Azole–Flavonoid Hybrids as Emerging Anticancer Agents: A Bioactivity-Focused Review
Abstract
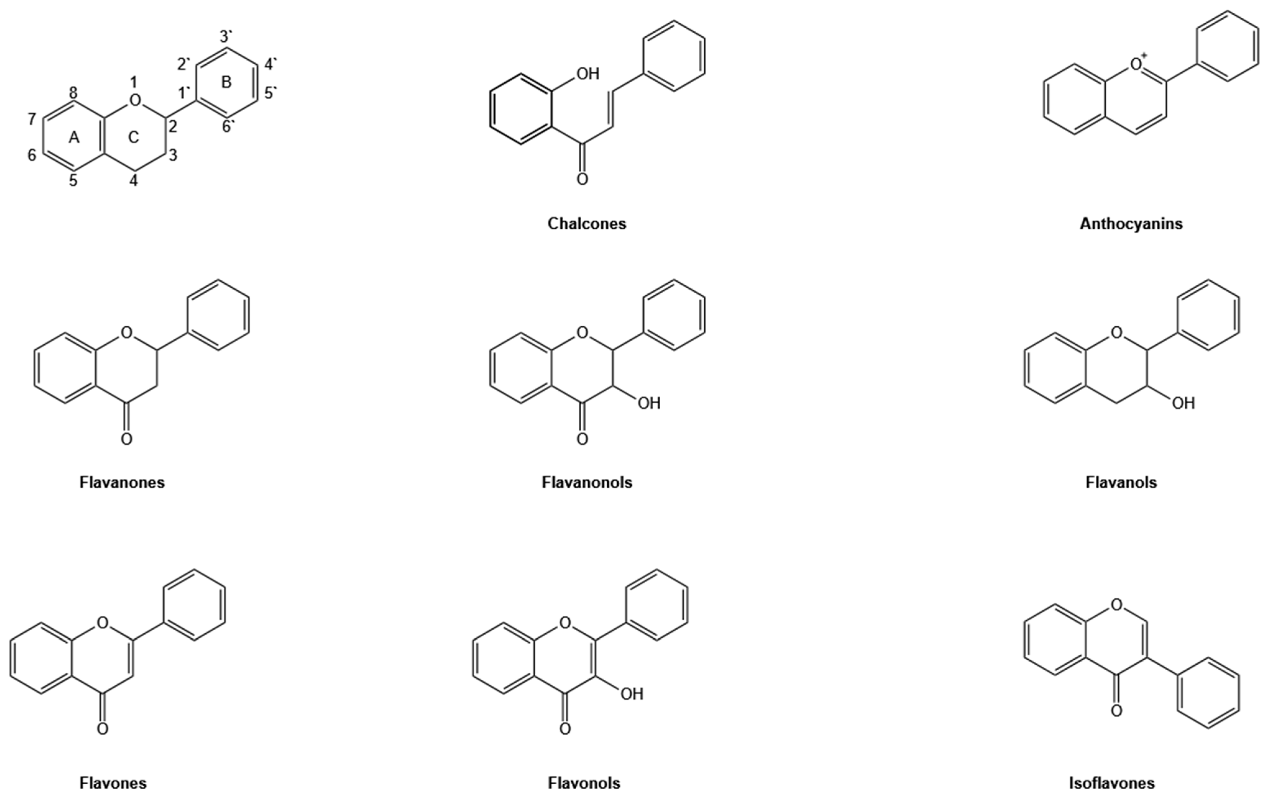
1. Introduction
2. Triazole–Flavonoid Hybrids
2.1. Triazole–Chalcone Hybrids
2.2. Triazole–Flavanone Hybrids
2.3. Triazole–Flavone Hybrids
2.4. Triazole–Flavonol Hybrids
2.5. Triazole-Isoflavone Hybrids
3. Imidazole–Flavonoid Hybrids
4. Pyrazole–Flavonoid Hybrids
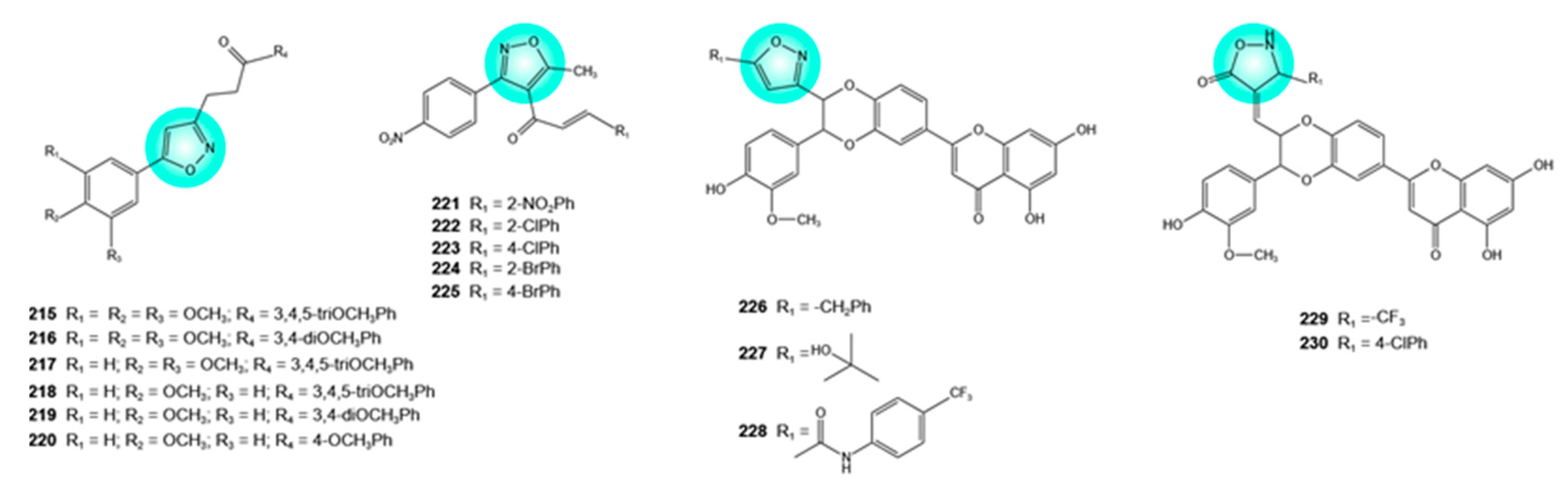
5. Isoxazole–Flavonoid Hybrids
6. Thiazole–Flavonoid Hybrids
7. Concluding Remarks
Author Contributions
Funding
Institutional Review Board Statement
Data Availability Statement
Conflicts of Interest
Abbreviations
| FOLFOX | Folinic acid, 5-fluorouracil, and oxaliplatin |
| FLAM | Flavopiridol, cytarabine, and mitoxantrone |
| SAR | Structure–activity relationship |
| BET | Bromodomain and extraterminal |
| PARP 1 | Poly(ADP-ribose) polymerase 1 |
| IC50 | Half maximal inhibitory concentration |
| Bax | Bcl-2 associated X protein |
| Bcl-2 | B-cell lymphoma 2 |
| Topo IIα | Topoisomerase IIα |
| GI50 | Concentration causing 50% growth inhibition |
| EGFR | Epidermal growth factor receptor |
| LD50 | Concentration causing 50% cell death |
| MDR | Multidrug-resistant/resistance |
| P-gp | P-glycoprotein |
| ABC | ATP-binding cassette |
| BCR-ABL | Breakpoint Cluster Region–Abelson |
| CDK4, 6, and 9 | Cyclin-dependent kinase 4, 6, and 9 |
| PROTAC | Proteolysis Targeting Chimera |
| MRP1 | Multidrug-resistance-associated protein 1 |
| BCRP | Breast cancer resistance protein |
| EC50 | Concentration producing 50% of the maximal effect |
| ADME | Absorption Distribution Metabolism Excretion |
| ADMET | Absorption Distribution Metabolism Excretion Toxicity |
| HIF-1α | Hypoxia inducible factor 1 α |
| HK2 | Hexokinase 2 |
| PKM2 | M2-type pyruvate kinase |
| PFKP | Phosphofructokinase |
| VEGFR-2 | Vascular endothelial growth factor receptor 2 |
| BTK | Bruton’s tyrosine kinase |
| ER | Estrogen receptor |
| SERM | Selective estrogen receptor modulator |
| CC50 | Concentration causing 50% cell cytotoxicity |
| TS | Tumor selectivity |
| PSE | Potency-selectivity expression |
| QSAR | Quantitative structure–activity relationship |
| Akt | Protein kinase B |
| BID | BH3-interacting-domain death agonist |
| CCND1 | Cell cycle progression modulator cyclin D1 |
| NADPH | Reduced nicotinamide adenine dinucleotide phosphate |
| NF-κB | Nuclear factor kappa-light-chain-enhancer of activated B cells |
| PI3K/mTOR | Phosphatidylinositol-4,5-bisphosphate 3-kinase/mechanistic target of rapamycin |
| RSK2 | Ribosomal S6 kinase 2 |
Appendix A
| Hybrid | Type of Hybrid | Structural Features Enhancing Anticancer Activity | Cancer Cell Lines | References |
|---|---|---|---|---|
![]() | 1,2,3-triazole–chalcone |
| RPMI-8226 | [24] |
![]() | 1,2,3-triazole–chalcone |
| MCF-7 MIA-PaCa-2 A549 HepG2 | [25] |
![]() | 1,2,3-triazole–chalcone (flavokawain B-based chalcone hybrids) |
| RPMI-8226 SR, K-562 M14 MCF-7 HCT-116 | [26] |
![]() | 1,2,4-triazole–chalcone |
| A549 | [29] |
![]() | 1,2,4-triazole–chalcone |
| A549 | [19,30] |
![]() | 1,2,3-triazole–chalcone |
| MCF-7 MDA-MB-231 | [19,33] |
![]() | 1,2,3-triazole-benzimidazole– chalcone |
| PC-3 T47-D MDA-MB-231 | [19,34] |
![]() | 1,2,4-triazole tethered quinoline–chalcone |
| PANC-1 MCF-7 HT-29 A549 | [38] |
![]() | 1,2,3-triazole ferrocenyl chalcone-quinine/quinidine |
| NCI-H460 NCI-H460/R DLD1 DLD1-TxR U87 U87-TxR | [19,43] |
![]() | 1,2,3-triazole ferrocenyl –chalcone–uracil |
| CCRF-CEM | [19,48] |
![]() | 1,2,3-triazole–flavone |
| MDA-MB-231 IMR-32 | [19,53] |
![]() | 1,2,3-triazole–flavone– benzimidazole |
| MCF-7 | [19,55] |
![]() | 1,2,3-triazole–flavonol |
| HCT-116 OVCAR-3 | [19,66] |
![]() | 1,2,3-triazole–isoflavone |
| PC3 DU-145 MCF-7 A549 | [68] |
![]() | benzimidazole–chalcone |
| HCT-116 MCF-7 143B | [81] |
![]() | benzimidazole–chalcone |
| MCF-7 A549 Colo-205 A2780 | [90] |
![]() | pyrazole–chalcone |
| MCF-7 | [99] |
![]() | indenopyrazole–chalcone |
| A549 MCF-7 MDA-MB-231 HCT-116 SKBR3 | [107] |
![]() | isoxazole–chalcone |
| H1792 H157 A549 Calu-1 | [111] |
![]() | 2-aminothiazole–flavonoid |
| U87 U251 U138 T98G SK-N-SH | [116] |
![]() | imidazothiadiazole–chalcone |
| DU-145 MDA-MB-231 MCF-7 A549 | [121] |
References
- Ahmad, K.; Khan, M.K.A.; Baig, M.H.; Imran, M.; Gupta, G.K. Role of Azoles in Cancer Prevention and Treatment: Present and Future Perspectives. Anti-Cancer Agents Med. Chem. 2018, 18, 46–56. [Google Scholar] [CrossRef]
- Szumilak, M.; Wiktorowska-Owczarek, A.; Stanczak, A. Hybrid Drugs—A Strategy for Overcoming Anticancer Drug Resistance? Molecules 2021, 26, 2601. [Google Scholar] [CrossRef]
- Singh, A.K.; Kumar, A.; Singh, H.; Sonawane, P.; Paliwal, H.; Thareja, S.; Pathak, P.; Grishina, M.; Jaremko, M.; Emwas, A.H.; et al. Concept of Hybrid Drugs and Recent Advancements in Anticancer Hybrids. Pharmaceuticals 2022, 15, 1071. [Google Scholar] [CrossRef] [PubMed]
- Lungu, C.N.; Bratanovici, B.I.; Grigore, M.M.; Antoci, V.; Mangalagiu, I.I. Hybrid imidazole-pyridine derivatives: An approach to novel anticancer DNA intercalators. Curr. Med. Chem. 2020, 27, 154–169. [Google Scholar] [CrossRef] [PubMed]
- Diaconu, D.; Antoci, V.; Mangalagiu, V.; Amariucai-Mantu, D.; Mangalagiu, I.I. Quinoline-imidazole/benzimidazole derivatives as dual-/multi-targeting hybrids inhibitors with anticancer and antimicrobial activity. Sci. Rep. 2022, 12, 16988. [Google Scholar] [CrossRef] [PubMed]
- El-Garhy, O.H. An overview of the azoles of interest. Int. J. Curr. Pharm. Res. 2015, 7, 1–6. [Google Scholar]
- Mehra, A.; Mittal, A.; Sangwan, R. Azole Derivatives: Cutting-Edge Agents in Cancer Therapy. ChemistrySelect 2024, 9, e202403294. [Google Scholar] [CrossRef]
- Chen, S.; Wang, X.; Cheng, Y.; Gao, H.; Chen, X. A Review of Classification, Biosynthesis, Biological Activities and Potential Applications of Flavonoids. Molecules 2023, 28, 4982. [Google Scholar] [CrossRef]
- Zhuang, W.-B.; Li, Y.-H.; Shu, X.-C.; Pu, Y.-T.; Wang, X.-J.; Wang, T.; Wang, Z. The Classification, Molecular Structure and Biological Biosynthesis of Flavonoids, and Their Roles in Biotic and Abiotic Stresses. Molecules 2023, 28, 3599. [Google Scholar] [CrossRef]
- Liga, S.; Paul, C.; Péter, F. Flavonoids: Overview of Biosynthesis, Biological Activity, and Current Extraction Techniques. Plants 2023, 12, 2732. [Google Scholar] [CrossRef]
- Wang, T.-Y.; Li, Q.; Bi, K.-S. Bioactive flavonoids in medicinal plants: Structure, activity and biological fate. Asian J. Pharm. Sci. 2018, 13, 12–23. [Google Scholar] [CrossRef]
- Luca, V.S.; Miron, A.; Aprotosoaie, A.C. The antigenotoxic potential of dietary flavonoids. Phytochem. Rev. 2016, 15, 591–625. [Google Scholar] [CrossRef]
- Bujor, A.; Miron, A.; Trifan, A.; Luca, S.V.; Gille, E.; Miron, S.-D.; Aprotosoaie, A.C. Phytochemicals and endothelial dysfunction: Recent advances and perspectives. Phytochem. Rev. 2021, 20, 653–691. [Google Scholar] [CrossRef]
- Mir, S.A.; Dar, A.; Hamid, L.; Nisar, N.; Malik, J.A.; Ali, T.; Bader, G.N. Flavonoids as promising molecules in the cancer therapy: An insight. Curr. Res. Pharmacol. Drug Discov. 2024, 6, 100167. [Google Scholar] [CrossRef] [PubMed]
- Pintova, S.; Dharmupari, S.; Moshier, E.; Zubizarreta, N.; Ang, C.; Holcombe, R.F. Genistein combined with FOLFOX or FOLFOX–Bevacizumab for the treatment of metastatic colorectal cancer: Phase I/II pilot study. Cancer Chemother. Pharmacol. 2019, 84, 591–598. [Google Scholar] [CrossRef] [PubMed]
- Blagosklonny, M.V. Flavopiridol, An Inhibitor of Transcription: Implications, Problems and Solutions. Cell Cycle 2004, 3, 1537–1542. [Google Scholar] [CrossRef]
- Zeidner, J.F.; Foster, M.C.; Blackford, A.L.; Litzow, M.R.; Morris, L.E.; Strickland, S.A.; Lancet, J.E.; Bose, P.; Levy, M.Y.; Tibes, R.; et al. Randomized multicenter phase II study of flavopiridol (alvocidib), cytarabine, and mitoxantrone (FLAM) versus cytarabine/daunorubicin (7+3) in newly diagnosed acute myeloid leukemia. Haematologica 2015, 100, 1172–1179. [Google Scholar] [CrossRef]
- Gao, F.; Huang, G.; Xiao, J. Chalcone hybrids as potential anticancer agents: Current development, mechanism of action, and structure-activity relationship. Med. Res. Rev. 2020, 40, 2049–2084. [Google Scholar] [CrossRef]
- Pereira, D.; Pinto, M.; Correia-da-Silva, M.; Cidade, H. Recent Advances in Bioactive Flavonoid Hybrids Linked by 1,2,3-Triazole Ring Obtained by Click Chemistry. Molecules 2022, 27, 230. [Google Scholar] [CrossRef]
- Hazai, L.; Zsoldos, B.; Halmai, M.; Keglevich, P. Flavone Hybrids and Derivatives as Bioactive Agents. Appl. Sci. 2024, 14, 1039. [Google Scholar] [CrossRef]
- Wang, J.; Wang, D.-B.; Sui, L.-L.; Luan, T. Natural products-isoxazole hybrids: A review of developments in medicinal chemistry. Arab. J. Chem. 2024, 17, 105794. [Google Scholar] [CrossRef]
- Guan, Q.; Gao, Z.; Chen, Y.; Guo, C.; Chen, Y.; Sun, H. Structural modification strategies of triazoles in anticancer drug development. Eur. J. Med. Chem. 2024, 275, 116578. [Google Scholar] [CrossRef] [PubMed]
- Sharma, J.; Kaushal, R. Nitrogen Containing Heterocyclic Chalcone Hybrids and Their Biological Potential (A Review). Russ. J. Gen. Chem. 2024, 94, 1794–1814. [Google Scholar] [CrossRef]
- Othman, E.M.; Fayed, E.A.; Husseiny, E.M.; Abulkhair, H.S. Apoptosis induction, PARP-1 inhibition, and cell cycle analysis of leukemia cancer cells treated with novel synthetic 1,2,3-triazole-chalcone conjugates. Bioorg. Chem. 2022, 123, 105762. [Google Scholar] [CrossRef] [PubMed]
- Yadav, P.; Lal, K.; Kumar, A.; Guru, S.K.; Jaglan, S.; Bhushan, S. Green synthesis and anticancer potential of chalcone linked-1,2,3-triazoles. Eur. J. Med. Chem. 2017, 126, 944–953. [Google Scholar] [CrossRef]
- Ashour, H.F.; Abou-zeid, L.A.; El-Sayed, M.A.-A.; Selim, K.B. 1,2,3-Triazole-Chalcone hybrids: Synthesis, in vitro cytotoxic activity and mechanistic investigation of apoptosis induction in multiple myeloma RPMI-8226. Eur. J. Med. Chem. 2020, 189, 112062. [Google Scholar] [CrossRef]
- Chinthala, Y.; Thakur, S.; Tirunagari, S.; Chinde, S.; Domatti, A.K.; Arigari, N.K.; Srinivas, K.V.N.S.; Alam, S.; Kumar, J.K.; Khan, F.; et al. Synthesis, docking and ADMET studies of novel chalcone triazoles for anti-cancer and anti-diabetic activity. Eur. J. Med. Chem. 2015, 95, 26–39. [Google Scholar] [CrossRef]
- Pinheiro, S.; Pessôa, J.C.; Pinheiro, E.M.C.; Muri, E.M.F.; Venturini Filho, E.; Loureiro, L.B.; Freitas, M.C.R.; Silva Junior, C.M.D.; Fiorot, R.G.; Carneiro, J.W.M.; et al. 2H-1,2,3-Triazole-chalcones as novel cytotoxic agents against prostate cancer. Bioorg. Med. Chem. Lett. 2020, 30, 127454. [Google Scholar] [CrossRef]
- Ahmed, F.F.; Abd El-Hafeez, A.A.; Abbas, S.H.; Abdelhamid, D.; Abdel-Aziz, M. New 1,2,4-triazole-Chalcone hybrids induce Caspase-3 dependent apoptosis in A549 human lung adenocarcinoma cells. Eur. J. Med. Chem. 2018, 155, 162–173. [Google Scholar] [CrossRef]
- Raghavender, M.; Kumar, A.K.; Sunitha, V.; Vishnu, T.; Jalapathi, P. Synthesis and Cytotoxicity of Chalcone Based 1,2,3-Triazole Derivatives. Russ. J. Gen. Chem. 2020, 90, 697–702. [Google Scholar] [CrossRef]
- Yan, W.; Xiangyu, C.; Ya, L.; Yu, W.; Feng, X. An orally antitumor chalcone hybrid inhibited HepG2 cells growth and migration as the tubulin binding agent. Investig. New Drugs 2019, 37, 784–790. [Google Scholar] [CrossRef]
- Latif, A.D.; Jernei, T.; Podolski-Renić, A.; Kuo, C.-Y.; Vágvölgyi, M.; Girst, G.; Zupkó, I.; Develi, S.; Ulukaya, E.; Wang, H.-C.; et al. Protoflavone-Chalcone Hybrids Exhibit Enhanced Antitumor Action through Modulating Redox Balance, Depolarizing the Mitochondrial Membrane, and Inhibiting ATR-Dependent Signaling. Antioxidants 2020, 9, 519. [Google Scholar] [CrossRef] [PubMed]
- Gurrapu, N.; Praveen Kumar, E.; Kolluri, P.K.; Putta, S.; Sivan, S.K.; Subhashini, N.J.P. Synthesis, biological evaluation and molecular docking studies of novel 1,2,3-triazole tethered chalcone hybrids as potential anticancer agents. J. Mol. Struct. 2020, 1217, 128356. [Google Scholar] [CrossRef]
- Djemoui, A.; Naouri, A.; Ouahrani, M.R.; Djemoui, D.; Lahcene, S.; Lahrech, M.B.; Boukenna, L.; Albuquerque, H.M.T.; Saher, L.; Rocha, D.H.A.; et al. A step-by-step synthesis of triazole-benzimidazole-chalcone hybrids: Anticancer activity in human cells+. J. Mol. Struct. 2020, 1204, 127487. [Google Scholar] [CrossRef]
- Nagaraju, R.; Gopichand, K.; Rao, N.N.; Ganai, A.M.; Kishan, E.; Rao, P.V. Synthesis and Anticancer Activity of a Novel Series of Tetrazolo[1,5-a]quinoline Based 1,2,3-Triazole Derivatives. Russ. J. Gen. Chem. 2020, 90, 314–318. [Google Scholar] [CrossRef]
- Jernei, T.; Duró, C.; Dembo, A.; Lajkó, E.; Takács, A.; Kőhidai, L.; Schlosser, G.; Csámpai, A. Synthesis, Structure and In Vitro Cytotoxic Activity of Novel Cinchona–Chalcone Hybrids with 1,4-Disubstituted- and 1,5-Disubstituted 1,2,3-Triazole Linkers. Molecules 2019, 24, 4077. [Google Scholar] [CrossRef]
- Aneja, B.; Arif, R.; Perwez, A.; Napoleon, J.V.; Hasan, P.; Rizvi, M.M.A.; Azam, A.; Rahisuddin; Abid, M. N-Substituted 1,2,3-Triazolyl-Appended Indole-Chalcone Hybrids as Potential DNA Intercalators Endowed with Antioxidant and Anticancer Properties. ChemistrySelect 2018, 3, 2638–2645. [Google Scholar] [CrossRef]
- Mohassab, A.M.; Hassan, H.A.; Abdelhamid, D.; Gouda, A.M.; Youssif, B.G.M.; Tateishi, H.; Fujita, M.; Otsuka, M.; Abdel-Aziz, M. Design and synthesis of novel quinoline/chalcone/1,2,4-triazole hybrids as potent antiproliferative agent targeting EGFR and BRAFV600E kinases. Bioorg. Chem. 2021, 106, 104510. [Google Scholar] [CrossRef]
- Mavrova, A.; Yancheva, D. Benzimidazole-based hybrids as inhibitors of EGFR/VEGFR-2 and their combinations with other enzymes: Design, synthesis, and activity. Bioorg. Chem. 2025, 164, 108920. [Google Scholar] [CrossRef]
- Kapkoti, D.S.; Singh, S.; Luqman, S.; Bhakuni, R.S. Synthesis of novel 1,2,3-triazole based artemisinin derivatives and their antiproliferative activity. New J. Chem. 2018, 42, 5978–5995. [Google Scholar] [CrossRef]
- Manna, T.; Pal, K.; Jana, K.; Misra, A.K. Anti-cancer potential of novel glycosylated 1,4-substituted triazolylchalcone derivatives. Bioorg. Med. Chem. Lett. 2019, 29, 126615. [Google Scholar] [CrossRef] [PubMed]
- Braga, S.S.; Silva, A.M.S. A New Age for Iron: Antitumoral Ferrocenes. Organometallics 2013, 32, 5626–5639. [Google Scholar] [CrossRef]
- Podolski-Renić, A.; Bősze, S.; Dinić, J.; Kocsis, L.; Hudecz, F.; Csámpai, A.; Pešić, M. Ferrocene–cinchona hybrids with triazolyl-chalcone linkers act as pro-oxidants and sensitize human cancer cell lines to paclitaxel. Metallomics 2017, 9, 1132–1141. [Google Scholar] [CrossRef] [PubMed]
- Banković, J.; Andrä, J.; Todorović, N.; Podolski-Renić, A.; Milošević, Z.; Miljković, Đ.; Krause, J.; Ruždijić, S.; Tanić, N.; Pešić, M. The elimination of P-glycoprotein over-expressing cancer cells by antimicrobial cationic peptide NK-2: The unique way of multi-drug resistance modulation. Exp. Cell Res. 2013, 319, 1013–1027. [Google Scholar] [CrossRef]
- Lupšić, E.; Stojković, P.; Grozdanić, M.; Terzić-Jovanović, N.; Pajović, M.; Koutsougianni, F.; Alexopoulou, D.; Opsenica, I.M.; Pešić, M.; Podolski-Renić, A. Novel Adamantane–Sclareol Hybrids Exploit ROS Vulnerability to Overcome Multidrug-Resistance in Glioblastoma Cells. Molecules 2025, 30, 4756. [Google Scholar] [CrossRef]
- Chen, Y.-F.; Liu, X.-H.; Zhang, S.-Y.; Li, Z.-Y.; Niu, J.-B.; Song, J.; Xu, Y. Chalcones and their derivatives as inhibitors of key ABC transporters (ABCB1, ABCG2) to overcome tumor multidrug resistance. Bioorg. Chem. 2025, 166, 109105. [Google Scholar] [CrossRef]
- Al-Thubiani, W.S. The Role of P-Glycoprotein (P-gp) in Cancer Multidrug Resistance (MDR): Challenges for Inhibiting P-gp in the Context of Overcoming MDR. J. Pharm. Res. Int. 2023, 35, 44–58. [Google Scholar] [CrossRef]
- Singh, A.; Mehra, V.; Sadeghiani, N.; Mozaffari, S.; Parang, K.; Kumar, V. Ferrocenylchalcone–uracil conjugates: Synthesis and cytotoxic evaluation. Med. Chem. Res. 2018, 27, 1260–1268. [Google Scholar] [CrossRef]
- Gupta, N.; Qayum, A.; Raina, A.; Shankar, R.; Gairola, S.; Singh, S.; Sangwan, P.L. Synthesis and biological evaluation of novel bavachinin analogs as anticancer agents. Eur. J. Med. Chem. 2018, 145, 511–523. [Google Scholar] [CrossRef]
- Gutam, M.; Mokenapelli, S.; Yerrabelli, J.R.; Banerjee, S.; Roy, P.; Chitneni, P.R. Synthesis and cytotoxicity of novel (E)-2-phenylchroman-4-one-O-((1-substituted-1H-1,2,3-triazol-4-yl)methyl) oxime derivatives. Synth. Commun. 2020, 50, 1883–1891. [Google Scholar] [CrossRef]
- Kennedy, J.A.; Hobbs, G. Tyrosine kinase inhibitors in the treatment of chronic phase CML: Strategies for frontline decision-making. Curr. Hematol. Malig. Rep. 2018, 13, 202–211. [Google Scholar] [CrossRef]
- Ribeiro, R.; Eloy, M.A.; Francisco, C.S.; Javarini, C.L.; Ayusso, G.M.; Da Rocha Fonseca, V.; Romão, W.; Regasini, L.O.; Araujo, S.C.; Almeida, M.O.; et al. Flavonoid derivatives targeting BCR-ABL kinase: Semisynthesis, molecular dynamic simulations and enzymatic inhibition. Curr. Top. Med. Chem. 2021, 21, 1999–2017. [Google Scholar] [CrossRef] [PubMed]
- Sowjanya, T.; Jayaprakash Rao, Y.; Murthy, N.Y.S. Synthesis and antiproliferative activity of new 1,2,3-triazole/flavone hybrid heterocycles against human cancer cell lines. Russ. J. Gen. Chem. 2017, 87, 1864–1871. [Google Scholar] [CrossRef]
- Wang, G.; Yan, L.; Wang, Q. Synthesis and antiproliferative activity of flavonoid triazolyl glycosides. Heterocycl. Commun. 2018, 24, 119–124. [Google Scholar] [CrossRef]
- Rao, Y.J.; Sowjanya, T.; Thirupathi, G.; Murthy, N.Y.S.; Kotapalli, S.S. Synthesis and biological evaluation of novel flavone/triazole/benzimidazole hybrids and flavone/isoxazole-annulated heterocycles as antiproliferative and antimycobacterial agents. Mol. Divers. 2018, 22, 803–814. [Google Scholar] [CrossRef]
- Qi, Y.; Ding, Z.; Yao, Y.; Ma, D.; Ren, F.; Yang, H.; Chen, A. Novel triazole analogs of apigenin-7-methyl ether exhibit potent antitumor activity against ovarian carcinoma cells via the induction of mitochondrial-mediated apoptosis. Exp. Ther. Med. 2019, 17, 1670–1676. [Google Scholar] [CrossRef]
- Németh-Rieder, A.; Keglevich, P.; Hunyadi, A.; Latif, A.D.; Zupkó, I.; Hazai, L. Synthesis and In Vitro Anticancer Evaluation of Flavone—1,2,3-Triazole Hybrids. Molecules 2023, 28, 626. [Google Scholar] [CrossRef]
- Tian, L.; Zheshan, Q.; Yingquan, F.; Hongjing, Y. Design, Synthesis, and Antiproliferative Activity of Chrysin Derivatives Bearing Triazole Moieties. Chin. J. Org. Chem. 2020, 40, 440–446. [Google Scholar] [CrossRef]
- Noole, V.; Krishna, T.; Godeshala, S.; Meraji, S.; Rege, K.; Reddy, C.K.; Kedika, B. Synthesis and Biological Evaluation of New 1,2,3-Triazole Derivatives of the Chrysin Flavonoid as Anticancer Agents. Anti-Cancer Agents Med. Chem. 2021, 22, 160–168. [Google Scholar] [CrossRef]
- Bian, J.; Ren, J.; Li, Y.; Wang, J.; Xu, X.; Feng, Y.; Tang, H.; Wang, Y.; Li, Z. Discovery of Wogonin-based PROTACs against CDK9 and capable of achieving antitumor activity. Bioorg. Chem. 2018, 81, 373–381. [Google Scholar] [CrossRef]
- Li, Y.; Qu, J.; Peng, Y.; Jiang, L.; Cao, X. Application and challenges of nitrogen heterocycles in PROTAC linker. Eur. J. Med. Chem. 2024, 273, 116520. [Google Scholar] [CrossRef]
- Rahman, R.; Rahaman, M.H.; Hanson, A.R.; Choo, N.; Xie, J.; Townley, S.L.; Shrestha, R.; Hassankhani, R.; Islam, S.; Ramm, S.; et al. CDK9 inhibition constrains multiple oncogenic transcriptional and epigenetic pathways in prostate cancer. Br. J. Cancer 2024, 131, 1092–1105. [Google Scholar] [CrossRef] [PubMed]
- Wong, I.L.K.; Zhu, X.; Chan, K.F.; Law, M.C.; Lo, A.M.Y.; Hu, X.; Chow, L.M.C.; Chan, T.H. Discovery of Novel Flavonoid Dimers To Reverse Multidrug Resistance Protein 1 (MRP1, ABCC1) Mediated Drug Resistance in Cancers Using a High Throughput Platform with “Click Chemistry”. J. Med. Chem. 2018, 61, 9931–9951. [Google Scholar] [CrossRef] [PubMed]
- Zhu, X.; Wong, I.L.K.; Chan, K.F.; Cui, J.; Law, M.C.; Chong, T.C.; Hu, X.; Chow, L.M.C.; Chan, T.H. Triazole Bridged Flavonoid Dimers as Potent, Nontoxic, and Highly Selective Breast Cancer Resistance Protein (BCRP/ABCG2) Inhibitors. J. Med. Chem. 2019, 62, 8578–8608. [Google Scholar] [CrossRef]
- Fan, Z.-F.; Ho, S.-T.; Wen, R.; Fu, Y.; Zhang, L.; Wang, J.; Hu, C.; Shaw, P.-C.; Liu, Y.; Cheng, M.-S. Design, Synthesis and Molecular Docking Analysis of Flavonoid Derivatives as Potential Telomerase Inhibitors. Molecules 2019, 24, 3180. [Google Scholar] [CrossRef] [PubMed]
- Znati, M.; Horchani, M.; Latapie, L.; Ben Jannet, H.; Bouajila, J. New 1,2,3-triazole linked flavonoid conjugates: Microwave-assisted synthesis, cytotoxic activity and molecular docking studies. J. Mol. Struct. 2021, 1246, 131216. [Google Scholar] [CrossRef]
- Yerrabelly, J.R.; Gogula, T.; Erukala, Y.G.; Yerrabelly, H.; Gabriella, S. Synthesis and antiproliferative activity of Daidzein bridged bis-[1,2,3]-triazole derivatives: Double click strategy. Chem. Data Collect. 2020, 29, 100523. [Google Scholar] [CrossRef]
- Koteswaraiah, M.; Syed, T.; Praveen, C.; Gopireddy, R.; Uppalanchi, S.; Thummaluru, V. Design and Synthesis of 1,2,3-Triazole Incorporated Isoflavone Derivatives as Anticancer Agents. Polycycl. Aromat. Compd. 2024, 44, 2659–2674. [Google Scholar] [CrossRef]
- Nyquist, M.D.; Ang, L.S.; Corella, A.; Coleman, I.M.; Meers, M.P.; Christiani, A.J.; Pierce, C.; Janssens, D.H.; Meade, H.E.; Bose, A.; et al. Selective androgen receptor modulators activate the canonical prostate cancer androgen receptor program and repress cancer growth. J. Clin. Investig. 2021, 131, e146777. [Google Scholar] [CrossRef]
- Fu, D.-J.; Song, J.; Hou, Y.-H.; Zhao, R.-H.; Li, J.-H.; Mao, R.-W.; Yang, J.-J.; Li, P.; Zi, X.-L.; Li, Z.-H.; et al. Discovery of 5,6-diaryl-1,2,4-triazines hybrids as potential apoptosis inducers. Eur. J. Med. Chem. 2017, 138, 1076–1088. [Google Scholar] [CrossRef]
- Sharma, P.; LaRosa, C.; Antwi, J.; Govindarajan, R.; Werbovetz, K.A. Imidazoles as Potential Anticancer Agents: An Update on Recent Studies. Molecules 2021, 26, 4213. [Google Scholar] [CrossRef]
- Teli, G.; Chawla, P.A. Hybridization of Imidazole with Various Heterocycles in Targeting Cancer: A Decade’s Work. ChemistrySelect 2021, 6, 4803–4836. [Google Scholar] [CrossRef]
- Ciupa, A.; Griffiths, N.J.; Light, S.K.; Wood, P.J.; Caggiano, L. Design, synthesis and antiproliferative activity of urocanic-chalcone hybrid derivatives. MedChemComm 2011, 2, 1011–1015. [Google Scholar] [CrossRef]
- Rahimzadeh Oskuei, S.; Hadizadeh, F.; Mirzaei, S.; Eisvand, F.; Jafari-Nik, M.R.; Mosaffa, F.; Ghodsi, R. Design, synthesis and biological evaluation of novel imidazole-chalcone derivatives as potential anticancer agents and tubulin polymerization inhibitors. Bioorg. Chem. 2021, 112, 104904. [Google Scholar] [CrossRef]
- Poyraz, S.; Yıldırım, M.; Ersatir, M. Recent pharmacological insights about imidazole hybrids: A comprehensive review. Med. Chem. Res. 2024, 33, 839–868. [Google Scholar] [CrossRef]
- Liu, Z.; Yang, Z.; Ablise, M. Design and synthesis of novel imidazole-chalcone derivatives as microtubule protein polymerization inhibitors to treat cervical cancer and reverse cisplatin resistance. Bioorg. Chem. 2024, 147, 107310. [Google Scholar] [CrossRef] [PubMed]
- Parmar, I.; Patel, S.; Shah, U.; Patel, C.; Patel, A.; Patel, A. Novel Imidazole Containing Chalcone Derivatives as an Aromatase Inhibitor: Synthesis, Docking Studies, Biological Screening and ADME Studies. Rasayan J. Chem. 2024, 17, 1444–1453. [Google Scholar] [CrossRef]
- Sarkate, A.P.; Dofe, V.S.; Tiwari, S.V.; Lokwani, D.K.; Karnik, K.S.; Kamble, D.D.; Ansari, M.H.S.H.; Dodamani, S.; Jalalpure, S.S.; Sangshetti, J.N.; et al. One pot synthesis, in silico study and evaluation of some novel flavonoids as potent topoisomerase II inhibitors. Bioorg. Med. Chem. Lett. 2021, 40, 127916. [Google Scholar] [CrossRef]
- Feng, L.-S.; Su, W.-Q.; Cheng, J.-B.; Xiao, T.; Li, H.-Z.; Chen, D.-A.; Zhang, Z.-L. Benzimidazole hybrids as anticancer drugs: An updated review on anticancer properties, structure–activity relationship, and mechanisms of action (2019–2021). Arch. Der Pharm. 2022, 355, e2200051. [Google Scholar] [CrossRef]
- Hagar, F.F.; Abbas, S.H.; Atef, E.; Abdelhamid, D.; Abdel-Aziz, M. Benzimidazole scaffold as a potent anticancer agent with different mechanisms of action (2016–2023). Mol. Divers. 2025, 29, 1821–1849. [Google Scholar] [CrossRef]
- Wang, Y.; Xue, S.; Li, R.; Zheng, Z.; Yi, H.; Li, Z. Synthesis and biological evaluation of novel synthetic chalcone derivatives as anti-tumor agents targeting Cat L and Cat K. Bioorg. Med. Chem. 2018, 26, 8–16. [Google Scholar] [CrossRef] [PubMed]
- Chhajed, S.S.; Sonawane, S.S.; Upasani, C.D.; Kshirsagar, S.J.; Gupta, P.P. Design, synthesis and molecular modeling studies of few chalcone analogues of benzimidazole for epidermal growth factor receptor inhibitor in search of useful anticancer agent. Comput. Biol. Chem. 2016, 61, 138–144. [Google Scholar] [CrossRef] [PubMed]
- Nitiss, J. DNA topoisomerase II and its growing repertoire of biological functions. Nat. Rev. Cancer 2009, 9, 327–337. [Google Scholar] [CrossRef] [PubMed]
- Zhou, W.; Zhang, W.; Peng, Y.; Jiang, Z.-H.; Zhang, L.; Du, Z. Design, Synthesis and Anti-Tumor Activity of Novel Benzimidazole-Chalcone Hybrids as Non-Intercalative Topoisomerase II Catalytic Inhibitors. Molecules 2020, 25, 3180. [Google Scholar] [CrossRef]
- Hsieh, C.-Y.; Ko, P.-W.; Chang, Y.-J.; Kapoor, M.; Liang, Y.-C.; Chu, H.-L.; Lin, H.-H.; Horng, J.-C.; Hsu, M.-H. Design and Synthesis of Benzimidazole-Chalcone Derivatives as Potential Anticancer Agents. Molecules 2019, 24, 3259. [Google Scholar] [CrossRef]
- Wang, Q.; Xie, Z.; Qiao, H.; Lei, X.; Yuan, W.; Yang, X.; Deng, X.; Tang, G.; Wang, Z. Discovery of novel chalcone derivatives containing benzimidazole possessing anti-tumor potential in vitro and in vivo. Biomed. Pharmacother. 2026, 194, 118912. [Google Scholar] [CrossRef]
- Zhao, J.; Jin, D.; Huang, M.; Ji, J.; Xu, X.; Wang, F.; Zhou, L.; Bao, B.; Jiang, F.; Xu, W.; et al. Glycolysis in the tumor microenvironment: A driver of cancer progression and a promising therapeutic target. Front. Cell Dev. Biol. 2024, 12, 1416472. [Google Scholar] [CrossRef]
- Zeng, Y.; Tao, Y.; Du, G.; Huang, T.; Zhang, N. Advances in the mechanisms of HIF-1α relation to dedifferentiation-enhanced tumor glycolysis and its. Prog. Biophys. Mol. Biol. 2025, 197, 1–10. [Google Scholar] [CrossRef]
- Lee, J.-H. Phosphofructokinase 1 Platelet Isoform Enhances VEGF Expression in Part Through HIF-1α Up-regulation in Breast Cancer. Anticancer Res. 2023, 43, 75–84. [Google Scholar] [CrossRef]
- Pragathi, Y.J.; Veronica, D.; Anitha, K.; Rao, M.V.B.; Raju, R.R. Synthesis and biological evaluation of chalcone derivatives of 1,2,4-thiadiazol-benzo[d]imidazol-2-yl)quinolin-2(1H)-one as anticancer agents. Chem. Data Collect. 2020, 30, 100556. [Google Scholar] [CrossRef]
- Hagar, F.F.; Abbas, S.H.; Gomaa, H.A.M.; Youssif, B.G.M.; Sayed, A.M.; Abdelhamid, D.; Abdel-Aziz, M. Chalcone/1,3,4-Oxadiazole/Benzimidazole hybrids as novel anti-proliferative agents inducing apoptosis and inhibiting EGFR & BRAFV600E. BMC Chem. 2023, 17, 116. [Google Scholar] [CrossRef]
- Hagar, F.F.; Abbas, S.H.; Abdelhamid, D.; Gomaa, H.A.M.; Youssif, B.G.M.; Abdel-Aziz, M. New1,3,4-oxadiazole-chalcone/benzimidazole hybrids as potent antiproliferative agents. Arch. Pharm. 2023, 356, e2200357. [Google Scholar] [CrossRef] [PubMed]
- Lai, Z.; Yang, T.; Kim, Y.B.; Sielecki, T.M.; Diamond, M.A.; Strack, P.; Rolfe, M.; Caligiuri, M.; Benfield, P.A.; Auger, K.R.; et al. Differentiation of Hdm2-mediated p53 ubiquitination and Hdm2 autoubiquitination activity by small molecular weight inhibitors. Proc. Natl. Acad. Sci. USA 2002, 99, 14734–14739. [Google Scholar] [CrossRef] [PubMed]
- Kamal, A.; Ramakrishna, G.; Raju, P.; Viswanath, A.; Ramaiah, M.J.; Balakishan, G.; Pal-Bhadra, M. Synthesis and anti-cancer activity of chalcone linked imidazolone. Bioorg. Med. Chem. Lett. 2010, 20, 4865–4869. [Google Scholar] [CrossRef] [PubMed]
- Bendi, A.; Devi, P.; Sharma, H.; Yadav, G.; Raghav, N.; Pundeer, R.; Afshari, M. Innovative Pyrazole Hybrids: A New Era in Drug Discovery and Synthesis. Chem. Biodivers. 2025, 22, e202402370. [Google Scholar] [CrossRef]
- Zhang, Y.; Wu, C.; Zhang, N.; Fan, R.; Ye, Y.; Xu, J. Recent Advances in the Development of Pyrazole Derivatives as Anticancer Agents. Int. J. Mol. Sci. 2023, 24, 12724. [Google Scholar] [CrossRef]
- Ahmed, A.H.H.; Mohamed, M.F.A.; Allam, R.M.; Nafady, A.; Mohamed, S.K.; Gouda, A.E.; Beshr, E.A.M. Design, synthesis, and molecular docking of novel pyrazole-chalcone analogs of Lonazolac as 5-LOX, iNOS and tubulin polymerization inhibitors with potential anticancer and anti-inflammatory activities. Bioorg. Chem. 2022, 129, 106171. [Google Scholar] [CrossRef]
- Rai, U.S.; Isloor, A.M.; Shetty, P.; Pai, K.S.R.; Fun, H.K. Synthesis and in vitro biological evaluation of new pyrazole chalcones and heterocyclic diamides as potential anticancer agents. Arab. J. Chem. 2015, 8, 317–321. [Google Scholar] [CrossRef]
- Dabhade, P.S.; Dabhade, M.P.; Rathod, L.S.; Dhawale, S.A.; More, S.A.; Chaudhari, S.Y.; Mokale, S.N. Novel Pyrazole-Chalcone Hybrids: Synthesis and Computational Insights Against Breast Cancer. Chem. Biodivers. 2024, 21, e202400015. [Google Scholar] [CrossRef]
- Parmar, I.; Patel, S.; Shah, U.; Patel, C.; Patel, A.; Patel, A. Synthesis, characterization, biological screening and in silico studies of novel pyrazole-chalcone derivatives as potent aromatase inhibitors for breast cancer therapy. Future J. Pharm. Sci. 2025, 11, 161. [Google Scholar] [CrossRef]
- Tuğrak Sakarya, M.; Gül, H.İ.; Sakagami, H.; Nagai, J.; Uesawa, Y.; Bandow, K. Tumor-specific cytotoxicity of pyrazole-based chalcone derivatives in human oral squamous cell carcinoma cell lines. Turk. J. Biol. 2025, 49, 712–727. [Google Scholar] [CrossRef] [PubMed]
- Alam, M.J.; Alam, O.; Perwez, A.; Rizvi, M.A.; Naim, M.J.; Naidu, V.G.M.; Imran, M.; Ghoneim, M.M.; Alshehri, S.; Shakeel, F. Design, Synthesis, Molecular Docking, and Biological Evaluation of Pyrazole Hybrid Chalcone Conjugates as Potential Anticancer Agents and Tubulin Polymerization Inhibitors. Pharmaceuticals 2022, 15, 280. [Google Scholar] [CrossRef] [PubMed]
- Yasser, N.; Sroor, F.M.; El-Shorbagy, H.M.; Eissa, S.M.; Hassaneen, H.M.; Abdelhamid, I.A. Synthesis, anticancer evaluation of novel hybrid pyrazole-based chalcones, molecular docking, DNA fragmentation, and gene expression: In vitro studies. RSC Adv. 2024, 14, 21859–21873. [Google Scholar] [CrossRef] [PubMed]
- Kamel, M.G.; Sroor, F.M.; Hassaneen, H.M.; Hanafy, M.K.H.; Mahrous, K.F. Design, synthesis and potent anti-pancreatic cancer activity of new pyrazole derivatives bearing chalcone, thiazole and thiadiazole moieties: Gene expression, DNA fragmentation, cell cycle arrest and SAR. RSC Adv. 2024, 14, 26954–26970. [Google Scholar] [CrossRef]
- Insuasty, B.; Tigreros, A.; Orozco, F.; Quiroga, J.; Abonía, R.; Nogueras, M.; Sánchez, A.; Cobo, J. Synthesis of novel pyrazolic analogues of chalcones and their 3-aryl-4-(3-aryl-4,5-dihydro-1H-pyrazol-5-yl)-1-phenyl-1H-pyrazole derivatives as potential antitumor agents. Bioorg. Med. Chem. 2010, 18, 4965–4974. [Google Scholar] [CrossRef]
- Rasal, N.K.; Sonawane, R.B.; Jagtap, S.V. Synthesis, Characterization, and Biological Study of 3-Trifluoromethylpyrazole Tethered Chalcone-Pyrrole and Pyrazoline-Pyrrole Derivatives. Chem. Biodivers. 2021, 18, e2100504. [Google Scholar] [CrossRef]
- Khan, I.; Garikapati, K.R.; Setti, A.; Shaik, A.B.; Makani, V.K.K.; Shareef, M.A.; Rajpurohit, H.; Vangara, N.; Pal-Bhadra, M.; Kamal, A.; et al. Design, synthesis, in silico pharmacokinetics prediction and biological evaluation of 1,4-dihydroindeno[1,2-c]pyrazole chalcone as EGFR /Akt pathway inhibitors. Eur. J. Med. Chem. 2019, 168, 139–150. [Google Scholar] [CrossRef]
- Zhu, J.; Mo, J.; Lin, H.-Z.; Chen, Y.; Sun, H.-P. The recent progress of isoxazole in medicinal chemistry. Bioorg. Med. Chem. 2018, 26, 3065–3075. [Google Scholar] [CrossRef]
- Wang, H.; Zhu, J.; Zhang, Q.; Tang, J.; Huang, X. Current scenario of chalcone hybrids with antibreast cancer therapeutic applications. Arch. Pharm. 2024, 357, 2300640. [Google Scholar] [CrossRef]
- Thiriveedhi, A.; Venkata Nadh, R.; Srinivasu, N.; Kaushal, K. Novel Hybrid Molecules of Isoxazole Chalcone Derivatives: Synthesis and Study of in vitro Cytotoxic Activities. Lett. Drug Des. Discov. 2018, 15, 576–582. [Google Scholar] [CrossRef]
- Wan, M.; Xu, L.; Hua, L.; Li, A.; Li, S.; Lu, W.; Pang, Y.; Cao, C.; Liu, X.; Jiao, P. Synthesis and evaluation of novel isoxazolyl chalcones as potential anticancer agents. Bioorg. Chem. 2014, 54, 38–43. [Google Scholar] [CrossRef]
- Arya, J.S.; Joseph, M.M.; Sherin, D.R.; Nair, J.B.; Manojkumar, T.K.; Maiti, K.K. Exploring Mitochondria-Mediated Intrinsic Apoptosis by New Phytochemical Entities: An Explicit Observation of Cytochrome c Dynamics on Lung and Melanoma Cancer Cells. J. Med. Chem. 2019, 62, 8311–8329. [Google Scholar] [CrossRef] [PubMed]
- Sharma, P.C.; Bansal, K.K.; Sharma, A.; Sharma, D.; Deep, A. Thiazole-containing compounds as therapeutic targets for cancer therapy. Eur. J. Med. Chem. 2020, 188, 112016. [Google Scholar] [CrossRef] [PubMed]
- Coman, F.-M.; Mbaveng, A.T.; Leonte, D.; Bencze, L.C.; Vlase, L.; Imre, S.; Kuete, V.; Efferth, T.; Zaharia, V. Heterocycles 44. Synthesis, characterization and anticancer activity of new thiazole ortho-hydroxychalcones. Med. Chem. Res. 2018, 27, 1396–1407. [Google Scholar] [CrossRef]
- Zhu, H.J.; Ogawa, M.; Magata, Y.; Hirata, M.; Ohmomo, Y.; Namba, H.; Harumi, S. Assessment of epidermal growth factor receptor status in glioblastomas. Asia Ocean. J. Nucl. Med. Biol. 2013, 1, 47–52. [Google Scholar]
- Hedna, R.; DiMaio, A.; Robin, M.; Allegro, D.; Tatoni, M.; Peyrot, V.; Barbier, P.; Kovacic, H.; Breuzard, G. 2-Aminothiazole-Flavonoid Hybrid Derivatives Binding to Tau Protein and Responsible for Antitumor Activity in Glioblastoma. Int. J. Mol. Sci. 2023, 24, 15050. [Google Scholar] [CrossRef]
- Pagano, A.; Breuzard, G.; Parat, F.; Tchoghandjian, A.; Figarella-Branger, D.; De Bessa, T.C.; Garrouste, F.; Douence, A.; Barbier, P.; Kovacic, H.; et al. Tau Regulates Glioblastoma Progression, 3D Cell Organization, Growth and Migration via the PI3K-AKT Axis. Cancers 2021, 13, 5818. [Google Scholar] [CrossRef]
- Relave, E.T.; Hedna, R.; Di Maio, A.; Devred, F.; Kovacic, H.; Robin, M.; Breuzard, G. Therapeutic Contribution of Tau-Binding Thiazoloflavonoid Hybrid Derivatives Against Glioblastoma Using Pharmacological Approach in 3D Spheroids. Int. J. Mol. Sci. 2024, 25, 11785. [Google Scholar] [CrossRef]
- Kamal, A.; Dastagiri, D.; Janaki Ramaiah, M.; Surendranadha Reddy, J.; Vijaya Bharathi, E.; Srinivas, C.; Pushpavalli, S.N.C.V.L.; Pal, D.; Pal-Bhadra, M. Synthesis of Imidazothiazole–Chalcone Derivatives as Anticancer and Apoptosis Inducing Agents. ChemMedChem 2010, 5, 1937–1947. [Google Scholar] [CrossRef]
- Kamal, A.; Balakrishna, M.; Nayak, V.L.; Shaik, T.B.; Faazil, S.; Nimbarte, V.D. Design and Synthesis of Imidazo[2,1-b]thiazole–Chalcone Conjugates: Microtubule-Destabilizing Agents. ChemMedChem 2014, 9, 2429–2436. [Google Scholar] [CrossRef]
- Kamal, A.; Reddy, V.S.; Santosh, K.; Bharath Kumar, G.; Shaik, A.B.; Mahesh, R.; Chourasiya, S.S.; Sayeed, I.B.; Kotamraju, S. Synthesis of imidazo[2,1-b][1,3,4]thiadiazole–chalcones as apoptosis inducing anticancer agents. Med. Chem. Commun. 2014, 5, 1718–1723. [Google Scholar] [CrossRef]
- Brauer, N.R.; Kempen, A.L.; Hernandez, D.; Sintim, H.O. Non-kinase off-target inhibitory activities of clinically-relevant kinase inhibitors. Eur. J. Med. Chem. 2024, 275, 116540. [Google Scholar] [CrossRef]
- Benitez, L.L.; Carver, P.L. Adverse Effects Associated with Long-Term Administration of Azole Antifungal Agents. Drugs 2019, 79, 833–853. [Google Scholar] [CrossRef]
- Tang, Z.; Zhang, Q. The potential toxic side effects of flavonoids. Biocell 2021, 46, 357–366. [Google Scholar] [CrossRef]
- Das, M.; Kityania, S.; Nath, P.; Nath, R.; Herqash, R.N.; Shahat, A.A.; Nath, D.; Talukdar, A.D. A dual approach to flavonoid toxicity assessment: Bridging computational and experimental paradigms. Comput. Toxicol. 2025, 34, 100355. [Google Scholar] [CrossRef]
- Lee, Y.; Robbins, N.; Cowen, L.E. Molecular mechanisms governing antifungal drug resistance. npj Antimicrob. Resist. 2023, 1, 5. [Google Scholar] [CrossRef]
- The Hong Kong Polytechnic University. Alkyne-, Azide- and Triazole-Containing Flavonoids as Modulators for Multidrug Resistance in Cancers. U.S. Patent US10208025B2, 19 February 2019. Available online: https://patents.google.com/patent/US10208025B2 (accessed on 2 February 2026).













Disclaimer/Publisher’s Note: The statements, opinions and data contained in all publications are solely those of the individual author(s) and contributor(s) and not of MDPI and/or the editor(s). MDPI and/or the editor(s) disclaim responsibility for any injury to people or property resulting from any ideas, methods, instructions or products referred to in the content. |
© 2026 by the authors. Licensee MDPI, Basel, Switzerland. This article is an open access article distributed under the terms and conditions of the Creative Commons Attribution (CC BY) license.
Share and Cite
Lipovanu, M.; Miron, A.; Filip, N.; Horhogea, C.E.; Aprotosoaie, A.C. Azole–Flavonoid Hybrids as Emerging Anticancer Agents: A Bioactivity-Focused Review. Pharmaceuticals 2026, 19, 338. https://doi.org/10.3390/ph19020338
Lipovanu M, Miron A, Filip N, Horhogea CE, Aprotosoaie AC. Azole–Flavonoid Hybrids as Emerging Anticancer Agents: A Bioactivity-Focused Review. Pharmaceuticals. 2026; 19(2):338. https://doi.org/10.3390/ph19020338
Chicago/Turabian StyleLipovanu, Mihaela, Anca Miron, Nina Filip, Cristina Elena Horhogea, and Ana Clara Aprotosoaie. 2026. "Azole–Flavonoid Hybrids as Emerging Anticancer Agents: A Bioactivity-Focused Review" Pharmaceuticals 19, no. 2: 338. https://doi.org/10.3390/ph19020338
APA StyleLipovanu, M., Miron, A., Filip, N., Horhogea, C. E., & Aprotosoaie, A. C. (2026). Azole–Flavonoid Hybrids as Emerging Anticancer Agents: A Bioactivity-Focused Review. Pharmaceuticals, 19(2), 338. https://doi.org/10.3390/ph19020338






















