Benzimidazole–Pyrimidine Hybrids: Synthesis and Medicinal Properties
Abstract
1. Introduction
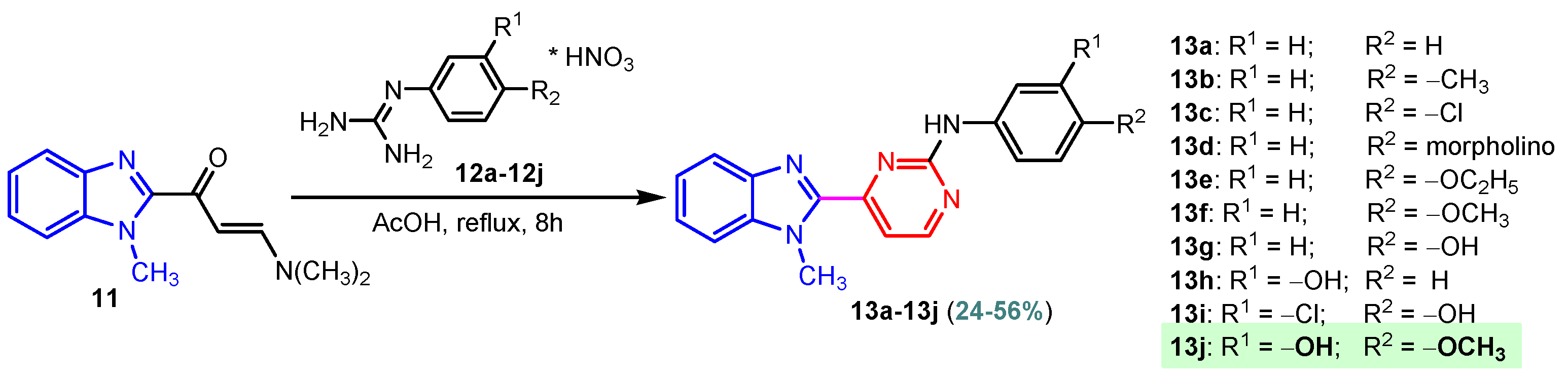
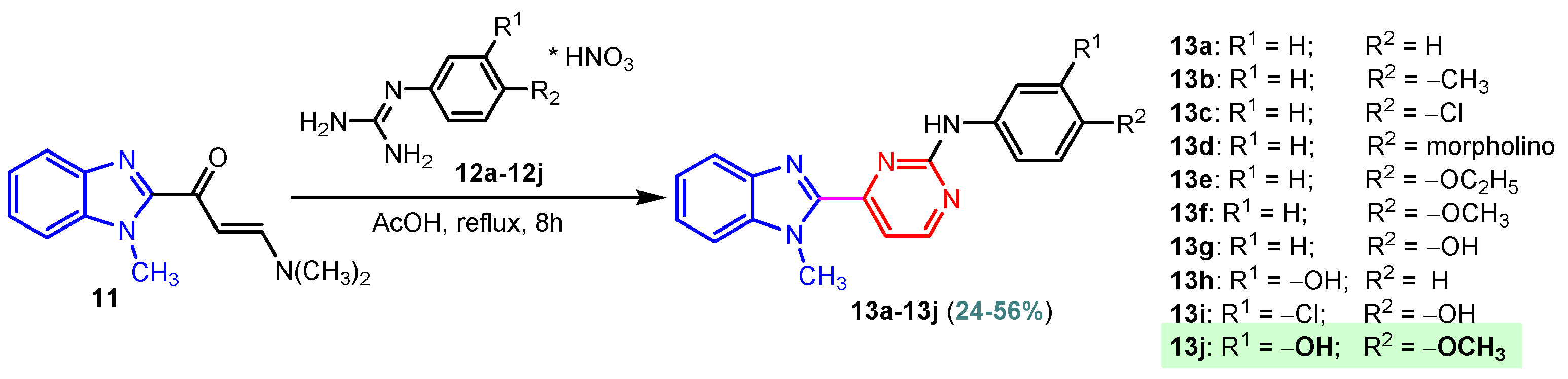
2. Anticancer Benzimidazole–Pyrimidine Hybrids
3. Antimicrobial Benzimidazole–Pyrimidine Hybrids
4. Antiviral Benzimidazole–Pyrimidine Hybrids
5. Anti-Inflammatory Benzimidazole–Pyrimidine Hybrids
6. Analgesic Benzimidazole–Pyrimidine Hybrids
7. Antiulcer Benzimidazole–Pyrimidine Hybrids
8. Antidepressant Benzimidazole–Pyrimidine Hybrids
9. Anti-Alzheimer’s Benzimidazole–Pyrimidine Hybrids
10. Antioxidant Benzimidazole–Pyrimidine Hybrids
11. Solubility of Benzimidazole–Pyrimidine Hybrids
12. Current Challenges and Future Prospects
13. Conclusions
Author Contributions
Funding
Institutional Review Board Statement
Informed Consent Statement
Data Availability Statement
Conflicts of Interest
References
- Murtazaeva, Z.; Nasrullaev, A.; Buronov, A.; Gaybullaev, S.; Nie, L.; Numonov, S.; Khushnazarov, Z.; Turgunov, D.; Kuryazov, R.; Zhao, J.; et al. Imidazole Hybrids: A Privileged Class of Heterocycles in Medicinal Chemistry with New Insights into Anticancer Activity. Molecules 2025, 30, 2245. [Google Scholar] [CrossRef]
- Singh, A.K.; Kumar, A.; Singh, H.; Sonawane, P.; Paliwal, H.; Thareja, S.; Pathak, P.; Grishina, M.; Jaremko, M.; Emwas, A.-H.; et al. Concept of Hybrid Drugs and Recent Advancements in Anticancer Hybrids. Pharmaceuticals 2022, 15, 1071. [Google Scholar] [CrossRef]
- Roszczenko, P.; Holota, S.; Szewczyk, O.K.; Dudchak, R.; Bielawski, K.; Bielawska, A.; Lesyk, R. 4-Thiazolidinone-Bearing Hybrid Molecules in Anticancer Drug Design. Int. J. Mol. Sci. 2022, 23, 13135. [Google Scholar] [CrossRef] [PubMed]
- Matei, A.; Marinescu, M.; Constantinescu, C.; Mitu, B.; Ion, V.; Ionita, I.; Dinescu, M.; Emandi, A. Nonlinear optical studies on 4-(ferrocenylmethylimino)-2-hydroxybenzoic acid thin films deposited by matrix-assisted pulsed laser evaporation (MAPLE). Appl. Surf. Sci. 2016, 374, 206–212. [Google Scholar] [CrossRef]
- Soliman, M.M.; Elwahy, A.H.M.; Sayed, A.M.; Ibrahim, M.; Dawoud, M.A.; Mohamed Ali, S.H.; Nady, M.S.; Hassan, N.A.; Saad, W.; Abdelhamid, I.A. Synthesis and antimicrobial evaluation of a new hybrid bis-cyanoacrylamide -based-piperazine containing sulphamethoxazole moiety against rheumatoid arthritis-associated pathogens. Naunyn Schmiedeberg’s Arch. Pharmacol. 2025, 398, 8587–8617. [Google Scholar] [CrossRef]
- Shaveta; Mishra, S.; Singh, P. Hybrid molecules: The privileged scaffolds for various pharmaceuticals. Eur. J. Med. Chem. 2016, 124, 500–536. [Google Scholar] [CrossRef]
- Mok, Z.H. The effect of particle size on drug bioavailability in various parts of the body. Pharm. Sci. Adv. 2024, 2, 100031. [Google Scholar] [CrossRef]
- Stielow, M.; Witczyńska, A.; Kubryń, N.; Fijałkowski, Ł.; Nowaczyk, J.; Nowaczyk, A. The Bioavailability of Drugs—The Current State of Knowledge. Molecules 2023, 28, 8038. [Google Scholar] [CrossRef]
- Adepu, S.; Ramakrishna, S. Controlled Drug Delivery Systems: Current Status and Future Directions. Molecules 2021, 26, 5905. [Google Scholar] [CrossRef]
- Chandrakanth, M.; Thomas, N.M.; Arya, C.G.; Fabitha, K.; Banothu, J. Coumarin–1,2,4-triazole hybrids: Recent advances in synthesis and medicinal applications. J. Mol. Struct. 2024, 1299, 137197. [Google Scholar] [CrossRef]
- Ansari, M.F.; Tan, Y.M.; Sun, H.; Li, S.; Zhou, C.-H. Unique iminotetrahydroberberine-corbelled metronidazoles as potential membrane active broad-spectrum antibacterial agents. Bioorg. Med. Chem. Let. 2022, 76, 129012. [Google Scholar] [CrossRef]
- Yadav, J.; Kaushik, C.P. Quinoline-1,2,3-triazole hybrids: Design, synthesis, antimalarial and antimicrobial evaluation. J. Mol. Struct. 2024, 1316, 138882. [Google Scholar] [CrossRef]
- Marinescu, M. Benzimidazole-Triazole Hybrids as Antimicrobial and Antiviral Agents: A Systematic Review. Antibiotics 2023, 12, 1220. [Google Scholar] [CrossRef] [PubMed]
- Marinescu, M. Synthesis of Antimicrobial Benzimidazole–Pyrazole Compounds and Their Biological Activities. Antibiotics 2021, 10, 1002. [Google Scholar] [CrossRef] [PubMed]
- Zalaru, C.; Dumitrascu, F.; Draghici, C.; Tarcomnicu, I.; Marinescu, M.; Nitulescu, G.M.; Tatia, R.; Moldovan, L.; Popa, M.; Chifiriuc, M.C. New Pyrazolo-Benzimidazole Mannich Bases with Antimicrobial and Antibiofilm Activities. Antibiotics 2022, 11, 1094. [Google Scholar] [CrossRef]
- Adardour, M.; Ait Lahcen, M.; Oubahmane, M.; Ettahiri, W.; Hdoufane, I.; Bouamama, H.; Alanazi, M.M.; Cherqaoui, D.; Taleb, M.; Garcia, E.Z.; et al. Design, Synthesis, Molecular Modeling and Biological Evaluation of Novel Pyrazole Benzimidazolone Derivatives as Potent Antioxidants. Pharmaceuticals 2023, 16, 1648. [Google Scholar] [CrossRef]
- Marinescu, M.; Cinteza, L.O.; Marton, G.I.; Chifiriuc, M.C.; Popa, M.; Stanculescu, I.; Zalaru, C.M.; Stavarache, C.E. Synthesis, density functional theory study and in vitro antimicrobial evaluation of new benzimidazole Mannich bases. BMC Chem. 2020, 14, 45. [Google Scholar] [CrossRef]
- Díaz-Fernández, M.; Calvo-Losada, S.; Quirante, J.-J.; Sarabia, F.; Algarra, M.; Pino-González, M.-S. Catalyzed Methods to Synthesize Pyrimidine and Related Heterocyclic Compounds. Catalysts 2023, 13, 180. [Google Scholar] [CrossRef]
- Patil, S.B. Recent medicinal approaches of novel pyrimidine analogs: A review. Heliyon 2023, 9, e16773. [Google Scholar] [CrossRef]
- Nammalwar, B.; Bunce, R.A. Recent Advances in Pyrimidine-Based Drugs. Pharmaceuticals 2024, 17, 104. [Google Scholar] [CrossRef]
- Mahurkar, N.D.; Gawhale, N.D.; Lokhande, M.N.; Uke, S.J.; Kodape, M.M. Benzimidazole: A versatile scaffold for drug discovery and beyond—A comprehensive review of synthetic approaches and recent advancements in medicinal chemistry. Res. Chem. 2023, 6, 101139. [Google Scholar] [CrossRef]
- Aroua, L.M.; Alminderej, F.M.; Almuhaylana, H.R.; Alosaimia, A.H.; Medini, F.; Mohammed, H.A.; Almahmoud, S.A.; Khan, R.A.; Mekni, N.H. Benzimidazole(s): Synthons, bioactive lead structures, total synthesis, and the profiling of major bioactive categories. RSC Adv. 2025, 15, 7571–7608. [Google Scholar] [CrossRef] [PubMed]
- Ahmadfilab, P.; Pordel, M.; Kheirkhahnia, S.; Ziaei, S. Advances in benzimidazole coordination chemistry: From synthetic innovations to emerging therapeutic potentials. J. Mol. Struct. 2025, 1342, 142646. [Google Scholar] [CrossRef]
- Youssif, B.G.M.; Morcoss, M.M.; Bräse, S.; Abdel-Aziz, M.; Abdel-Rahman, H.M.; Abou El-Ella, D.A.; Abdelhafez, E.S.M.N. Benzimidazole-Based Derivatives as Apoptotic Antiproliferative Agents: Design, Synthesis, Docking, and Mechanistic Studies. Molecules 2024, 29, 446. [Google Scholar] [CrossRef]
- Reymova, F.; Sever, B.; Topalan, E.; Sevimli-Gur, C.; Can, M.; Tuyun, A.F.; Başoğlu, F.; Ece, A.; Otsuka, M.; Fujita, M.; et al. Design, Synthesis, and Mechanistic Anticancer Evaluation of New Pyrimidine-Tethered Compounds. Pharmaceuticals 2025, 18, 270. [Google Scholar] [CrossRef]
- Jeon, H.; Kim, Y.-G.; Lee, J.-H.; Lee, J. Antibiofilm Activities of Halogenated Pyrimidines Against Enterohemorrhagic Escherichia coli O157:H7. Int. J. Mol. Sci. 2025, 26, 1386. [Google Scholar] [CrossRef]
- Marinescu, M.; Popa, C.V.; Tănase, M.A.; Soare, A.C.; Tablet, C.; Bala, D.; Cinteza, L.O.; Diţu, L.M.; Gifu, I.C.; Petcu, C. Synthesis, Characterization, DFT Study and Antifungal Activities of Some Novel 2-(Phenyldiazenyl)phenol Based Azo Dyes. Materials 2022, 15, 8162. [Google Scholar] [CrossRef]
- Balaes, T.; Mangalagiu, V.; Antoci, V.; Amariucai-Mantu, D.; Diaconu, D.; Mangalagiu, I.I. Hybrid Bis-(Imidazole/Benzimidazole)-Pyridine Derivatives with Antifungal Activity of Potential Interest in Medicine and Agriculture via Improved Efficiency Methods. Pharmaceuticals 2025, 18, 495. [Google Scholar] [CrossRef]
- Venugopala, K.N.; Kamat, V. Pyrimidines: A New Versatile Molecule in the Drug Development Field, Scope, and Future Aspects. Pharmaceuticals 2024, 17, 1258. [Google Scholar] [CrossRef]
- Georgiou, E.A.; Paraskevas, K.; Koutra, C.; Persoons, L.; Schols, D.; De Jonghe, S.; Kostakis, I.K. Exploring 4,7-Disubstituted Pyrimido [4,5-d]pyrimidines as Antiviral and Anticancer Agents. Molecules 2024, 29, 5549. [Google Scholar] [CrossRef]
- Chen, J.; Xu, L.; Wang, B.; Zhang, D.; Zhao, L.; Bei, Z.; Song, Y. Design, Synthesis, and Biological Evaluation of Benzimidazole Derivatives as Potential Lassa Virus Inhibitors. Molecules 2023, 28, 1579. [Google Scholar] [CrossRef] [PubMed]
- Hussain, R.; Iqbal, S.; Shah, M.; Rehman, W.; Khan, S.; Rasheed, L.; Rahim, F.; Dera, A.A.; Kehili, S.; Elkaeed, E.B.; et al. Synthesis of Novel Benzimidazole-Based Thiazole Derivatives as Multipotent Inhibitors of α-Amylase and α-Glucosidase: In Vitro Evaluation along with Molecular Docking Study. Molecules 2022, 27, 6457. [Google Scholar] [CrossRef] [PubMed]
- Rafique, I.; Maqbool, T.; Rutjes, F.P.J.T.; Irfan, A.; Jardan, Y.A.B. Anti-Diabetic Activities and Molecular Docking Studies of Aryl-Substituted Pyrazolo [3,4-b]pyridine Derivatives Synthesized via Suzuki Cross-Coupling Reaction. Pharmaceuticals 2024, 17, 1326. [Google Scholar] [CrossRef] [PubMed]
- Marzouk, M.A. Pyrimidine derivatives as multifaceted antidiabetic agents: A comprehensive review of structure-activity relationships, mechanisms, and clinical potential. Eur. J. Med. Chem. 2025, 296, 117859. [Google Scholar] [CrossRef]
- Rostami, H.; Haddadi, M.H. Benzimidazole derivatives: A versatile scaffold for drug development against Helicobacter pylori-related diseases. Fundam. Clin. Pharmacol. 2022, 36, 930–943. [Google Scholar] [CrossRef]
- Vyas, A.; Sahu, B.; Pathania, S.; Nandi, N.K.; Chauhan, G.; Asati, V.; Kumar, B. An insight on medicinal attributes of pyrimidine scaffold: An updated review. J. Heterocycl. Chem. 2023, 60, 1081–1121. [Google Scholar] [CrossRef]
- Keshk, R.M.; Salama, Z.A.; Elsaedany, S.K.; ElRehim, E.M.A.; Beltagy, D.M. Synthesis, antimicrobial, anti-inflammatory, antioxidant and cytotoxicity of new pyrimidine and pyrimidopyrimidine derivatives. Sci. Rep. 2025, 15, 9328. [Google Scholar] [CrossRef]
- Rudrapal, M.; Mojammil, M.; Farooque, A.; Ansari, M.; de Oliveira, A.M.; Khan, J. Synthesis, toxicity and antioxidant activity of phenolic benzimidazole derivatives: In vitro and in silico studies. Chem. Phys. Imp. 2025, 10, 100875. [Google Scholar] [CrossRef]
- Othman, M.; Hayat, S.; Rahim, F.; Taha, M.; Sajid, M.; Khan, S.; Iqbal, W.; Shah, S.A.A.; Fareid, M.A.; Aboelnaga, S.M.; et al. New benzimidazole based Schiff bases as potent anti-alzheimer agents: Synthesis, bio-evaluation and molecular docking study. J. Mol. Struct. 2024, 1309, 138058. [Google Scholar] [CrossRef]
- Liu, Y.-L.; Zhang, Q.; LI, B.-Q.; Zhang, D.; Chui, R.H.; Zhang, L.L.; Zhang, Q.; Ma, L.Y. Progress in the study of anti-Alzheimer’s disease activity of pyrimidine-containing bioactive molecules. Eur. J. Med. Chem. 2025, 285, 117199. [Google Scholar] [CrossRef]
- Fioravanti, R.; Proia, E.; Tyurenkov, I.N.; Kurkin, D.V.; Bakulin, D.A.; Kovalev, N.S.; Sheikin, D.S.; Kirillov, I.A.; Nawrozkij, M.B.; Vernigora, A.A.; et al. Pyrimidine thioethers: A novel class of antidepressant agents, endowed with anxiolytic, performance enhancing and nootropic activity. Eur. J. Med. Chem. 2023, 245, 114902. [Google Scholar] [CrossRef]
- Tantray, M.A.; Khan, I.; Hamid, H.; Alam, M.S.; Dhulap, A.; Kalam, A. Synthesis of benzimidazole-linked-1,3,4-oxadiazole carboxamides as GSK-3β inhibitors with in vivo antidepressant activity. Bioorg. Chem. 2018, 77, 393–401. [Google Scholar] [CrossRef]
- Lv, Y.; Fan, M.; He, J.; Song, X.; Guo, J.; Gao, B.; Zhang, J.; Zhang, C.; Xie, Y. Discovery of novel benzimidazole derivatives as selective and reversible monoamine oxidase B inhibitors for Parkinson’s disease treatment. Eur. J. Med. Chem. 2024, 274, 116566. [Google Scholar] [CrossRef]
- Pant, S.; Kapri, A.; Nain, S. Pyrimidine analogues for the management of neurodegenerative diseases. Eur. J. Med. Chem. Rep. 2022, 6, 100095. [Google Scholar] [CrossRef]
- Vasil’ev, P.M.; Kalitin, K.Y.; Spasov, A.A.; Grechko, O.Y.; Poroikov, V.V.; Filimonov, D.A.; Anisimova, V.A. Prediction and Study of Anticonvulsant Properties of Benzimidazole Derivatives. Pharm. Chem. J. 2017, 50, 775–780. [Google Scholar] [CrossRef]
- Song, M.; Zhao, W.; Zhu, Y.; Liu, W.; Deng, X.; Huang, Y. Design, Synthesis, and Evaluation of Anticonvulsant Activities of New Triazolopyrimidine Derivatives. Front. Chem. 2022, 10, 925281. [Google Scholar] [CrossRef]
- Bano, S.; Nadeem, H.; Zulfiqar, I.; Shahzadi, T.; Anwar, T.; Bukhari, A.; Masaud, S.M. Synthesis and anti-inflammatory activity of benzimidazole derivatives; an in vitro, in vivo and in silico approach. Heliyon 2024, 10, e30102. [Google Scholar] [CrossRef]
- Tylińska, B.; Janicka-Kłos, A.; Gębarowski, T.; Nowotarska, P.; Plińska, S.; Wiatrak, B. Pyrimidine Derivatives as Selective COX-2 Inhibitors with Anti-Inflammatory and Antioxidant Properties. Int. J. Mol. Sci. 2024, 25, 11011. [Google Scholar] [CrossRef] [PubMed]
- Marino, P.; Mininni, M.; Deiana, G.; Marino, G.; Divella, R.; Bochicchio, I.; Giuliano, A.; Lapadula, S.; Lettini, A.R.; Sanseverino, F. Healthy Lifestyle and Cancer Risk: Modifiable Risk Factors to Prevent Cancer. Nutrients 2024, 16, 800. [Google Scholar] [CrossRef] [PubMed]
- Kumar, A.; Singh, A.K.; Singh, H.; Vijayan, V.; Kumar, D.; Naik, J.; Thareja, S.; Yadav, J.P.; Pathak, P.; Grishina, M.; et al. Nitrogen Containing Heterocycles as Anticancer Agents: A Medicinal Chemistry Perspective. Pharmaceuticals 2023, 16, 299. [Google Scholar] [CrossRef] [PubMed]
- Kim, E.S. Abemaciclib: First Global Approval. Drugs 2017, 77, 2063–2070. [Google Scholar] [CrossRef] [PubMed]
- Palumbo, A.; Lau, G.; Saraceni, M. Abemaciclib: The Newest CDK4/6 Inhibitor for the Treatment of Breast Cancer. Ann. Pharmacother. 2019, 53, 178–185. [Google Scholar] [CrossRef] [PubMed]
- Davie, A.; Traoré, S.; Badreldin, W.; Torstensson, A.; Cakar, E. A Cost-Effectiveness Analysis of Abemaciclib in Combination with Adjuvant Endocrine Therapy for HR+, HER2–, Node-Positive, High-Risk Early Breast Cancer. Adv. Ther. 2025, 42, 2767–2781. [Google Scholar] [CrossRef] [PubMed]
- Rugo, H.S.; Huober, J.; Garcia-Saenz, J.; Masuda, N.; Sohn, J.H.; Andre, V.A.M.; Barriga, S.; Cox, J.; Goetz, M. Management of Abemaciclib-Associated Adverse Events in Patients with Hormone Receptor-Positive, Human Epidermal Growth Factor Receptor 2-Negative Advanced Breast Cancer: Safety Analysis of MONARCH 2 and MONARCH 3. Oncologist 2021, 26, e53–e65. [Google Scholar] [CrossRef]
- Goetz, M.P.; Cicin, I.; Testa, L.; Tolaney, S.M.; Huober, J.; Guarner, V.; Johnston, S.R.D.; Martin, M.; Rastogi, P.; Harbeck, N.; et al. Impact of dose reductions on adjuvant abemaciclib efficacy for patients with high-risk early breast cancer: Analyses from the monarchE study. npj Breast Cancer 2024, 10, 34. [Google Scholar] [CrossRef]
- Johnston, S.R.D.; Harbeck, N.; Hegg, R.; Toi, M.; Martin, M.; Shao, Z.M.; Zhang, Q.Y.; Martinez Rodriguez, J.L.; Campone, M.; Hamilton, E.; et al. Abemaciclib Combined with Endocrine Therapy for the Adjuvant Treatment of HR1, HER22, Node-Positive, High-Risk, Early Breast Cancer (monarchE). J. Clin. Oncol. 2020, 38, 34. [Google Scholar] [CrossRef]
- O’Keefe, K.; Desai, N.V.; Tan, A.R. Practical Guidance on Abemaciclib in Combination with Adjuvant Endocrine Therapy for Treating Hormone Receptor-Positive, Human Epidermal Growth Factor Receptor 2-Negative High-Risk Early Breast Cancer. BCT 2024, 16, 517–527. [Google Scholar] [CrossRef]
- Tolaney, S.M.; Guarneri, V.; Seo, J.H.; Cruz, J.; Abreu, M.H.; Takahashi, M.; Barrios, C.; McIntyre, K.; Wei, R.; Munoz, M. Long-term patient-reported outcomes from monarchE: Abemaciclib plus endocrine therapy as adjuvant therapy for HR+, HER2-, node-positive, high-risk, early breast cancer. Eur. J. Cancer 2024, 199, 113555. [Google Scholar] [CrossRef]
- Zhang, Q.; Shen, K.; Song, C.-G.; Ouyang, Q.; Liu, Z.; Liu, Q.; Feng, J.; Chiu, J.W.Y.; Tang, J.; Jiang, Z.; et al. Abemaciclib combined with endocrine therapy as adjuvant treatment for hormone-receptor-positive, HER2−, high-risk early breast cancer: 5-year Chinese population analysis of the phase III randomized monarchE study. Ther. Adv. Med. Oncol. 2024, 16, 1–12. [Google Scholar] [CrossRef]
- Kalinsky, K.; Bianchini, G.; Hamilton, E.; Graff, S.L.; Park, K.H.; Jeselsohn, R.; Demirci, U.; Martin, M.; Layman, R.M.; Hurvitz, S.A.; et al. Abemaciclib Plus Fulvestrant in Advanced Breast Cancer After Progression on CDK4/6 Inhibition: Results From the Phase III postMONARCH Trial. J. Clin. Oncol. 2024, 43, 1101–1112. [Google Scholar] [CrossRef]
- Shao, K.P.; Zhang, X.-Y.; Chen, P.-J.; Xue, D.-Q.; He, P.; Ma, L.-Y.; Zheng, J.-X.; Zhang, Q.R.; Liu, H.M. Synthesis and biological evaluation of novel pyrimidine–benzimidazol hybrids as potential anticancer agents. Bioorg. Med. Chem. Let. 2014, 24, 3877–3881. [Google Scholar] [CrossRef]
- Abdelgawad, M.A.; Bakr, R.B.; Ahmad, W.; Al-Sanea, M.M.; Elshemy, H.A.H. New pyrimidine-benzoxazole/benzimidazole hybrids: Synthesis, antioxidant, cytotoxic activity, in vitro cyclooxygenase and phospholipase A2-V inhibition. Bioorg. Chem. 2019, 92, 103218. [Google Scholar] [CrossRef]
- Haoran, W.; Akhtar, W.; Nainwal, L.M.; Kaushik, S.M.; Akhter, M.; Shaquiquzzaman, M.; Alam, M.M. Synthesis and biological evaluation of benzimidazole pendant cyanopyrimidine derivatives as anticancer agents. J. Heterocycl. Chem. 2020, 57, 3350–3360. [Google Scholar] [CrossRef]
- Determann, R.; Dreher, J.; Baumann, K.; Preu, L.; Jones, P.G.; Totzke, F.; Schächtele, C.; Michael, H.G.; Kubbutat, M.H.G.; Kunick, C. 2-Anilino-4-(benzimidazol-2-yl)pyrimidines e A multikinase inhibitor scaffold with antiproliferative activity toward cancer cell lines. Eur. J. Med. Chem. 2012, 53, 254–263. [Google Scholar] [CrossRef]
- Zheng, Y.; Zheng, M.; Ling, X.; Liu, Y.; Xue, Y.; An, L.; Gu, N.; Jin, M. Design, synthesis, quantum chemical studies and biological activity evaluation of pyrazole–benzimidazole derivatives as potent Aurora A/B kinase inhibitors. Bioorg. Med. Chem. Lett. 2013, 23, 3523–3530. [Google Scholar] [CrossRef] [PubMed]
- Abdel-Mohsen, H.T.; Ragab, F.A.F.; Ramla, M.M.; El Diwani, H.I. Novel benzimidazole–pyrimidine conjugates as potent antitumor agents. Eur. J. Med. Chem. 2010, 45, 2336–2344. [Google Scholar] [CrossRef] [PubMed]
- Guo, C.; Linton, A.; Jalaie, M.; Kephart, S.; Ornelas, M.; Pairish, M.; Greasley, S.; Richardson, P.; Maegley, K.; Hickey, M.; et al. Discovery of 2-((1H-benzo[d]imidazol-1-yl)methyl)-4H-pyrido [1,2-a]pyrimidin-4-ones as novel PKM2 activators. Bioorg. Med. Chem. Lett. 2013, 23, 3358–3363. [Google Scholar] [CrossRef]
- Certal, V.; Halley, F.; Virone-Oddos, A.; Delorme, C.; Karlsson, A.; Rak, A.; Thompson, F.; Filoche-Rommé, F.; El-Ahmad, Y.; Carry, J.-C.; et al. Discovery and Optimization of New Benzimidazole- and Benzoxazole- Pyrimidone Selective PI3Kβ Inhibitors for the Treatment of Phosphatase and TENsin homologue (PTEN) Deficient Cancers. J. Med. Chem. 2012, 55, 4788–4805. [Google Scholar] [CrossRef]
- El-Naem, S.I.; El-Nzhawy, A.O.; El-Diwani, H.I.; Hamid, A.O.A. Synthesis of 5-Substituted 2-Methylbenzimidazoles with Anticancer Activity. Arch. Pharm. Pharm. Med. Chem. 2003, 336, 7–17. [Google Scholar] [CrossRef]
- Chen, C.-L.; Chang, D.-M.; Chen, T.-C.; Lee, C.-C.; Hsieh, H.-H.; Huang, F.-C.; Huang, K.F.; Jih-Hwa Guh, J.-H.; Lin, J.-J.; Huang, H.-S. Structure-based design, synthesis and evaluation of novel anthra [1,2-d]imidazole-6,11-dione derivatives as telomerase inhibitors and potential for cancer polypharmacology. Eur. J. Med. Chem. 2013, 60, 29–41. [Google Scholar] [CrossRef]
- Singla, P.; Luxami, V.; Pal, K. Quinazolinone-benzimidazole conjugates: Synthesis, characterization, dihydrofolate reductase inhibition, DNA and protein binding properties. J. Photochem. Photobiol. B Biol. 2017, 168, 156–164. [Google Scholar] [CrossRef] [PubMed]
- Ibrahim, H.A.; Refaat, H.M. Versatile mechanisms of 2-substituted benzimidazoles in targeted cancer therapy. Fut. J. Pharm. Sci. 2020, 6, 41. [Google Scholar] [CrossRef]
- Ismail, M.M.F.; El-Sehrawi, H.; Elzahabi, H.S.A.; Shawer, T.; Ammar, Y.A. Synthesis and Antitumor Activity of Novel Hybrids of Pyrimidine/Benzimidazole Scaffolds. PAC 2020, 42, 2363–2377. [Google Scholar] [CrossRef]
- Sana, S.; Reddy, V.G.; Reddy, T.S.; Tokala, R.; Kumar, R.; Bhargava, S.K.; Shankaraiah, N. Cinnamide derived pyrimidine-benzimidazole hybrids as tubulin inhibitors: Synthesis, in silico and cell growth inhibition studies. Bioorg. Chem. 2021, 110, 104765. [Google Scholar] [CrossRef]
- Satija, G.; Sharma, B.; Madan, A.; Iqubal, A.; Shaquiquzzaman, M.; Akhter, M.; Parvez, S.; Khan, M.A.; Alam, M.M. Benzimidazole based derivatives as anticancer agents: Structure activity relationship analysis for various targets. J. Heterocycl. Chem. 2022, 59, 22–66. [Google Scholar] [CrossRef]
- Rashid, M.; Husain, A.; Mishra, R.; Karim, S.; Khan, S.; Ahmad, M.; Al-wabel, N.; Husain, A.; Ahmad, A.; Khan, S.A. Design and synthesis of benzimidazoles containing substituted oxadiazole, thiadiazole and triazolothiadiazines as a source of new anticancer agents. Arab. J. Chem. 2019, 12, 3202–3224. [Google Scholar] [CrossRef]
- Lee, Y.T.; Tan, Y.J.; Oon, C.E. Benzimidazole and its derivatives as cancer therapeutics: The potential role from traditional to precision medicine. Acta Pharm. Sin. B 2023, 13, 478–497. [Google Scholar] [CrossRef]
- Bagul, C.; Rao, G.K.; Veena, I.; Kulkarni, R.; Tamboli, J.R.; Akunuri, R.; Shaik, S.P.; Pal-Bhadra, M.; Kamal, A. Benzimidazole-linked pyrazolo [1,5-a]pyrimidine conjugates: Synthesis and detail evaluation as potential anticancer agents. Mol. Div. 2023, 27, 1185–1202. [Google Scholar] [CrossRef]
- Warnault, P.; Yasri, A.; Coisy-Quivy, M.; Cheve, G.; Bories, C.; Fauvel, B.; Benhida, R. Recent advances in drug design of epidermal growth factor receptor inhibitors. Curr. Med. Chem. 2013, 20, 2043–2067. [Google Scholar] [CrossRef]
- Zalaru, C.; Dumitrascu, F.; Draghici, C.; Ferbinteanu, M.; Tarcomnicu, I.; Marinescu, M.; Moldovan, Z.; Nitulescu, G.M.; Tatia, R.; Popa, M. Synthesis, Spectroscopic Characterization, Structural Analysis, and Evaluation of Anti-Tumor, Antimicrobial, and Antibiofilm Activities of Halogenoaminopyrazoles Derivatives. Antibiotics 2024, 13, 1119. [Google Scholar] [CrossRef]
- Farag, B.; Zaki, M.E.A.; Elsayed, D.A.; Gomha, S.M. Benzimidazole chemistry in oncology: Recent developments in synthesis, activity, and SAR analysis. RSC Adv. 2025, 15, 18593. [Google Scholar] [CrossRef]
- Venugopal, S.; Balwinder Kaur, B.; Verma, A.; Wadhwa, P.; Magan, M.; Hudda, S.; Kakoty, V. Recent advances of benzimidazole as anticancer agents. Chem. Biol. Drug. Des. 2023, 102, 357–376. [Google Scholar] [CrossRef] [PubMed]
- Pinto-Díez, C.; Ferreras-Martín, R.; Carrión-Marchante, R.; González, V.M.; Martín, M.E. Deeping in the Role of the MAP-Kinases Interacting Kinases (MNKs) in Cancer. Int. J. Mol. Sci. 2020, 21, 2967. [Google Scholar] [CrossRef] [PubMed]
- Hagar, F.F.; Abbas, S.H.; Atef, E.; Abdelhamid, D.; Abdel-Aziz, M. Benzimidazole scaffold as a potent anticancer agent with different mechanisms of action (2016–2023). Mol. Div. 2025, 29, 1821–1849. [Google Scholar] [CrossRef]
- Lee, Y.; Bae, K.J.; Chon, J.; Kim, S.H.; Kim, S.A.; Kim, J. A Receptor Tyrosine Kinase Inhibitor, Dovitinib (TKI-258), Enhances BMP-2-Induced Osteoblast Differentiation In Vitro. Mol. Cells 2016, 39, 389–394. [Google Scholar] [CrossRef]
- Esteban-Villarrubia, J.; Soto-Castillo, J.J.; Pozas, J.; San Román-Gil, M.; Orejana-Martín, I.; Torres-Jiménez, J.; Carrato, A.; Alonso-Gordoa, T.; Molina-Cerrillo, J. Tyrosine Kinase Receptors in Oncology. Int. J. Mol. Sci. 2020, 21, 8529. [Google Scholar] [CrossRef]
- Yadav, S.S.; Li, J.; Jennifer, A.; Stockert, J.A.; Herzog, B.; James O’Connor, J.; Garzon-Manco, L.; Parsons, R.; Tewari, A.K.; Yadav, K.K. Induction of Neuroendocrine Differentiation in Prostate Cancer Cells by Dovitinib (TKI-258) and its Therapeutic Implications. Transl. Oncol. 2017, 10, 357–366. [Google Scholar] [CrossRef]
- Liongue, C.; Ratnayake, T.; Basheer, F.; Ward, A.C. Janus Kinase 3 (JAK3): A Critical Conserved Node in Immunity Disrupted in Immune Cell Cancer and Immunodeficiency. Int. J. Mol. Sci. 2024, 25, 2977. [Google Scholar] [CrossRef]
- Chen, J.J.; Thakur, K.D.; Clark, M.P.; Laughlin, S.K.; George, K.M.; Bookland, R.G.; Davis, J.R.; Cabrera, E.J.; Easwaran, V.; De, B.; et al. Development of pyrimidine-based inhibitors of Janus tyrosine kinase 3. Bioorg. Med. Chem. Lett. 2006, 16, 5633–5638. [Google Scholar] [CrossRef]
- Sabat, M.; VanRens, J.C.; Laufersweiler, M.J.; Brugel, T.A.; Maier, J.; Golebiowski, A.; De, B.; Easwaran, V.; Hsieh, L.C.; Walter, R.L.; et al. The development of 2-benzimidazole substituted pyrimidine based inhibitors of lymphocyte specific kinase (Lck). Biorg. Med. Chem. Lett. 2006, 16, 5973–5977. [Google Scholar] [CrossRef]
- Hunt, J.A.; Beresis, R.T.; Goulet, J.L.; Holmes, M.A.; Hong, X.J.; Kovacs, E.; Mills, S.G.; Ruzek, R.D.; Wong, F.; Hermes, J.D.; et al. Disubstituted pyrimidines as Lck inhibitors. Bioorg. Med. Chem. Lett. 2009, 19, 5440–5443. [Google Scholar] [CrossRef] [PubMed]
- Padhy, G.K.; Panda, J.; Behera, A.K. Synthesis and Characterization of Novel N-Benzylbenzimidazole Linked Pyrimidine Derivatives as Anticancer Agents. Ind. J. Pharm. Ed. Res. 2019, 53, 129–134. [Google Scholar] [CrossRef]
- Aghamohammad, S.; Rohani, M. Antibiotic resistance and the alternatives to conventional antibiotics: The role of probiotics and microbiota in combating antimicrobial resistance. Microbiol. Res. 2023, 267, 127275. [Google Scholar] [CrossRef] [PubMed]
- Pibiri, I. Recent Advances: Heterocycles in Drugs and Drug Discovery. Int. J. Mol. Sci. 2024, 25, 9503. [Google Scholar] [CrossRef]
- Chen, P.-J.; Yang, A.; Gu, Y.-F.; Zhang, X.-S.; Shao, K.-P.; Xue, D.-Q.; He, P.; Jiang, T.-F.; Zhang, Q.-R.; Liu, H.M. Synthesis, in vitro antimicrobial and cytotoxic activities of novel pyrimidine–benzimidazol combinations. Bioorg. Med. Chem. Lett. 2014, 24, 2741–2743. [Google Scholar] [CrossRef]
- Kunduru, R.R.; Vanga, M.R.; Boche, S. Synthesis and Characterization of Some Novel 2-[(5-aryl)-4, 5-dihydro-1H-pyrazole-3-yl]-1H-benzimidazoles with Antimicrobial Activity. Int. J. Pharm. Sci. Drug Res. 2014, 6, 278–282. [Google Scholar] [CrossRef]
- Fang, X.-J.; Jeyakkumar, P.; Rao Avula, S.R.; Zhou, Q.; Zhou, C.-H. Design, synthesis and biological evaluation of 5-fluorouracil-derived benzimidazoles as novel type of potential antimicrobial agents. Bioorg. Med. Chem. Lett. 2016, 26, 2584–2588. [Google Scholar] [CrossRef]
- AlNeyadi, S.S.; Salem, A.A.; Ghattas, M.A.; Atatreh, N.; Abdou, I.M. Antibacterial activity and mechanism of action of the benzazole acrylonitrile-based compounds: In vitro, spectroscopic, and docking studies. Eur. J. Med. Chem. 2017, 136, 280–282. [Google Scholar] [CrossRef]
- Hessein, S.A.; Fouad, S.A.F.; Raslan, R.R.; A Shemiss, N.A. Synthesis of some novel pyrrolidine, thiomorpholine, pyrimidine and pyridine derivatives containing benzimidazole moiety of expected antiviral and antimicrobial activity. Der Pharm. Chem. 2016, 8, 170–181. [Google Scholar]
- Chikkula, K.V.; Sundararajan, R. Analgesic, anti-inflammatory, and antimicrobial activities of novel isoxazole/pyrimidine/pyrazole substituted benzimidazole analogs. Med. Chem. Res. 2017, 26, 3026–3037. [Google Scholar] [CrossRef]
- Saundane, A.R.; Mathada, K.N. Synthesis, characterization, and biological evaluation of some new chalcones containing indole moiety and their derivatives. Monatsh. Chem. 2016, 147, 1291–1301. [Google Scholar] [CrossRef]
- Liu, H.-B.; Gao, W.-W.; Tangadanchu, V.K.R.; Zhou, C.-H.; Geng, R.-X. Novel aminopyrimidinyl benzimidazoles as potentially antimicrobial agents: Design, synthesis and biological evaluation. Eur. J. Med. Chem. 2018, 143, 66–84. [Google Scholar] [CrossRef]
- Khan, S.; Kale, M.; Nema, N. Novel pyrimidine-benzimidazole hybrids with antibacterial and antifungal properties and potential inhibition of SARS-CoV-2 main protease and spike glycoprotein. Dig. Chin. Med. 2021, 4, 102–119. [Google Scholar] [CrossRef]
- Zaghary, W.A.; Anwar, M.M.; Abd El-Karim, S.; Ghada, E.A.; Awad, G.E.A.; Hussein, G.K.; Mahfouz, N.M. Design, Synthesis and Molecular Docking of New Benzimidazole Derivatives of Potential Antimicrobial Activity as DNA Gyrase and Topoisomerase IV Inhibitors. Egypt. J. Chem. 2021, 64, 3817–3839. [Google Scholar] [CrossRef]
- Sun, C.; Zhang, S.; Qian, P.; Li, Y.; Deng, H.; Ren, W.; Jiang, L. Synthesis and fungicidal activity of novel 2-(2-alkylthio-6-phenylpyrimidin-4-yl)-1H-benzimidazoles. Bioorg. Med. Chem. Lett. 2021, 47, 128210. [Google Scholar] [CrossRef] [PubMed]
- Chen, Z.; Gao, T.; Liang, S.; Liu, K.; Zhou, M.; Chen, C. Molecular mechanism of resistance of Fusarium fujikuroi to benzimidazole fungicides. FEMS Microbiol. Lett. 2014, 357, 77–84. [Google Scholar] [CrossRef]
- Duan, Y.B.; Yang, Y.; Li, M.X.; Li, T.; Fraaije, B.A.; Zhou, M.G. Development and application of a simple, rapid and sensitive method for detecting moderately carbendazim-resistant isolates in Botrytis cinerea. Ann. Appl. Biol. 2018, 172, 355–365. [Google Scholar] [CrossRef]
- Chaaban, S.; Jariwala, S.; Hsu, C.T.; Redemann, S.; Kollman, J.M.; Muller-Reichert, T.; Sept, D.; Bui, K.H.; Brouhard, G.J. The structure and dynamics of C. elegans tubulin reveals the mechanistic basis of microtubule growth. Dev. Cell 2018, 47, 191–204. [Google Scholar] [CrossRef]
- Rathi, P.C.; Ludlow, R.F.; Verdonk, M.L. Practical high-quality electrostatic potential surfaces for drug discovery using a graph-convolutional deep neural network. J. Med. Chem. 2020, 63, 8778–8790. [Google Scholar] [CrossRef]
- Vlasov, S.V.; Vlasova, O.D.; Severina, H.I.; Krolenko, K.Y.; Borysov, O.V.; Abu Sharkh, A.I.M.; Vlasov, V.S.; Georgiyants, V.A. Design, Synthesis and In Vitro Antimicrobial Activity of 6-(1H-Benzimidazol-2-yl)-3,5-dimethyl-4-oxo-2-thio-3,4-dihydrothieno [2,3-d]pyrimidines. Sci. Pharm. 2021, 89, 49. [Google Scholar] [CrossRef]
- De, A.; Sarkar, S.; Majee, A. Recent advances on heterocyclic compounds with antiviral properties. Chem. Heterocycl. Compd. 2021, 57, 410–416. [Google Scholar] [CrossRef]
- El Diwani, H.I.; Abdel-Mohsen, H.T.; Salama, I.; Ragab, F.A.-F.; Ramla, M.M.; Galal, S.A.; Abdalla, M.M.; Abdel-Wahab, A.; El Demellawy, M.A. Synthesis, Molecular Modeling, and Biological Evaluation of Novel Benzimidazole Derivatives as Inhibitors of Hepatitis C Virus RNA Replication. Chem. Pharm. Bull. 2014, 62, 856–866. [Google Scholar] [CrossRef]
- Selvam, P.; Lakr, D.R.; Pannecouque, C. Synthesis, Anti-viral and cytotoxicity studies of some novel N-substituted benzimidzole derivatives. Int. J. Pharm. Sci. Res. 2010, 1, 105–109. [Google Scholar] [CrossRef]
- Sharma, S.; Kumar, D.; Singh, G.; Monga, V.; Kumar, B. Recent advancements in the development of heterocyclic anti-inflammatory agents. Eur. J. Med. Chem. 2020, 200, 112438. [Google Scholar] [CrossRef]
- Prajapat, P.; Talesara, G.L. Synthesis and Anti-inflammatory Screening of Some Mono and Bis-Alkoxyphthalimide Linked Benzimidazole and their Quinazoline and Pyrimidine Derivatives. J. Heterocycl. Chem. 2016, 53, 1603–1610. [Google Scholar] [CrossRef]
- Veerasamy, R.; Roy, A.; Karunakaran, R.; Rajak, H. Structure–Activity Relationship Analysis of Benzimidazoles as Emerging Anti-Inflammatory Agents: An Overview. Pharmaceuticals 2021, 14, 663. [Google Scholar] [CrossRef]
- Bułdyś, K.; Górnicki, T.; Kałka, D.; Szuster, E.; Biernikiewicz, M.; Markuszewski, L.; Sobieszczańska, M. What Do We Know about Nociplastic Pain? Healthcare 2023, 11, 1794. [Google Scholar] [CrossRef]
- Zalaru, C.; Dumitrascu, F.; Draghici, C.; Iovu, M.; Marinescu, M.; Tarcomnicu, I.; Nitulescu, G.M. Synthesis and biological screening of some novel 2-(1H-pyrazol-1-yl)-acetamides as lidocaine analogue. Ind. J. Chem. B 2014, 53B, 733–739. [Google Scholar]
- Kuna, L.; Jakab, J.; Smolic, R.; Raguz-Lucic, N.; Vcev, A.; Smolic, M. Peptic Ulcer Disease: A Brief Review of Conventional Therapy and Herbal Treatment Options. J. Clin. Med. 2019, 8, 179. [Google Scholar] [CrossRef] [PubMed]
- Abd El-Galil, E.; Amr, A.E.-G.E.; Al-Omar, M.A.; Abdalla, M.M. Biological Evaluations of some Synthesized Pyrimidothieno [2,3-b] Pyrimidine Candidates as Antiulcer Agents. Int. J. Pharm. 2015, 11, 840–845. [Google Scholar]
- Mathew, B.; Suresh, J.; Anbazhagan, S. Synthesis and PASS-assisted in silico approach of some novel 2-substituted benzimidazole bearing a pyrimidine-2, 4,6(trione) system as mucomembranous protector. J. Pharm. BioAllied Sci. 2013, 5, 39–44. [Google Scholar] [CrossRef] [PubMed]
- Farhan, K.R.; Farooqui, M.S. Synthesis and Pharmacological Evaluation of Novel Benzimidazole Derivatives as Antiulcer and H+ K+ ATPase Inhibitor. J. Adv. Med. Pharm. Sci. 2021, 23, 65173. [Google Scholar]
- Patil, A.; Ganguly, S.; Surana, S. Synthesis and antiulcer activity of 2-[5-substituted-1-H-benzo(d)imidazol-2-yl sulfinyl]methyl-3-substituted quinazoline-4-(3H)ones. J. Chem. Sci. 2010, 122, 443–450. [Google Scholar] [CrossRef]
- Zhao, R.; Wang, J.; Chung, S.K.; Xu, B. New insights into anti-depression effects of bioactive phytochemicals. Pharm. Res. 2025, 212, 107566. [Google Scholar] [CrossRef]
- Mathew, B.; Suresh, J.; Anbazhagan, S. Development of novel (1-H) benzimidazole bearing pyrimidine-trione based MAO-A inhibitors: Synthesis, docking studies and antidepressant activity. J. Saudi Chem. Soc. 2016, 20, S132–S139. [Google Scholar] [CrossRef]
- Kojima, T.; Mochizuki, M.; Takai, T.; Hoashi, Y.; Morimoto, S.; Seto, M.; Nakamura, M.; Kobayashi, K.; Sako, Y.; Tanaka, M.; et al. Discovery of 1,2,3,4-tetrahydropyrimido [1,2-a]benzimidazoles as novel class of corticotropin releasing factor 1 receptor antagonists. Bioorg. Med. Chem. 2018, 26, 2229–2250. [Google Scholar] [CrossRef]
- Kim, M.-h.; Lee, J.; Jung, K.; Kim, M.; Park, Y.-J.; Ahn, H.; Kwon, Y.H.; Hah, J.-M. Syntheses and biological evaluation of 1-heteroaryl-2-aryl-1H-benzimidazole derivatives as c-Jun N- terminal kinase inhibitors with neuroprotective effects. Bioorg. Med. Chem. 2013, 21, 2271–2285. [Google Scholar] [CrossRef]
- Kabir, E.; Uzzaman, M. A review on biological and medicinal impact of heterocyclic compounds. Res. Chem. 2022, 4, 100606. [Google Scholar] [CrossRef]
- Marinescu, M.; Cinteza, L.O.; Marton, G.; Măruţescu, L.; Chifiriuc, M.C.; Constantinescu, C. Density functional theory molecular modeling and antimicrobial behaviour of selected 1,2,3,4,5,6,7,8-octahydroacridine-(10)-oxides. J. Mol. Struct. 2017, 1144, 14–23. [Google Scholar] [CrossRef]
- Potmischil, F.; Marinescu, M.; Nicolescu, A.; Deleanu, C.; Hillebrand, M. Hydroacridines: Part 29.15N NMR chemical shifts of 9-substituted 1,2,3,4,5,6,7,8-octahydroacridines and their N-oxides. Magn. Res. Chem. 2008, 46, 1141–1147. [Google Scholar] [CrossRef]
- Ion, V.; Matei, A.; Constantinescu, C.; Mitu, B.; Ionita, I.; Marinescu, M.; Dinescu, M.; Emandi, A. Octahydroacridine thin films grown by matrix-assisted pulsed laser evaporation for non linear optical applications. Mat. Sci. Semicon. Proc. 2015, 36, 78–83. [Google Scholar] [CrossRef]
















































| Compound | IC50 (µM) | ||||
|---|---|---|---|---|---|
| AKT1 | Aurora B | FAK | PLK 1 | VEGF-R2 | |
| 13a | >100 | >100 | 38 ± 23 | 60 ± 21 | 13.4 ± 3.7 |
| 13b | >100 | >100 | 58 | >100 | 25 |
| 13c | 41 | >100 | 69 | >100 | 38 |
| 13d | >100 | >100 | 24 | >100 | 69 |
| 13e | >100 | >100 | >100 | >100 | >100 |
| 13f | 75 ± 21 | 62 ± 25 | 27 ± 10 | 15 ± 1 | 44 ± 19 |
| 13g | >100 | 11.1 ± 2.9 | 11.4 ± 3. | 12 ± 1 | 9.2 ± 1.9 |
| 13h | >100 | 5.5 ± 0.2 | 5.2 ± 1.1 | 3.7 ± 0.4 | 3.2 ± 0 |
| 13i | >100 | 7 ± 2.3 | 10.4 ± 2.7 | 6.0 ± 0.1 | 7.5 ± 2.0 |
| 13j | >100 | 6.0 ± 0.2 | 3.4 ± 0.8 | 1.2 ± 0.2 | 7.2 ± 0.3 |
| Sorafenib | >10 | 1.8 | >10 | >10 | 0.022 |
| Sunitinib | >10 | 1.5 | 1.6 | >10 | 0.070 |
![]() | Cell Type/H1299 | |||||
| MTT Assay (Viability % ± SD) | SEAP Activity (% ± SD) | |||||
| 1 (µM) | 10 (µM) | 100 (µM) | 1 (µM) | 10 (µM) | 100 (µM) | |
| 96 ± 6 | 84 ± 4 | 0 ± 2 | 83 ± 4 | 35 ± 3 | 0 ± 1 | |
| Compound | MIC (µg/mL) | |||
|---|---|---|---|---|
| E. coli | P. aeruginosa | S. aureus | B. subtilis | |
![]() | 9.0 | 9.0 | 9.0 | 13.0 |
![]() | 18.0 | 18.0 | 18.0 | 25.0 |
![]() | 14.3 | 11.1 | 11.1 | 20.0 |
![]() Amoxicillin | 1.5 | 1.0 | 1.5 | 1.5 |
| Compound | Antibacterial Activity | Antifungal Activity | |||||||||||||
|---|---|---|---|---|---|---|---|---|---|---|---|---|---|---|---|
| S. a. | MRSA | B. s. | M. l. | B. p. | E.c.D | P.a. | B.t. | E.c.J | S.d. | C.a. | C.m. | S.c, | C.u. | A.f. | |
| 112 | 8 | 8 | 8 | 8 | 4 | 1 | 4 | 2 | 2 | 16 | 8 | 4 | 4 | 4 | 1 |
| 113 | 8 | 8 | 8 | 1 | 1 | 16 | 32 | 16 | 64 | 16 | 1 | 2 | 8 | 2 | 8 |
| 114 | 2 | 128 | 2 | 32 | 128 | 128 | 16 | 8 | 128 | 16 | 8 | 256 | 64 | 128 | 256 |
| 115 | 64 | 512 | 64 | 64 | 8 | 128 | 128 | 512 | 32 | 32 | 1 | 512 | 512 | 2 | 4 |
| Chloromycin | 8 | 16 | 32 | 8 | 32 | 16 | 16 | 32 | 32 | 16 | – | – | – | – | – |
| Norfloxacin | 8 | 1 | 2 | 1 | 4 | 1 | 1 | 1 | 1 | 16 | – | – | – | – | – |
| Fluconazole | – | – | – | – | – | – | – | – | – | – | 1 | 4 | 8 | 16 | 256 |
| Drug or Compd. | 6LU7 | 6VSB | ||||
|---|---|---|---|---|---|---|
| Ba 1 (Kcal/mol) | Hb 2 (n) | Active aa 3 | Ba 1 (Kcal/mol) | Hb 2 (n) | Active aa 3 | |
| Ivermectin | −7 | 3 | Asn85, Val186, Arg40, Asn153, Met82 | −9.1 | 4 | Cys-C:379, Glu-A:988, Val-C:382, Pro-A:987, Val-A:991, Val-B:991, Lys-C:378 |
| Favipiravir | −5.7 | 4 | Gln127, Asp295, Phe08, Asn151, Phe112, Phe294, Thr292, Thr111, Gln110, Ile106 | −5.2 | 4 | Asp-A:994, Phe-C:970, Arg-C:995, Thr-C:998, Gly-C999 |
| 119 | −7.8 | 4 | His163, Asn142, His164, His41, Met165, Asp187, Arg188, Val186, Gln192 | −8.5 | 3 | Asn-B:978, Leu-B:977, Thr-A:547, Val-B:976, Leu-A:846 |
| 120 | −7.6 | 3 | Thr25, Le27, Thr26, Gly143, Leu141, Gln189, Thr190, Met165, Glu166, His164 | −8.4 | 3 | Thr-C:998, Asp-B:994, Arg-A:995, Thr-B:998, Tyr-C:756 |
| 121 | −7.4 | 4 | Tyr54, Asp187, Met49, His164, Asn142, Leu167, Pro168, Thr190, Gln192 | −8.8 | 1 | Thr-C:998, Tyr-C:756, Thr-B:998, Arg-A:995, Asp-B:994, Arg-C:995, Arg-B:995 |
| 122 | −8.1 | 1 | His41, His164, Met165, Met49, Tyr54, Asp187, Arg188, Gln189, Thr190, Gln192,Leu167, Pro168 | −8.2 | 3 | Thr-B:415,Gly-B:416, Gln-B:414, Pro-C:384, Glu-A:988, Asp-A:985, Thr-C:998 |
| 123 | −7.2 | 4 | Cys145, His41, Met165, Met49, Tyr54, Asp187, Arg188, Thr190, Gln192, Leu167, Pro168, Leu141 | −8.3 | 4 | Thr-A:998, Arg-A:995, Thr-C:998, Tyr-C:756, Thr-B:998, Thr-C:998 |
| 124 | −8.0 | 2 | Met165, Cys145, Ser144, Met49 | −8.3 | 1 | Tyr-B:756, Thr-C:998, Thr-B:998, Tyr-C:756 |
| Compound a | Duration of Immobility (s) | % Change from Control | Rotarod Test b |
|---|---|---|---|
| 157 | 39.41 ± 3.8 | −42.43 | 2/6 |
| 158 | 43.56 ± 3.3 | −36.36 | 1/6 |
| 159 | 29.27 ± 4.2 | −57.23 | 1/6 |
| 160 | 25.61 ± 3.1 | −62.58 | 1/6 |
| 161 | 32.74 ± 5.6 | −52.16 | 2/6 |
| 162 | 30.56 ± 2.2 | −55.35 | 0/6 |
| Clomipiramine (20 mg/kg) | 21.65 ± 4.6 | −68.37 | – |
| Control | 68.45 ± 3.5 | – | – |
Disclaimer/Publisher’s Note: The statements, opinions and data contained in all publications are solely those of the individual author(s) and contributor(s) and not of MDPI and/or the editor(s). MDPI and/or the editor(s) disclaim responsibility for any injury to people or property resulting from any ideas, methods, instructions or products referred to in the content. |
© 2025 by the authors. Licensee MDPI, Basel, Switzerland. This article is an open access article distributed under the terms and conditions of the Creative Commons Attribution (CC BY) license (https://creativecommons.org/licenses/by/4.0/).
Share and Cite
Marinescu, M.; Zalaru, C. Benzimidazole–Pyrimidine Hybrids: Synthesis and Medicinal Properties. Pharmaceuticals 2025, 18, 1225. https://doi.org/10.3390/ph18081225
Marinescu M, Zalaru C. Benzimidazole–Pyrimidine Hybrids: Synthesis and Medicinal Properties. Pharmaceuticals. 2025; 18(8):1225. https://doi.org/10.3390/ph18081225
Chicago/Turabian StyleMarinescu, Maria, and Christina Zalaru. 2025. "Benzimidazole–Pyrimidine Hybrids: Synthesis and Medicinal Properties" Pharmaceuticals 18, no. 8: 1225. https://doi.org/10.3390/ph18081225
APA StyleMarinescu, M., & Zalaru, C. (2025). Benzimidazole–Pyrimidine Hybrids: Synthesis and Medicinal Properties. Pharmaceuticals, 18(8), 1225. https://doi.org/10.3390/ph18081225






