 Concerning Urban Wastewater Treatment (Recast) [Online]. 2024. Available online: https://eur-lex.europa.eu/eli/dir/2024/3019/oj/eng (accessed on 20 June 2025).
- Muambo, K.E.; Kim, M.G.; Kim, D.H.; Park, S.; Oh, J.E. Pharmaceuticals in raw and treated water from drinking water treatment plants nationwide: Insights into their sources and exposure risk assessment. Water Res. X 2024, 24, 100256. [Google Scholar] [CrossRef]
- Israel Dikobe, P.; Tekere, M.; Masindi, V.; Foteinis, S. Occurrence, persistence, and removal of contaminants of emerging concern through drinking water treatment processes—A case study in South Africa. Environ. Nanotechnol. Monit. Manag. 2024, 22, 100997. [Google Scholar] [CrossRef]
- Ganaie, M.I.; Jan, I.; Mayer, A.N.; Dar, A.A.; Mayer, I.A.; Ahmed, P.; Sofi, J.A. Health Risk Assessment of Pesticide Residues in Drinking Water of Upper Jhelum Region in Kashmir Valley-India by GC-MS/MS. Int. J. Anal. Chem. 2023, 2023, 6802782. [Google Scholar] [CrossRef] [PubMed]
- Wang, C.; Shi, H.; Adams, C.D.; Gamagedara, S.; Stayton, I.; Timmons, T.; Ma, Y. Investigation of pharmaceuticals in Missouri natural and drinking water using high performance liquid chromatography-tandem mass spectrometry. Water Res. 2011, 45, 1818–1828. [Google Scholar] [CrossRef] [PubMed]
- Gros, M.; Rodríguez-Mozaz, S.; Barceló, D. Fast and comprehensive multi-residue analysis of a broad range of human and veterinary pharmaceuticals and some of their metabolites in surface and treated waters by ultra-high-performance liquid chromatography coupled to quadrupole-linear ion trap tandem mass spectrometry. J. Chromatogr. A 2012, 1248, 104–121. [Google Scholar] [CrossRef] [PubMed]
- Maia, A.S.; Paíga, P.; Delerue-Matos, C.; Castro, P.M.L.; Tiritan, M.E. Quantification of fluoroquinolones in wastewaters by liquid chromatography-tandem mass spectrometry. Environ. Pollut. 2020, 259, 113927. [Google Scholar] [CrossRef]
- Guideline: Validation of Analytical Procedures [Online]. 2024. Available online: https://www.ema.europa.eu/en/documents/scientific-guideline/ich-q2r2-guideline-validation-analytical-procedures-step-5-revision-1_en.pdf (accessed on 20 June 2025).
- Yang, W.; Feng, J.; Liang, W.; Nie, M.; Tan, J.; Fan, R. A high-throughput method for the determination of 14 UV-filters in human plasma by LC-MS/MS: Minimize interferences from proteins and phospholipids in the matrix. J. Chromatogr. B 2024, 1237, 124090. [Google Scholar] [CrossRef]
- SANTE/11312/2021, Analytical Quality Control and Method Validation Procedures for Pesticide Residues Analysis in Food and Feed [Online]. 2023. Available online: https://food.ec.europa.eu/system/files/2023-11/pesticides_mrl_guidelines_wrkdoc_2021-11312.pdf (accessed on 20 June 2025).
- Abbas, A.E.F.; Al kamaly, O.; Magdy, G.; Halim, M.K. MA tool—Multi-color assessment platform for white analytical chemistry: Unified evaluation of method greenness, practicality, performance, and innovation. Microchem. J. 2025, 216, 114781. [Google Scholar] [CrossRef]
- Khan, U.; Nicell, J. Human Health Relevance of Pharmaceutically Active Compounds in Drinking Water. AAPS J. 2015, 17, 558–585. [Google Scholar] [CrossRef]
- Commission, E. EU Pesticides Database—Active Substances. European Commission—Directorate-792 General for Health and Food Safety. 2025. Available online: https://ec.europa.eu/food/plant/pesticides/eu-pesticides-database/start/screen/active-substances (accessed on 20 June 2025).
- Schriks, M.; Heringa, M.B.; van der Kooi, M.M.; de Voogt, P.; van Wezel, A.P. Toxicological relevance of emerging contaminants for drinking water quality. Water Res. 2010, 44, 461–476. [Google Scholar] [CrossRef]
- Waters. Do I Need to Condition and Equilibrate Oasis Solid-Phase Extraction Plates and Cartridges Prior to Loading Sample? Available online: https://support.waters.com/KB_Chem/Sample_Preparation/WKB57060_Do_I_need_to_condition_and_equilibrate_Oasis_Solid_Phase_Extraction_Plates_and_Cartridges_prior_to_loading_sample?utm_source=chatgpt.com (accessed on 11 February 2026).




| Class | Subclass | Analyte | Range (ng L−1) | Frequency | Observations |
| Pharmaceutical | Antibiotic | Clarithromycin *** | n.d. | 0/50 | - |
| Clindamycin *,** | n.d. | 0/50 | - | ||
| Antidepressant | Citalopram *** | n.d. | 0/50 | - | |
| O-desmethylvenlafaxine * | n.d. | 0/50 | - | ||
| Antipsychotic | Amisulpride *** | n.d. | 0/50 | - | |
| Anticonvulsant | Carbamazepine *** | n.d. | 0/50 | - | |
| Antihypertensive | Candesartan *** | n.d. | 0/50 | - | |
| Irbesartan *** | n.d.–2.43 | 3/50 | - | ||
| Fungicides | Climbazole ** | n.d. | 0/50 | - | |
| Clotrimazole * | n.d. | 0/50 | - | ||
| Fluconazole * | n.d.–38.4 | 2/50 | - | ||
| Miconazole * | n.d. | 0/50 | - | ||
| Pesticide | Insecticides | Fipronil *,** | n.d. | 0/50 | - |
| Fungicide | Azoxystrobin * | n.d. | 0/50 | - | |
| Dimoxystrobin * | n.d.–37.1 | 9/50 | 3/50 samples have concentrations above the upper limit of the calibration curve for this MP, i.e., higher than 117 ng L−1 | ||
| Imazalil * | n.d. | 0/50 | - | ||
| Ipconazole * | n.d. | 0/50 | - | ||
| Metconazole * | n.d. | 0/50 | - | ||
| Penconazole * | n.d. | 0/50 | - | ||
| Prochloraz * | n.d. | 0/50 | - | ||
| Tetraconazole * | n.d. | 0/50 | - | ||
| UV-filter | - | Benzotriazole *** | n.d.–98.8 | 43/50 | 1/50 sample has a concentration above the upper limit of the calibration curve for this MP, i.e., higher than 133 ng L−1 |
| Octocrylene *,** | n.d. | 0/50 | - |
Disclaimer/Publisher’s Note: The statements, opinions and data contained in all publications are solely those of the individual author(s) and contributor(s) and not of MDPI and/or the editor(s). MDPI and/or the editor(s) disclaim responsibility for any injury to people or property resulting from any ideas, methods, instructions or products referred to in the content. |
© 2026 by the authors. Licensee MDPI, Basel, Switzerland. This article is an open access article distributed under the terms and conditions of the Creative Commons Attribution (CC BY) license.
Share and Cite
Quintela, I.M.; Gorito, A.M.; Barbosa, M.O.; Silva, A.M.T.; Ribeiro, A.R.L. Multi-Residue Determination and Risk Assessment of EU-Relevant Pharmaceuticals, Pesticides, and UV-Filters in Drinking Water. Pharmaceuticals 2026, 19, 402. https://doi.org/10.3390/ph19030402
Quintela IM, Gorito AM, Barbosa MO, Silva AMT, Ribeiro ARL. Multi-Residue Determination and Risk Assessment of EU-Relevant Pharmaceuticals, Pesticides, and UV-Filters in Drinking Water. Pharmaceuticals. 2026; 19(3):402. https://doi.org/10.3390/ph19030402
Chicago/Turabian StyleQuintela, Inês M., Ana M. Gorito, Marta O. Barbosa, Adrián M. T. Silva, and Ana R. L. Ribeiro. 2026. "Multi-Residue Determination and Risk Assessment of EU-Relevant Pharmaceuticals, Pesticides, and UV-Filters in Drinking Water" Pharmaceuticals 19, no. 3: 402. https://doi.org/10.3390/ph19030402
APA StyleQuintela, I. M., Gorito, A. M., Barbosa, M. O., Silva, A. M. T., & Ribeiro, A. R. L. (2026). Multi-Residue Determination and Risk Assessment of EU-Relevant Pharmaceuticals, Pesticides, and UV-Filters in Drinking Water. Pharmaceuticals, 19(3), 402. https://doi.org/10.3390/ph19030402

