Novel Pyrrole Derivatives as Multi-Target Agents for the Treatment of Alzheimer’s Disease: Microwave-Assisted Synthesis, In Silico Studies and Biological Evaluation
Abstract
1. Introduction
2. Results and Discussion
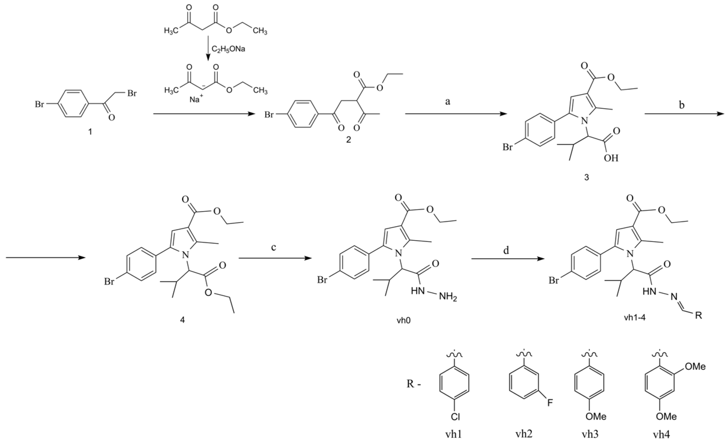
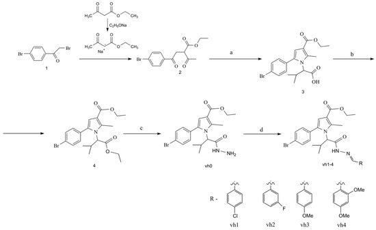
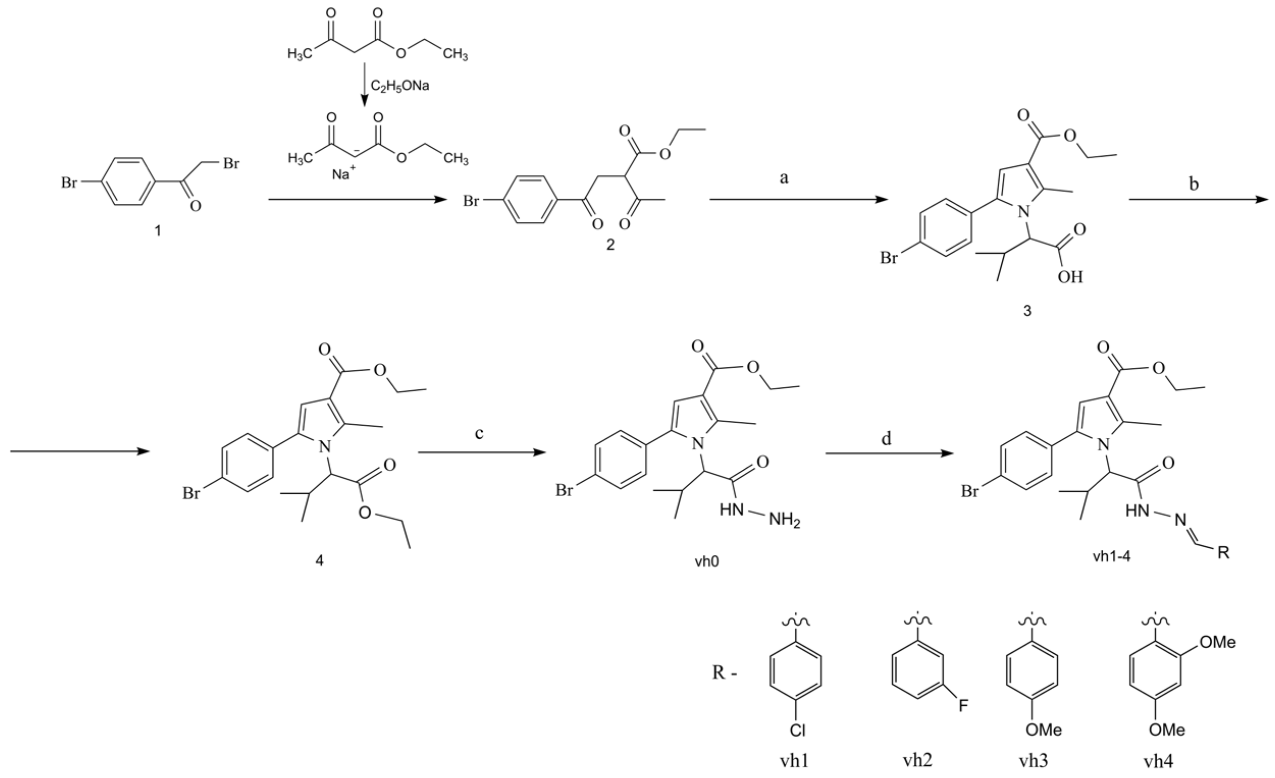
2.1. Design and Chemistry
2.2. Microwave Synthesis
2.3. Antioxidant Activities
2.4. DPPH Assay
2.5. ABTS Assay
2.6. In Vitro MAO-B Evaluation
2.7. In Vitro MAO-A Evaluation
2.8. In Vitro AChE Evaluation
2.9. Multi-Target Hit
2.10. Molecular Docking
2.11. Molecular Docking in MAO-B
2.12. Molecular Docking in AChE
2.13. ADME Analysis
2.14. BBB-PAMPA Permeability Test
2.15. DFT Studies
Structural and Molecular Electrostatic Potential Analysis
2.16. FMO Analysis
3. Materials and Methods
3.1. Chemistry
3.2. DPPH Assay
3.3. ABTS Assay
3.4. hMAOB Enzyme Assay
3.5. In Vitro AChE Assay
3.6. Statistical Analysis
3.7. Molecular Docking
3.8. In Silico ADME
3.9. PAMPA-BBB Assay
3.10. DFT Studies
4. Conclusions
Supplementary Materials
Author Contributions
Funding
Institutional Review Board Statement
Informed Consent Statement
Data Availability Statement
Conflicts of Interest
References
- Lopez, J.A.S.; González, H.M.; Léger, G.C. Alzheimer’s disease. In Handbook of Clinical Neurology; Elsevier: Amsterdam, The Netherlands, 2019; Volume 167, pp. 231–255. [Google Scholar] [CrossRef]
- Armstrong, R.A. Risk factors for Alzheimer’s disease. Folia Neuropathol. 2019, 57, 87–105. [Google Scholar] [CrossRef] [PubMed]
- Singh, A.; Kukreti, R.; Saso, L.; Kukreti, S. Oxidative stress: A key modulator in neurodegenerative diseases. Molecules 2019, 24, 1583. [Google Scholar] [CrossRef]
- Scheltens, P.; De Strooper, B.; Kivipelto, M.; Holstege, H.; Chételat, G.; Teunissen, C.E.; Cummings, J.; Van der Flier, W.M. Alzheimer’s disease. Lancet 2021, 397, 1577–1590. [Google Scholar] [CrossRef] [PubMed]
- Selkoe, D.J.; Hardy, J. The amyloid hypothesis of Alzheimer’s disease at 25 years. EMBO Mol. Med. 2016, 8, 595–608. [Google Scholar] [CrossRef]
- Montero, J.S.; Matilla, J.F.G.; León, A.R.A.; Villarejo, A.L.D. Developments with multi-target drugs for Alzheimer’s disease: An overview of the current discovery approaches. Expert Opin. Drug Discov. 2019, 14, 879–891. [Google Scholar] [CrossRef]
- Mathew, B.; Parambi, D.G.T.; Mathew, G.E.; Uddin, M.S.; Inasu, S.T.; Kim, H.; Marathakam, A.; Unnikrishnan, M.K.; Carradori, S. Emerging therapeutic potentials of dual-acting MAO and AChE inhibitors in Alzheimer’s and Parkinson’s diseases. Arch. Pharm. 2019, 352, 1900177. [Google Scholar] [CrossRef]
- Pacureanu, L.; Bora, A.; Crisan, L. New Insights on the Activity and Selectivity of MAO-B Inhibitors through In Silico Methods. Int. J. Mol. Sci. 2023, 24, 9583. [Google Scholar] [CrossRef]
- Elkamhawy, A.; Woo, J.; Gouda, N.A.; Kim, J.; Nada, H.; Roh, E.J.; Park, K.D.; Cho, J.; Lee, K. Melatonin analogues potently inhibit MAO-B and protect PC12 cells against oxidative stress. Antioxidants 2021, 10, 1604. [Google Scholar] [CrossRef]
- Sasidrahan, R.; Eom, B.H.; Heo, J.H.; Park, J.E.; Abdelgawad, M.A.; Musa, A.; Gambacorta, N.; Nicolotti, O.; Manju, S.L.; Mathew, B.; et al. Morpholine-based chalcones as dual-acting monoamine oxidase-B and acetylcholinesterase inhibitors: Synthesis and biochemical investigations. J. Enzym. Inhib. Med. Chem. 2021, 36, 188–197. [Google Scholar] [CrossRef]
- Vecchio, I.; Sorrentino, L.; Paoletti, A.; Marra, R.; Arbitrio, M. The state of the art on acetylcholinesterase inhibitors in the treatment of Alzheimer’s disease. J. Cent. Nerv. Syst. Dis. 2021, 13, 11795735211029113. [Google Scholar] [CrossRef]
- Walczak-Nowicka, Ł.J.; Herbet, M. Acetylcholinesterase inhibitors in the treatment of neurodegenerative diseases and the role of acetylcholinesterase in their pathogenesis. Int. J. Mol. Sci. 2021, 22, 9290. [Google Scholar] [CrossRef] [PubMed]
- Marucci, G.; Buccioni, M.; Ben, D.D.; Lambertucci, C.; Volpini, R.; Amenta, F. Efficacy of acetylcholinesterase inhibitors in Alzheimer’s disease. Neuropharmacology 2021, 190, 108352. [Google Scholar] [CrossRef]
- Akıncıoğlu, H.; Gülçin, I. Potent acetylcholinesterase inhibitors: Potential drugs for Alzheimer’s disease. Mini Rev. Med. Chem. 2020, 20, 703–715. [Google Scholar] [CrossRef]
- Ahmad, S.; Alam, O.; Naim, M.J.; Shaquiquzzaman, M.; Alam, M.M.; Iqbal, M. Pyrrole: An insight into recent pharmacological advances with structure activity relationship. Eur. J. Med. Chem. 2018, 157, 527–561. [Google Scholar] [CrossRef] [PubMed]
- Ivan, B.-C.; Barbuceanu, S.-F.; Hotnog, C.M.; Anghel, A.I.; Ancuceanu, R.V.; Mihaila, M.A.; Brasoveanu, L.I.; Shova, S.; Draghici, C.; Olaru, O.T.; et al. New Pyrrole Derivatives as Promising Biological Agents: Design, Synthesis, Characterization, In Silico, and Cytotoxicity Evaluation. Int. J. Mol. Sci. 2022, 23, 8854. [Google Scholar] [CrossRef] [PubMed]
- Asogwa, F.C.; Agwamba, E.C.; Louis, H.; Muozie, M.C.; Benjamin, I.; Gber, T.E.; Mathias, G.E.; Adeyinka, A.S.; Ikeuba, A.I. Structural benchmarking, density functional theory simulation, spectroscopic investigation and molecular docking of N-(1H-pyrrol-2-yl) methylene)-4-methylaniline as castration-resistant prostate cancer chemotherapeutic agent. Chem. Phys. Impact 2022, 5, 100091. [Google Scholar] [CrossRef]
- Mir, R.H.; Mir, P.A.; Mohi-Ud-Din, R.; Sabreen, S.; Maqbool, M.; Shah, A.J.; Shenmar, K.; Raza, S.N.; Pottoo, F.H. A comprehensive review on journey of pyrrole scaffold against multiple therapeutic targets. Anti-Cancer Agents Med. Chem. 2022, 22, 3291–3303. [Google Scholar] [CrossRef] [PubMed]
- Ogunrombi, M.O.; Malan, S.F.; Terre’Blanche, G.; Castagnoli, N., Jr.; Bergh, J.J.; Petzer, J.P. Structure-activity relationships in the inhibition of monoamine oxidase B by 1-methyl-3-phenylpyrroles. Bioorg. Med. Chem. 2008, 16, 2463–2472. [Google Scholar] [CrossRef]
- La Regina, G.; Silvestri, R.; Artico, M.; Lavecchia, A.; Novellino, E.; Befani, O.; Turini, P.; Agostinelli, E. New pyrrole inhibitors of monoamine oxidase: Synthesis, biological evaluation, and structural determinants of MAO-A and MAO-B selectivity. J. Med. Chem. 2007, 50, 922–931. [Google Scholar] [CrossRef]
- Krátký, M.; Svrčková, K.; Vu, Q.A.; Štěpánková, Š.; Vinšová, J. Hydrazones of 4-(Trifluoromethyl)benzohydrazide as New Inhibitors of Acetyl- and Butyrylcholinesterase. Molecules 2021, 26, 989. [Google Scholar] [CrossRef]
- Kondeva-Burdina, M.; Mitkov, J.; Valkova, I.; Peikova, L.; Georgieva, M.; Zlatkov, A. Quantitative Structure-Neurotoxicity Assessment and In Vitro Evaluation of Neuroprotective and MAO-B Inhibitory Activities of Series N′-substituted 3-(1,3,7-trimethyl-xanthin-8-ylthio)propanehydrazides. Molecules 2022, 27, 5321. [Google Scholar] [CrossRef] [PubMed]
- Ajani, O.O.; Iyaye, K.T.; Audu, O.Y.; Olorunshola, S.J.; Kuye, A.O.; Olanrewaju, I.O. Microwave assisted synthesis and antimicrobial potential of quinoline-based 4-hydrazide-hydrazone derivatives. J. Heterocycl. Chem. 2018, 55, 302–312. [Google Scholar] [CrossRef]
- Soni, J.P.; Chemitikanti, K.S.; Joshi, S.V.; Shankaraiah, N. The microwave-assisted syntheses and applications of non-fused single-nitrogen-containing heterocycles. Org. Biomol. Chem. 2020, 18, 9737–9761. [Google Scholar] [CrossRef]
- Henary, M.; Kananda, C.; Rotolo, L.; Savino, B.; Owens, E.A.; Cravotto, G. Benefits and applications of microwave-assisted synthesis of nitrogen containing heterocycles in medicinal chemistry. RSC Adv. 2020, 10, 14170–14197. [Google Scholar] [CrossRef] [PubMed]
- Reddy, G.M.; Camilo, A., Jr.; Garcia, J.R. Pyrrole-2,5-dione analogs as a promising antioxidant agents: Microwave-assisted synthesis, bio-evaluation, SAR analysis and DFT studies/interpretation. Bioorg. Chem. 2021, 106, 104465. [Google Scholar] [CrossRef]
- De Souza, T.M.; Bieber, L.W.; Longo, R.L.; Malvestiti, I. Microwave-Assisted Synthesis of N-Substituted-2,5-dihydro-1H-pyrroles and N-Substituted-1H-pyrroles in Water. ChemistrySelect 2018, 3, 34–39. [Google Scholar] [CrossRef]
- Maharramov, A.; Kurbanova, M.; Taslimi, P.; Demir, Y.; Safarova, A.; Huseyinov, E.; Sujayev, A.; Alwasel, S.H.; Gulcin, İ. Synthesis, characterization, crystal structure and bioactivities of novel enamine and pyrrole derivatives endowed with acetylcholinesterase, α-glycosidase and human carbonic anhydrase inhibition effects. Org. Commun. 2021, 14, 144–156. [Google Scholar]
- Pourtaher, H.; Hasaninejad, A.; Iraji, A. Design, synthesis, in silico and biological evaluations of novel polysubstituted pyrroles as selective acetylcholinesterase inhibitors against Alzheimer’s disease. Sci. Rep. 2022, 12, 15236. [Google Scholar] [CrossRef]
- Angelova, V.T.; Georgiev, B.; Pencheva, T.; Pajeva, I.; Rangelov, M.; Todorova, N.; Zheleva-Dimitrova, D.; Kalcheva-Yovkova, E.; Valkova, I.V.; Vassilev, N.; et al. Design, Synthesis, In Silico Studies and In Vitro Evaluation of New Indole- and/or Donepezil-like Hybrids as Multitarget-Directed Agents for Alzheimer’s Disease. Pharmaceuticals 2023, 16, 1194. [Google Scholar] [CrossRef]
- Iqbal, J.; Saeed, A.; Shah, S.J.A.; Al-Rashida, M.; Mahmood, S. Biological evaluation of azomethine-dihydroquinazolinone conjugates as cancer and cholinesterase inhibitors. Med. Chem. 2016, 12, 74–82. [Google Scholar] [CrossRef]
- Can, N.Ö.; Osmaniye, D.; Levent, S.; Sağlık, B.N.; Inci, B.; Ilgın, S.; Özkay, Y.; Kaplancıklı, Z.A. Synthesis of new hydrazone derivatives for MAO enzymes inhibitory activity. Molecules 2017, 22, 1381. [Google Scholar] [CrossRef]
- Das, S.; Das, V.K.; Saikia, L.; Thakur, A.J. Environment-friendly and solvent-free synthesis of symmetrical bis-imines under microwave irradiation. Green Chem. Lett. Rev. 2012, 5, 457–474. [Google Scholar] [CrossRef]
- Boulebd, H.; Zine, Y.; Khodja, I.A.; Mermer, A.; Demir, A.; Debache, A. Synthesis and radical scavenging activity of new phenolic hydrazone/hydrazide derivatives: Experimental and theoretical studies. J. Mol. Struct. 2022, 1249, 131546. [Google Scholar] [CrossRef]
- Floegel, A.; Kim, D.O.; Chung, S.J.; Koo, S.I.; Chun, O.K. Comparison of ABTS/DPPH assays to measure antioxidant capacity in popular antioxidant-rich US foods. J. Food Compos. Anal. 2011, 24, 1043–1048. [Google Scholar] [CrossRef]
- Behl, T.; Kaur, D.; Sehgal, A.; Singh, S.; Sharma, N.; Zengin, G.; Andronie-Cioara, F.L.; Toma, M.M.; Bungau, S.; Bumbu, A.G. Role of Monoamine Oxidase Activity in Alzheimer’s Disease: An Insight into the Therapeutic Potential of Inhibitors. Molecules 2021, 26, 3724. [Google Scholar] [CrossRef] [PubMed]
- Altintop, M.D.; Sever, B.; Osmaniye, D.; Sağlık, B.N.; Özdemir, A. Design, synthesis, in vitro and in silico evaluation of new pyrrole derivatives as monoamine oxidase inhibitors. Arch. Pharm. 2018, 351, 1800082. [Google Scholar] [CrossRef]
- Chigurupati, S.; Selvaraj, M.; Mani, V.; Selvarajan, K.K.; Mohammad, J.I.; Kaveti, B.; Bera, H.; Palanimuthu, V.R.; Teh, L.K.; Salleh, M.Z. Identification of novel acetylcholinesterase inhibitors: Indolopyrazoline derivatives and molecular docking studies. Bioorg. Chem. 2016, 67, 9–17. [Google Scholar] [CrossRef]
- Yuldasheva, N.; Acikyildiz, N.; Akyuz, M.; Yabo-Dambagi, L.; Aydin, T.; Cakir, A.; Kazaz, C. The Synthesis of Schiff bases and new secondary amine derivatives of p-vanillin and evaluation of their neuroprotective, antidiabetic, antidepressant and antioxidant potentials. J. Mol. Struct. 2022, 1270, 133883. [Google Scholar] [CrossRef]
- Yamali, C.; Engin, F.S.; Bilginer, S.; Tugrak, M.; Ozmen, D.; Ozli, G.; Levent, S.; Saglik, B.N.; Ozkay, Y.; Gul, H.I. Phenothiazine-based chalcones as potential dual-target inhibitors toward cholinesterases (AChE, BuChE) and monoamine oxidases (MAO-A, MAO-B). J. Heterocycl. Chem. 2021, 58, 161–171. [Google Scholar] [CrossRef]
- Jeong, G.S.; Kaipakasseri, S.; Lee, S.R.; Marraiki, N.; Batiha, G.E.-S.; Dev, S.; Palakkathondi, A.; Kavully, F.S.; Gambacorta, N.; Nicolotti, O.; et al. Selected 1,3-benzodioxine-containing chalcones as multipotent oxidase and acetylcholinesterase inhibitors. ChemMedChem 2020, 15, 2257–2263. [Google Scholar] [CrossRef]
- Mateev, E.; Valkova, I.; Angelov, B.; Georgieva, M.; Zlatkov, A. Validation through re-docking, cross-docking and ligand enrichment in various well-resoluted mao-b receptors. Int. J. Pharm. Sci. Res. 2022, 13, 1099–1107. [Google Scholar]
- Mateev, E.; Georgieva, M.; Zlatkov, A. Benchmarking Docking Protocols for Virtual Screenings of Novel Acetylcholinesterase Inhibitors. Indian J. Pharm. Sci. 2022, 84, 1525–1535. [Google Scholar] [CrossRef]
- Binda, C.; Newton-Vinson, P.; Hubálek, F.; Edmondson, D.E.; Mattevi, A. Structure of human monoamine oxidase B, a drug target for the treatment of neurological disorders. Nat. Struct. Biol. 2002, 9, 22–26. [Google Scholar] [CrossRef] [PubMed]
- Mateev, E.; Georgieva, M. Biological evaluation, molecular docking and DFT calculations of pyrrole-based derivatives as dual-acting AChE/MAO-B inhibitors. Pharmacia 2023, 70, 1019–1026. [Google Scholar] [CrossRef]
- Tang, H.; Song, P.; Li, J.; Zhao, D. Effect of Salvia miltiorrhiza on acetylcholinesterase: Enzyme kinetics and interaction mechanism merging with molecular docking analysis. Int. J. Biol. Macromol. 2019, 135, 303–313. [Google Scholar] [CrossRef] [PubMed]
- El Khatabi, K.; El-Mernissi, R.; Aanouz, I.; Ajana, M.A.; Lakhlifi, T.; Khan, A.; Wei, D.Q.; Bouachrine, M. Identification of novel acetylcholinesterase inhibitors through 3D-QSAR, molecular docking, and molecular dynamics simulation targeting Alzheimer’s disease. J. Mol. Model. 2021, 27, 1–13. [Google Scholar] [CrossRef]
- Poovaiah, N.; Davoudi, Z.; Peng, H.; Schlichtmann, B.; Mallapragada, S.; Narasimhan, B.; Wang, Q. Treatment of neurodegenerative disorders through the blood-brain barrier using nanocarriers. Nanoscale 2018, 10, 16962–16983. [Google Scholar] [CrossRef]
- Dulsat, J.; López-Nieto, B.; Estrada-Tejedor, R.; Borrell, J.I. Evaluation of Free Online ADMET Tools for Academic or Small Biotech Environments. Molecules 2023, 28, 776. [Google Scholar] [CrossRef]
- Hebda, M.; Bajda, M.; Więckowska, A.; Szałaj, N.; Pasieka, A.; Panek, D.; Godyń, J.; Wichur, T.; Knez, D.; Gobec, S.; et al. Synthesis, Molecular Modelling and Biological Evaluation of Novel Heterodimeric, Multiple Ligands Targeting Cholinesterases and Amyloid Beta. Molecules 2016, 21, 410. [Google Scholar] [CrossRef]
- Daina, A.; Michielin, O.; Zoete, V. SwissADME: A free web tool to evaluate pharmacokinetics, drug-likeness and medicinal chemistry friendliness of small molecules. Sci. Rep. 2017, 7, 42717. [Google Scholar] [CrossRef]
- Cüneyt, C.; Koşar Kirca, B.; Kaştaş, Ç.A. Synthesis, X-ray and Quantum Chemical Characterizations Studies on (E)-2- Bromo-4-chloro-6-[(4-chloro-2,5-dimethoxyphenylimino)methyl]phenol Compound. Gazi Univ. J. Sci. 2017, 30, 531–543. [Google Scholar]
- Kanmazalp, S.D.; Dege, N.; Ilhan, I.O.; Akin, N. Crystal Structure and Hirshfeld Surface Analysis of 3,5-Bis(4-Methoxyphenyl)-4,5-Dihydro-1H-Pyrazole-1-Carbothioamide. J. Struct. Chem. 2020, 61, 126–132. [Google Scholar] [CrossRef]
- Akman, S.; Akkoc, S.; Zeyrek, C.T.; Muhammed, M.T.; Ilhan, I.O. Density functional modeling, and molecular docking with SARS-CoV-2 spike protein (Wuhan) and omicron S protein (variant) studies of new heterocyclic compounds including a pyrazoline nucleus. J. Biomol. Struct. Dyn. 2023, 41, 12951–12965. [Google Scholar] [CrossRef]
- Shaibah, M.A.E.; Yathirajan, H.S.; Manju, N.; Kalluraya, B.; Rathore, R.S.; Glidewell, C. Conversion of diarylchalcones into 4,5-dihydropyrazole-1-carbothioamides: Molecular and supramolecular structures of two precursors and three products. Acta Crystallogr. Sect. E Crystallogr. Commun. 2020, 76, 360–365. [Google Scholar] [CrossRef] [PubMed]
- Bouchekioua, S.; Akkoc, S.; Menacer, R. In Vitro and In Silico Studies on Benzimidazole-Based Compounds. ChemistrySelect 2024, 9, e202304347. [Google Scholar] [CrossRef]
- Parr, R.G.; Donnelly, R.A.; Levy, M.; Palke, W.E. Electronegativity: The density functional viewpoint. J. Chem. Phys. 1978, 68, 3801–3807. [Google Scholar] [CrossRef]
- Chattaraj, P.K.; Sarkar, U.; Roy, D.R. Electrophilicity index. Chem. Rev. 2006, 106, 2065–2091. [Google Scholar] [CrossRef]
- Koopmans, T. About the assignment of wave functions and eigenvalues to the individual electrons of an atom. Physica 1934, 1, 104–113. [Google Scholar] [CrossRef]
- Senan, A.M.; Muhammed, M.T.; Al-Shuraym, L.A.; Alhag, S.K.; Al-Areqi, N.A.S.; Akkoç, S. Synthesis, structure characterization, DFT calculations, and computational anticancer activity investigations of 1-phenyl ethanol derivatives. J. Mol. Struct. 2023, 1294, 136323. [Google Scholar] [CrossRef]
- Irfan, A.; Zahoor, A.F.; Rasul, A.; Al-Hussain, S.A.; Faisal, S.; Ahmad, S.; Noor, R.; Muhammed, M.T.; Zaki, M.E.A. BTEAC Catalyzed Ultrasonic-Assisted Synthesis of Bromobenzofuran-Oxadiazoles: Unravelling Anti-HepG-2 Cancer Therapeutic Potential through In Vitro and In Silico Studies. Int. J. Mol. Sci. 2023, 24, 3008. [Google Scholar] [CrossRef]
- Arslan, G.; Gökçe, B.; Muhammed, M.T.; Albayrak, Ö.; Önkol, T.; Özçelik, A.B. Synthesis, DFT Calculations, and Molecular Docking Study of Acetohydrazide-Based Sulfonamide Derivatives as Paraoxonase 1 Inhibitors. ChemistrySelect 2023, 8, e202204630. [Google Scholar] [CrossRef]
- Akkoc, S.; Karatas, H.; Muhammed, M.T.; Kökbudak, Z.; Ceylan, A.; Almalki, F.; Laaroussi, H.; Ben Hadda, T. Drug design of new therapeutic agents: Molecular docking, molecular dynamics simulation, DFT and POM analyses of new Schiff base ligands and impact of substituents on bioactivity of their potential antifungal pharmacophore site. J. Biomol. Struct. Dyn. 2022, 41, 6695–6708. [Google Scholar] [CrossRef]
- Bijev, A. New heterocyclic hydrazones in the search for antitubercular agents: Synthesis and in vitro evaluations. Lett. Drug Des. Discov. 2006, 3, 506–512. [Google Scholar] [CrossRef]
- Mateev, E.; Angelov, B.; Kondeva-Burdina, M.; Valkova, I.; Georgieva, M.; Zlatkov, A. Design, synthesis, biological evaluation and molecular docking of pyrrole-based compounds as antioxidant and MAO-B inhibitory agents. Farmacia 2022, 70, 344–354. [Google Scholar] [CrossRef]
- Brand-Williams, W.; Cuvelier, M.E.; Berset, C.L.W.T. Use of a free radical method to evaluate antioxidant activity. LWT Food Sci. Technol. 1995, 28, 25–30. [Google Scholar] [CrossRef]
- Arnao, M.B.; Cano, A.; Acosta, M. Methods to measure the antioxidant activity in plant material: A comparative discussion. Free Radic. Res. 1999, 31, 89–96. [Google Scholar] [CrossRef] [PubMed]
- Kondeva-Burdina, M.; Mateev, E.; Angelov, B.; Tzankova, V.; Georgieva, M. In silico evaluation and in vitro determination of neuroprotective and MAO-B inhibitory effects of pyrrole-based hydrazones: A therapeutic approach to Parkinson’s disease. Molecules 2022, 27, 8485. [Google Scholar] [CrossRef]
- Binda, C.; Wang, J.; Pisani, L.; Caccia, C.; Carotti, A.; Salvati, P.; Edmondson, D.E.; Mattevi, A. Structures of human monoamine oxidase B complexes with selective noncovalent inhibitors: Salfinamide and coumarin analogs. J. Med. Chem. 2007, 50, 5848–5852. [Google Scholar] [CrossRef]
- Cheung, J.; Rudolph, M.J.; Burshteyn, F.; Cassidy, M.S.; Gary, E.N.; Love, J.; Franklin, M.C.; Height, J.J. Structures of human acetylcholinesterase in complex with pharmacologically important ligands. J. Med. Chem. 2012, 55, 10282–10286. [Google Scholar] [CrossRef]
- Doytchinova, I.; Atanasova, M.; Valkova, I.; Stavrakov, G.; Philipova, I.; Zhivkova, Z.; Zheleva-Dimitrova, D.; Konstantinov, S.; Dimitrov, I. Novel hits for acetylcholinesterase inhibition derived by docking-based screening on ZINC database. J. Enzym. Inhib. Med. Chem. 2018, 33, 768–776. [Google Scholar] [CrossRef] [PubMed]
- Di, L.; Kerns, E.H.; Fan, K.; McConnell, O.J.; Carter, G.T. High throughput artificial membrane permeability assay for blood-brain barrier. Eur. J. Med. Chem. 2003, 38, 223–232. [Google Scholar] [CrossRef] [PubMed]
- Muhammed, M.T.; Aki-Yalcin, E. Computational insight into the mechanism of action of DNA gyrase inhibitors; revealing a new mechanism. Curr. Comput.-Aided Drug Des. 2024, 20, 224–235. [Google Scholar] [CrossRef] [PubMed]









| Compound | Reaction Time | Yield (%) | ||
|---|---|---|---|---|
| Microwave Synthesis | Conventional Synthesis | Microwave Synthesis | Conventional Synthesis | |
| vh0 | 1 h | 96 h | 87% | 85% |
| vh1 | 1 min | 30 min | 92% | 76% |
| vh2 | 1 min | 40 min | 91% | 80% |
| vh3 | 3 min | 50 min | 94% | 63% |
| vh4 | 3 min | 50 min | 88% | 55% |
| Compounds | IC50 (EC50), (μM± SD) a hMAOB | IC50 (EC50), (μM ± SD) a hMAOA | SI b | IC50 (EC50), (μM ± SD) a AChE |
|---|---|---|---|---|
| vh0 | 0.665 ± 0.20 | >100 | >150 | 4.145 ± 1.31 |
| vh1 | 0.744 ± 0.18 | >100 | >134 | 18.834 ± 0.91 |
| vh2 | >100 | >100 | >1 | >100 |
| vh3 | >100 | >100 | >1 | 16.262 ± 2.15 |
| vh4 | >100 | >100 | >1 | >100 |
| Selegiline | 0.330 ± 0.09 | - | - | - |
| Chlorgyline | - | 17.72 ± 0.096 | - | - |
| Donepezil | - | - | - | 0.02 ± 0.17 |
| Molecule | Docking Scores | MM/GBSA kcal/mol | Hydrophobic Interaction | Pi-Sulfur | Hydrogen Bond | π–π Interaction | Steric Clashes |
|---|---|---|---|---|---|---|---|
| vh0 | 104.65 | −75.00 | Leu88, Pro102, Trp119, Phe168, Leu171, Ile198, Ile199, Ile316, Tyr326 | Cys172 | Tyr326 | Ile199 | Leu167 |
| vh1 | 91.04 | −61.48 | Pro102, Trp119, Leu164, Leu167, Phe168, Leu171, Ile198, Ile199, Leu328, Tyr435, FAD1502 | Cys172 | Tyr188 | Phe343, Tyr398 | Tyr326 (several clashes with the p-bromophenyl ring) |
| vh4 | 59.99 | −14.25 | Leu88, Pro102, Phe103, Pro104, Trp119, Leu164, Leu167, Phe168, Leu171, Ile198, Ile199, Leu328, Tyr398, Tyr435 | - | Cys172 | Ile199 | Leu171, Ile198, Gln206, Tyr326, Met341 |
| Safinamide | 144.51 | −89.82 | Tyr60, Phe103, Leu171, Ile199, Gln206, Phe343, Tyr398, Tyr435 | Gln206 | Ile199, FAD | Leu171, Ile199, Ile316, Tyr326 | - |
| Compound | Docking Scores GOLD 5.3 | Docking Scores Glide (XP Docking) | MM/GBSA (kcal/mol) | Hydrophobic Interaction | Hydrogen Bond | π–π Interaction |
|---|---|---|---|---|---|---|
| vh0 | 125.45 | −9.78 kcal/mol | −81.47 | Leu76, Trp 286, Phe297, Phe338, Tyr341 | Phe295, Ser293 | Trp286 |
| vh1 | 100.60 | −8.36 kcal/mol | −57.42 | Leu76, Trp 286, Phe297, Phe295 | Phe295 | Trp286 |
| vh2 | 105.08 | −7.46 kcal/mol | −69.15 | Leu76, Trp 286, Phe297, Phe295 | Tyr341 | Trp286 |
| vh3 | 100.71 | −9.15 kcal/mol | n/a | n/a | n/a | n/a |
| vh4 | 91.83 | −8.02 kcal/mol | −38.91 | Leu76, Tyr124, Phe297, Tyr337 | Ser293 | - |
| Galantamine | 109.72 | −8.84 kcal/mol | −79.82 | Leu76, Tyr124, Phe295, Phe297, Tyr337, Phe338 | Phe338 | - |
| Compound | (a) MW | (b) Donor HB | (c) Accept HB | (d) QPLog Po/w | (e) QPLog S | (f) QPLog BB | (g) Percent Human Oral Absorption | (h) Rule of Five | (i) Metab |
|---|---|---|---|---|---|---|---|---|---|
| vh0 | 422.22 | 3 | 5 | 3.894 | −5.724 | −1.002 | 100% | 0 | 2 |
| vh1 | 544.88 | 1 | 4.5 | 6.885 | −7.752 | −0.415 | 100% | 2 | 2 |
| Compound | Rule of Five | a Pfizer Rule | b GSK Rule | c GoldenTriangle | CYP2C9 Inhibitor | CYP3A4 Inhibitor |
|---|---|---|---|---|---|---|
| vh0 | + | + | - | + | +++ | +++ |
| PAMPA ID | Mw g/mol | pKa 1 | Consensus LogP SwissADME 2 | PAMPA BBB −logPe | PAMPA BBB −logPe Literature [50] |
|---|---|---|---|---|---|
| vh0 | 422 | 10.57 | 3.95 | 5.451 ± 0.005 | - |
| Theophylline | 180 | 8.81 | −0.11 | 6.960 ± 0.004 | 6.3 |
| Corticosterone | 346 | 13.86 | 2.41 | 5.282 ± 0.007 | 4.5 |
| Propranolol HCl | 296 | 9.53 | 2.56 | 4.949 ± 0.003 | 3.7 |
| Lidocaine | 234 | 7.7 | 2.50 | 4.625 ± 0.006 | 4.3 |
| Parameters | Etotal (Hartee) | EHOMO (eV) | ELUMO (eV) | ΔE (eV) | IP (eV) | A (eV) | µ (eV) | η (eV) | ᵡ (eV) | S (eV) | ꞷ (eV) | ΔNmax |
|---|---|---|---|---|---|---|---|---|---|---|---|---|
| vh0 | −31,053.1 | −6.13 | −1.05 | 5.08 | 6.13 | 1.05 | −3.59 | 2.54 | 3.59 | 0.20 | 2.58 | 0.71 |
| vh1 | −121,646.3 | −6.10 | −2.11 | 3.99 | 6.10 | 2.11 | −4.11 | 2.00 | 4.11 | 0.25 | 4.22 | 1.03 |
Disclaimer/Publisher’s Note: The statements, opinions and data contained in all publications are solely those of the individual author(s) and contributor(s) and not of MDPI and/or the editor(s). MDPI and/or the editor(s) disclaim responsibility for any injury to people or property resulting from any ideas, methods, instructions or products referred to in the content. |
© 2024 by the authors. Licensee MDPI, Basel, Switzerland. This article is an open access article distributed under the terms and conditions of the Creative Commons Attribution (CC BY) license (https://creativecommons.org/licenses/by/4.0/).
Share and Cite
Mateev, E.; Karatchobanov, V.; Dedja, M.; Diamantakos, K.; Mateeva, A.; Muhammed, M.T.; Irfan, A.; Kondeva-Burdina, M.; Valkova, I.; Georgieva, M.; et al. Novel Pyrrole Derivatives as Multi-Target Agents for the Treatment of Alzheimer’s Disease: Microwave-Assisted Synthesis, In Silico Studies and Biological Evaluation. Pharmaceuticals 2024, 17, 1171. https://doi.org/10.3390/ph17091171
Mateev E, Karatchobanov V, Dedja M, Diamantakos K, Mateeva A, Muhammed MT, Irfan A, Kondeva-Burdina M, Valkova I, Georgieva M, et al. Novel Pyrrole Derivatives as Multi-Target Agents for the Treatment of Alzheimer’s Disease: Microwave-Assisted Synthesis, In Silico Studies and Biological Evaluation. Pharmaceuticals. 2024; 17(9):1171. https://doi.org/10.3390/ph17091171
Chicago/Turabian StyleMateev, Emilio, Valentin Karatchobanov, Marjano Dedja, Konstantinos Diamantakos, Alexandrina Mateeva, Muhammed Tilahun Muhammed, Ali Irfan, Magdalena Kondeva-Burdina, Iva Valkova, Maya Georgieva, and et al. 2024. "Novel Pyrrole Derivatives as Multi-Target Agents for the Treatment of Alzheimer’s Disease: Microwave-Assisted Synthesis, In Silico Studies and Biological Evaluation" Pharmaceuticals 17, no. 9: 1171. https://doi.org/10.3390/ph17091171
APA StyleMateev, E., Karatchobanov, V., Dedja, M., Diamantakos, K., Mateeva, A., Muhammed, M. T., Irfan, A., Kondeva-Burdina, M., Valkova, I., Georgieva, M., & Zlatkov, A. (2024). Novel Pyrrole Derivatives as Multi-Target Agents for the Treatment of Alzheimer’s Disease: Microwave-Assisted Synthesis, In Silico Studies and Biological Evaluation. Pharmaceuticals, 17(9), 1171. https://doi.org/10.3390/ph17091171

