Expression and Clinical Significance of Cytochrome 1B1 in Bone Sarcomas
Abstract
1. Introduction
2. Results
2.1. Baseline Demographics and Clinicopathological Characteristics
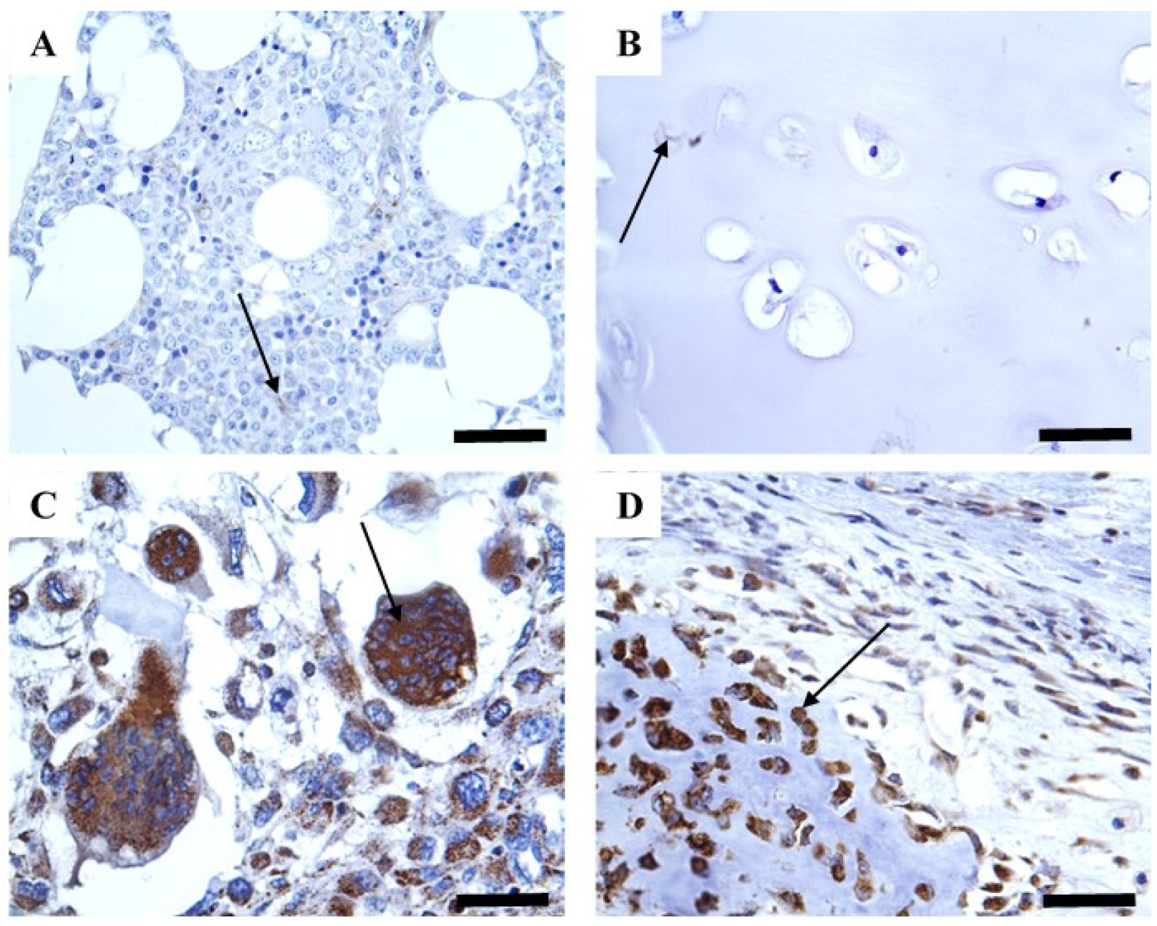
2.2. CYP1B1 Protein Expression
2.3. Analysis of CYP1B1 Gene Expression
2.4. PPI Network and Clustering
2.5. Analysis of Structural Prediction of Canonical CYP1B1 Using AlphaFold
2.6. Analysis of Drug Sensitivity Correlation with CYP1B1 Expression
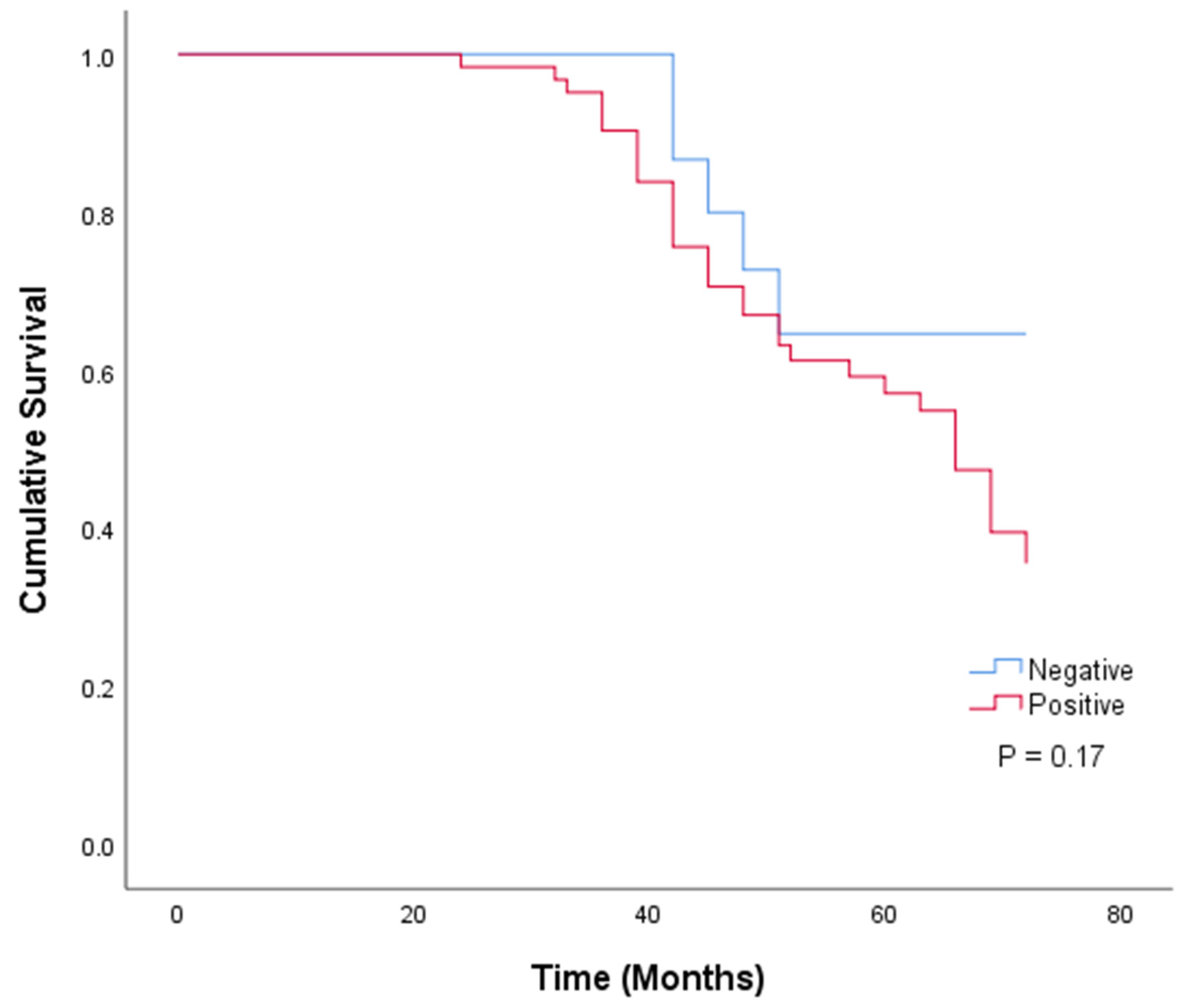
2.7. Survival Analysis and Prognostic Value of CYP1B1 Expression
3. Discussion
4. Materials and Methods
4.1. Tissue Specimens and Immunohistochemistry
4.2. Scoring of CYP1B1 Expression
4.3. CYP1B1 Gene Expression
4.4. Protein–Protein Interactions (PPI) Network
4.5. Structural Prediction of Canonical CYP1B1 Using AlphaFold
4.6. Drug Sensitivity Correlation with CYP1B1 Expression
4.7. Statistical Analysis
5. Conclusions
Author Contributions
Funding
Institutional Review Board Statement
Informed Consent Statement
Data Availability Statement
Acknowledgments
Conflicts of Interest
Abbreviations
| CYP1B1 | Cytochrome 1B1 |
| TMA | tissue microarray |
| HIER | heat-induced epitope retrieval |
| PBS | phosphate-buffered saline |
| DAB | 3,3′-diaminobenzidine |
| GEO | Gene Expression Omnibus |
| ANOVA | one-way analysis of variance |
| EMT | epithelial–mesenchymal transition |
| AhR | aryl hydrocarbon receptor |
| XREs | xenobiotic response elements |
References
- Shimada, T.; Fujii-Kuriyama, Y. Metabolic activation of polycyclic aromatic hydrocarbons to carcinogens by cytochromes P450 1A1 and 1B1. Cancer Sci. 2004, 95, 1–6. [Google Scholar] [CrossRef]
- Hayes, C.L.; Spink, D.C.; Spink, B.C.; Cao, J.Q.; Walker, N.J.; Sutter, T.R. 17 beta-estradiol hydroxylation catalyzed by human cytochrome P450 1B1. Proc. Natl. Acad. Sci. USA 1996, 93, 9776–9781. [Google Scholar] [CrossRef] [PubMed]
- D’Uva, G.; Baci, D.; Albini, A.; Noonan, D.M. Cancer chemoprevention revisited: Cytochrome P450 family 1B1 as a target in the tumor and the microenvironment. Cancer Treat. Rev. 2018, 63, 1–18. [Google Scholar] [CrossRef] [PubMed]
- Murray, G.I.; Melvin, W.T.; Greenlee, W.F.; Burke, M.D. Regulation, function, and tissue-specific expression of cytochrome P450 CYP1B1. Annu. Rev. Pharmacol. Toxicol. 2001, 41, 297–316. [Google Scholar] [CrossRef] [PubMed]
- Alshammari, F.O.F.O.; Al-Saraireh, Y.M.; Youssef, A.M.M.; Al-Sarayra, Y.M.; Alrawashdeh, H.M. Cytochrome P450 1B1 Overexpression in Cervical Cancers: Cross-sectional Study. Interact. J. Med. Res. 2021, 10, e31150. [Google Scholar] [CrossRef]
- Al-Saraireh, Y.M.; Alshammari, F.; Youssef, A.M.M.; Al-Sarayreh, S.; Almuhaisen, G.H.; Alnawaiseh, N.; Al Shuneigat, J.M.; Alrawashdeh, H.M. Profiling of CYP4Z1 and CYP1B1 expression in bladder cancers. Sci. Rep. 2021, 11, 5581. [Google Scholar] [CrossRef]
- Society, A.C. Key Statistics for Bone Cancer. Available online: https://www.cancer.org/cancer/types/bone-cancer/about/key-statistics.html (accessed on 7 June 2025).
- Strauss, S.J.; Frezza, A.M.; Abecassis, N.; Bajpai, J.; Bauer, S.; Biagini, R.; Bielack, S.; Blay, J.Y.; Bolle, S.; Bonvalot, S.; et al. Bone sarcomas: ESMO–EURACAN–GENTURIS–ERN PaedCan Clinical Practice Guideline for diagnosis, treatment and follow-up. Ann. Oncol. 2021, 32, 1520–1536. [Google Scholar] [CrossRef]
- Marina, N.; Gebhardt, M.; Teot, L.; Gorlick, R. Biology and therapeutic advances for pediatric osteosarcoma. Oncologist 2004, 9, 422–441. [Google Scholar] [CrossRef]
- Franchi, A. Epidemiology and classification of bone tumors. Clin. Cases Miner. Bone Metab. 2012, 9, 92–95. [Google Scholar]
- Italiano, A.; Mir, O.; Cioffi, A.; Palmerini, E.; Piperno-Neumann, S.; Perrin, C.; Chaigneau, L.; Penel, N.; Duffaud, F.; Kurtz, J.E.; et al. Advanced chondrosarcomas: Role of chemotherapy and survival. Ann. Oncol. 2013, 24, 2916–2922. [Google Scholar] [CrossRef]
- Dhaini, H.R.; Thomas, D.G.; Giordano, T.J.; Johnson, T.D.; Biermann, J.S.; Leu, K.; Hollenberg, P.F.; Baker, L.H. Cytochrome P450 CYP3A4/5 expression as a biomarker of outcome in osteosarcoma. J. Clin. Oncol. 2003, 21, 2481–2485. [Google Scholar] [CrossRef]
- Falero-Perez, J.; Song, Y.S.; Sorenson, C.M.; Sheibani, N. CYP1B1: A key regulator of redox homeostasis. Trends Cell Mol. Biol. 2018, 13, 27–45. [Google Scholar]
- Habano, W.; Gamo, T.; Sugai, T.; Otsuka, K.; Wakabayashi, G.; Ozawa, S. CYP1B1, but not CYP1A1, is downregulated by promoter methylation in colorectal cancers. Int. J. Oncol. 2009, 34, 1085–1091. [Google Scholar] [CrossRef]
- Tsuchiya, Y.; Nakajima, M.; Takagi, S.; Taniya, T.; Yokoi, T. MicroRNA regulates the expression of human cytochrome P450 1B1. Cancer Res. 2006, 66, 9090–9098. [Google Scholar] [CrossRef]
- Szczepanek, J.; Skorupa, M.; Tretyn, A. MicroRNA as a Potential Therapeutic Molecule in Cancer. Cells 2022, 11, 1008. [Google Scholar] [CrossRef] [PubMed]
- Buddingh, E.P.; Kuijjer, M.L.; Duim, R.A.; Bürger, H.; Agelopoulos, K.; Myklebost, O.; Serra, M.; Mertens, F.; Hogendoorn, P.C.; Lankester, A.C.; et al. Tumor-infiltrating macrophages are associated with metastasis suppression in high-grade osteosarcoma: A rationale for treatment with macrophage activating agents. Clin. Cancer Res. 2011, 17, 2110–2119. [Google Scholar] [CrossRef] [PubMed]
- Kuijjer, M.L.; Rydbeck, H.; Kresse, S.H.; Buddingh, E.P.; Lid, A.B.; Roelofs, H.; Bürger, H.; Myklebost, O.; Hogendoorn, P.C.; Meza-Zepeda, L.A.; et al. Identification of osteosarcoma driver genes by integrative analysis of copy number and gene expression data. Genes. Chromosomes Cancer 2012, 51, 696–706. [Google Scholar] [CrossRef] [PubMed]
- Li, F.; Zhu, W.; Gonzalez, F.J. Potential role of CYP1B1 in the development and treatment of metabolic diseases. Pharmacol. Ther. 2017, 178, 18–30. [Google Scholar] [CrossRef]
- Shah, B.R.; Xu, W.; Mraz, J. Cytochrome P450 1B1: Role in health and disease and effect of nutrition on its expression. RSC Adv. 2019, 9, 21050–21062. [Google Scholar] [CrossRef]
- Su, J.-M.; Lin, P.; Wang, C.-K.; Chang, H. Overexpression of Cytochrome P450 1B1 in Advanced Non-small Cell Lung Cancer: A Potential Therapeutic Target. Anticancer Res. 2009, 29, 509–515. [Google Scholar] [PubMed]
- Chang, I.; Mitsui, Y.; Fukuhara, S.; Gill, A.; Wong, D.K.; Yamamura, S.; Shahryari, V.; Tabatabai, Z.L.; Dahiya, R.; Shin, D.M.; et al. Loss of miR-200c up-regulates CYP1B1 and confers docetaxel resistance in renal cell carcinoma. Oncotarget 2015, 6, 7774–7787. [Google Scholar] [CrossRef] [PubMed]
- Kwon, Y.J.; Baek, H.S.; Ye, D.J.; Shin, S.; Kim, D.; Chun, Y.J. CYP1B1 Enhances Cell Proliferation and Metastasis through Induction of EMT and Activation of Wnt/β-Catenin Signaling via Sp1 Upregulation. PLoS ONE 2016, 11, e0151598. [Google Scholar] [CrossRef] [PubMed]
- Zhang, J.; Wang, W. Glypican-3 regulated epithelial mesenchymal transformation-related genes in osteosarcoma: Based on comprehensive tumor microenvironment profiling. Front. Immunol. 2025, 16, 1566061. [Google Scholar] [CrossRef] [PubMed]
- Mitsui, Y.; Chang, I.; Fukuhara, S.; Hiraki, M.; Arichi, N.; Yasumoto, H.; Hirata, H.; Yamamura, S.; Shahryari, V.; Deng, G.; et al. CYP1B1 promotes tumorigenesis via altered expression of CDC20 and DAPK1 genes in renal cell carcinoma. BMC Cancer 2015, 15, 942. [Google Scholar] [CrossRef]
- Chang, I.; Mitsui, Y.; Kim, S.K.; Sun, J.S.; Jeon, H.S.; Kang, J.Y.; Kang, N.J.; Fukuhara, S.; Gill, A.; Shahryari, V.; et al. Cytochrome P450 1B1 inhibition suppresses tumorigenicity of prostate cancer via caspase-1 activation. Oncotarget 2017, 8, 39087–39100. [Google Scholar] [CrossRef]
- Denison, M.S.; Soshilov, A.A.; He, G.; DeGroot, D.E.; Zhao, B. Exactly the same but different: Promiscuity and diversity in the molecular mechanisms of action of the aryl hydrocarbon (dioxin) receptor. Toxicol. Sci. 2011, 124, 1–22. [Google Scholar] [CrossRef]
- Murray, I.A.; Patterson, A.D.; Perdew, G.H. Aryl hydrocarbon receptor ligands in cancer: Friend and foe. Nat. Rev. Cancer 2014, 14, 801–814. [Google Scholar] [CrossRef]
- Deb, S.; Tai, J.K.; Leung, G.S.; Chang, T.K.; Bandiera, S.M. Estradiol-mediated suppression of CYP1B1 expression in mouse MA-10 Leydig cells is independent of protein kinase A and estrogen receptor. Mol. Cell. Biochem. 2011, 358, 387–395. [Google Scholar] [CrossRef]
- McFadyen, M.C.; Melvin, W.T.; Murray, G.I. Cytochrome P450 enzymes: Novel options for cancer therapeutics. Mol. Cancer Ther. 2004, 3, 363–371. [Google Scholar] [CrossRef]
- Yuan, B.; Liu, G.; Dai, Z.; Wang, L.; Lin, B.; Zhang, J. CYP1B1: A Novel Molecular Biomarker Predicts Molecular Subtype, Tumor Microenvironment, and Immune Response in 33 Cancers. Cancers 2022, 14, 5641. [Google Scholar] [CrossRef]
- Martinez, V.G.; O’Connor, R.; Liang, Y.; Clynes, M. CYP1B1 expression is induced by docetaxel: Effect on cell viability and drug resistance. Br. J. Cancer 2008, 98, 564–570. [Google Scholar] [CrossRef]
- Mikstacka, R.; Dutkiewicz, Z. New Perspectives of CYP1B1 Inhibitors in the Light of Molecular Studies. Processes 2021, 9, 817. [Google Scholar] [CrossRef]
- Harvey, J.M.; Clark, G.M.; Osborne, C.K.; Allred, D.C. Estrogen receptor status by immunohistochemistry is superior to the ligand-binding assay for predicting response to adjuvant endocrine therapy in breast cancer. J. Clin. Oncol. 1999, 17, 1474–1481. [Google Scholar] [CrossRef]
- Al-Saraireh, Y.M.; Alshammari, F.; Youssef, A.M.M.; Al-Sarayreh, S.; Almuhaisen, G.H.; Alnawaiseh, N.; Al-Shuneigat, J.M.; Alrawashdeh, H.M. Cytochrome 4Z1 Expression is Associated with Poor Prognosis in Colon Cancer Patients. OncoTargets Ther. 2021, 14, 5249–5260. [Google Scholar] [CrossRef] [PubMed]
- Alshammari, F.; Al-Saraireh, Y.M.; Youssef, A.M.M.; Al-Sarayra, Y.M.; Alrawashdeh, H.M. Glypican-1 Overexpression in Different Types of Breast Cancers. OncoTargets Ther. 2021, 14, 4309–4318. [Google Scholar] [CrossRef] [PubMed]
- Al-Saraireh, Y.M.; Alboaisa, N.S.; Alrawashdeh, H.M.; Hamdan, O.; Al-Sarayreh, S.; Al-Shuneigat, J.M.; Nofal, M.N. Screening of cytochrome 4Z1 expression in human non-neoplastic, pre-neoplastic and neoplastic tissues. Ecancermedicalscience 2020, 14, 1114. [Google Scholar] [CrossRef] [PubMed]
- Alshammari, F.O.; Satari, A.O.; Aljabali, A.S.; Al-mahdy, Y.S.; Alabdallat, Y.J.; Al-sarayra, Y.M.; Alkhojah, M.A.; Alwardat, A.r.M.; Haddad, M.; Al-sarayreh, S.A.; et al. Glypican-3 Differentiates Intraductal Carcinoma and Paget’s Disease from Other Types of Breast Cancer. Medicina 2022, 59, 86. [Google Scholar] [CrossRef]
- Davis, S.; Meltzer, P.S. GEOquery: A bridge between the Gene Expression Omnibus (GEO) and BioConductor. Bioinformatics 2007, 23, 1846–1847. [Google Scholar] [CrossRef]
- Jumper, J.; Evans, R.; Pritzel, A.; Green, T.; Figurnov, M.; Ronneberger, O.; Tunyasuvunakool, K.; Bates, R.; Žídek, A.; Potapenko, A.; et al. Highly accurate protein structure prediction with AlphaFold. Nature 2021, 596, 583–589. [Google Scholar] [CrossRef]
- Varadi, M.; Bertoni, D.; Magana, P.; Paramval, U.; Pidruchna, I.; Radhakrishnan, M.; Tsenkov, M.; Nair, S.; Mirdita, M.; Yeo, J.; et al. AlphaFold Protein Structure Database in 2024: Providing structure coverage for over 214 million protein sequences. Nucleic Acids Res. 2024, 52, D368–D375. [Google Scholar] [CrossRef]
- Liu, C.-J.; Hu, F.-F.; Xia, M.-X.; Han, L.; Zhang, Q.; Guo, A.-Y. GSCALite: A web server for gene set cancer analysis. Bioinformatics 2018, 34, 3771–3772. [Google Scholar] [CrossRef]








| CYP1B1 | p-Value | ||
|---|---|---|---|
| Negative (n = 26, 27.7%) | Positive (n = 68, 72.3%) | ||
| Age | |||
| ≤34 (n = 52, 55.3%) | 11 (21.2%) | 41 (78.8%) | 0.013 Χ |
| >34 (n = 42, 44.7%) | 19 (45.2%) | 23 (54.8%) | |
| Sex | |||
| Male (n = 62, 66.0%) | 17 (27.4%) | 45 (72.6%) | 0.193 Χ |
| Female (n = 32, 34.0%) | 13 (40.6%) | 19 (59.4%) | |
| Diagnosis | |||
| Osteosarcoma (n = 50, 53.2%) | 11 (22.0%) | 39 (78.0%) | 0.001 Χ |
| Chondrosarcoma (n = 28, 29.8%) | 5 (17.9%) | 23 (82.1%) | |
| Normal tissue (n = 16, 17.0%) | 14 (87.5%) | 2 (12.5%) | |
| Tumor size | |||
| T1 (n = 20, 25.6%) | 5 (25.0%) | 15 (75.0%) | 0.540 * |
| T2 (n = 58, 74.4%) | 11 (19.0%) | 47 (81.0%) | |
| Lymph node metastasis | |||
| Negative (n = 76, 97.4%) | 16 (21.1%) | 60 (78.9%) | 1.000 * |
| Positive (n = 2, 2.6%) | 0 (0.0%) | 2 (100.0%) | |
| Distant metastasis | |||
| Negative (n = 75, 96.2%) | 16 (21.3%) | 59 (78.7%) | 1.000 * |
| Positive (n = 3, 3.8%) | 0 (0.0%) | 3 (100.0%) | |
| Histological grade | |||
| Grade 1 (n = 23, 29.5%) | 6 (26.1%) | 17 (73.9%) | 0.540 * |
| Grade 3 (n = 55, 70.5%) | 10 (18.2%) | 45 (81.8%) | |
| Clinical Stage | |||
| Stage 1 (n = 23, 29.5%) | 6 (26.1%) | 17 (73.9%) | 0.420 Χ |
| Stage 2 (n = 50, 64.1%) | 10 (20.0%) | 40 (80.0%) | |
| Stage 4 (n = 5, 6.4%) | 0 (0.0%) | 5 (100.0%) | |
| Univariable | Multivariable | |||||
|---|---|---|---|---|---|---|
| HR | 95% CI | p-Value | HR | 95% CI | p-Value | |
| Age | 1.025 | 1.003–1.047 | 0.027 | 1.040 | 1.017–1.064 | 0.001 |
| Sex | 0.775 | 0.383–1.570 | 0.480 | 0.694 | 0.333–1.445 | 0.329 |
| Diagnosis | 0.798 | 0.393–1.620 | 0.533 | 1.369 | 0.531–3.530 | 0.516 |
| T | 2.132 | 0.830–5.480 | 0.116 | 2.709 | 1.005–7.301 | 0.049 |
| N | 33.042 | 5.971–182.837 | <0.001 | N/A | ||
| M | 32.187 | 6.453–160.544 | <0.001 | N/A | ||
| Grade | 1.695 | 1.058–2.716 | 0.028 | 2.227 | 1.227–4.041 | 0.008 |
| Stage | 5.255 | 2.671–10.339 | <0.001 | N/A | ||
| CYP1B1 | 1.335 | 1.014–1.758 | 0.039 | 1.188 | 0.897–1.573 | 0.229 |
Disclaimer/Publisher’s Note: The statements, opinions and data contained in all publications are solely those of the individual author(s) and contributor(s) and not of MDPI and/or the editor(s). MDPI and/or the editor(s) disclaim responsibility for any injury to people or property resulting from any ideas, methods, instructions or products referred to in the content. |
© 2025 by the authors. Licensee MDPI, Basel, Switzerland. This article is an open access article distributed under the terms and conditions of the Creative Commons Attribution (CC BY) license (https://creativecommons.org/licenses/by/4.0/).
Share and Cite
Al-zu’bi, B.; Alshammari, F.O.; AlQaisi, R.; Jaradat, J.H.; Herzallah, M.; Ja’Awin, M.; Satari, A.O.; Al-saraireh, Y.M.; Hareedy, M.S. Expression and Clinical Significance of Cytochrome 1B1 in Bone Sarcomas. Pharmaceuticals 2025, 18, 1559. https://doi.org/10.3390/ph18101559
Al-zu’bi B, Alshammari FO, AlQaisi R, Jaradat JH, Herzallah M, Ja’Awin M, Satari AO, Al-saraireh YM, Hareedy MS. Expression and Clinical Significance of Cytochrome 1B1 in Bone Sarcomas. Pharmaceuticals. 2025; 18(10):1559. https://doi.org/10.3390/ph18101559
Chicago/Turabian StyleAl-zu’bi, Belal, Fatemah OFO Alshammari, Randa AlQaisi, Jaber H. Jaradat, Marwan Herzallah, Mohannad Ja’Awin, Anas O. Satari, Yousef M. Al-saraireh, and Mohammad Salem Hareedy. 2025. "Expression and Clinical Significance of Cytochrome 1B1 in Bone Sarcomas" Pharmaceuticals 18, no. 10: 1559. https://doi.org/10.3390/ph18101559
APA StyleAl-zu’bi, B., Alshammari, F. O., AlQaisi, R., Jaradat, J. H., Herzallah, M., Ja’Awin, M., Satari, A. O., Al-saraireh, Y. M., & Hareedy, M. S. (2025). Expression and Clinical Significance of Cytochrome 1B1 in Bone Sarcomas. Pharmaceuticals, 18(10), 1559. https://doi.org/10.3390/ph18101559

