“Attacking” the Gut–Brain Axis with Psychobiotics: An Umbrella Review of Depressive and Anxiety Symptoms
Abstract
1. Introduction
2. Materials and Methods
2.1. Experimental Approach and Protocol Register
2.2. Study Design
2.3. Participants
2.4. Study Selection
2.5. Primary and Secondary Specific Outcomes
2.6. Extraction of Bibliometric, Conceptual, and Psychometric Characteristics
2.7. Risk-of-Bias Assessments
2.8. Inter-Rater Agreement
2.9. Statistical Analysis
3. Results
3.1. Search Results and Inter-Rater Agreement
3.2. Bibliometric Analysis and Characteristics of the Studies
3.3. Summary and Guidance on the Results
3.3.1. General Information and Problems Encountered
3.3.2. Synthesis Strategy and Selection of Effect Estimates
3.3.3. Qualitative Summary of the Results
3.3.4. Effects of Probiotic Use on Symptoms of Depression
3.3.5. Effects of Probiotic Use on Symptoms of Anxiety
3.3.6. Effects of Prebiotic Use on Symptoms of Depression
3.3.7. Effects of Prebiotic Use on Symptoms of Anxiety
3.4. Risk-of-Bias Assessments (AMSTAR 2)
3.5. Heterogeneity of the Included Studies
4. Discussion
4.1. Interaction Between Antidepressants and Probiotics/Prebiotics
4.2. Strain-Specific Mechanistic Pathways Linking Lactobacillus and Bifidobacterium
4.3. Methodological Caveats
4.4. Analysis of Methodological Quality
4.5. Future Directions and Limitations
5. Conclusions
Supplementary Materials
Author Contributions
Funding
Institutional Review Board Statement
Informed Consent Statement
Data Availability Statement
Acknowledgments
Conflicts of Interest
Abbreviations
| AMSTAR 2 | A measurement tool to assess systematic reviews (version 2) |
| ACTH | Adrenocorticotropic hormone |
| BAI | Beck Anxiety Inventory |
| BDI | Beck Depression Inventory |
| BDNF | Brain-derived neurotrophic factor |
| CFU | Colony-forming unit |
| CI | Confidence interval |
| CRH | Corticotropin-releasing hormone |
| DSM-5 | Diagnostic and Statistical Manual of Mental Disorders, Fifth Edition |
| GABA | Gamma-aminobutyric acid |
| GAD | Generalized anxiety disorder |
| GI Tract | Gastrointestinal tract |
| GOS | Galactooligosaccharide |
| HADS | Hospital Anxiety and Depression Scale |
| HAM-A | Hamilton Anxiety Rating Scale |
| HAM-D | Hamilton Depression Rating Scale |
| HPA Axis | Hypothalamic |
| Pituitary | Adrenal axis |
| HDAC | Histone deacetylase |
| IBS | Irritable bowel syndrome |
| IL-6 | Interleukin-6 |
| IL-10 | Interleukin-10 |
| KYN Pathway | Kynurenine pathway |
| MeSH | Medical subject headings |
| NE | Norepinephrine |
| PRISMA | Preferred Reporting Items for Systematic Reviews and Meta-Analyses |
| PROSPERO | International Prospective Register of Systematic Reviews |
| QOL | Quality of life |
| RCT | Randomized controlled trial |
| SCFAs | Short-chain fatty acids |
| SCID | Structured Clinical Interview for DSM Disorders |
| SMD | Standardized mean difference |
| SNRI | Serotonin–norepinephrine reuptake inhibitor |
| SSRI | Selective serotonin reuptake inhibitor |
| STAI | State-Trait Anxiety Inventory |
| TNF-α | Tumor necrosis factor–alpha |
| WHOQOL-BREF | World Health Organization Quality of Life–Brief Version |
References
- Akkasheh, G.; Kashani-Poor, Z.; Tajabadi-Ebrahimi, M.; Jafari, P.; Akbari, H.; Taghizadeh, M.; Memarzadeh, M.R.; Asemi, Z.; Esmaillzadeh, A. Clinical and metabolic response to probiotic administration in patients with major depressive disorder: A randomized, double-blind, placebo-controlled trial. Nutrition 2016, 32, 315–320. [Google Scholar] [CrossRef] [PubMed]
- Del Toro-Barbosa, M.; Hurtado-Romero, A.; Garcia-Amezquita, L.E.; Garcia-Cayuela, T. Psychobiotics: Mechanisms of Action, Evaluation Methods and Effectiveness in Applications with Food Products. Nutrients 2020, 12, 3896. [Google Scholar] [CrossRef] [PubMed]
- Desai, V.; Kozyrskyj, A.L.; Lau, S.; Sanni, O.; Dennett, L.; Walter, J.; Ospina, M.B. Effectiveness of Probiotic, Prebiotic, and Synbiotic Supplementation to Improve Perinatal Mental Health in Mothers: A Systematic Review and Meta-Analysis. Front. Psychiatry 2021, 12, 622181. [Google Scholar] [CrossRef] [PubMed]
- Haller, H.; Anheyer, D.; Cramer, H.; Dobos, G. Complementary therapies for clinical depression: An overview of systematic reviews. BMJ Open 2019, 9, e028527. [Google Scholar] [CrossRef]
- Ribera, C.; Sanchez-Orti, J.V.; Clarke, G.; Marx, W.; Morkl, S.; Balanza-Martinez, V. Probiotic, prebiotic, synbiotic and fermented food supplementation in psychiatric disorders: A systematic review of clinical trials. Neurosci. Biobehav. Rev. 2024, 158, 105561. [Google Scholar] [CrossRef]
- Un-Nisa, A.; Khan, A.; Zakria, M.; Siraj, S.; Ullah, S.; Tipu, M.K.; Ikram, M.; Kim, M.O. Updates on the Role of Probiotics against Different Health Issues: Focus on Lactobacillus. Int. J. Mol. Sci. 2022, 24, 142. [Google Scholar] [CrossRef]
- Dinan, T.G.; Stanton, C.; Cryan, J.F. Psychobiotics: A novel class of psychotropic. Biol. Psychiatry 2013, 74, 720–726. [Google Scholar] [CrossRef]
- Goel, R.; Gupta, B.; Satodiya, V.N.; Vala, A.U.; Dabhi, H.; Mittal, A. Association of Gut-Microbiome and mental health and effects of probiotics on psychiatric disorders: A Meta-analysis and systematic review. Niger. Med. J. 2025, 66, 13–25. [Google Scholar] [CrossRef]
- Luo, Y.; Li, Z.; Gu, L.; Zhang, K. Fermented dairy foods consumption and depressive symptoms: A meta-analysis of cohort studies. PLoS ONE 2023, 18, e0281346. [Google Scholar] [CrossRef]
- Sarkar, A.; Lehto, S.M.; Harty, S.; Dinan, T.G.; Cryan, J.F.; Burnet, P.W.J. Psychobiotics and the Manipulation of Bacteria-Gut-Brain Signals. Trends Neurosci. 2016, 39, 763–781. [Google Scholar] [CrossRef]
- Wallace, C.J.K.; Milev, R. The effects of probiotics on depressive symptoms in humans: A systematic review. Ann. Gen. Psychiatry 2017, 16, 14. [Google Scholar] [CrossRef] [PubMed]
- Heidari, M.; Khodadadi Jokar, Y.; Madani, S.; Shahi, S.; Shahi, M.S.; Goli, M. Influence of Food Type on Human Psychological-Behavioral Responses and Crime Reduction. Nutrients 2023, 15, 3715. [Google Scholar] [CrossRef] [PubMed]
- Hill, C.; Guarner, F.; Reid, G.; Gibson, G.R.; Merenstein, D.J.; Pot, B.; Morelli, L.; Canani, R.B.; Flint, H.J.; Salminen, S.; et al. Expert consensus document. The International Scientific Association for Probiotics and Prebiotics consensus statement on the scope and appropriate use of the term probiotic. Nat. Rev. Gastroenterol. Hepatol. 2014, 11, 506–514. [Google Scholar] [CrossRef] [PubMed]
- Desbonnet, L.; Garrett, L.; Clarke, G.; Kiely, B.; Cryan, J.F.; Dinan, T.G. Effects of the probiotic Bifidobacterium infantis in the maternal separation model of depression. Neuroscience 2010, 170, 1179–1188. [Google Scholar] [CrossRef]
- Messaoudi, M.; Violle, N.; Bisson, J.F.; Desor, D.; Javelot, H.; Rougeot, C. Beneficial psychological effects of a probiotic formulation (Lactobacillus helveticus R0052 and Bifidobacterium longum R0175) in healthy human volunteers. Gut Microbes 2011, 2, 256–261. [Google Scholar] [CrossRef]
- Le Morvan de Sequeira, C.; Hengstberger, C.; Enck, P.; Mack, I. Effect of Probiotics on Psychiatric Symptoms and Central Nervous System Functions in Human Health and Disease: A Systematic Review and Meta-Analysis. Nutrients 2022, 14, 621. [Google Scholar] [CrossRef]
- Ng, Q.X.; Peters, C.; Ho, C.Y.X.; Lim, D.Y.; Yeo, W.S. A meta-analysis of the use of probiotics to alleviate depressive symptoms. J. Affect. Disord. 2018, 228, 13–19. [Google Scholar] [CrossRef]
- Budde, H.; Dolz, N.; Mueller-Alcazar, A.; Schacht, F.; Velasques, B.; Ribeiro, P.; Machado, S.; Wegner, M. A 10 years update of effects of exercise on depression disorders-in otherwise healthy adults: A systematic review of meta-analyses and neurobiological mechanisms. PLoS ONE 2025, 20, e0317610. [Google Scholar] [CrossRef]
- Chen, C.M.; Liang, S.C.; Sun, C.K.; Cheng, Y.S.; Tang, Y.H.; Liu, C.; Hung, K.C. Therapeutic effects of probiotics on symptoms of depression in children and adolescents: A systematic review and meta-analysis. Ital. J. Pediatr. 2024, 50, 239. [Google Scholar] [CrossRef]
- Dehghani, F.; Abdollahi, S.; Shidfar, F.; Clark, C.C.T.; Soltani, S. Probiotics supplementation and brain-derived neurotrophic factor (BDNF): A systematic review and meta-analysis of randomized controlled trials. Nutr. Neurosci. 2023, 26, 942–952. [Google Scholar] [CrossRef]
- Du, Q.; Li, Q.; Liu, C.; Liao, G.; Li, J.; Yang, J.; Zhang, Q.; Gong, X.; Li, K. Probiotics/prebiotics/synbiotics and human neuropsychiatric outcomes: An umbrella review. Benef. Microbes 2024, 15, 589–608. [Google Scholar] [CrossRef] [PubMed]
- He, J.; Chang, L.; Zhang, L.; Wu, W.; Zhuo, D. Effect of probiotic supplementation on cognition and depressive symptoms in patients with depression: A systematic review and meta-analysis. Medicine 2023, 102, e36005. [Google Scholar] [CrossRef] [PubMed]
- Morán, A.C.; Oba, E.R.; Castañeda, C.D.; Orozco, A.R.; Loeza, B.M.; Villalobos, G.G. Efficacy of Probiotics, Prebiotics, and Symbiotics for the Treatment of Depression: A meta-review. Salud Ment. 2025, 48, 31–46. [Google Scholar] [CrossRef]
- Musazadeh, V.; Zarezadeh, M.; Faghfouri, A.H.; Keramati, M.; Jamilian, P.; Jamilian, P.; Mohagheghi, A.; Farnam, A. Probiotics as an effective therapeutic approach in alleviating depression symptoms: An umbrella meta-analysis. Crit. Rev. Food Sci. Nutr. 2023, 63, 8292–8300. [Google Scholar] [CrossRef]
- Nikolova, V.L.; Smith, M.R.B.; Hall, L.J.; Cleare, A.J.; Stone, J.M.; Young, A.H. Perturbations in Gut Microbiota Composition in Psychiatric Disorders: A Review and Meta-analysis. JAMA Psychiatry 2021, 78, 1343–1354. [Google Scholar] [CrossRef]
- Sikorska, M.; Antosik-Wojcinska, A.Z.; Dominiak, M. Probiotics as a Tool for Regulating Molecular Mechanisms in Depression: A Systematic Review and Meta-Analysis of Randomized Clinical Trials. Int. J. Mol. Sci. 2023, 24, 3081. [Google Scholar] [CrossRef]
- Zhang, Q.; Chen, B.; Zhang, J.; Dong, J.; Ma, J.; Zhang, Y.; Jin, K.; Lu, J. Effect of prebiotics, probiotics, synbiotics on depression: Results from a meta-analysis. BMC Psychiatry 2023, 23, 477. [Google Scholar] [CrossRef]
- Huang, R.; Wang, K.; Hu, J. Effect of Probiotics on Depression: A Systematic Review and Meta-Analysis of Randomized Controlled Trials. Nutrients 2016, 8, 483. [Google Scholar] [CrossRef]
- McKean, J.; Naug, H.; Nikbakht, E.; Amiet, B.; Colson, N. Probiotics and Subclinical Psychological Symptoms in Healthy Participants: A Systematic Review and Meta-Analysis. J. Altern. Complement. Med. 2017, 23, 249–258. [Google Scholar] [CrossRef]
- Liu, B.; He, Y.; Wang, M.; Liu, J.; Ju, Y.; Zhang, Y.; Liu, T.; Li, L.; Li, Q. Efficacy of probiotics on anxiety-A meta-analysis of randomized controlled trials. Depress. Anxiety 2018, 35, 935–945. [Google Scholar] [CrossRef]
- Reis, D.J.; Ilardi, S.S.; Punt, S.E.W. The anxiolytic effect of probiotics: A systematic review and meta-analysis of the clinical and preclinical literature. PLoS ONE 2018, 13, e0199041. [Google Scholar] [CrossRef] [PubMed]
- Liu, R.T.; Walsh, R.F.L.; Sheehan, A.E. Prebiotics and probiotics for depression and anxiety: A systematic review and meta-analysis of controlled clinical trials. Neurosci. Biobehav. Rev. 2019, 102, 13–23. [Google Scholar] [CrossRef] [PubMed]
- Goh, K.K.; Liu, Y.W.; Kuo, P.H.; Chung, Y.E.; Lu, M.L.; Chen, C.H. Effect of probiotics on depressive symptoms: A meta-analysis of human studies. Psychiatry Res. 2019, 282, 112568. [Google Scholar] [CrossRef] [PubMed]
- Nikolova, V.; Zaidi, S.Y.; Young, A.H.; Cleare, A.J.; Stone, J.M. Gut feeling: Randomized controlled trials of probiotics for the treatment of clinical depression: Systematic review and meta-analysis. Ther. Adv. Psychopharmacol. 2019, 9, 2045125319859963. [Google Scholar] [CrossRef]
- Zagorska, A.; Marcinkowska, M.; Jamrozik, M.; Wisniowska, B.; Pasko, P. From probiotics to psychobiotics—The gut-brain axis in psychiatric disorders. Benef. Microbes 2020, 11, 717–732. [Google Scholar] [CrossRef]
- Chao, L.; Liu, C.; Sutthawongwadee, S.; Li, Y.; Lv, W.; Chen, W.; Yu, L.; Zhou, J.; Guo, A.; Li, Z.; et al. Effects of Probiotics on Depressive or Anxiety Variables in Healthy Participants Under Stress Conditions or with a Depressive or Anxiety Diagnosis: A Meta-Analysis of Randomized Controlled Trials. Front. Neurol. 2020, 11, 421. [Google Scholar] [CrossRef]
- Zhang, N.; Zhang, Y.; Li, M.; Wang, W.; Liu, Z.; Xi, C.; Huang, X.; Liu, J.; Huang, J.; Tian, D.; et al. Efficacy of probiotics on stress in healthy volunteers: A systematic review and meta-analysis based on randomized controlled trials. Brain Behav. 2020, 10, e01699. [Google Scholar] [CrossRef]
- Amirani, E.; Milajerdi, A.; Mirzaei, H.; Jamilian, H.; Mansournia, M.A.; Hallajzadeh, J.; Ghaderi, A. The effects of probiotic supplementation on mental health, biomarkers of inflammation and oxidative stress in patients with psychiatric disorders: A systematic review and meta-analysis of randomized controlled trials. Complement. Ther. Med. 2020, 49, 102361. [Google Scholar] [CrossRef]
- Hofmeister, M.; Clement, F.; Patten, S.; Li, J.; Dowsett, L.E.; Farkas, B.; Mastikhina, L.; Egunsola, O.; Diaz, R.; Cooke, N.C.A.; et al. The effect of interventions targeting gut microbiota on depressive symptoms: A systematic review and meta-analysis. CMAJ Open 2021, 9, E1195–E1204. [Google Scholar] [CrossRef]
- Nikolova, V.L.; Cleare, A.J.; Young, A.H.; Stone, J.M. Updated Review and Meta-Analysis of Probiotics for the Treatment of Clinical Depression: Adjunctive vs. Stand-Alone Treatment. J. Clin. Med. 2021, 10, 647. [Google Scholar] [CrossRef]
- Cohen Kadosh, K.; Basso, M.; Knytl, P.; Johnstone, N.; Lau, J.Y.F.; Gibson, G.R. Psychobiotic interventions for anxiety in young people: A systematic review and meta-analysis, with youth consultation. Transl. Psychiatry 2021, 11, 352. [Google Scholar] [CrossRef] [PubMed]
- El Dib, R.; Periyasamy, A.G.; de Barros, J.L.; Franca, C.G.; Senefonte, F.L.; Vesentini, G.; Alves, M.G.O.; Rodrigues, J.; Gomaa, H.; Gomes Junior, J.R.; et al. Probiotics for the treatment of depression and anxiety: A systematic review and meta-analysis of randomized controlled trials. Clin. Nutr. ESPEN 2021, 45, 75–90. [Google Scholar] [CrossRef] [PubMed]
- Misera, A.; Liskiewicz, P.; Loniewski, I.; Skonieczna-Zydecka, K.; Samochowiec, J. Effect of Psychobiotics on Psychometric Tests and Inflammatory Markers in Major Depressive Disorder: Meta-Analysis of Randomized Controlled Trials with Meta-Regression. Pharmaceuticals 2021, 14, 952. [Google Scholar] [CrossRef] [PubMed]
- Lin, J.; Zhang, Y.; Wang, K.; Wang, J.; Kou, S.; Chen, K.; Zheng, W.; Chen, R. The effect and safety of probiotics on depression: A systematic review and meta-analysis of randomized controlled trials. Eur. J. Nutr. 2023, 62, 2709–2721. [Google Scholar] [CrossRef]
- Zhao, Z.; Xiao, G.; Xia, J.; Guo, H.; Yang, X.; Jiang, Q.; Wang, H.; Hu, J.; Zhang, C. Effectiveness of probiotic/prebiotic/synbiotic treatments on anxiety: A systematic review and meta-analysis of randomized controlled trials. J. Affect. Disord. 2023, 343, 9–21. [Google Scholar] [CrossRef]
- Huang, R.; Liu, Y. Efficacy of bifidobacterium-related preparations on depression: The first meta-analysis. Front. Psychiatry 2024, 151, 463848. [Google Scholar] [CrossRef]
- Rahmannia, M.; Poudineh, M.; Mirzaei, R.; Aalipour, M.A.; Shahidi Bonjar, A.H.; Goudarzi, M.; Kheradmand, A.; Aslani, H.R.; Sadeghian, M.; Nasiri, M.J.; et al. Strain-specific effects of probiotics on depression and anxiety: A meta-analysis. Gut Pathog. 2024, 16, 46. [Google Scholar] [CrossRef]
- Asad, A.; Kirk, M.; Zhu, S.; Dong, X.; Gao, M. Effects of Prebiotics and Probiotics on Symptoms of Depression and Anxiety in Clinically Diagnosed Samples: Systematic Review and Meta-analysis of Randomized Controlled Trials. Nutr. Rev. 2025, 83, e1504–e1520. [Google Scholar] [CrossRef]
- Sulaiman, N.N.Y.; Mohamad Nizam, N.B.; Mohd Noor, N.A.; Lim, S.M.; Ramasamy, K.; Alabsi, A.M.; Ismail, M.F. An updated systematic review and appraisal of the pathophysiologic mechanisms of probiotics in alleviating depression. Nutr. Neurosci. 2025, 28, 564–1584. [Google Scholar] [CrossRef]
- Zhao, S.; Liang, S.; Tao, J.; Peng, Y.; Chen, S.; Wai, H.K.F.; Chung, F.Y.; Sin, Z.Y.; Wong, M.K.L.; Haqq, A.M.; et al. Probiotics for adults with major depressive disorder compared with antidepressants: A systematic review and network meta-analysis. Nutr. Rev. 2025, 83, 72–82. [Google Scholar] [CrossRef]
- Zandifar, A.; Badrfam, R.; Mohammaditabar, M.; Kargar, B.; Goodarzi, S.; Hajialigol, A.; Ketabforoush, S.; Heidari, A.; Fathi, H.; Shafiee, A.; et al. The Effect of Prebiotics and Probiotics on Levels of Depression, Anxiety, and Cognitive Function: A Meta-Analysis of Randomized Clinical Trials. Brain Behav. 2025, 15, e70401. [Google Scholar] [CrossRef] [PubMed]
- Cheng, Q.; Ran, Y.; Mo, X.; Xiao, R.; He, D.; Guo, S.; Wang, H.; Liu, L.; Xie, P. The efficacy and acceptability of Lactobacillus reuteri for the treatment of depression: A systematic review and meta-analysis. Gen. Hosp. Psychiatry 2025, 95, 122–132. [Google Scholar] [CrossRef] [PubMed]
- Moshfeghinia, R.; Nemati, H.; Ebrahimi, A.; Shekouh, D.; Karami, S.; Eraghi, M.M.; Mohagheghzadeh, H.; Hunter, J.; Pasalar, M. The impact of probiotics, prebiotics, and synbiotics on depression and anxiety symptoms of patients with depression: A systematic review and meta-analysis. J. Psychiatr. Res. 2025, 188, 104–116. [Google Scholar] [CrossRef] [PubMed]
- Zhu, H.; Tian, P.; Zhao, J.; Zhang, H.; Wang, G.; Chen, W. A psychobiotic approach to the treatment of depression: A systematic review and meta-analysis. J. Funct. Foods 2022, 91, 104999. [Google Scholar] [CrossRef]
- Halemani, K.; Shetty, A.P.; Thimmappa, L.; Issac, A.; Dhiraaj, S.; Radha, K.; Mishra, P.; Mathias, E.G. Impact of probiotic on anxiety and depression symptoms in pregnant and lactating women and microbiota of infants: A systematic review and meta-analysis. J. Glob. Health 2023, 13, 04038. [Google Scholar] [CrossRef]
- Page, M.J.; McKenzie, J.E.; Bossuyt, P.M.; Boutron, I.; Hoffmann, T.C.; Mulrow, C.D.; Shamseer, L.; Tetzlaff, J.M.; Akl, E.A.; Brennan, S.E.; et al. The PRISMA 2020 Statement: An Updated Guideline for Reporting Systematic Reviews. BMJ 2021, 372, n71. [Google Scholar] [CrossRef]
- Shea, B.J.; Reeves, B.C.; Wells, G.; Thuku, M.; Hamel, C.; Moran, J.; Moher, D.; Tugwell, P.; Welch, V.; Kristjansson, E.; et al. AMSTAR 2: A critical appraisal tool for systematic reviews that include randomised or non-randomised studies of healthcare interventions, or both. BMJ 2017, 358, j4008. [Google Scholar] [CrossRef]
- Chen, C.; Shan, W. Pharmacological and non-pharmacological treatments for major depressive disorder in adults: A systematic review and network meta-analysis. Psychiatry Res. 2019, 281, 112595. [Google Scholar] [CrossRef]
- Vaghef-Mehrabany, E.; Maleki, V.; Behrooz, M.; Ranjbar, F.; Ebrahimi-Mameghani, M. Can psychobiotics “mood” ify gut? An update systematic review of randomized controlled trials in healthy and clinical subjects, on anti-depressant effects of probiotics, prebiotics, and synbiotics. Clin. Nutr. 2020, 39, 1395–1410. [Google Scholar] [CrossRef]
- Kazemi, A.; Noorbala, A.A.; Azam, K.; Eskandari, M.H.; Djafarian, K. Effect of probiotic and prebiotic vs placebo on psychological outcomes in patients with major depressive disorder: A randomized clinical trial. Clin. Nutr. 2019, 38, 522–528. [Google Scholar] [CrossRef]
- Yuan, T.F.; Ferreira Rocha, N.B.; Paes, F.; Arias-Carrion, O.; Machado, S.; de Sa Filho, A.S. Neural Mechanisms of Exercise: Effects on Gut Miccrobiota and Depression. CNS Neurol. Disord. Drug Targets 2015, 14, 1312–1314. [Google Scholar] [CrossRef] [PubMed]
- Cryan, J.F.; O’Riordan, K.J.; Cowan, C.S.M.; Sandhu, K.V.; Bastiaanssen, T.F.S.; Boehme, M.; Codagnone, M.G.; Cussotto, S.; Fulling, C.; Golubeva, A.V.; et al. The Microbiota-Gut-Brain Axis. Physiol. Rev. 2019, 99, 1877–2013. [Google Scholar] [CrossRef] [PubMed]
- Qu, S.; Yu, Z.; Zhou, Y.; Wang, S.; Jia, M.; Chen, T.; Zhang, X. Gut microbiota modulates neurotransmitter and gut-brain signaling. Microbiol. Res. 2024, 287, 127858. [Google Scholar] [CrossRef] [PubMed]
- Lim, H.S.; Cha, I.T.; Roh, S.W.; Shin, H.H.; Seo, M.J. Enhanced Production of Gamma-Aminobutyric Acid by Optimizing Culture Conditions of Lactobacillus brevis HYE1 Isolated from Kimchi, a Korean Fermented Food. J. Microbiol. Biotechnol. 2017, 27, 450–459. [Google Scholar] [CrossRef]
- Smith, K.; Greene, M.W.; Babu, J.R.; Frugé, A.D. Psychobiotics as treatment for anxiety, depression, and related symptoms: A systematic review. Nutr. Neurosci. 2021, 24, 963–977. [Google Scholar] [CrossRef]
- de Souza Moura, A.M.; Lamego, M.K.; Paes, F.; Ferreira Rocha, N.B.; Simoes-Silva, V.; Rocha, S.A.; de Sa Filho, A.S.; Rimes, R.; Manochio, J.; Budde, H.; et al. Effects of Aerobic Exercise on Anxiety Disorders: A Systematic Review. CNS Neurol. Disord. Drug Targets 2015, 14, 1184–1193. [Google Scholar] [CrossRef]
- Machado, S.; Telles, G.; Magalhaes, F.; Teixeira, D.; Amatriain-Fernandez, S.; Budde, H.; Imperatori, C.; Murillo-Rodriguez, E.; Monteiro, D.; Telles Correia, D.; et al. Can regular physical exercise be a treatment for panic disorder? A systematic review. Expert Rev. Neurother. 2022, 22, 53–64. [Google Scholar] [CrossRef]
- Eskandarzadeh, S.; Effatpanah, M.; Khosravi-Darani, K.; Askari, R.; Hosseini, A.F.; Reisian, M.; Jazayeri, S. Efficacy of a multispecies probiotic as adjunctive therapy in generalized anxiety disorder: A double blind, randomized, placebo-controlled trial. Nutr. Neurosci. 2021, 24, 102–108. [Google Scholar] [CrossRef]
- Koh, A.; De Vadder, F.; Kovatcheva-Datchary, P.; Backhed, F. From Dietary Fiber to Host Physiology: Short-Chain Fatty Acids as Key Bacterial Metabolites. Cell 2016, 165, 1332–1345. [Google Scholar] [CrossRef]
- Fusco, W.; Lorenzo, M.B.; Cintoni, M.; Porcari, S.; Rinninella, E.; Kaitsas, F.; Lener, E.; Mele, M.C.; Gasbarrini, A.; Collado, M.C.; et al. Short-Chain Fatty-Acid-Producing Bacteria: Key Components of the Human Gut Microbiota. Nutrients 2023, 15, 2211. [Google Scholar] [CrossRef]
- Morrison, D.J.; Preston, T. Formation of short chain fatty acids by the gut microbiota and their impact on human metabolism. Gut Microbes 2016, 7, 189–200. [Google Scholar] [CrossRef] [PubMed]
- Dalile, B.; Van Oudenhove, L.; Vervliet, B.; Verbeke, K. The role of short-chain fatty acids in microbiota-gut-brain communication. Nat. Rev. Gastroenterol. Hepatol. 2019, 16, 461–478. [Google Scholar] [CrossRef] [PubMed]
- Rush, A.J.; Trivedi, M.H.; Wisniewski, S.R.; Nierenberg, A.A.; Stewart, J.W.; Warden, D.; Niederehe, G.; Thase, M.E.; Lavori, P.W.; Lebowitz, B.D.; et al. Acute and longer-term outcomes in depressed outpatients requiring one or several treatment steps: A STAR*D report. Am. J. Psychiatry 2006, 163, 1905–1917. [Google Scholar] [CrossRef]
- Cipriani, A.; Furukawa, T.A.; Salanti, G.; Chaimani, A.; Atkinson, L.Z.; Ogawa, Y.; Leucht, S.; Ruhe, H.G.; Turner, E.H.; Higgins, J.P.T.; et al. Comparative efficacy and acceptability of 21 antidepressant drugs for the acute treatment of adults with major depressive disorder: A systematic review and network meta-analysis. Lancet 2018, 391, 1357–1366. [Google Scholar] [CrossRef] [PubMed]
- Cussotto, S.; Sandhu, K.V.; Dinan, T.G.; Cryan, J.F. The Neuroendocrinology of the Microbiota-Gut-Brain Axis: A Behavioural Perspective. Front. Neuroendocrinol. 2018, 51, 80–101. [Google Scholar] [CrossRef]
- Kelly, J.R.; Clarke, G.; Cryan, J.F.; Dinan, T.G. Brain-gut-microbiota axis: Challenges for translation in psychiatry. Ann. Epidemiol. 2016, 26, 366–372. [Google Scholar] [CrossRef]
- Dinan, T.G.; Cryan, J.F. The Microbiome-Gut-Brain Axis in Health and Disease. Gastroenterol. Clin. N. Am. 2017, 46, 77–89. [Google Scholar] [CrossRef]
- Breuling, M.; Tomeva, E.; Ivanovic, N.; Haslberger, A. Butyrate- and Beta-Hydroxybutyrate-Mediated Effects of Interventions with Pro- and Prebiotics, Fasting, and Caloric Restrictions on Depression: A Systematic Review and Meta-Analysis. Life 2024, 14, 787. [Google Scholar] [CrossRef]
- Romijn, A.R.; Rucklidge, J.J.; Kuijer, R.G.; Frampton, C. A double-blind, randomized, placebo-controlled trial of Lactobacillus helveticus and Bifidobacterium longum for the symptoms of depression. Aust. N. Z. J. Psychiatry 2017, 51, 810–821. [Google Scholar] [CrossRef]
- Foster, J.A.; Rinaman, L.; Cryan, J.F. Stress & the gut-brain axis: Regulation by the microbiome. Neurobiol. Stress 2017, 7, 124–136. [Google Scholar] [CrossRef]
- Bravo, J.A.; Forsythe, P.; Chew, M.V.; Escaravage, E.; Savignac, H.M.; Dinan, T.G.; Bienenstock, J.; Cryan, J.F. Ingestion of Lactobacillus strain regulates emotional behavior and central GABA receptor expression in a mouse via the vagus nerve. Proc. Natl. Acad. Sci. USA 2011, 108, 16050–16055. [Google Scholar] [CrossRef]
- Shefali, G.; Mai, H.; Laila, A.; Emerson, F.; Yen, R.; Emeny, R. S1540 Effect of Probiotics on Mental Health and Their Association with Serum Neurometabolites in Adults with Depression or Anxiety: A Systematic Review and Meta-Analysis. Am. J. Gastroenterol. 2022, 117, e1102. [Google Scholar] [CrossRef]
- Tian, P.; Chen, Y.; Zhu, H.; Wang, L.; Qian, X.; Zou, R.; Zhao, J.; Zhang, H.; Qian, L.; Wang, Q.; et al. Bifidobacterium breve CCFM1025 attenuates major depression disorder via regulating gut microbiome and tryptophan metabolism: A randomized clinical trial. Brain Behav. Immun. 2022, 100, 233–241. [Google Scholar] [CrossRef]
- Yuan, T.F.; Paes, F.; Arias-Carrion, O.; Ferreira Rocha, N.B.; de Sa Filho, A.S.; Machado, S. Neural Mechanisms of Exercise: Anti-Depression, Neurogenesis, and Serotonin Signaling. CNS Neurol. Disord. Drug Targets 2015, 14, 1307–1311. [Google Scholar] [CrossRef]
- Yamanbaeva, G.; Schaub, A.C.; Schneider, E.; Schweinfurth, N.; Kettelhack, C.; Doll, J.P.K.; Mahlmann, L.; Brand, S.; Beglinger, C.; Borgwardt, S.; et al. Effects of a probiotic add-on treatment on fronto-limbic brain structure, function, and perfusion in depression: Secondary neuroimaging findings of a randomized controlled trial. J. Affect. Disord. 2023, 324, 529–538. [Google Scholar] [CrossRef]
- Crocetta, A.; Liloia, D.; Costa, T.; Duca, S.; Cauda, F.; Manuello, J. From gut to brain: Unveiling probiotic effects through a neuroimaging perspective-A systematic review of randomized controlled trials. Front. Nutr. 2024, 11, 1446854. [Google Scholar] [CrossRef]
- Rokkas, T.; Ekmektzoglou, K.; Tsanou, E.; Bricca, L.; Menni, A.E.; Golfakis, P.; Kotzampassi, K. Comparative effectiveness and safety of probiotics with psychotropic potential in mental health benefits in irritable bowel syndrome: A systematic review and network meta-analysis. Eur. J. Gastroenterol. Hepatol. 2025, 38, 27–35. [Google Scholar] [CrossRef]
- Trifkovic, K.C.; Micetic-Turk, D.; Kmetec, S.; Strauss, M.; Dahlen, H.G.; Foster, J.P.; Fijan, S. Efficacy of Direct or Indirect Use of Probiotics for the Improvement of Maternal Depression during Pregnancy and in the Postnatal Period: A Systematic Review and Meta-Analysis. Healthcare 2022, 10, 970. [Google Scholar] [CrossRef]
- Dubreucq, J.; Kamperman, A.M.; Al-Maach, N.; Bramer, W.M.; Pacheco, F.; Ganho-Avila, A.; Lambregtse-van den Berg, M. Examining the evidence on complementary and alternative therapies to treat peripartum depression in pregnant or postpartum women: Study protocol for an umbrella review of systematic reviews and meta-analyses. BMJ Open 2022, 12, e057327. [Google Scholar] [CrossRef]
- Scott, F.; Hampsey, E.; Gnanapragasam, S.; Carter, B.; Marwood, L.; Taylor, R.W.; Emre, C.; Korotkova, L.; Martín-Dombrowski, J.; Cleare, A.J.; et al. Systematic review and meta-analysis of augmentation and combination treatments for early-stage treatment-resistant depression. J. Psychopharmacol. 2023, 37, 268–278. [Google Scholar] [CrossRef]
- Sanada, K.; Nakajima, S.; Kurokawa, S.; Barcelo-Soler, A.; Ikuse, D.; Hirata, A.; Yoshizawa, A.; Tomizawa, Y.; Salas-Valero, M.; Noda, Y.; et al. Gut microbiota and major depressive disorder: A systematic review and meta-analysis. J. Affect. Disord. 2020, 266, 1–13. [Google Scholar] [CrossRef]










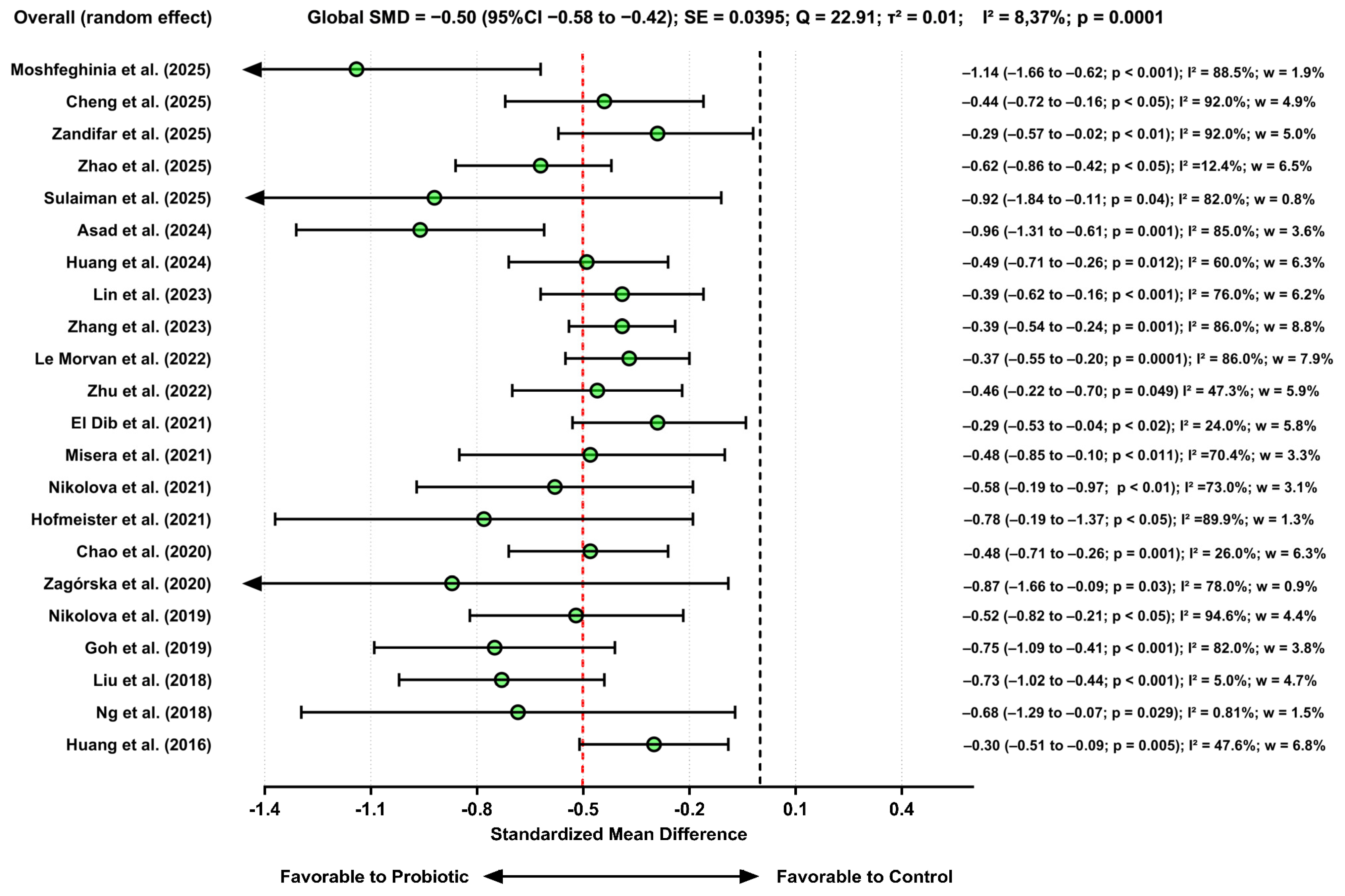
| Author/Year (Type; n Total) | Population (n, Age, Condition) | Intervention (Probiotic Species/Duration) | Main Outcome and Direction of Change |
|---|---|---|---|
| Huang et al. [28] Meta-analysis (5 RCT; n = 365) | n = 183 EXP, n = 182 PLA. Samples: healthy adults (n = 3); Stressed Workers (n = 1); Patients with MDD (n = 1). Age range: 20–65 years. | Probiotics: L. casei, L. acidophilus, L. rhamnosus, L. bulgaricus, L. pentosus, L. helveticus, L. brevis, L. salivarius, L. lactis, B. breve, B. longum, B. bifidum, B. lactis, S. thermophilus., sachets, yogurt; Duration: 4–20 weeks. | Global: SMD = −0.30 [95%CI −0.51 to −0.09]; p = 0.005. Subgroups: <60 years: SMD = −0.43 [95% CI −0.72 to −0.13]; p = 0.005. ≥65 years: NS; SMD = −0.18; [95%CI −0.47 to 0.11]; p = 0.22. Healthy (n = 4): SMD = −0.25 [95%CI −0.47 to −0.03]; p = 0.03 MDD (n = 1): SMD = −0.73 [95%CI −1.37 to −0.09]; p = 0.03. |
| Liu et al. [30] Meta-analysis (12 RCT; n = 1551) | n = 871 EXP, n = 680 PLA. Healthy participants (n = 4) Irritable eye syndrome (n = 1) Patients with MDD (n = 1) Patients with IBS (n = 6), Age ranged from 19.7 to 72.6 years; most participants were women. | Probiotics: L. helveticus, L. rhamnosus, L. acidophilus, L. casei Shirota, L. plantarum 299 v, L. reuteri, L. delbrueckii bulgaricus, L. lactis, B. longum, B. breve, B. bifidum, B. lactis, B. animalis, Pediococcus acidilactici, S. thermophilus; Forms: capsules, sachets, fermented milk/yogurt Duration: 4–24 weeks. | Global: SMD = −0.12 [95% CI −0.28 to 0.04]; p = 0.14; I2 = 51% → NS. Healthy (n = 4): SMD = −0.18 [95% CI −0.41 to 0.05]; p > 0.05 Unhealthy (n = 8): SMD = −0.09 [95% CI −0.30 to 0.13]; p > 0.05 IBS (n = 6): SMD = −0.10 [95% CI −0.36 to 0.16]; p > 0.05 Non-IBS (n = 6): SMD = −0.14 [95% CI −0.31 to 0.03]; p > 0.05 ≤8 weeks (n = 8): SMD = −0.11 [95% CI −0.34 to 0.12]; p > 0.05 >8 weeks (n = 4): SMD = −0.14 [95% CI −0.37 to 0.09]; p > 0.05 Multi-strain (n = 7): SMD = −0.05 [95% CI −0.26 to 0.17]; p > 0.05 Single-strain (n = 5): SMD = −0.21 [95% CI −0.44 to 0.02]; p > 0.05 |
| Reis et al. [31] Meta-analysis (14 RCT; n = 1.527) | “n” between groups not reported; Healthy participants (n = 7) Patients with IBS (n = 4) Patients with MDD (n = 1) Cancer patients (n = 1) Pregnant women (n = 1) Age ranged from 18 to 70 years | Probiotics: L. casei Shirota YIT9029; L. rhamnosus JB-1; C. butyricum; L. helveticus and B. longum R0175. Forms: capsules, fermented milk/yogurt, powder; Duration: 2–12 weeks. | Anxiety: SMD = −0.12 [95%CI: −0.29 to 0.05]; p = 0.151, indicating that probiotic administration did not result in reduction in anxiety; Subgroup: Anxiety in healthy: SMD = −0.10 [95%CI: −0.33 to 0.13]; p = 0.283; Clinical participants: SMD = −0.33 [95%CI: −1.08 to 0.43]; p = 0.312. |
| Ng et al. [17] Meta-analysis (10 RCT; n = 1349) | “n” between groups not reported; Healthy participants (n = 6) Stressed Workers (n = 1) Patients with MDD (n = 2) Patients with IBS (n = 1) Age ranged from 19.7 to 76.0 years | Multi-strain and mono-strain Probiotics: L. acidophilus; L. casei, B. bifidum; L. gasseri SBT2055 and B. longum SBT2928; Forms: capsules, fermented milk/yogurt, Powder; Duration: 30 d–12 weeks. | Global mood effect: SMD = −0.12 [95%CI −0.261–0.004]; p = 0.059; Subgroup: Significant effect among participants with MDD symptoms SMD = −0.684 [95%CI −1.296 to −0.071]; p = 0.029. Healthy participants: SMD = −0.09 [95%CI −0.235 to 0.034]; p = 0.146; No adverse events were reported across the 10 studies. |
| Liu et al. [32] Meta-analysis (34 RCT n = 429, Prebiotics; n = 2731, Probiotics) | 7 RCT Prebiotics Patients with IBS (n = 2) Patients with MDD (n = 1) Health Community (n = 3) 29 RCT Probiotics; Patients with IBS (n = 4) Patients with MDD (n = 3 Health Community (n = 15) Clinical patients (n = 5) | Prebiotics: GOS, FOS, FOS-enriched insulin; Dose: not reported; Duration: 4 hours to 8 weeks; Probiotics: B. bifidum, L. acidophilus, L. casei; B. breve, B. longum; Streptococcus thermophilus; L. paracasei; L. reuteri; L. rhamnosus; L. bulgaricus; Duration: 8 days-45 sem; | Prebiotics (General): MDD: SMD = −0.08 [95%CI −0.30 to 0.15]; p = 0.51; Anxiety: SMD = 0.12 [95%CI −0.03 to 0.27]; p = 0.11; Probiotics (General): MDD: SMD = −0.24 [95%CI −0.36 to −0.12]; p < 0.01; Anxiety: SMD = −0.10 [95%CI −0.19 to −0.01]; p = 0.03. Subgroup (Clinical Sample): MDD: SMD = −0.73, [95% CI−1.02 to −0.44] p < 0.001; I2 = 48.2%. Anxiety: SMD = −0.11 [95%CI −0.20 to −0.01; p = 0.03; I2 = 5.0%. Duration > 4 weeks: SMD = −0.28 [95%CI −0.44 to −0.13]; p < 0.001. |
| Goh et al. [33] Meta-analysis (19 RCT; n = 1901) | n = 1030 EXP; n = 871 PLA. Healthy participants (n = 9) Clinical patients (n = 2) Patients with MDD (n = 4) Patients with IBS (n = 2) Fibromyalgia patients (n = 1) Pregnant women (n = 1) Age ranged from 19.8 to 70.9 years; | Probiotics: L. acidophilus, L. casei, L. helveticus, L. rhamnosus, L. reuteri, L. plantarum, B. longum, B. breve, B. bifidum; Forms: capsules, sachets, tablets, fermented milk/yogurt, powder; Duration: 30 days–24 weeks; Single (n = 7) and multi-strain (n = 12). | Global: SMD = −0.31 [95%CI −0.56 to −0.07]; p = 0.01; I2 = 82%. Subgroups: MDD: SMD = −0.75 [95%CI −1.09 to −0.41]; p < 0.001; Clinical patients: NS; SMD = −0.26 [95%CI −0.70 to 0.17]; p = 0.24; Healthy population: NS; SMD = −0.25 [95%CI −0.60 to 0.11]; p = 0.17. Single-strain vs. multi-strain: only multi-strain was significant Safety: no differences in discontinuation rates (RR = 0.90; p = 0.62); Adverse events were comparable, except for increased abdominal discomfort in the probiotic group (p < 0.05). |
| Nikolova et al. [34] Meta-analysis (3 RCT; n = 229) | “n” between groups not reported; Patients with MDD (n = 3) Age ranged from 18 to 50 years | Probiotics: L. acidophilus; L. casei; B. bifidum; L. helveticus B. longum; Forms: capsules, sachets Duration: 8 weeks | Significant effect of probiotics on ↓ depressive symptoms; SMD = −0.52 [95%CI −0.82 to −0.21]; p = 0.03; I2 = 88.3 |
| Zagórska et al. [35] Meta-analysis (23 RCT; n = 2726) | Patients with MDD (n = 16) Patients with Anxiety (n = 14) Patients with Schizophrenia (n = 4) Stressed patients (n = 5) Age ranged from 18 to 74 years | Probiotics: Lactobacillus and Bifidobacterium (single- and multi-strain); some studies combining ≥6 strains. Duration: 4–24 weeks. | Global effect: SMD = −0.35 [95%CI −0.59 to −0.12]; p = 0.006; I2 = 79%. MDD: SMD = −0.87 [95%CI −1.66 to −0.09]; p = 0.03). Healthy participants: NS; SMD = −0.16 [95%CI −0.34 to 0.02]; p = 0.09. Anxiety: NS; SMD = −0.16 [95%CI −0.43 to 0.11]; p = 0.24; I2 = 87%. Stress: NS; SMD = −0.05 [95%CI −0.34 to 0.24]; p = 0.75; I2 = 25%. |
| Chao et al. [36] Meta-analysis (10 RCT; n = 773) | “n” between groups not reported; Patients with MDD (n = 4) Stressed patients (n = 6) Age ranged from 18 to 65 years | Probiotics: L. helveticus; B. longum; L. plantarum; L. acidophilus; L. casei; Bifidobacterium bifidum; L. rhamnosus; L. casei Shirota; Duration: 6–24 weeks | MDD: SMD = −0.48 [95%CI −0.71 to −0.26]; p = 0.27; Anxiety: NS; SMD = 0.00 [95%CI −0.41 to 0.41]; p = 0.23; Healthy Patients with MDD: SMD= −3.52 [95%CI −5.68 to −1.35] p = 0.08; Healthy Patients with Stress: SMD = −0.73 [95%CI −4.31 to 2.86], p = 0.18. |
| Zhang et al. [37] Meta-analysis (7 RCT; n = 1198) | n = 463 EXP; n = 735 PLA Healthy participants (n = 4) Clinical patients (n = 1) Stressed patients (n = 2) Age range: Not reported | Probiotics: L. helveticus and B. longum; L. helveticus; B. bifidum; L. reuteri; L. rhamnosus; L. bulgaricus; S. thermophilus; L. plantarum; Forms: ProbioStick; capsule; tablet; yogurt and powder. Duration: 30 days–24 weeks | Stress-related anxiety: SMD = −0.14 [95%CI −0.27 to −0.01]; p = 0.03; I2 = 0% Subgroup: Single-strain: NS; SMD = −0.12 [95%CI −0.26 to 0.02]; p = 0.09; I2 = 0% Multi-strain: NS; SMD = −0.32 [95%CI −0.30 to 0.05]; p = 0.11; I2 = 0% Short-term: NS; SMD = −0.13 [95%CI −0.30 to 0.05]; p = 0.17; I2 = 0% Long-term: NS; SMD = −0.16 [95%CI −0.36 to 0.03]; p = 0.09; I2 = 0%; |
| Amirani et al. [38] Meta-analysis (12 RCT; n = 656) | n = 330 EXP; n = 326 PLA MDD patients (n = 6) Alzheimer patients (n = 3) Stressed patients (n = 2) Patients with Schizophrenia (n = 1) Age ranged from 36.2 to 78.5 years | Probiotics: Lactobacillus or Bifidobacter strains: L. acidophilus, L. casei, B. bifidum, B. longum, L. fermentum, L. plantarum, B. lactis, L. bulgaricus, L. rhamnosus, B. breve; Form: capsules, sachets, and probiotic-containing foods; Duration: 6–12 weeks | MDD: WMD = −9.60 [95%CI −10.0 to −9.1]; p < 0.05; NS for age (<40 or >40 years); CRP Levels: NS; WMD = −1.59 [95%CI −2.2 to −0.97]; p > 0.05; TNF-α levels: WMD = −0.12 [95%CI −0.20 to −0.05]; p < 0.05; IL-1B levels: NS; WMD = −0.34 [95%CI −1.43 to 0.74]; p > 0.05; IL-10 levels: WMD = −0.29 [95%CI −0.48 to −0.11]; p < 0.05 |
| Hofmeister et al. [39] Meta-analysis (62 RCT; n = 5059) Probiotics (n = 44); Prebiotics (n = 5); Synbiotic (n = 6) | Probiotics: Patients with MDD (n = 9) Healthy participants (n = 9) Patients with IBS (n = 9) Clinical patients (n = 8) Bipolar patients (n = 2) Premenopausal female (n = 1) Pregnant female (n = 2) Multiple sclerosis patients (n = 3) Fibromyalgia patients (n = 1) Prebiotics: Patients with MDD (n = 3) Healthy participants (n = 2) Synbiotics: Healthy participants (n = 6) | Probiotics: Lactobacillus (n = 41); Bifidobacterium (n = 29); Other: Bacillus, Clostridium, Lactococcus, Streptococcus, Weisella, and Lacticaseibacillus. Prebiotics: compounds in food that induce growth or activity of gut microbiota Duration: 4–52 weeks. | Probiotics: MDD: SMD = −0.78 [95%CI −0.19 to −1.37]; I2 = 89.9%; p < 0.05; Without depression: SMD = −0.31 [95%CI −0.15 to −0.46]; I2 = 74.4%; p < 0.05; Prebiotics: MDD: SMD = −0.39 [95%CI−0.04 to −0.73]; I2 = 26.6%; p < 0.05; Without depression: NS; SMD = −0.13 [95%CI −0.23 to −0.48]; Synbiotics: Without depression: NS; SMD = −0.68 [95%CI −0.36 to 1.00]; I2 = 44.0%; |
| Nikolova et al. [40] Meta-analysis (7 RCT; n = 404) | “n” between groups not reported; Patients with MDD (n = 7) Age ranged from 35 to 43 years (52–85% female) | Probiotics: Lactobacillus and Bifidobacterium strains (mostly multi-strain formulations). Examples include L. acidophilus, L. casei, B. bifidum, L. helveticus, B. longum, and L. plantarum; Duration: 6–8 weeks. | Global: SMD = −0.58 [95%CI −0.19 to −0.97; I2 = 73%, p < 0.01; Adjunctive (add-on): SMD = −0.83 [95%CI −0.49 to −1.17]; p < 0.01; Stand-alone: SMD = −0.02 [95%CI −0.34 to −0.30], NS; excluding high risk of bias study: SMD = −0.67 [95%CI −0.40 to −0.95]; p > 0.05 |
| Cohen Kadosh et al. [41] Meta-analysis (10 RCT; n = 1503) Probiotics (n = 6) Prebiotics (n = 4) | “n” between groups not reported; Healthy students (n = 9) Children participants (n = 1) Age ranged from 18 to 30 years | Probiotics: B. longum, B. Infantis, L. acidophilus, L. plantarum, L. paracasei, L. bulgaricus, S. thermophilus, L. casei Shirota, Fermented Ginseng, Saccharomyces boulardii; Prebiotics: FOS, GOS; administered once to twice a day Forms: capsule, sachet, tablet, yogurt; liquid; Duration: 14–84 days | Anxiety: NS; SMD = −0.03 [95%CI −0.21 to 0.14]; p = 0.32; I2 = 12%; |
| El Dib et al. [42] Meta-analysis (16 RCT and quasi-RCTs.; n = 1125) | n = 754 EXP; n = 806 PLA Patients with MDD (n = 7) Patients with Anxiety (n = 4) Age ranged from 18 to 65 years | Probiotics: L. plantarum, L. helveticus, L. rhamnosus, L. casei, L. casei Shirota, L. paracasei, L. plantarum, bulgaricus, delbrueckii bulgaricus, B. acidophilus; B. longum, B. bifidum, B. breve, B. Infantis; Sacchar omyces boulardii; S. salivarius thermophilus; and S. thermophilus; Doses: NR; Forms: capsule, sachet, tablet, bottle; Duration: 4–24 weeks | MDD (BDI): SMD = −0.35 [95%CI −0.71 to −0.02]; p = 0.02; I2 = 21%; MDD (DASS): SMD = 0.18 [95%CI −0.08 to 0.45]; p = 0.16; I2 = 0%; MDD (MADRS): SMD = −0.34 [95%CI −1.43 to 0.74]; p = 0.56; I2 = 87%; Anxiety (STAI): SMD = −0.63 [95%CI −1.00 to −0.25]; p = 0.01; I2 = 24%; Anxiety (BAI): SMD = −0.28 [95%CI −0.59 to 0.03]; p = 0.06; I2 = 0%; Anxiety (DASS-A): SMD = −0.18 [95%CI −0.52 to −0.16]; p = 0.83; I2 = 74%; Stress: (DASS-S): SMD = 0.07 [95%CI −0.27 to 0.42]; p = 0.64; I2 = 34%; |
| Misera et al. [43] Meta-analysis (10 RCT; n = 603) | All patients with MDD Age ranged from 26,33 to 50,2 years | Probiotics: L. helveticus; B. longum; B. bifidum; B. lactis; L. acidophilus; L. casei; L. paracasei; L. plantarum; L. salivarius; L. lacti; Duration 28–62 days | MDD: SMD= −0.292 [95%CI −0.57 to −0.007]; p < 0.044; Subgroup: BDI: SMD= −0.482 [95%CI −0.85 to −0.10]; p < 0.011 |
| Zhu et al. [54] Meta-analysis (15 RCT; n = 1345) | n = 675 EXP, n = 670 PLA; Patients with MDD (n = 7) Healthy participants (n = 5) Patients with IBS (n = 2) Clinical patients (n = 1) Age ranged from 20 to 75 years | Probiotics: L. acidophilus, L. casei, L. helveticus, L. rhamnosus, L. plantarum, L. pentosus, B. bifidum, B. longum, B. breve, B. infantis, B. lactis, Bacillus coagulans; Forms: capsule, sachet, tablet, Yogurt; Duration: 90 days–20 weeks. | Global: SMD = −0.19 [95%CI −0.01 to −0.37]; p = 0.044; I2 = 59.7%. Subgroups: <60 years: SMD = −0.36 [95%CI −0.14 to −0.58]; p = 0.002; I2 = 57.5%; ≥60 years: NS; SMD = −0.13 [95%CI −0.31 to −0.04]; p > 0.05. Clinical MDD (n = 10): SMD = −0.46 [95%CI p < 0.001; I2 = 47.3%. Healthy (n = 9): NS; SMD = −0.10 [95%CI −0.23 to −0.02]. <8 weeks (n = 9): SMD = −0.30 (95%CI −0.12 to −0.47; p < 0.001; I2 = 27%); ≥8 weeks (n = 10): NS; SMD = 0.08; 95%CI −0.20–0.35; p = 0.59; I2 = 67.6%. Multi-strain (n = 9): SMD = −0.17 [95%CI −0.01 to −0.32]; p = 0.031; Single-strain (n = 10): NS; SMD = 0.18 p = 0.34; I2 = 78.8%. Solid forms: SMD = −0.27 [95%CI 0.06–0.48]; p = 0.01; Liquid forms (yogurt/milk): NS; SMD = −0.17 [95%CI −0.57 to −0.23]. |
| Le Morvan de Sequeira et al. [16] Meta-analysis, (30 RCT; n = 2595) | “n” between groups not reported Patients with MDD (n = 8) Patients with Anxiety (n = 5) Stressed patients (n = 7) Schizophrenia (n = 3) Age ranged from 36.2 (22.8–51.4) 62.9% were women | Probiotics: L. plantarum, L. rhamnosus, L. gasseri; L. helveticus, L. reuteri, L. paracasei Lpc-37, L. casei Shirota, L. pentosus strain b240, L. casei YIT 9029, L. Shirota YIT9029, L. helveticus strain CM4, L. paracasei YIT9029 B. breve, B. breve A1, Single strains (n = 16), Multi-strains (n = 14); Forms: Capsules, Tablets/pills, liquids/yogurt, powder Duration: 4–24 weeks. | Depression: SMD = −0.37 [95%CI −0.55 to −0.20]; p ≤ 0.0001; I2 = 48%; Anxiety: SMD = −0.30 [95%CI −0.60 to 0.01; p = 0.06; I2 = 86%; Distress: SMD = −0.33 [95%CI −0.53 to −0.13]; p = 0.001; I2 = 36%; Anxiety PSS: SMD = −0.17 [95%CI −0.33 to 0.00]; p = 0.05; I2 = 0% Mood (POMS): SMD = 0.17 [95%CI 0.10 to 0.24]; p < 0.0001; I2 = 0%; |
| Zhang et al. [27] Meta-analysis (13 RCT; n = 786) | n = 427 EXP; n = 359 PLA. Adults with MDD (n = 13) Age ranged from: 34.5–53.0 years ≥50% women in all studies | Probiotics (n = 9): L. casei, L. acidophilus, L. helveticus, L. rhamnosus, L. plantarum, B. longum, B. bifidum, B. breve. Prebiotics (n = 3): GOS, inulin. Synbiotic: (n = 1): multi-strains + fluoxetine. Duration: 3–24 weeks | Global MDD: SMD = −0.34 [95%CI −0.45 to −0.22; p < 0.001; I2 = 28.7%; Subgroup Analysis: Mild MDD: SMD = −0.38 [95%CI −0.63 to −0.14]; p = 0.002; I2 = 20.8%; Moderate MDD: SMD = −0.39 [95%CI −0.54 to −0.24]; p < 0.001; I2 = 21.8%; <70% women: SMD = −0.49 [95%CI −0.68 to −0.30], p < 0.001); ≥70% women: SMD = −0.21; [95%CI −0.38 to −0.05]; p = 0.011); Probiotics MDD: SMD = −0.35 [95%CI −0.47 to −0.22]; p < 0.001; I2 = 38.2%; Prebiotics MDD: NS; SMD = −0.25 [95%CI −0.64 to 0.15]; p = 0.22; I2 = 28.7%; Multi-strains: SMD = −0.27 [95%CI −0.43 to −0.10]; p = 0.002; I2 = 53.6%; Mono-strain: SMD = −0.42 [95%CI −0.62 to −0.22]; p < 0.001; I2 = 0 ≤4 weeks: SMD = −0.37 [95% CI −0.55 to −0.19]; p < 0.001; 4–8 weeks: SMD = −0.32 [95%CI −0.51 to −0.14]; p = 0.001 |
| Lin et al. [44] Meta-analysis (13 RCT; n = 776) | n = 397 EXP, n = 379 PLA; Patients with MDD Multiple sclerosis patients (n = 2) Clinical patients Fibromyalgia patients (n = 1) Patients with subclinical symptoms; | Probiotics: Lactobacillus, Bifidobacterium, Streptococcus, Bacillus, including multi-strain and single-strain formulas; Forms: capsules, powder, yogurt, tablets; Duration: 4–20 week. | BDI-II global: MD = −1.98 (95%CI −3.14 to −0.82; p < 0.001; I2 = 76%). Subgroups: MDD: NS; MD = −1.66 [95%CI − 3.33 to 0.02]; p = 0.05; I2 = 0%; ≥40 years: MD = −2.80 [95%CI −4.17 to −1.43]; p < 0.001; <40 years: NS; MD = −0.40 [95%CI −1.52 to 0.71]; p = 0.48; ≤8 weeks: MD = −3.28 [95%CI −5.55 to −1.00]; p = 0.005; >8 weeks: MD = −1.20 [95%CI −2.35 to −0.05]; p = 0.04; |
| Zhao et al. [45] Meta-analysis (23 RCT; n = 2035) | n = 1030 EXP, n = 1005 PLA Patients with MDD(n = 3) Patients with Anxiety (n = 29) Healthy adults(n = 8) Other comorbidities (n = 10) | Probiotics: L. acidophilus; B. longum; L. helveticus; B. bifidum; L. rhamnosus; Prebiotics: inulin; FOS; GOS; Synbiotics: L. acidophilus and inulin; B. bifidum and FOS Forms: Capsules; Sachets; Spray-Dried Powder; Pills; Fermented Liquids; Freeze-Dried Powder Duration: 4–24 week. | Global Anxiety: SMD = −0.16 [95%CI −0.26 to −0.05]; p < 0.01; Subgroup: STAI-S: SMD = −0.29 [95%CI −0.56 to −0.02]; p = 0.04, I2 = 36%; BAI: SMD = −0.26 [95%CI −0.49 to −0.03]; p = 0.03, I2 = 0%; Mental health: SMD = −0.29 [95%CI −0.54 to −0.04]; p = 0.02; Anxiety (IBS): SMD = −0.14 [95%CI −0.27 to −0.01]; p = 0.03; Anxiety without IBS: SMD = −0.16 [95%CI −0.32 to 0.00]; p = 0.05; Low dose: SMD = −0.16 [95%CI −0.29 to −0.03]; p = 0.04; I2 = 18%; Multi-strain: SMD = −0.19 [95%CI −0.32 to −0.07]; p < 0.01; I2 = 50%; ≥8 weeks: SMD = −0.14 [95%CI −0.27 to −0.01] p = 0.04 I2 = 39% <8 weeks: SMD = −0.20 [95%CI −0.39 to −0.01]; p = 0.05; I2 = 11% Compared with probiotics, synbiotics had a greater positive effect on Synbiotic (Anxiety): SMD = −0.71 [95%CI −1.04 to −0.38]; p < 0.01; I2 = 0% Prebiotic (Anxiety): SMD = 0.08 [95%CI −0.29 to 0.45]; p = 0.66; I2 = 16% |
| Huang et al. [46] Meta-analysis (13 RCT; n = 768) | “n” between groups not reported Patients with MDD (n = 3) Patients with Anxiety (n = 1) Patients with general depression (n = 1) Healthy adults (n = 4) Condition not detailed (n = 1) | Probiotics: Bifidobacterium (various) Forms: capsules; Dry powder; Freeze-dried; Bibiotic tetrad tablets; spray-dried, Duration: 60 days–12 weeks | General: MD= −0.49 [95%CI −0.71 to −0.26]; p < 0.0001; Subgroup analysis Antidepressants (n = 4): MD= −0.82 [95%CI −1.07 to −0.58]; p < 0.00001; Bifidobacterium (n = 9): MD= −0.33 [95%CI −0.59 to −0.08]; p = 0.008; Subgroup by type of depression MDD (n = 3): MD= −0.66 [95%CI −1.01 to −0.32]; p = 0.0002; MDD (n = 6) + healthy volunteers (n = 4) with subclinical depressive symptoms: MD= −0.44 [95%CI −0.72 to −0.16]; p = 0.002; |
| Rahmannia et al. [47] Meta-analysis (RCT 12; n = 707) | n = 355 EXP, n = 352 PLA; Patients with MDD (n = 12) Patients with obesity (n = 1) | Probiotics: L. acidophilus; L. paracasei; L. casei; L. plantarum; L. salivarius; B. bifidum; B. lactis; B. breve; B. longum, with additional nutrients like magnesium, methionine, vitamin B7. Duration: 4–12 weeks | BDI: MD = −2.69 [95%CI −4.22 to −1.16]; p = 0.00; I2 = 0.0%; HAMD: MD = −1.40, [95%CI −3.29 to 0.48]; p = 0.14; I2 = 69%; DASS: MD = −2.57 [95%CI −0.71 to 5.80]; p = 0.12; I2 = 0.0%; MADRS: MD = −2.41 [95%CI −9.18 to 5.73]; p = 0.56; I2 = 86%; |
| Asad et al. [48] Meta-analysis (20 RCT; n = 1401) | “n” between groups not reported Patients with MDD Patients with Anxiety Patients with IBS Patients with Bipolar Disorder Age ranged from 21 to 53 years. 54% women. | Probiotics: L. helveticus, L. acidophilus, L. casei, L. rhamnosus, L. plantarum, B. longum, B. bifidum, B. breve, B. coagulans, C. butyricum, multi-strains, and mono-strains. Duration: 3–24 weeks | Global MDD: SMD= −0.96 [95%CI −1.31 to −0.61] p < 0.05; I2 = 85%; Global Anxiety: SMD= −0.59 [95%CI −0.98 to −0.19]; I2 = 79%; Subgroup Depression: Stand-alone MDD: SMD= −0.95 [95%CI −1.50 to −0.60]; p < 0.05; Diagnosed MDD: SMD= −1.09 [95%CI −1.54 to −0.64]; p < 0.05; I2 = 85%; Multi-strain MDD: SMD= −0.92 [95%CI −1.46 to −0.38]; p < 0.05; I2 = 90% Single-strain MDD: SMD= −1.03 [95%CI−1.41 to −0.65]; p < 0.05; I2 = 66% <8 weeks MDD: SMD= −1.54 [95%CI −2.18 to −0.90]; p < 0.05; I2 = 85%; >8 weeks MDD: SMD= −0.59 [95%CI −0.86 to −0.33]; p < 0.05; I2 = 63%; Subgroup Anxiety: Diagnosed Anxiety: SMD= −1.05 [95%CI −1.77 to −0.33]; I2 = 76.3%; Multi-strain Anxiety: SMD= −0.50 [95%CI −0.95 to −0.05]; p < 0.05; I2 = 90%; Single-strain Anxiety: SMD= −0.91 [95%CI −1.81 to −0.00]; p < 0.05; I2 = 66%; <8 weeks Anxiety: SMD= −0.88 [95%CI−1.68 to −0.09]; p < 0.05; I2 = 89% >8 weeks Anxiety: SMD= −0.31 [95%CI −0.53 to −0.08]; I2 = 0%; |
| Sulaiman et al. [49] Meta-analysis (12 RCT; n = 553) | n = 266 EXP; n = 286 PLA; Unspecified population; however, with patients with MDD. Age ranged from 18 to 79 years; | Probiotics: L. acidophilus, L. casei, and B. bifidum; B. bifidum, B. lactis, L. acidophilus, L. brevis; L. paracasei; S. thermophilus, B. breve, B. longum, B. Infantis, L. plantarum, B. subtilis. | Global MDD: SMD = −0.55 [95%CI −1.06 to −0.05]; p < 0.05 HAM-D: SMD = −0.92 [95%CI −1.84 to −0.11]; p = 0.04 |
| Zhao et al. [50] Network meta-analysis (42 RCT; n = 13,050) | 22 different types of MDD interventions were included in this review | Probiotics: Non-reported Duration: 6–24 weeks | Global SMDs = −0.16 [95%CI −0.30 to −0.04]; p > 0.05; Subgroups (probiotics superior): Brexpiprazole: SMD = −0.42 [95%CI −0.68 to −0.17]; Cariprazine: SMD = −0.44 [95%CI −0.69 to −0.24]; Citalopram: SMD = −0.37 [95%CI −0.66 to −0.07]; Duloxetine: SMD = −0.26 [95%CI −0.51 to −0.04]; Desvenlafaxine: SMD = −0.38 [95%CI −0.63 to −0.14]; Ketamine: SMD = −0.32 [95%CI −0.66 to −0.01]; Venlafaxine: SMD = −0.47 [95%CI −0.73 to −0.23]; Vilazodone: SMD = −0.37 [95%CI −0.61 to −0.12]; Vortioxetine: SMD = −0.39 [95%CI −0.63 to −0.15]; Placebo: SMD = −0.62 [95%CI −0.86 to −0.42]; |
| Zandifar et al. [51] Meta-analysis (53 RCT; Anxiety: n = 4295; MDD: n = 3179; Cognitive: n = 915) | Anxiety (n = 2194 EXP, n = 2101 PLA, Depression (n = 1603 EXP, n = 1576 PLA) Cognitive Function (n = 470 EXP, n = 445 PLA) | Probiotic, Prebiotic, or Synbiotic, The types and strains were not specified. Probiotics and vitamin D. | Global Anxiety: SMD= −0.29 [95%CI −0.57 to −0.02]; p < 0.05, I2 = 92%; Global MDD: SMD= −0.29 [95%CI −0.57 to −0.02]; p < 0.05; I2 = 91% Cognitive function: SMD= 0.48 [95%CI 0.17 to 0.80]; p < 0.01; I2 = 77%; |
| Cheng et al. [52] Meta-analysis (12 RCT; n = 1052) | Patients with MDD (n = 1) Clinical patients (n = 7) Multiple sclerosis patients (n = 1) Patients with IBS (n = 1) Children (n = 1) Patients with ADHD (n = 1) | Mixed Probiotics: B. bifidum F-35, B. longum CCFM729, L. plantarum CCFM639, L. acidophilus CCFM137, L. casei CN1566, L. reuteri DSM17938, L. rhamnosus CCFM10281 or L. reuteri. | Global MDD: SMD = −0.44 [95%CI −0.72 to −0.16]; p < 0.001; I2 = 78% Subgroup: Multiple strains: SMD = −0.56 [95%CI −0.97 to −0.15]; p <0.00001; I2 = 82%; L. reuteri vs. Multi-strain: SMD = −0.20 [95%CI −0.45 to 0.06]; p = 0.13; I2 = 51% L. reuteri vs. PLA: SMD = −0.39 [95%CI −0.74 to −0.03]; p < 0.05; I2 = 83% <60 years: SMD = −0.52 [95%CI −0.88 to −0.15; p = 0.0001; I2 = 81%; >60 years: SMD = −0.22 [95%Cl −0.57 to 0.13]; p = 0.12; I2 =52%; Female ≥50%: SMD = −0.45 [95%CI −0.78 to −0.13; p = 0.00001; I2 = 82%; Female < 50%: SMD = −0.41 [95%CI −0.82 to 0.00]; p = 0.67; I2 = 0%; |
| Moshfeghinia et al. [53] Meta-analysis (19 RCT) Depression: (n = 1405) Anxiety (n = 481) | Depression (n = 882 EXP, n = 523 PLA) Anxiety (n = 237 EXP, n = 244 PLA) Patients with MDD (n = 9) Non-specific depressed (n = 5) Clinical patients (n = 4) Pregnant female (n = 1) | Probiotic: L. plantarum; L. rhamnosus; L. casei; L. acidophilus; L. gasseri; L. reuteri; B. bifidum; B. longum; B. lactis; S. thermophilus; L. mesenteroides; Prebiotics: Inulin; FOS; GOS; Synbiotic: L. plantarum and inulin; B. bifidum and FOS; L. rhamnosus and GOS Drinks, capsules, sachet containing freeze-dried; Duration: 1–24 weeks | Global MDD: SMD = −1.76 [95%CI −2.42 to −1.10]; p < 0.05; I2 = 96.29%; Global Anxiety: SMD = −1.60 [95%CI −2.83 to 0.36]; p > 0.05; I2 = 96.9%; Analysis of the subgroups for depression: BDI: SMD= −1.22 [95%CI −1.87 to −0.58]; p < 0.001; I2 = 88.5%; MADRS: SMD = −3.25 [95%CI −6.60 to 0.10]; p < 0.001; I2 = 97.0%; HDRS: SMD = −2.09 [−3.54 to −0.64]; p < 0.001; I2 = 97.7%; Multi-strain: SMD = −1.56 [95%CI −2.28 to −0.85]; p < 0.001; I2 = 96.0%; ≤40 years: SMD = −1.18 [95%CI −1.83 to −0.53]; p < 0.001; I2 = 93.2%; >40 years: SMD = −2.54 [95%CI −3.80 to −1.27]; p < 0.001; I2 = 97.0%; Probiotics: SMD = −1.96 [95%CI −2.75 to −0.64]; p < 0.001; I2 = 96.9%; Prebiotic: SMD = −0.78 [95%CI −1.63 to −0.07]; p < 0.001; I2 = 80.3% Synbiotics: SMD = −1.25 [95%CI −1.91 to −0.58]; p < 0.001; Analysis of the subgroups for anxiety STAI: SMD = −0.14 [95%CI −0.43 to 0.16]; p = 0.85; I2 = 0%; BAI: SMD = −2.45 [95%CI −3.18 to −1.72]; p < 0.001; I2 = 0%; Multi-Strain: SMD = −0.81 [95%CI −1.62 to 0.00]; p < 0.001; I2 = 92.0%; ≤40 years: SMD = −1.36 [95%CI −2.66 to −0.07]; p < 0.001; I2 = 96.9%; >40 years: SMD = −3.48 [95%CI −4.28 to −2.68]; p < 0.001; |
Disclaimer/Publisher’s Note: The statements, opinions and data contained in all publications are solely those of the individual author(s) and contributor(s) and not of MDPI and/or the editor(s). MDPI and/or the editor(s) disclaim responsibility for any injury to people or property resulting from any ideas, methods, instructions or products referred to in the content. |
© 2026 by the authors. Licensee MDPI, Basel, Switzerland. This article is an open access article distributed under the terms and conditions of the Creative Commons Attribution (CC BY) license.
Share and Cite
Sá Filho, A.S.; Souza, T.B.; Martins, J.L.R.; Dietz, G.P.H.; Fernandes, K.F.; Sá, S.d.; Inacio, P.A.; Oliveira-Silva, I.; Pedrino, G.; Aprigliano, V.; et al. “Attacking” the Gut–Brain Axis with Psychobiotics: An Umbrella Review of Depressive and Anxiety Symptoms. Pharmaceuticals 2026, 19, 156. https://doi.org/10.3390/ph19010156
Sá Filho AS, Souza TB, Martins JLR, Dietz GPH, Fernandes KF, Sá Sd, Inacio PA, Oliveira-Silva I, Pedrino G, Aprigliano V, et al. “Attacking” the Gut–Brain Axis with Psychobiotics: An Umbrella Review of Depressive and Anxiety Symptoms. Pharmaceuticals. 2026; 19(1):156. https://doi.org/10.3390/ph19010156
Chicago/Turabian StyleSá Filho, Alberto Souza, Tatiane Bastos Souza, José Luís Rodrigues Martins, Gunnar P. H. Dietz, Katia Flávia Fernandes, Stone de Sá, Pedro Augusto Inacio, Iransé Oliveira-Silva, Gustavo Pedrino, Vicente Aprigliano, and et al. 2026. "“Attacking” the Gut–Brain Axis with Psychobiotics: An Umbrella Review of Depressive and Anxiety Symptoms" Pharmaceuticals 19, no. 1: 156. https://doi.org/10.3390/ph19010156
APA StyleSá Filho, A. S., Souza, T. B., Martins, J. L. R., Dietz, G. P. H., Fernandes, K. F., Sá, S. d., Inacio, P. A., Oliveira-Silva, I., Pedrino, G., Aprigliano, V., Chiappa, G. R., & Fajemiroye, J. O. (2026). “Attacking” the Gut–Brain Axis with Psychobiotics: An Umbrella Review of Depressive and Anxiety Symptoms. Pharmaceuticals, 19(1), 156. https://doi.org/10.3390/ph19010156

