Synthesis and Psychotropic Properties of Novel Condensed Triazines for Drug Discovery
Abstract
1. Introduction
2. Results and Discussions
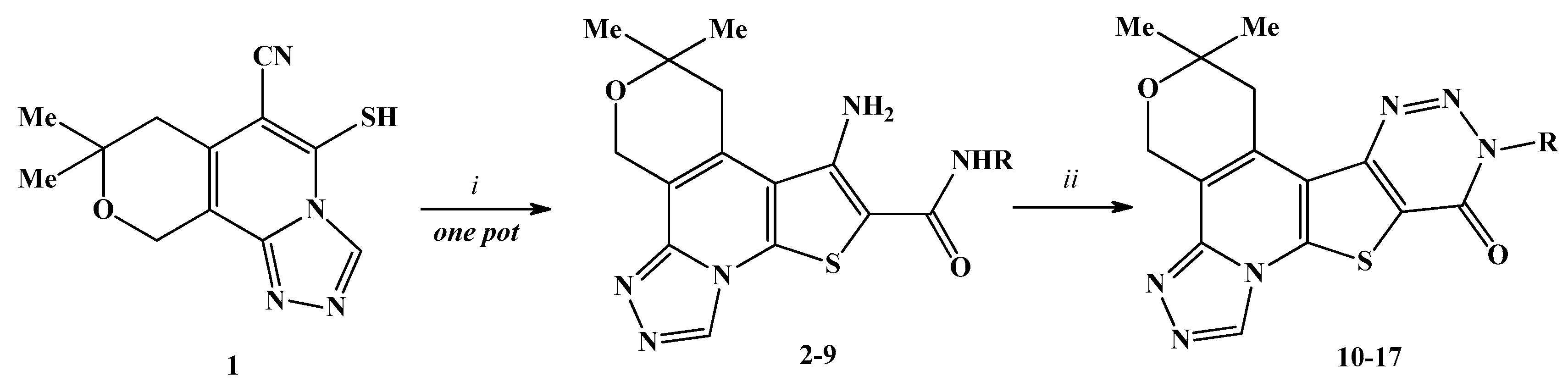
2.1. Chemistry
2.2. Biological Assays
2.3. Histopathological Observation
2.4. Molecular Docking
Docking and Conformational Analysis of GABAA Receptor Complexation
3. Materials and Methods
3.1. Chemistry
- i.
- General synthesis method of compounds 2–9. A mixture containing compound 1 (1.3 g, 5 mmol) and its corresponding chloroacetic amide derivative (5 mmol) in dry ethanol (15 mL) was maintained at 60 °C for 6 h with anhydrous sodium acetate (1.23 g, 15 mmol) serving as a soft basic reagent. Following cooling of the reaction mixture, the resultant crystals were isolated via filtration, washed sequentially with water and ethanol, and subsequently recrystallized from ethanol.
- 7-Amino-9,9-dimethyl-8,11-dihydro-9H-pyrano[3,4-c]thieno[3,2-e][1,2,4]triazolo[4,3-a]pyridine-6-carboxamide (2)
- White solid (1.49 g, 93%). All other physicochemical parameters were similar to the literature data [30].
- 7-Amino-9,9-dimethyl-N-phenyl-8,11-dihydro-9H-pyrano[3,4-c]thieno[3,2-e][1,2,4]triazolo[4,3-a]pyridine-6-carboxamide (3)
- White solid (1.81 g, 92%). All other physicochemical parameters were similar to the literature data [31].
- 7-Amino-N-benzyl-9,9-dimethyl-8,11-dihydro-9H-pyrano[3,4-c]thieno[3,2-e][1,2,4]triazolo[4,3-a]pyridine-6-carboxamide (4)
- White solid (1.94 g, 95%). All other physicochemical parameters were similar to the literature data [31].
- 7-Amino-9,9-dimethyl-N-(2-phenylethyl)-8,11-dihydro-9H-pyrano[3,4-c]thieno[3,2-e][1,2,4]triazolo[4,3-a]pyridine-6-carboxamide (5)
- White solid (1.84 g, 87.1%), m.p.: 292–293 °C; IR ν/cm−1: 3201, 3275, 3458 (NH, NH2); 3090 (N=CH); 1610 (CO). 1H NMR (300 MHz, DMSO-d6/CCl4, 1/3) δH (ppm): 1.34 (s, 6H, C(Me)2), 2.85 (t, J = 7.6 Hz, 2H, NHCH2CH2), 3.14 (t, J = 1.8 Hz, 2H, 8-CH2), 3.40–3.49 (m, 2H, NHCH2), 4.95 (t, J = 1.8 Hz, 2H, 11-CH2), 6.78 (s, 2H, NH2), 7.12–7.30 (m, 5H, 5CHAr), 7.76 (t, J = 5.6 Hz, 1H, NH)), 9.32 (s, 1H, 3-CH). 13C NMR (75.462 MHz, DMSO-d6/CCl4, 1/3) δC: 26.05 (2Me), 35.33 (8-CH2), 35.42 (CH2), 40.49 (NHCH2), 69.45 (C9), 115.56 (C), 118.75 (C), 125.51 (CHAr), 127.81 (2CHAr), 128.27 (2CHAr), 129.54 (C), 131.40 (C), 134.38 (CH), 139.23 (C), 145.50 (C), 149.01 (C), 164.19 (CO). Anal. calcd for C22H23N5O2S: C 62.69; H 5.50; N 16.61; S 7.61%. Found: C 62.75; H 5.54; N 16.53; S 7.56.
- 7-Amino-N-(4-methoxyphenyl)-9,9-dimethyl-8,11-dihydro-9H-pyrano[3,4-c]thieno[3,2-e][1,2,4]triazolo[4,3-a]pyridine-6-carboxamide (6)
- White solid (1.89 g, 89.1%), m.p.: 280–281 °C; IR ν/cm−1: 3123, 3197, 3257, 3365, 3463 (NH, NH2); 3067 (N=CH); 1673 (CO). 1H NMR (300 MHz, DMSO-d6) δH (ppm): 1.31 (s, 6H, C(Me)2), 3.15 (t, J = 1.8 Hz, 2H, 8-CH2), 3.74 (s, 3H, OCH3), 4.95 (t, J = 1.8 Hz, 2H, 11-CH2), 6.87–6.94 (m, 2H, 2CHAr), 6.95 (br. s, 2H, NH2), 7.50–7.57 (m, 2H, 2CHAr), 9.54 (s, 1H, 3-CH), 9.57 (br. s, 1H, NH). 13C NMR (75.462 MHz, DMSO-d6) δC: 26.19 (2Me), 35.58 (8-CH2), 55.14 (OCH3), 58.48 (11-CH2), 69.81 (C9), 95.39 (C), 113.59 (2CHAr), 115.81 (C), 118.58 (C), 122.90 (2CHAr), 129.67 (C), 131.60 (C), 132.42 (C), 135.30 (CH), 145.72 (C), 150.12 (C), 155.57 (C), 163.32 (CO). Anal. calcd for C21H21N5O3S: C 59.56; H 5.00; N 16.54; S 7.57%. Found: C 59.63; H 4.96; N 16.47; S 7.62.
- 7-Amino-N-(4-ethoxyphenyl)-9,9-dimethyl-8,11-dihydro-9H-pyrano[3,4-c]thieno[3,2-e][1,2,4]triazolo[4,3-a]pyridine-6-carboxamide (7)
- White solid (2.0 g, 91.4%), m.p.: 299–300 °C; IR ν/cm−1: 3111, 3194, 3268, 3460 (NH, NH2); 3081 (N=CH); 1673 (CO). 1H NMR (300 MHz, DMSO-d6/CCl4, 1/3) δH (ppm): 1.36 (s, 6H, C(Me)2), 1.40 (t, J = 7.0 Hz, 3H, OCH2CH3), 3.14 (t, J = 1.8 Hz, 2H, 8-CH2), 4.00 (q, J = 7.0 Hz, 3H, OCH2CH3), 4.97 (t, J = 1.8 Hz, 2H, 11-CH2), 6.74–6.80 (m, 2H, 2CHAr), 6.87 (s, 2H, NH2), 7.51–7.57 (m, 2H, 2CHAr), 9.24 (br. s, 1H, NH), 9.26 (s, 1H, CH). 13C NMR (75.462 MHz, DMSO-d6/CCl4, 1/3) δC: 14.42 (Me), 26.03 (2Me), 35.46 (8-CH2), 58.41 (11-CH2), 62.59 (OCH2), 69.36 (C9), 113.43 (2CHAr), 115.75 (C), 118.49 (C), 122.37 (2CHAr), 129.37 (C), 131.49 (C), 131.87 (C), 134.11 (CH), 145.50 (C), 149.50 (C), 154.51 (C), 162.78 (CO). Anal. calcd for C22H23N5O3S: C 60.39; H 5.30; N 16.01; S 7.33%. Found: C 60.32; H 5.34; N 16.12; S 7.25.
- 7-Amino-N-(3-chlorophenyl)-9,9-dimethyl-8,11-dihydro-9H-pyrano[3,4-c]thieno[3,2-e][1,2,4]triazolo[4,3-a]pyridine-6-carboxamide (8)
- White solid (1.99 g, 93.0%), m.p.: 319–320 °C; IR ν/cm−1: 3181, 3258, 3329, 3510 (NH, NH2); 3105 (N=CH); 1629 (CO). 1H NMR (300 MHz, DMSO-d6/CCl4, 1/3) δH (ppm): 1.36 (s, 6H, C(Me)2), 3.14 (t, J = 1.8 Hz, 2H, 8-CH2), 4.97 (t, J = 1.8 Hz, 2H, 11-CH2), 6.96–7.02 (m, 1H, CHAr), 7.01 (br. s, 2H, NH2), 7.18–7.26 (m, 1H, CHAr), 7.59–7.65 (m, 1H, CHAr), 7.88–7.91 (m, 1H, CHAr), 9.30 (s, 1H, CH), 9.53 (br. s, 1H, NH). 13C NMR (75.462 MHz, DMSO-d6/CCl4, 1/3) δC: 26.02 (2Me), 35.48 (8-CH2), 58.39 (11-CH2), 69.37 (C9), 94.41 (C), 115.86 (C), 118.26 (C), 118.50 (CHAr), 120.22 (CHAr), 122.25 (C), 128.79 (CHAr), 129.37 (C), 132.37 (C), 132.84 (CHAr), 134.23 (CH), 140.27 (C), 145.50 (C), 150.83 (C), 163.17 (CO). Anal. calcd for C20H18ClN5O2S: C 56.14; H 4.24; N 16.37; S 7.49%. Found: C 56.23; H 4.30; N 16.46; S 7.41.
- 7-Amino-N-(2-furylmethyl)-9,9-dimethyl-8,11-dihydro-9H-pyrano[3,4-c]thieno[3,2-e][1,2,4]triazolo[4,3-a]pyridine-6-carboxamide (9)
- Pale yellow solid (1.63 g, 81.8%), m.p.: 279–280 °C; IR ν/cm−1: 3133, 3324, 3495 (NH, NH2, N=CH); 1615 (CO). 1H NMR (300 MHz, DMSO-d6) δH (ppm): 1.31 (s, 6H, C(Me)2), 3.14 (t, J = 1.8 Hz, 2H, 8-CH2), 4.41 (d, J = 5.6 Hz, 2H, NHCH2), 4.94 (t, J = 1.8 Hz, 2H, 11-CH2), 6.25 (dd, J = 3.2, 0.8 Hz, 1H, CHfuryl), 6.39 (dd, J = 3.2, 1.8 Hz, 1H, CHfuryl), 6.88 (s, 2H, NH2), 7.56 (dd, J = 1.8, 0.8 Hz, 1H, CHfuryl), 8.41 (t, J = 5.6 Hz, 1H, NH), 9.52 (s, 1H, CH). 13C NMR (75.462 MHz, DMSO-d6) δC: 26.17 (2Me), 35.34 (8-CH2), 35.62 (CH2), 58.46 (11-CH2), 69.78 (C9), 95.34 (C), 106.62 (CH), 110.37 (CH), 115.74 (C), 118.67 (C), 129.68 (CH), 132.08 (C), 135.30 (3-CH), 141.78 (C), 145.69 (C), 149.52 (C), 152.57 (C), 164.43 (CO). Anal. calcd for C19H19ClN5O3S: C 57.42; H 4.82; N 17.62; S 8.07%. Found: C 57.51; H 4.87; N 17.71; S 7.98.
- ii.
- General synthesis method of compounds 10–17. Compounds 2–9 (3 mmol) were added to a solution of the corresponding amino amide in a mixture of 3 mL of DMF, 4.5 mL of acetic acid, and 1.5 mL of hydrochloric acid; stirring was initiated at 20 °C. Subsequently, a solution of 0.6 g (9 mmol) of sodium nitrite in 3 mL of water was added, and stirring was continued for 3 h at 20 °C. The obtained precipitate was then separated by filtration, washed with water, dried, and subsequently recrystallized from a solvent mixture of chloroform and ethanol (2:1 v/v).
- 6,6-Dimethyl-6,7-dihydro-4H-pyrano[4″,3″:4′,5′][1,2,4]triazolo[4″,3″:1′,6′]pyrido[3′,2′:4,5]thieno[3,2-d][1,2,3]triazin-11(10H)-one (10)
- White solid (0.85 g, 85.9%), m.p.: >360 °C; IR ν/cm−1: 3050, 3093 (NH, N=CH); 1708 (CO). 1H NMR (300 MHz, DMSO-d6/CCl4, 1/3) δH (ppm): 1.38 (s, 6H, C(Me)2), 3.38 (t, J = 1.8 Hz, 2H, 7-CH2), 5.03 (t, J = 1.8 Hz, 2H, 4-CH2), 9.90 (s, 1H, CH), 157.4 (br. s, 1H, NH). 13C NMR (75.462 MHz, DMSO-d6/CCl4, 1/3) δC: 26.15 (2Me), 36.37 (7-CH2), 58.38 (4-CH2), 69.85 (C6), 118.82 (C), 119.88 (C), 129.53 (C), 136.26 (1-CH), 136.28 (C), 136.47 (C), 145.75 (C), 149.25 (C), 153.19 (CO). TOF MS ES+ [MH]+ m/z 329.0822 (calcd for C14H12N6O2S, 329.0821). Anal. calcd for C14H12N6O2S: C 51.21; H 3.68; N 25.59; S 9.77%. Found: C 51.13; H 3.75; N 25.50; S 9.83.
- 6,6-Dimethyl-10-phenyl-6,7-dihydro-4H-pyrano[4″,3″:4′,5′][1,2,4]triazolo[4″,3″:1′,6′]pyrido[3′,2′:4,5]thieno[3,2-d][1,2,3]triazin-11(10H)-one (11)
- White solid (1.05 g, 86.6%), m.p.: 328–329 °C; IR ν/cm−1: 3065 (N=CH); 1685 (CO). 1H NMR (300 MHz, DMSO-d6) δH (ppm): 1.37 (s, 6H, C(Me)2), 3.36 (t, J = 1.8 Hz, 2H, 7-CH2), 5.03 (t, J = 1.8 Hz, 2H, 4-CH2), 7.57–7.69 (m, 3H, 3CHAr), 7.71–7.76 (m, 2H, 2CHAr), 9.93 (s, 1H, CH). 13C NMR (75.462 MHz, DMSO-d6) δC: 26.11 (2Me), 36.26 (7-CH2), 58.45 (4-CH2), 69.92 (C6), 119.09 (C), 119.74 (C), 122.68 (C), 126.56 (2CHAr), 129.02 (2CHAr), 129.34 (C), 129.54 (CHAr), 136.38 (1-CH), 136.78 (C), 138.04 (C), 145.72 (C), 148.04 (C), 152.26 (CO). Anal. calcd for C20H16N6O2S: C 59.39; H 3.99; N 20.78; S 7.93%. Found: C 59.46; H 4.05; N 20.70; S 7.86.
- 10-Benzyl-6,6-dimethyl-6,7-dihydro-4H-pyrano[4″,3″:4′,5′][1,2,4]triazolo[4″,3″:1′,6′]pyrido[3′,2′:4,5]thieno[3,2-d][1,2,3]triazin-11(10H)-one (12)
- White solid (1.08 g, 86.2%), m.p.: 305–306 °C; IR ν/cm−1: 3111 (N=CH); 1676 (CO). 1H NMR (300 MHz, DMSO-d6/CCl4, 1/3) δH (ppm): 1.38 (s, 6H, C(Me)2), 3.33 (t, J = 1.8 Hz, 2H, 7-CH2), 5.00 (t, J = 1.8 Hz, 2H, 4-CH2), 5.67 (s, 2H, NCH2), 7.25–7.38 (m, 3H, 3CHAr), 7.44–7.50 (m, 2H, 2CHAr), 9.77 (s, 1H, CH). 13C NMR (75.462 MHz, DMSO-d6/CCl4, 1/3) δC: 26.00 (2Me), 36.12 (7-CH2), 52.71 (NCH2), 58.29 (4-CH2), 69.44 (C6), 119.10 (C), 119.52 (C), 121.50 (C), 127.74 (CHAr), 128.18 (2CHAr), 128.30 (2CHAr), 128.99 (C), 134.93 (C), 135.65 (1-CH), 136.43 (C), 148.39 (C), 148.63 (C), 151.64 (CO). TOF MS ES+ [MH]+ m/z 419.1293 (calcd for C21H18N6O2S, 419.1290). Anal. calcd for C21H18N6O2S: C 60.27; H 4.34; N 20.08; S 7.66%. Found: C 60.34; H 4.28; N 19.96; S 7.58.
- 6,6-Dimethyl-10-(2-phenylethyl)-6,7-dihydro-4H-pyrano[4″,3″:4′,5′][1,2,4]triazolo[4″,3″:1′,6′]pyrido[3′,2′:4,5]thieno[3,2-d][1,2,3]triazin-11(10H)-one (13)
- White solid (1.14 g, 87.8%), m.p.: 333–334 °C; IR ν/cm−1: 3110 (N=CH); 1682 (CO). 1H NMR (300 MHz, DMSO-d6) δH (ppm): 1.33 (s, 6H, C(Me)2), 3.21 (t, J = 7.4 Hz, 2H, NCH2CH2), 3.25 (t, J = 1.8 Hz, 2H, 7-CH2), 4.71 (t, J = 7.4 Hz, 2H, NCH2CH2), 4.97 (t, J = 1.8 Hz, 2H, 4-CH2), 7.19–7.34 (m, 5H, 5CHAr), 9.88 (s, 1H, CH). 13C NMR (75.462 MHz, DMSO-d6) δC: 26.09 (2Me), 34.09 (CH2), 36.22 (7-CH2), 50.87 (NCH2), 58.37 (4-CH2), 69.83 (C6), 118.93 (C), 119.57 (C), 121.54 (C), 126.58 (CHAr), 128.50 (2CHAr), 128.68 (2CHAr), 129.30 (C), 136.28 (1-CH), 136.59 (C), 137.58 (C), 145.67 (C), 148.67 (C), 152.20 (CO). Anal. calcd for C22H20N6O2S: C 61.09; H 4.66; N 19.43; S 7.41%. Found: C 61.16; H 4.70; N 19.21; S 7.29.
- 10-(4-Methoxyphenyl)-6,6-dimethyl-6,7-dihydro-4H-pyrano[4″,3″:4′,5′][1,2,4]triazolo[4″,3″:1′,6′]pyrido[3′,2′:4,5]thieno[3,2-d][1,2,3]triazin-11(10H)-one (14)
- Yellow solid (1.24 g, 94.8%), m.p.: 222–223 °C; IR ν/cm−1: 3102 (N=CH); 1671 (CO). 1H NMR (300 MHz, DMSO-d6/CCl4, 1/3) δH (ppm): 1.41 (s, 6H, C(Me)2), 3.38 (t, J = 1.8 Hz, 2H, 7-CH2), 3.91 (s, 3H, OCH3), 5.05 (t, J = 1.8 Hz, 2H, 4-CH2), 7.07–7.13 (m, 2H, 2CHAr), 7.57–7.63 (m, 2H, 2CHAr), 9.76 (s, 1H, CH). 13C NMR (75.462 MHz, DMSO-d6/CCl4, 1/3) δC: 26.02 (2Me), 36.15 (7-CH2), 55.06 (OCH3), 58.36 (4-CH2), 69.53 (C6), 95.43 (C), 113.74 (2CHAr), 119.14 (C), 119.60 (C), 122.25 (C), 127.10 (2CHAr), 129.04 (C), 130.44 (C), 135.75 (1-CH), 136.51 (C), 145.46 (C), 147.85 (C), 151.77 (C), 159.63 (CO). Anal. calcd for C21H18N6O3S: C 58.05; H 4.18; N 19.34; S 7.38%. Found: C 58.21; H 4.13; N 19.42; S 7.27.
- 10-(4-ethoxyphenyl)-6,6-dimethyl-6,7-dihydro-4H-pyrano[4″,3″:4′,5′][1,2,4]triazolo[4″,3″:1′,6′]pyrido[3′,2′:4,5]thieno[3,2-d][1,2,3]triazin-11(10H)-one (15)
- Yellow solid (1.3 g, 96.9%), m.p.: 329–330 °C; IR ν/cm−1: 3107 (N=CH); 1682 (CO). 1H NMR (300 MHz, DMSO-d6/CCl4, 1/3) δH (ppm): 1.41 (s, 6H, C(Me)2), 1.45 (t, J = 7.0 Hz, 3H, OCH2CH3), 3.40 (t, J = 1.8 Hz, 2H, 7-CH2), 4.15 (q, J = 7.0 Hz, 2H, OCH2CH3), 5.05 (t, J = 1.8 Hz, 2H, 4-CH2), 7.06–7.13 (m, 2H, 2CHAr), 7.54–7.61 (m, 2H, 2CHAr), 9.83 (s, 1H, CH). 13C NMR (75.462 MHz, DMSO-d6/CCl4, 1/3) δC: 14.37 (Me), 26.05 (2Me), 36.19 (7-CH2), 58.36 (4-CH2), 63.19 (OCH2), 69.59 (C6), 95.44 (C), 114.20 (2CHAr), 119.13 (C), 119.66 (C), 122.32 (C), 127.14 (2CHAr), 129.12 (C), 130.31 (C), 135.84 (1-CH), 136.57 (C), 145.52 (C), 147.91 (C), 151.86 (C), 158.99 (CO). Anal. calcd for C22H20N6O3S: C 58.92; H 4.49; N 18.74; S 7.15%. Found: C 59.04; H 4.53; N 18.61; S 7.08.
- 10-(3-chlorophenyl)-6,6-dimethyl-6,7-dihydro-4H-pyrano[4″,3″:4′,5′][1,2,4]triazolo[4″,3″:1′,6′]pyrido[3′,2′:4,5]thieno[3,2-d][1,2,3]triazin-11(10H)-one (16)
- Pale yellow solid (1.29 g, 98.2%), m.p.: 325–326 °C; IR ν/cm−1: 3062, 3120 (N=CH); 1683 (CO). 1H NMR (300 MHz, DMSO-d6) δH (ppm): 1.39 (s, 6H, C(Me)2), 3.41 (t, J = 1.8 Hz, 2H, 7-CH2), 5.07 (t, J = 1.8 Hz, 2H, 4-CH2), 7.65–7.77 (m, 2H, 3CHAr), 7.86–7.90 (m, 1H, CHAr), 9.89 (s, 1H, CH). 13C NMR (75.462 MHz, DMSO-d6) δC: 25.94 (2Me), 36.19 (7-CH2), 58.27 (4-CH2), 69.70 (C6), 119.13 (C), 119.65 (C), 122.49 (C), 125.10 (CHAr), 126.33 (CHAr), 129.13 (C), 129.26 (CHAr), 130.43 (CHAr), 132.91 (C), 136.10 (1-CH), 136.75 (C), 138.98 (C), 145.60 (C), 147.79 (C), 151.95 (CO). Anal. calcd for C20H15ClN6O2S: C 54.73; H 3.44; N 19.15; S 7.31%. Found: C 54.81; H 3.38; N 19.21; S 7.39.
- 10-(2-furylmethyl)-6,6-dimethyl-6,7-dihydro-4H-pyrano[4″,3″:4′,5′][1,2,4]triazolo[4″,3″:1′,6′]pyrido[3′,2′:4,5]thieno[3,2-d][1,2,3]triazin-11(10H)-one (17)
- White solid (1.05 g, 85.7%), m.p.: 328–329 °C; IR ν/cm−1: 3115 (N=CH); 1688 (CO). 1H NMR (300 MHz, DMSO-d6/CCl4, 1/3) δH (ppm): 1.39 (s, 6H, C(Me)2), 3.37 (t, J = 1.8 Hz, 2H, 7-CH2), 5.03 (t, J = 1.8 Hz, 2H, 4-CH2), 5.69 (s, 2H, NCH2), 6.40 (dd, J = 3.2, 1.8 Hz, 1H, CHfuryl), 6.53 (dd, J = 3.2, 0.8 Hz, 1H, CHfuryl), 7.50 (dd, J = 1.8, 0.8 Hz, 1H, CHfuryl), 9.81 (s, 1H, CH). 13C NMR (75.462 MHz, DMSO-d6/CCl4, 1/3) δC: 26.01 (2Me), 36.16 (7-CH2), 45.53 (NCH2), 58.31 (4-CH2), 69.49 (C6), 109.88 (CHfuryl), 110.32 (CHfuryl), 119.13 (C), 119.62 (C), 121.46 (C), 129.08 (C), 135.73 (1-CH), 136.54 (C), 142.71 (CHfuryl), 145.47 (C), 147.75 (C), 148.66 (C), 151.46 (CO). Anal. calcd for C19H16N6O3S: C 55.87; H 3.95; N 20.58; S 7.85%. Found: C 55.96; H 4.00; N 20.49; S 7.79.
3.2. Biological Evaluation
3.2.1. Evaluation of the Anticonvulsant Activity of the Synthesized Compounds
3.2.2. Evaluation of the Psychotropic Properties of the Synthesized Compounds
3.2.3. Histopathological Examination
- Intact group: normal animals;
- Pentylenetetrazole-treated group;
- Experimental group 1: animals treated with compound 13;
- Experimental group 2: animals treated with PTZ and compound 13.
3.3. Docking Studies
3.3.1. Design of Molecular Models
3.3.2. Molecular Docking
3.3.3. Binding Constant Calculation
3.3.4. Conformational Analysis and Visualization
3.3.5. Statistical Analysis
4. Conclusions
Supplementary Materials
Author Contributions
Funding
Institutional Review Board Statement
Informed Consent Statement
Data Availability Statement
Conflicts of Interest
References
- Campos, K.R.; Coleman, P.J.; Alvarez, J.C.; Dreher, S.D.; Garbaccio, R.M.; Terrett, N.K.; Tillyer, R.D.; Truppo, M.D.; Parmee, E.R. The importance of synthetic chemistry in the pharmaceutical industry. Science 2019, 363, eaat0805. [Google Scholar] [CrossRef]
- Milligan, T.A. Epilepsy: A Clinical Overview. Am. J. Med. 2021, 134, 840–847. [Google Scholar] [CrossRef] [PubMed]
- Poduri, A.; Lowenstein, D. Epilepsy genetics—Past, present, and future. Curr. Opin. Genet. Dev. 2011, 21, 325–332. [Google Scholar] [CrossRef]
- Orlandi, N.; Giovannini, G.; Rossi, J.; Cioclu, M.C.; Meletti, S. Clinical outcomes and treatments effectiveness in status epilepticus resolved by antiepileptic drugs: A five-year observational study. Epilepsia Open 2020, 5, 166–175. [Google Scholar] [CrossRef]
- Perucca, P.; Gilliam, F.G. Adverse effects of antiepileptic drugs. Lancet Neurol. 2012, 11, 792–802. [Google Scholar] [CrossRef]
- Kwan, P.; Schachter, S.C.; Brodie, M.J. Drug-resistant epilepsy. N. Engl. J. Med. 2011, 365, 919–926. [Google Scholar] [CrossRef]
- Rho, J.M.; White, H.S. Brief history of anti-seizure drug development. Epilepsia Open 2018, 3, 114–119. [Google Scholar] [CrossRef]
- Kerru, N.; Gummidi, L.; Maddila, S.; Gangu, K.K.; Jonnalagadda, S.B. A review on recent advances in nitrogen-containing molecules and their biological applications. Molecules 2020, 25, 1909. [Google Scholar] [CrossRef] [PubMed]
- Masih, A.; Shrivastava, J.K.; Bhat, H.R.; Singh, U.P. Potent antibacterial activity of dihydydropyrimidine-1,3,5-triazines via inhibition of DNA gyrase and antifungal activity with favourable metabolic profile. Chem. Biol. Drug Des. 2020, 96, 861–869. [Google Scholar] [CrossRef]
- Liu, H.; Long, S.; Rakesh, K.P.; Zha, G.F. Structure-activity relationships (SAR) of triazine derivatives: Promising antimicrobial agents. Eur. J. Med. Chem. 2020, 185, 111804. [Google Scholar] [CrossRef]
- Patel, J.A.; Patel, N.B.; Maisuriya, P.K.; Tiwari, M.R.; Purohit, A.C. Structure-Activity Design, Synthesis and Biological Activity of Newer Imidazole-Triazine Clubbed Derivatives as Antimicrobial and Antitubercular Agents. Lett. Org. Chem. 2022, 19, 126–134. [Google Scholar] [CrossRef]
- Gangasani, J.K.; Yarasi, S.; Naidu, V.G.M.; Vaidya, J.R. Triazine based chemical entities for anticancer activity. Phys. Sci. Rev. 2023, 8, 3545–3575. [Google Scholar] [CrossRef]
- Dai, Q.; Sun, Q.; Ouyang, X.; Liu, J.; Jin, L.; Liu, A.; Jiang, Y. Antitumor activity of s-triazine derivatives: A systematic review. Molecules 2023, 28, 4278. [Google Scholar] [CrossRef]
- Cascioferro, S.; Parrino, B.; Spano, V.; Carbone, A.; Montalbano, A.; Barraja, P.; Diana, P.; Cirrincione, G. Synthesis and antitumor activities of 1, 2, 3-triazines and their benzo-and heterofused derivatives. Eur. J. Med. Chem. 2017, 142, 74–86. [Google Scholar] [CrossRef]
- Paronikyan, E.G.; Noravyan, A.S.; Akopyan, S.F.; Arsenyan, F.G.; Stepanyan, G.M.; Garibdzhanyan, B.T. Synthesis and antitumor activity of pyrano [4′,3′:4,5]pyrido[2,3-b]thieno[3,2-d]-1,2,3-triazine and l,2,3-triazino[4′,5′: 4,5¦ thieno[2,3-c]isoquinoline derivatives. Pharm. Chem. J. 2006, 40, 293–295. [Google Scholar] [CrossRef]
- Bhat, H.R.; Singh, U.P.; Gahtori, P.; Ghosh, S.K.; Gogoi, K.; Prakash, A.; Singh, R.K. Synthesis, Docking, In Vitro and In Vivo Antimalarial Activity of Hybrid 4-aminoquinoline–1,3,5-triazine Derivatives Against Wild and Mutant Malaria Parasites. Chem. Biol. Drug Des. 2015, 86, 265–271. [Google Scholar] [CrossRef]
- Xue, L.; Shi, D.H.; Harjani, J.R.; Huang, F.; Beveridge, J.G.; Dingjan, T.; Ban, K.; Diab, S.; Duffy, S.; Lucantoni, L.; et al. 3,3′-Disubstituted 5,5′-bi (1,2,4-triazine) derivatives with potent in vitro and in vivo antimalarial activity. J. Med. Chem. 2019, 62, 2485–2498. [Google Scholar] [CrossRef] [PubMed]
- Li, Q.; Groaz, E.; Rocha-Pereira, J.; Neyts, J.; Herdewijn, P. Anti-norovirus activity of C7-modified 4-amino-pyrrolo[2,1-f][1,2,4]triazine C-nucleosides. Eur. J. Med. Chem. 2020, 195, 112198. [Google Scholar] [CrossRef] [PubMed]
- Pal, R.; Kumar, B.; PM, G.S.; Chawla, P.A. Design, synthesis of 1,2,4-triazine derivatives as antidepressant and antioxidant agents: In vitro, in vivo and in silico studies. Bioorg. Chem. 2023, 131, 106284. [Google Scholar] [CrossRef]
- Kurczab, R.; Ali, W.; Łażewska, D.; Kotańska, M.; Jastrzębska-Więsek, M.; Satała, G.; Wiecek, M.; Lubelska, A.; Latacz, G.; Partyka, A.; et al. Computer-aided studies for novel arylhydantoin 1,3,5-triazine derivatives as 5-HT6 serotonin receptor ligands with antidepressive-like, anxiolytic and antiobesity action in vivo. Molecules 2018, 23, 2529. [Google Scholar] [CrossRef]
- Gahtori, A.; Singh, A. Ligand-based pharmacophore model for generation of active antidepressant-like agents from substituted 1,3,5-triazine class. Curr. Comput.-Aided Drug Des. 2020, 16, 167–175. [Google Scholar] [CrossRef] [PubMed]
- Kumar, R.; Kumar, N.; Roy, R.K.; Singh, A. Triazines—A comprehensive review of their synthesis and diverse biological importance. Curr. Med. Drug Res. 2017, 1, 173. [Google Scholar] [CrossRef]
- Zarenezhad, E.; Farjam, M.; Iraji, A. Synthesis and biological activity of pyrimidines-containing hybrids: Focusing on pharmacological application. J. Mol. Struct. 2021, 1230, 129833. [Google Scholar] [CrossRef]
- Merugu, S.R.; Cherukupalli, S.; Karpoormath, R. An Overview on Synthetic and Medicinal Perspectives of [1,2,4]Triazolo[1,5-a]pyrimidine Scaffold. Chem. Biodivers. 2022, 19, e202200291. [Google Scholar] [CrossRef] [PubMed]
- Chiacchio, M.A.; Iannazzo, D.; Romeo, R.; Giofrè, S.V.; Legnani, L. Pyridine and pyrimidine derivatives as privileged scaffolds in biologically active agents. Curr. Med. Chem. 2019, 26, 7166–7195. [Google Scholar] [CrossRef] [PubMed]
- Dashyan, S.S.; Babaev, E.V.; Paronikyan, E.G.; Ayvazyan, A.G.; Paronikyan, R.G.; Hunanyan, L.S. Evaluation of Neurotropic Activity and Molecular Docking Study of New Derivatives of pyrano[4″,3″:4′,5′]pyrido [3′,2′:4,5]thieno[3,2-d]pyrimidines on the Basis of pyrano[3,4-c]pyridines. Molecules 2022, 27, 3380. [Google Scholar] [CrossRef]
- Paronikyan, E.G.; Petrou, A.; Fesatidou, M.; Geronikaki, A.; Dashyan, S.S.; Mamyan, S.S.; Paronikyan, R.G.; Nazaryan, I.M.; Akopyan, A.G. Derivatives of a new heterocyclic system–pyrano[3,4-c][1,2,4]triazolo[4,3-a]pyridines: Synthesis, docking analysis and neurotropic activity. MedChemComm 2019, 10, 1399–1411. [Google Scholar] [CrossRef]
- Natarajan, R.; Anthoni Samy, H.N.; Sivaperuman, A.; Subramani, A. Structure-activity relationships of pyrimidine derivatives and their biological activity—A review. Med. Chem. 2023, 19, 10–30. [Google Scholar] [CrossRef]
- Paronikyan, E.G.; Dashyan, S.S.; Mamyan, S.S. Synthesis and Thione–Thiol Tautomerism of 5-Thioxopyrano [3,4-c][1,2,4]triazolo[4,3-a]pyridines. Russ. J. Org. Chem. 2020, 56, 1359–1366. [Google Scholar] [CrossRef]
- Paronikyan, E.G.; Dashyan, S.S.; Mamyan, S.S. Synthesis of pyrano[3,4-c]thieno[3,2-e][1,2,4]triazolo[4,3-a]pyridines, representatives of a new fused heterocyclic system. Mendeleev Commun. 2020, 30, 183–184. [Google Scholar] [CrossRef]
- Paronikyan, E.G.; Dashyan, S.S.; Harutyunyan, A.S.; Mamyan, S.S.; Safaryan, E.S. Synthesis of tetracyclic thienotriazolopyridines based on hydrazine derivatives of fused pyridinethiones. Russ. Chem. Bull. 2022, 71, 1019–1026. [Google Scholar] [CrossRef]
- Katzung, B.G. Drugs Used in Generalized Seizures. In Basic and Clinical Pharmacology, 9th ed.; McGraw-Hill: New York, NY, USA, 2003. [Google Scholar]
- Vogel, H.G.; Vogel, V.H. Psychotropic and Neurotropic Activity. In Drug Discovery and Evaluation: Pharmacological Assays; Vogel, H.E., Ed.; Springer: Berlin, Germany, 2008; Volume 58, pp. 569–874. [Google Scholar]
- Löscher, W.; Schmidt, D. Which animal models should be used in the search for new antiepileptic drugs? A proposal based on experimental and clinical considerations. Epilepsy Res. 1988, 2, 145–181. [Google Scholar] [CrossRef] [PubMed]
- Swinyard, E.A. Experimental Models of Epilepsy; Purpura, D.P., Tower, J.K.P., Woodbury, D., Walter, R.D.M., Eds.; Raven Press: New York, NY, USA, 1992; pp. 433–458. [Google Scholar]
- Yuen, E.S.M.; Troconiz, I.F. Can pentylenetetrazole and maximal electroshock rodent seizure models quantitatively predict antiepileptic efficacy in humans? Seizure 2015, 24, 21–27. [Google Scholar] [CrossRef] [PubMed]
- Bialer, M.; White, H.S. Key factors in the discovery and development of new antiepileptic drugs. Nat. Rev. Drug Discov. 2010, 9, 68–82. [Google Scholar] [CrossRef] [PubMed]
- Löscher, W.; Fassbender, C.P.; Nolting, B. The role of technical, biological and pharmacological factors in the laboratory evaluation of anticonvulsant drugs. II. Maximal electroshock seizure models. Epilepsy Res. 1991, 8, 79–94. [Google Scholar] [CrossRef] [PubMed]
- Löscher, W. Critical review of current animal models of seizures and epilepsy used in the discovery and development of new antiepileptic drugs. Seizure 2011, 20, 359–368. [Google Scholar] [CrossRef] [PubMed]
- Mashkovsky, M.D. Lekarstvennyye Sredstvas. In Medicines, 16th ed.; Novaya Volna: Moscow, Russia, 2021; 1216p. (In Russian) [Google Scholar]
- Dunnett, S.B.; Brooks, S.P. Motor assessment in Huntington’s disease mice. In Huntington’s Disease; Humana Press: New York, NY, USA, 2018; pp. 121–141. [Google Scholar] [CrossRef]
- Litchfield, J.T., Jr.; Wilcoxon, F. A simplified method of evaluating dose-effect experiments. J. Pharmacol. Exp. Ther. 1949, 96, 99–113. [Google Scholar] [PubMed]
- Mironov, A.H. The 1th Part. In Manual for Preclinical Studies of Drugs; Medicine: Moscow, Russia, 2012; pp. 235–250. (In Russian) [Google Scholar]
- File, S.E. Factors controlling measures of anxiety and responses to novelty in the mouse. Behav. Brain Res. 2001, 125, 151–157. [Google Scholar] [CrossRef] [PubMed]
- Stanford, S.C. The Open Field Test: Reinventing the wheel. J. Psychopharmacol. 2007, 21, 134–135. [Google Scholar] [CrossRef]
- Prut, L.; Belzung, C. The open field as a paradigm to measure the effects of drugs on anxiety-like behaviors: A review. Eur. J. Pharmacol. 2003, 463, 3–33. [Google Scholar] [CrossRef]
- Pellow, S.; File, S.E. Anxiolytic and anxiogenic drug effects on exploratory activity in an elevated plus-maze: A novel test of anxiety in the rat. Pharmacol. Biochem. Behav. 1986, 24, 525–529. [Google Scholar] [CrossRef] [PubMed]
- Pellow, S.; Chopin, P.; File, S.E.; Briley, M. Validation of open: Closed arm entries in an elevated plus-maze as a measure of anxiety in the rat. J. Neurosci. Methods 1985, 14, 149–167. [Google Scholar] [CrossRef] [PubMed]
- Jardim, M.C.; Nogueira, R.L.; Graeff, F.G.; Nunes-De-Souza, R.L. Evaluation of the elevated T-maze as an animal model of anxiety in the mouse. Brain Res. Bull. 1999, 48, 407–411. [Google Scholar] [CrossRef] [PubMed]
- Porsolt, R.D.; Anton, G.; Blavet, N.; Jalfre, M. Behavioral despair in rats: A new model sensitive to antidepressant treatments. Eur. J. Pharmacol. 1978, 47, 379–391. [Google Scholar] [CrossRef] [PubMed]
- Petit-Demouliere, B.; Chenu, F.; Bourin, M. Forced swimming test: A review of antidepressant activity. Psychopharmacology 2005, 177, 245–255. [Google Scholar] [CrossRef] [PubMed]
- Borsini, F.; Meli, A. Is the forced swimming test a suitable model for revealing antidepressant activity? Phsychopharmacology 1988, 94, 147–160. [Google Scholar] [CrossRef]
- Paronikyan, R.G.; Avagyan, M.N.; Harutyunyan, A.A.; Avakyan, G.G.; Litvinova, S.A.; Voronina, T.A. Experimental study of the anticonvulsant and psychotropic activities of pufemid, pyrathidine, and compound No 3212 as compared with reference anti-epileptic drugs. Epilepsy Paroxysmal Cond. 2019, 11, 244–254. [Google Scholar] [CrossRef]
- Buresh, Y.; Bureshova, O.; Houston, D.P. Methods and Basic Experiments for Investigation of the Brain and Behavior; Vyssh. Shkola: Moscow, Russia, 1991; pp. 175–189. (In Russian) [Google Scholar]
- Fischer, W.; Kittner, H.; Regenthal, R.; Russo, E.; De Sarro, G. Effects of piracetam alone and in combination with antiepileptic drugs in rodent seizure models. J. Neural Transm. 2004, 111, 1121–1139. [Google Scholar] [CrossRef]
- Karpova, M.N.; Vetrile, L.A.; Klishina, N.Y.; Trekova, N.A.; Kuznetsova, L.V.; Evseev, V.A. Elevation of corazol-induced seizure threshold after active immunization of mice of various genetic strains with glutamate-bovine serum albumin conjugate. Bull. Exp. Biol. Med. 2003, 136, 250–252. [Google Scholar] [CrossRef]
- Bazyan, A.S.; Zhulin, V.V.; Karpova, M.N.; Klishina, N.Y.; Glebov, R. Long term reduction of benzodiazepine receptor density in the rat cerebellum by acute seizures and kindling and its recovery 6 months later by a pentylenetetrazol challenge. Brain Res. 2001, 888, 212–220. [Google Scholar] [CrossRef]
- Gupta, Y.K.; Veerendra Kumar, M.H.; Srivastava, A.K. Effect of Centella asiatica on pentylenetetrazole-induced kindling, cognition and oxidative stress in rats. Pharmacol. Biochem. Behav. 2003, 74, 579–585. [Google Scholar] [CrossRef]
- Yin, Y.H.; Ahmad, N.; Makmor-Bakry, M. Pathogenesis of epilepsy: Challenges in animal models. Iran. J. Basic Med. Sci. 2013, 16, 1119–1132. [Google Scholar] [PubMed Central]
- Gasparyan, H.V.; Buloyan, S.A.; Pogosyan, A.E.; Arshakyan, L.M.; Harutyunyan, L.S.; Paronikyan, R.G.; Nazaryan, I.M.; Dashyan, S.S.; Paronikyan, E.G. Pathomorphological investigation of neuroprotective activity of new derivatives of fused pyrazolyl-thienopyridines in Corazol-induced seizures. Clin. Exp. Morphol. 2021, 10, 53–62. [Google Scholar] [CrossRef]
- Pitkänen, A.; Lukasiuk, K. Molecular and cellular basis of epileptogenesis in symptomatic epilepsy. Epilepsy Behav. 2009, 14, 16–25. [Google Scholar] [CrossRef]
- Vezzani, A.; Aronica, E.; Mazarati, A.; Pittman, Q.J. Epilepsy and brain inflammation. Exp. Neurol. 2013, 244, 11–21. [Google Scholar] [CrossRef]
- Cook, A.M.; Bensalem-Owen, M.K. Mechanisms of action of antiepileptic drugs. Clin. Pract. 2011, 8, 307–313. [Google Scholar] [CrossRef]
- White, H.S.; Smith, M.D.; Wilcox, K.S. Mechanisms of action of antiepileptic drugs. Int. Rev. Neurobiol. 2007, 81, 85–110. [Google Scholar] [CrossRef] [PubMed]
- Puthenkalam, R.; Hieckel, M.; Simeone, X.; Suwattanasophon, C.; Feldbauer, R.V.; Ecker, G.F.; Ernst, M. Structural studies of GABAA receptor binding sites: Which experimental structure tells us what? Front. Mol. Neurosci. 2016, 9, 44. [Google Scholar] [CrossRef] [PubMed]
- Sigel, E.; Baur, R.; Rácz, I.; Marazzi, J.; Smart, T.G.; Zimmer, A.; Gertsch, J. The major central endocannabinoid directly acts at GABAA receptors. Proc. Natl. Acad. Sci. USA 2011, 108, 18150–18155. [Google Scholar] [CrossRef]
- Thiele, E.A.; Bebin, E.M.; Filloux, F.; Kwan, P.; Loftus, R.; Sahebkar, F.; Sparagana, S.; Wheless, J. Long-term cannabidiol treatment for seizures in patients with tuberous sclerosis complex: An open-label extension trial. Epilepsia 2022, 63, 426–439. [Google Scholar] [CrossRef]
- Rackers, J.A.; Wang, Z.; Lu, C.; Laury, M.L.; Lagardère, L.; Schnieders, M.J.; Piquemal, J.-P.; Ren, P.; Ponderet, J.W. Tinker 8: Software tools for molecular design. J. Chem. Theory Comput. 2018, 14, 5273–5289. [Google Scholar] [CrossRef]
- Casewit, C.J.; Colwell, K.S.; Rappe, A.K. Application of a universal force field to organic molecules. J. Am. Chem. Soc. 1992, 114, 10035–10046. [Google Scholar] [CrossRef]
- Rose, P.W.; Bi, C.; Bluhm, W.F.; Christie, C.H.; Dimitropoulos, D.; Dutta, S.; Green, R.K.; Goodsell, D.S.; Prlić, A.; Quesada, M.; et al. The RCSB Protein Data Bank: New resources for research and education. Nucleic Acids Res. 2012, 41, D475–D482. [Google Scholar] [CrossRef] [PubMed]
- Trott, O.; Olson, A.J. AutoDock Vina: Improving the speed and accuracy of docking with a new scoring function, efficient optimization, and multithreading. J. Comput. Chem. 2010, 31, 455–461. [Google Scholar] [CrossRef] [PubMed]
- Fogolari, F.; Brigo, A.; Molinari, H. The Poisson–Boltzmann equation for biomolecular electrostatics: A tool for structural biology. J. Mol. Recognit. 2002, 15, 377–392. [Google Scholar] [CrossRef]
- Jejurikar, B.L.; Rohane, S.H. Drug designing in discovery studio. Asian J. Res. Chem. 2021, 14, 135–138. [Google Scholar] [CrossRef]









| Compound | R | Yield (%) 1 | Compound | R | Yield (%) 1 |
|---|---|---|---|---|---|
| 2 | H | 93.0 | 10 | H | 85.9 |
| 3 | C6H5 | 92.0 | 11 | C6H5 | 86.6 |
| 4 | CH2C6H5 | 95.0 | 12 | CH2C6H5 | 86.2 |
| 5 | (CH2)2C6H5 | 87.1 | 13 | (CH2)2C6H5 | 87.8 |
| 6 | C6H4-4-OMe | 89.1 | 14 | C6H4-4-OMe | 94.8 |
| 7 | C6H4-4-OEt | 91.4 | 15 | C6H4-4-OEt | 96.9 |
| 8 | C6H4-3-Cl | 93.0 | 16 | C6H4-3-Cl | 98.2 |
| 9 | 2-furylmethyl | 81.8 | 17 | 2-furylmethyl | 85.7 |
| Compounds (50 mg/kg) n = 8 | Antagonism by PTZ (ED50, mg/kg) * | Myorelaxation (TD50, mg/kg) * | MTD, (mg/kg) * | TI | Latency of Convulsions Induced by TSC, min | |
|---|---|---|---|---|---|---|
| M ± м | I ** | |||||
| Control | − | − | − | − | − | − |
| 5 | 30.0 (25.0 ÷ 36) | >200 | >500 | >16.7 | 74.8 ± 12.2 | 1.2 |
| 6 | 40.0 (32.8 ÷ 48.8) | >200 | >600 | >15 | 80.4 ± 8.9 | 1.3 |
| 7 | 36.0 (23.0 ÷ 56.1) | >200 | >700 | >19.4 | 89.6 ± 7.2 | 1.4 |
| 8 | 41.0 (21.6 ÷ 77.9 | >200 | >600 | >14.6 | 73.2 ± 9.7 | 1.2 |
| 9 | 34.0 (28.3 ÷ 40.8) | >200 | >600 | >17.6 | 125 ± 10.8 | 2.0 |
| 10 | 55.0 (45.5 ÷ 65.5) | >200 | >700 | >23 | 106 ± 10.8 | 1.7 |
| 11 | 35.0 (30 ÷ 41.3) | >200 | >500 | >14.3 | 96.6 ± 9.1 | 1.5 |
| 12 | 42.0 (35 ÷ 50.4) | >200 | >800 | >19 | 108 ± 9.1 | 1.7 |
| 13 | 20.0 (16.6 ÷ 24) | >200 | >1000 | >50 | 128 ±15.2 | 2.05 |
| 14 | 23.0 (19.2 ÷ 27.6) | >200 | >800 | >34.8 | 120.3 ± 10 | 1.9 |
| 15 | 28.0 (22.4 ÷ 35) | >200 | >700 | >25 | 82.0 ± 8.2 | 1.3 |
| 16 | 35.0 (28.2 ÷ 43.4) | >200 | >500 | >14.3 | 90.0 ± 12.3 | 1.4 |
| 17 | 44.0 (36.4 ÷ 53.7) | >200 | >800 | >18.2 | 108.0 ± 13.5 | 1.7 |
| Ethosuximide (200 mg/kg) | 155.0 (117.5 ÷ 205) | 520.0 (426 ÷ 634) | 1325 (1200 ÷ 1462) | 8.5 | 118 ± 14.0 | 1.8 |
| Diazepam (2 mg/kg) | 0.5 (0.4÷0.7) | 2.7 (1.4÷5.5) | 180 (128.5 ÷ 252.0) | 360 | 65 ± 3.5 | 1.04 |
| Compounds n = 8 | Dose, mg/kg | Amount (Absolute Data during 5 min) * | ||
|---|---|---|---|---|
| Horizontal Displacement | Vertical Displacement | Sniffing of Cells | ||
| Control | – | 25.8 ± 3.2 | 6.1 ± 0.7 | 0.5 ± 0.2 |
| 5 | 50 | 17.0 ± 4.6 ** | 2,4 ± 0.7 ** | 1.4± 0.3 ** |
| 6 | 50 | 22.4 ± 5.4 | 2.2 ± 0.6 ** | 2.6 ± 0.6 ** |
| 7 | 50 | 9.2 ± 3.5 ** | 1.6 ± 0.5 ** | 0.9 ± 0.1 ** |
| 8 | 50 | 19.6 ± 2.1 ** | 2.2 ± 0.7 ** | 2.1 ± 0.5 ** |
| 9 | 50 | 17.6 ± 4.1 ** | 4.1 ± 0.9 ** | 1.9 ± 0.5 ** |
| 10 | 50 | 17.2 ± 3.3 ** | 3.3 ± 1.6 ** | 2.4 ± 0.6 ** |
| 11 | 50 | 15.0 ± 3.8 ** | 1.8 ± 1.3 ** | 1.2 ± 0.2 ** |
| 12 | 50 | 16.6 ± 3.3 ** | 3.1 ± 0.9 ** | 2.5 ± 0.5 ** |
| 13 | 50 | 37.5 ± 3.3 ** | 6.5 ± 1.6 | 3.3 ± 0.6 ** |
| 14 | 50 | 18.6 ± 3.0 ** | 2.8 ± 0.7 ** | 2.7 ± 0.3 ** |
| 15 | 50 | 17.2 ± 3.1 ** | 2.4 ± 0.4 ** | 2.0 ± 0.4 ** |
| 16 | 50 | 22.0 ± 2.5 | 2.4 ± 0.2 ** | 1.4 ± 0.1 ** |
| 17 | 50 | 13.2 ± 2.8 ** | 1.2 ± 0.4 ** | 2.2 ± 0.3 ** |
| Ethosuximide | 200 | 26.8 ± 3.8 | 5.8 ± 1.9 | 0.6 ± 0.08 |
| Diazepam | 2 | 33.6 ± 4.2 ** | 6.4 ± 1.0 | 3.2 ± 0.9 ** |
| Compound n = 8 | Time Spent in Closed Arms, /s/* | Number of Entries into the Closed Arms * | Time Spent in the Center, /s/* | Time Spent in the Open Arms, /s/* |
|---|---|---|---|---|
| Control | 278.2 ± 20.0 | 7.0 ± 1.2 | 21.8 ± 4.4 | – |
| 5 (50 mg/kg) | 222.0 ± 15.8 ** | 4.6 ± 0.7 ** | 13.0 ± 3.2 ** | 65.0 ± 8.7 ** |
| 6 (50 mg/kg) | 224.0 ± 20.6 ** | 4.4 ± 0.8 ** | 45.0 ± 6.2 ** | 31.0 ± 7.7 *** |
| 7 (50 mg/kg) | 250.0 ± 17.0 ** | 3.8 ± 0.9 ** | 26.0 ± 7.1 | 24.0 ± 8.1 ** |
| 8 (50 mg/kg) | 210.0 ± 18.9 ** | 3.9 ± 0.9 ** | 19.0 ± 5.1 | 71.0 ± 10.2 ** |
| 9 (50 mg/kg) | 167.0 ± 15.5 ** | 4.8 ± 0.9 ** | 35.0 ± 5.7 ** | 98.0 ± 8.6 ** |
| 10 (50 mg/kg) | 235.0 ± 21.0 ** | 4.7 ± 1.0 ** | 31.0 ± 5.7 ** | 34.0 ± 5.4 ** |
| 11 (50 mg/kg) | 192.0 ± 16.6 ** | 3.8 ± 1.3 ** | 21.0 ± 4.2 | 87.0 ± 13.0 ** |
| 12 (50 mg/kg) | 208.2 ± 19.8 ** | 3.9 ± 1.1 ** | 38.0 ± 5.5 ** | 54.0 ± 5.5 ** |
| 13 (50 mg/kg) | 98.0 ± 10.1 ** | 3.9 ± 1.1 ** | 68.0 ± 9.9 ** | 134.0 ± 11.2 ** |
| 14 (50 mg/kg) | 228.0 ± 23.7 ** | 3.6 ± 0.8 ** | 26.0 ± 4.2 ** | 46.0 ± 6.6 ** |
| 15 (50 mg/kg) | 202.0 ± 19.9 ** | 2.2 ± 0.7 ** | 17.0 ± 3.1 | 81.0 ± 12.2 ** |
| 16 (50 mg/kg) | 197.4 ± 14.7 ** | 4.0 ± 1.0 ** | 77.0 ± 8.8 ** | 26.0 ± 7.2 ** |
| 17 (50 mg/kg) | 208.0 ± 20.1 ** | 4.2 ± 1.0 ** | 24.0 ± 3.5 ** | 68.0 ± 7.7 ** |
| Ethosuximide 200 mg/kg | 245.2 ± 15.0 | 8.1 ± 2.5 | 54.8 ± 4.7 ** | – |
| Diazepam 2 mg/kg | 200.5 ± 15.2 ** | 5.5 ± 1.2 | 42.5 ± 3.9 ** | 57.0 ± 4.2 ** |
| Compound n = 8 | Dose, mg/kg | Latent Period I Immobilization, /s/* | Total Time of Immobilization/s/* | Total Time of Active Swimming, /s/* |
|---|---|---|---|---|
| Control | – | 92.0 ± 7.8 | 81.0 ± 8.8 | 279.0 ± 13.3 |
| 5 | 50 | 134.0 ± 25.2 ** | 8.0 ± 2.7 | 352.0 ± 25.3 ** |
| 6 | 50 | 101.0 ± 18.6 ** | 7.0 ± 1.2 ** | 353.0 ± 21.0 ** |
| 7 | 50 | – | 360 | – |
| 8 | 50 | 105.0 ± 9.8 ** | 25.0 ± 7.8 ** | 335.0 ± 21.0 ** |
| 9 | 50 | 109.0 ± 10.6 ** | 20.0 ± 5.5 ** | 340.0 ± 19.9 ** |
| 10 | 50 | 71.0 ± 8.6 | 78.0 ± 2.7 | 282.0 ± 17.7 |
| 11 | 50 | 78.0 ± 15.3 | 108.0 ± 22.1 ** | 252.0 ± 20.1 ** |
| 12 | 50 | 104.0 ± 6.4 ** | 28.0 ± 6.8 ** | 332.0 ± 21.0 ** |
| 13 | 50 | 150.0 ± 17.2 ** | 3.0 ± 0.5 ** | 357.0 ± 23.3 ** |
| 14 | 50 | 144.0 ± 8.0 ** | 16.0 ± 4.8 ** | 344.0 ± 18.8 ** |
| 15 | 50 | 120.0 ± 9.7 ** | 10.1 ± 2.7 ** | 349.9 ± 20.1 ** |
| 16 | 50 | 124.0 ± 11.7 ** | 8.0 ± 1.8 ** | 352.0 ± 23.0 ** |
| 17 | 50 | 107.0 ± 5.8 ** | 5.9 ± 0.7 ** | 354.1 ± 20.7 ** |
| Ethosux. | 200 | 105 ± 9.6 | 98 ± 9.9 ** | 262 ±14.4 |
| Diazep. | 2 | 174 ± 18.1 ** | 24 ± 6.6 ** | 336 ± 18.9 ** |
| Compounds (50 mg/kg) | The Time Spent in the Light Chamber during the CRPA Training (s), First Day * | The Time Spent in the Light Chamber When Playing CRPA + MES after 24 h (s), Second Day * |
|---|---|---|
| Control | 280.0 ± 7.5 | 281.0 ± 6.1 |
| 5 | 286.0 ± 4.3 | 297.4 ± 6.9 ** |
| 6 | 283.0 ± 5.2 | 287.0 ± 7.2 |
| 7 | 286.0 ± 5.3 | 289.0 ± 6.3 |
| 8 | 267.0 ± 7.2 | 292.2 ± 5.8 ** |
| 9 | 286.0 ± 7.3 | 292.0 ± 5.3 |
| 10 | 281.0 ± 6.4 | 287.0 ± 5.3 |
| 11 | 285.0 ± 6.8 | 290.0 ± 7.2 |
| 12 | 285.0 ± 6.1 | 295.4 ± 5.3 ** |
| 13 | 283.0 ± 5.8 | 298. 0 ± 5.3 ** |
| 14 | 282.0 ± 6.8 | 296.0 ± 5.4 ** |
| 15 | 283.0 ± 7.1 | 297.5 ± 6.8 ** |
| 16 | 280.0 ± 8.0 | 295.4 ± 5.3 |
| 17 | 285.0 ± 6.5 | 295.4 ± 5.3 ** |
| Diazepam (2 mg/kg) | 187.0 ± 6.7 * | 126.0 ± 6.5 ** |
| Piracetam (1000 mg/kg) | 158.0 ± 5.9 * | 243.7 ± 8.4 ** |
| Structure ID | Complexation Energy kcal/mol | RMSD | Binding Constant Kb |
|---|---|---|---|
| 7 | −8.20 ± 0.41 | 1.773 | 9.4 × 105 |
| 8 | −9.23 ± 0.46 | 1.866 | 5.3 × 106 |
| 13 | −9.45 ± 0.47 | 1.370 | 7.7 × 106 |
| Diazepam | −7.5 ± 0.37 | 1.20 | 2.9 × 105 |
Disclaimer/Publisher’s Note: The statements, opinions and data contained in all publications are solely those of the individual author(s) and contributor(s) and not of MDPI and/or the editor(s). MDPI and/or the editor(s) disclaim responsibility for any injury to people or property resulting from any ideas, methods, instructions or products referred to in the content. |
© 2024 by the authors. Licensee MDPI, Basel, Switzerland. This article is an open access article distributed under the terms and conditions of the Creative Commons Attribution (CC BY) license (https://creativecommons.org/licenses/by/4.0/).
Share and Cite
Paronikyan, E.G.; Dashyan, S.S.; Mamyan, S.S.; Paronikyan, R.G.; Nazaryan, I.M.; Balyan, K.V.; Gasparyan, H.V.; Buloyan, S.A.; Hunanyan, L.S.; Hobosyan, N.G. Synthesis and Psychotropic Properties of Novel Condensed Triazines for Drug Discovery. Pharmaceuticals 2024, 17, 829. https://doi.org/10.3390/ph17070829
Paronikyan EG, Dashyan SS, Mamyan SS, Paronikyan RG, Nazaryan IM, Balyan KV, Gasparyan HV, Buloyan SA, Hunanyan LS, Hobosyan NG. Synthesis and Psychotropic Properties of Novel Condensed Triazines for Drug Discovery. Pharmaceuticals. 2024; 17(7):829. https://doi.org/10.3390/ph17070829
Chicago/Turabian StyleParonikyan, Ervand G., Shushanik Sh. Dashyan, Suren S. Mamyan, Ruzanna G. Paronikyan, Ivetta M. Nazaryan, Kristine V. Balyan, Hrachik V. Gasparyan, Sona A. Buloyan, Lernik S. Hunanyan, and Nina G. Hobosyan. 2024. "Synthesis and Psychotropic Properties of Novel Condensed Triazines for Drug Discovery" Pharmaceuticals 17, no. 7: 829. https://doi.org/10.3390/ph17070829
APA StyleParonikyan, E. G., Dashyan, S. S., Mamyan, S. S., Paronikyan, R. G., Nazaryan, I. M., Balyan, K. V., Gasparyan, H. V., Buloyan, S. A., Hunanyan, L. S., & Hobosyan, N. G. (2024). Synthesis and Psychotropic Properties of Novel Condensed Triazines for Drug Discovery. Pharmaceuticals, 17(7), 829. https://doi.org/10.3390/ph17070829

