A New Trichlorinated Xanthone and Compounds Isolated from Cladonia skottsbergii with Antimicrobial Properties
Abstract
1. Introduction
2. Results and Discussion
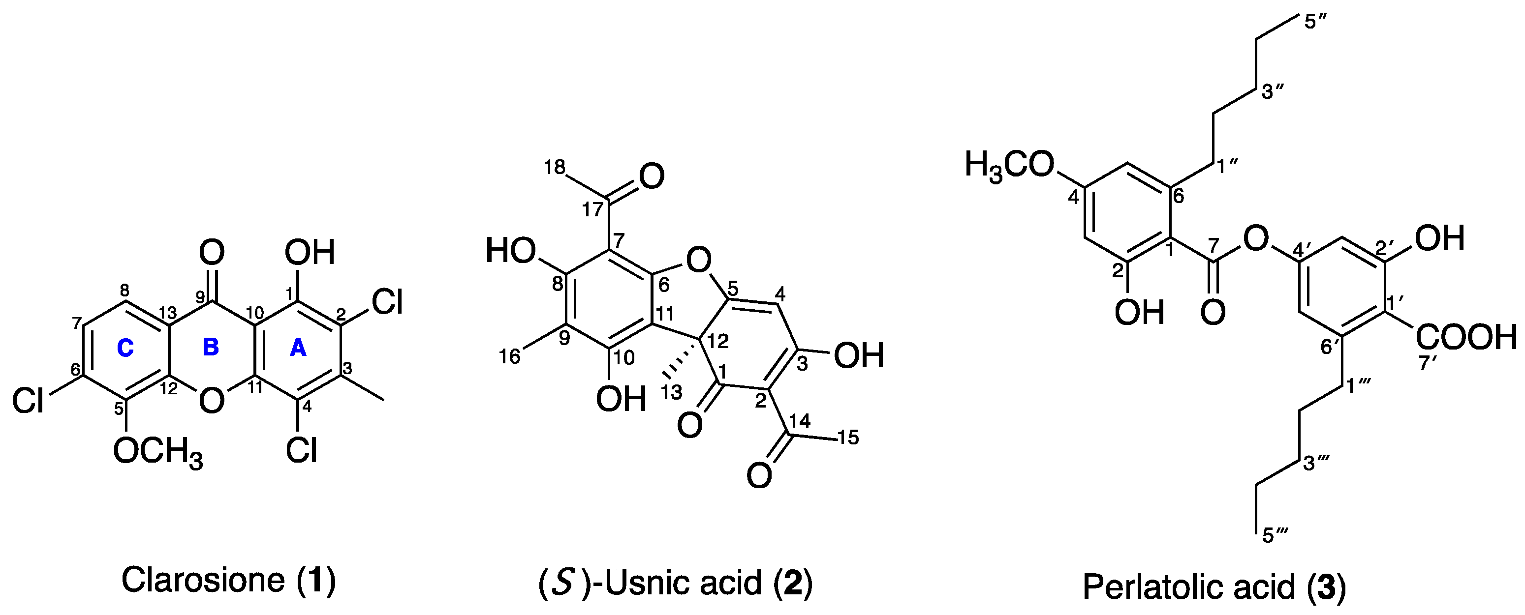
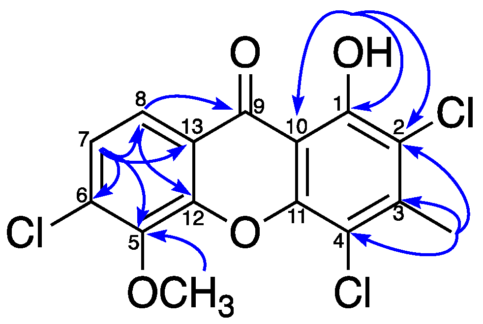
2.1. Structure Elucidation
2.2. Antimicrobial Activity
2.2.1. Zone of Inhibition Test (ZOI) Disk Diffusion Method
2.2.2. Minimal Inhibitory Concentration (MIC) Broth Microdilution Method
2.2.3. Time–Kill Kinetics Assay
2.3. Sulforhodamine B (SRB) Cytotoxicity Assay
3. Materials and Methods
3.1. General Experimental Procedures
3.2. Lichen Materials
3.3. Extraction and Isolation
3.4. Single-Crystal X-Ray Structure Determination of Clarosione (1)
3.5. Single-Crystal X-Ray Structure Determination of (S)-Usnic Acid (2) [31]
3.6. Bacterial Strains
3.7. Antimicrobial Assay: Disk Diffusion Method
3.8. Determination of Minimum Inhibitory Concentrations (MIC)
3.9. Time–Kill Kinetics Assay
3.10. Cell Lines
3.11. Sulforhodamine B (SRB) Cytotoxicity Assay
3.12. Statistical Analysis
4. Conclusions
Supplementary Materials
Author Contributions
Funding
Institutional Review Board Statement
Informed Consent Statement
Data Availability Statement
Acknowledgments
Conflicts of Interest
Abbreviations
| MDR | multidrug-resistance |
| MRSA | methicillin-resistant S. aureus |
| MSSA | methicillin-susceptible S. aureus |
| MIC | Minimal Inhibitory Concentration |
| ZOI | Zone of Inhibition |
| EUCAST | European Committee on Antimicrobial Susceptibility Testing |
| SRB | Sulforhodamine B Cytotoxicity Assay |
| MeOH | Methanol |
| DCM | Dichloromethane |
| NMR | Nuclear Magnetic Resonance spectroscopy |
References
- Salam, M.A.; Al-Amin, M.Y.; Salam, M.T.; Pawar, J.S.; Akhter, N.; Rabaan, A.A.; Alqumber, M.A. Antimicrobial resistance: A growing serious threat for global public health. Healthcare 2023, 11, 1946. [Google Scholar] [CrossRef]
- Murray, C.J.; Ikuta, K.S.; Sharara, F.; Swetschinski, L.; Aguilar, G.R.; Gray, A.; Han, C.; Bisignano, C.; Rao, P.; Wool, E.; et al. Global burden of bacterial antimicrobial resistance in 2019: A systematic analysis. Lancet 2022, 399, 629–655. [Google Scholar] [CrossRef] [PubMed]
- Hu, S.; You, Y.; Zhang, S.; Tang, J.; Chen, C.; Wen, W.; Wang, C.; Cheng, Y.; Zhou, M.; Feng, Z.; et al. Multidrug-resistant infection in COVID-19 patients: A meta-analysis. J. Infect. 2023, 86, 66–117. [Google Scholar] [CrossRef] [PubMed]
- Gerken, T.J.; Roberts, M.C.; Dykema, P.; Melly, G.; Lucas, D.; De Los Santos, V.; Gonzalez, J.; Butaye, P.; Wiegner, T.N. Environmental surveillance and characterization of antibiotic-resistant Staphylococcus aureus at coastal beaches and rivers on the island of Hawaiʻi. Antibiotics 2021, 10, 980. [Google Scholar] [CrossRef] [PubMed]
- Thabet, N.; Shindo, Y.; Okumura, J.; Sano, M.; Sakakibara, T.; Murakami, Y.; Kobayashi, H.; Saka, H.; Kondo, M.; Hasegawa, Y.; et al. Clinical characteristics and risk factors for mortality in patients with community-acquired staphylococcal pneumonia. Nagoya J. Med. Sci. 2022, 84, 247. [Google Scholar]
- Guignard, B.; Entenza, J.M.; Moreillon, P. β-lactams against methicillin-resistant Staphylococcus aureus. Curr. Opin. Pharmacol. 2005, 5, 479–489. [Google Scholar] [CrossRef]
- Newman, D.J.; Cragg, G.M. Natural products as sources of new drugs over the nearly four decades from 1981 to 2019. J. Nat. Prod. 2020, 83, 770–803. [Google Scholar] [CrossRef]
- Solárová, Z.; Liskova, A.; Samec, M.; Kubatka, P.; Büsselberg, D.; Solár, P. Anticancer potential of lichens’ secondary metabolites. Biomolecules 2020, 10, 87. [Google Scholar] [CrossRef]
- Srivastava, P.; Upreti, D.K.; Dhole, T.N.; Srivastava, A.K.; Nayak, M.T. Antimicrobial property of extracts of Indian lichen against human pathogenic bacteria. Interdiscip. Perspect. Infect. Dis. 2013. [Google Scholar] [CrossRef]
- Ingólfsdóttir, K. Usnic acid. Phytochemistry 2002, 61, 729–736. [Google Scholar] [CrossRef]
- Si, K.; Wei, L.; Yu, X.; Wu, F.; Li, X.; Li, C.; Cheng, Y. Effects of (+)-usnic acid and (+)-usnic acid-liposome on Toxoplasma gondii. Exp. Parasitol. 2016, 166, 68–74. [Google Scholar] [CrossRef]
- Jezierski, A.; Bylinska, E.; Seaward, M.R. Electron paramagnetic resonance (EPR) investigations of lichens–1: effects of air pollution. Atmos. Environ. 1999, 33, 4629–4635. [Google Scholar] [CrossRef]
- Weatherspark. Climate and Average Weather Year-Round in Mountain View, Hawaii, United States. Available online: https://weatherspark.com/y/1677/Average-Weather-in-Mountain-View-Hawaii-United-States-Year-Round (accessed on 11 November 2025).
- Mountain View Climate, Weather by Month, Average Temperature (Hawaii, United States)-Weather Spark. Available online: https://weatherspark.com/y/171/Average-Weather-in-Mountain-View-Hawaii-United-States-Year-Round (accessed on 26 December 2023).
- Kappen, L.; Smith, C.W. Heat tolerance of two Cladonia species and Campylopus praemorsus in a hot steam vent area of Hawaii. Oecologia 1980, 47, 184–189. [Google Scholar] [CrossRef]
- Núñez-Arango, L.M.; Rojas, J.L.; Valencia-Islas, N.A.; Cerbón, M.; González-Sánchez, I. Metabolites from the Andean paramo lichen Cladonia cf. didyma and their effect as photoprotective and antioxidant agents. Nat. Prod. Res. 2024, 38, 3989–3997. [Google Scholar] [CrossRef] [PubMed]
- Karunaratne, V.; Thadhani, V.M.; Khan, S.N.; Choudhary, M.I. Potent α-glucosidase inhibitors from the lichen Cladonia species from Sri Lanka. J. Natl. Sci. Found. Sri Lanka 2014, 42, 95–98. [Google Scholar] [CrossRef][Green Version]
- Kosanić, M.; Ranković, B.; Stanojković, T.; Rančić, A.; Manojlović, N. Cladonia lichens and their major metabolites as possible natural antioxidant, antimicrobial and anticancer agents. LWT-Food Sci. Technol. 2014, 59, 518–525. [Google Scholar] [CrossRef]
- Croce, N.; Pitaro, M.; Gallo, V.; Antonini, G. Toxicity of usnic acid: A narrative review. J. Toxicol. 2022, 1, 8244340. [Google Scholar] [CrossRef]
- Peres, M.T.; Cândido, A.C.S.; Faccenda, O.; Gianini, A.S.; Honda, N.K. Phytotoxicity of perlatolic acid and derivatives. Braz. Arch. Biol. Technol. 2016, 59, e16160118. [Google Scholar] [CrossRef][Green Version]
- Rukachaisirikul, V.; Kamkaew, M.; Sukavisit, D.; Phongpaichit, S.; Sawangchote, P.; Taylor, W.C. Antibacterial xanthones from the leaves of Garcinia nigrolineata. J. Nat. Prod. 2003, 66, 1531–1535. [Google Scholar] [CrossRef]
- Rukachaisirikul, V.; Ritthiwigrom, T.; Pinsa, A.; Sawangchote, P.; Taylor, W.C. Xanthones from the stem bark of Garcinia nigrolineata. Phytochemistry 2003, 64, 1149–1156. [Google Scholar] [CrossRef]
- Huneck, S. Lichen ingredients XXXII thiophane acid, a new xanthone containing chlorine Licanora rupicola (L.) zahlbr. Tetrahedron Lett. 1966, 7, 3547–3549. [Google Scholar] [CrossRef]
- Dieu, A.; Millot, M.; Champavier, Y.; Mambu, L.; Chaleix, V.; Sol, V.; Gloaguen, V. Uncommon chlorinated xanthone and other antibacterial compounds from the lichen Cladonia incrassata. Planta Medica 2014, 80, 931–935. [Google Scholar] [CrossRef] [PubMed]
- Masters, K.S.; Bräse, S. Xanthones from fungi, lichens, and bacteria: The natural products and their synthesis. Chem. Rev. 2012, 112, 3717–3776. [Google Scholar] [CrossRef] [PubMed]
- Sokolov, D.N.; Luzina, O.A.E.; Salakhutdinov, N.F. Usnic acid: Preparation, structure, properties and chemical transformations. Russ. Chem. Rev. 2012, 81, 747. [Google Scholar] [CrossRef]
- Cocchietto, M.; Skert, N.; Nimis, P.; Sava, G. A review on usnic acid, an interesting natural compound. Naturwissenschaften 2002, 89, 137–146. [Google Scholar] [CrossRef]
- Huneck, S.; Yoshimura, I. Identification of lichen substances. In Identification of Lichen Substances; Springer: Berlin/Heidelberg, Germany, 1996; pp. 11–123. [Google Scholar]
- Matuschek, E.; Brown, D.F.; Kahlmeter, G. Development of the EUCAST disk diffusion antimicrobial susceptibility testing method and its implementation in routine microbiology laboratories. Clin. Microbiol. Infect. 2014, 20, O255–O266. [Google Scholar] [CrossRef]
- Tozatti, M.G.; Ferreira, D.S.; Bocalon Flauzino, L.G.; da Silva Moraes, T.; Martins, C.H.G.; Groppo, M.; Silva, M.L.A.; Januario, A.H.; Pauletti, P.M.; Cuuha, W.R. Activity of the Lichen Usnea steineri and its Major Metabolites against Gram-positive, Multidrug-resistant Bacteria. Nat. Prod. Commun. 2016, 11, 493–496. [Google Scholar] [CrossRef]
- Lage, T.C.A.; Maciel, T.M.S.; Mota, Y.C.C.; Sisto, F.; Sabino, J.R.; Santos, J.C.C.; Figueiredo, I.M.; Masia, C.; de Fatima, A.; Fernandes, S.A.; et al. In vitro inhibition of Helicobacter pylori and interaction studies of lichen natural products with jack bean urease. New. J. Chem. 2018, 42, 5356–5366. [Google Scholar] [CrossRef]
- Shaheen, F.; Ahmad, M.; Khan, S.N.; Hussian, S.S.; Anjum, S.; Tashkhodjaev, B.; Turgunov, K.; Sultankhoodzhaev, M.N.; Choudhary, M.I.; Rahman, A.U. New α-Glucosidase Inhibitors and Antibacterial Compounds from Myrtus communis L. Eur. J. Org. Chem. 2006, 2371–2377. [Google Scholar] [CrossRef]
- Bauer, A.W.; Kirby, W.M.; Sherris, J.C.; Turck, M. Antibiotic susceptibility testing by a standardized single disk method. Am. J. Clin. Pathol. 1966, 45, 493–496. [Google Scholar] [CrossRef]
- Elshikh, M.; Ahmed, S.; Funston, S.; Dunlop, P.; McGaw, M.; Marchant, R.; Banat, I.M. Resazurin-based 96-well plate microdilution method for the determination of minimum inhibitory concentration of biosurfactants. Biotechnol. Lett. 2016, 38, 1015–1019. [Google Scholar] [CrossRef] [PubMed]
- Reller, L.B.; Weinstein, M.; Jorgensen, J.H.; Ferraro, M.J. Antimicrobial susceptibility testing: A review of general principles and contemporary practices. Clin. Infect. Dis. 2009, 49, 1749–1755. [Google Scholar] [CrossRef] [PubMed]
- Herigstad, B.; Hamilton, M.; Heersink, J. How to optimize the drop plate method for enumerating bacteria. J. Microbiol. Methods 2001, 44, 121–129. [Google Scholar] [CrossRef] [PubMed]
- Sangdee, K.; Pimta, J.; Seephonkai, P.; Sangdee, A. Antibacterial activity, time-kill profile and morphological effects of Streptomyces sp. SRF1 extracts against the foodborne pathogen Bacillus cereus. Int. J. Chemtech Res. 2016, 9, 709–717. [Google Scholar]
- Thammawat, S.; Sangdee, K.; Sangdee, A. Time-kill profiles and cell-surface morphological effects of crude Polycephalomyces nipponicus Cod-MK1201 mycelial extract against antibiotic-sensitive and -resistant Staphylococcus aureus. Trop. J. Pharm. Res. 2017, 16, 407–412. [Google Scholar] [CrossRef]
- Han, C.; Raksat, A.; Atanu, M.S.H.; Chang, L.K.; Wall, M.M.; Chang, L.C. Investigation of antimicrobial, antioxidant, and cytotoxic activities of Boesenbergia rotunda rhizome extract. J. Curr. Sci. Technol. 2024, 14, 20. [Google Scholar] [CrossRef]
- Li, Z.Q.; Scheraga, H.A. Monte Carlo-minimization approach to the multiple-minima problem in protein folding. Proc. Natl. Acad. Sci. USA 1987, 84, 6611–6615. [Google Scholar] [CrossRef]
- Kaminski, G.A.; Friesner, R.A.; Tirado-Rives, J.; Jorgensen, W.L. Evaluation and reparametrization of the OPLS-AA force field for proteins via comparison with accurate quantum chemical calculations on peptides. J. Phys. Chem. B 2001, 105, 6474–6487. [Google Scholar] [CrossRef]
- Schrödinger Release 2020-4: MacroModel Software, Schrödinger LLC.: New York, NY, USA, 2020.
- Frisch, M.J.; Trucks, G.W.; Schlegel, H.B.; Scuseria, G.E.; Robb, M.A.; Cheeseman, J.R.; Scalmani, G.; Barone, V.; Mennucci, B.; Petersson, G.A.; et al. Gaussian 09; Gaussian Inc.: Wallingford, CT, USA, 2009. [Google Scholar]
- Yanai, T.; Tew, D.P.; Handy, N.C. A new hybrid exchange correlation functional using the Coulomb-attenuating method (CAMB3LYP). Chem. Phys. Lett. 2004, 393, 51–57. [Google Scholar] [CrossRef]
- Clark, T.; Chandrasekhar, J.; Spitznagel, G.W.; Schleyer, P.V.R. Efficient diffuse function-augmented basis sets for anion calculations. III. The 3-21+G basis set for first-row elements. Li-F. J. Comput. Chem. 1983, 4, 294–301. [Google Scholar] [CrossRef]
- Ditchfield, R.; Hehre, W.J.; Pople, J.A. Self-consistent molecular-orbital methods. IX. An extended Gaussian-type basis for molecular-orbital studies of organic molecules. J. Chem. Phys. 1971, 54, 724–728. [Google Scholar] [CrossRef]
- Hehre, W.J.; Ditchfield, R.; Pople, J.A. Self-consistent molecular orbital methods. XII. further extensions of Gaussian- type basis sets for use in molecular orbital studies of organic molecules. J. Chem. Phys. 1972, 56, 2257–2261. [Google Scholar] [CrossRef]
- Hariharan, P.C.; Pople, J.A. The influence of polarization functions on molecular orbital hydrogenation energies. Theor. Chim. Acta 1973, 28, 213–222. [Google Scholar] [CrossRef]
- Tomasi, J.; Mennucci, B.; Cammi, R. Quantum mechanical continuum solvation models. Chem. Rev. 2005, 105, 2999–3094. [Google Scholar] [CrossRef]
- Runge, E.; Gross, E.K.U. Density-functional theory for time-dependent systems. Phys. Rev. Lett. 1984, 52, 997–1000. [Google Scholar]
- Gross, E.K.U.; Dobson, J.F.; Petersilka, M. Density functional theory of time-dependent phenomena. Top. Curr. Chem. 1996, 181, 81–172. [Google Scholar]
- Grauso, L.; Teta, R.; Esposito, G.; Menna, M.; Mangoni, A. Computational prediction of chiroptical properties in structure elucidation of natural products. Nat. Prod. Rep. 2019, 36, 1005–1030. [Google Scholar] [CrossRef]
- Bruhn, T.; Schaumlöffel, A.; Hemberger, Y.; Pescitelli, G. Spec Disversion 1.71; University of Pisa: Berlin, Germany, 2017; Available online: https://specdis-software.jimdofree.com/ (accessed on 11 November 2025).
- Lu, T.; Chen, F. Multiwfn: A multifunctional wavefunction analyzer. J. Comput. Chem. 2012, 33, 580–592. [Google Scholar]








| Position | δC | δH [Mult, J in Hz] | HMBC (1H ⟶ 13C) |
|---|---|---|---|
| 1 | 155.3 | - | - |
| 2 | 116.4 | - | - |
| 3 | 144.7 | - | - |
| 4 | 112.2 | - | - |
| 5 | 145.2 | - | - |
| 6 | 135.5 | - | - |
| 7 | 126.1 | 7.44 (d, 8.7) | C–5, C–6, C–8, C–13 |
| 8 | 120.8 | 7.94 (d, 8.7) | C–9, C–12 |
| 9 | 180.7 | - | - |
| 10 | 107.4 | - | - |
| 11 | 149.2 | - | - |
| 12 | 150.1 | - | - |
| 13 | 119.9 | - | - |
| 1-OH | - | 13.08 (s) | C–1, C–2, C–9, C–10, C–11 |
| 3-CH3 | 19.0 | 2.67 (s) | C–2, C–3, C–4 |
| 5-OCH3 | 61.7 | 4.20 (s) | C–5 |
| Bacteria | Inhibition Zone (mm) | ||
|---|---|---|---|
| C. skottsbergii Methanol Extract (4 mg/mL), 80 (µg/disk) | Negative Control (DMSO) | Positive Control Ampicillin (10 µg/disk) | |
| E. coli | 25 | 0 | 20 |
| MRSA USA-300 LAC | 14 | 0 | 38 |
| MSSA 8325-4 | 16 | 0 | 25 |
| Bacteria | MIC (µg/mL) | |||||
|---|---|---|---|---|---|---|
| Clarosione (1) | (S)-Usnic Acid (2) | Perlatolic Acid (3) | Crude Extract | Vancomycin | Gentamicin | |
| MRSA POB2 | nt | 4 | 2 | 40 | 0.5 | - |
| MRSA USA-300 | 128 | 4 | 2 | 40 | 0.5 | - |
| MRSA HBP10 | nt | 2 | 1 | 20 | 1 | - |
| MSSA RI13 | 128 | 4 | 2 | 40 | 0.5 | - |
| MSSA LUU7 | nt | 4 | 8 | 80 | 0.5 | - |
| MRSA KEH 19.2 | nt | 8 | 2 | 40 | 0.5 | - |
| MSSA ONE6 | nt | 4 | 2 | 40 | 0.5 | - |
| MSSA RI27 | nt | 4 | 2 | 40 | 1 | - |
| MSSA 8325-4 | 32 | 4 | 2 | 40 | 0.5 | - |
| MSSA Newman | 32 | 4 | 4 | 40 | 0.5 | - |
| E. coli | 128 | 128 | 128 | 640 | - | 0.25 |
| K. pneumoniae | 32 | 128 | 128 | 640 | - | 0.25 |
| P. aeruginosa | 64 | 128 | 128 | 640 | - | 0.25 |
Disclaimer/Publisher’s Note: The statements, opinions and data contained in all publications are solely those of the individual author(s) and contributor(s) and not of MDPI and/or the editor(s). MDPI and/or the editor(s) disclaim responsibility for any injury to people or property resulting from any ideas, methods, instructions or products referred to in the content. |
© 2026 by the authors. Licensee MDPI, Basel, Switzerland. This article is an open access article distributed under the terms and conditions of the Creative Commons Attribution (CC BY) license.
Share and Cite
Rositzki, M.J.; Raksat, A.; Simmons, C.J.; Smith, C.; Choi, R.D.V.; Wongwiwatthananukit, S.; Chang, L.C. A New Trichlorinated Xanthone and Compounds Isolated from Cladonia skottsbergii with Antimicrobial Properties. Pharmaceuticals 2026, 19, 174. https://doi.org/10.3390/ph19010174
Rositzki MJ, Raksat A, Simmons CJ, Smith C, Choi RDV, Wongwiwatthananukit S, Chang LC. A New Trichlorinated Xanthone and Compounds Isolated from Cladonia skottsbergii with Antimicrobial Properties. Pharmaceuticals. 2026; 19(1):174. https://doi.org/10.3390/ph19010174
Chicago/Turabian StyleRositzki, Marvin J., Achara Raksat, Charles J. Simmons, Clifford Smith, Reverend Danette V. Choi, Supakit Wongwiwatthananukit, and Leng Chee Chang. 2026. "A New Trichlorinated Xanthone and Compounds Isolated from Cladonia skottsbergii with Antimicrobial Properties" Pharmaceuticals 19, no. 1: 174. https://doi.org/10.3390/ph19010174
APA StyleRositzki, M. J., Raksat, A., Simmons, C. J., Smith, C., Choi, R. D. V., Wongwiwatthananukit, S., & Chang, L. C. (2026). A New Trichlorinated Xanthone and Compounds Isolated from Cladonia skottsbergii with Antimicrobial Properties. Pharmaceuticals, 19(1), 174. https://doi.org/10.3390/ph19010174

