Amber (Succinite) Extract Enhances Glucose Uptake through the Up-Regulation of ATP and Down-Regulation of ROS in Mouse C2C12 Cells
Abstract
1. Introduction
2. Results
2.1. Protective Effect of AMB against H2O2
2.2. ROS Production in AMB-Treated C2C12 Cells
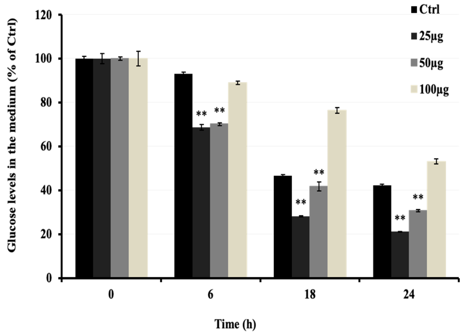
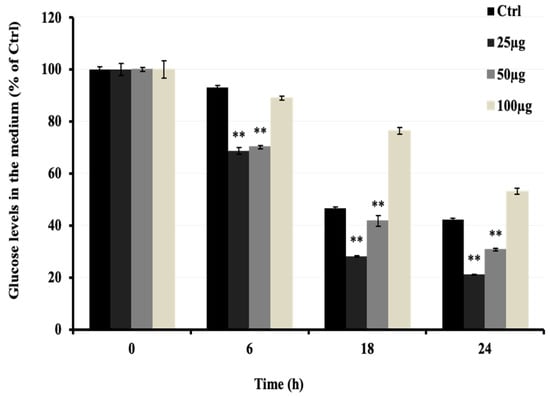
2.3. Effect of AMB on Glucose Uptake in C2C12 Cells
2.4. Effect of AMB on ATP Levels in C2C12 Cells
2.5. Effect of AMB on the Copy Number of Mitochondria in C2C12 Cells
2.6. Effect of AMB on GLUT4, GLUT1, and PGC-1α Gene Expression in C2C12 Cells
3. Discussion
4. Materials and Methods
4.1. Chemical and Reagents
4.2. Sample Preparation
4.3. Cell Culture
4.4. Protective Properties of AMB against H2O2-Induced Cytotoxicity in C2C12 Cells
4.5. ROS Determination
4.6. Glucose Uptake
4.7. Intracellular ATP Measurement
4.8. MitoTracker Green
4.9. Gene Expression Analysis
4.10. Statistical Analysis
5. Conclusions
Author Contributions
Funding
Institutional Review Board Statement
Informed Consent Statement
Data Availability Statement
Acknowledgments
Conflicts of Interest
References
- Kim, K.M.; Jang, H.C. Differences among skeletal muscle mass indices derived from height-, weight- and body mass index-adjusted models in assessing sarcopenia. Korean J. Intern. Med. 2016, 31, 643–650. [Google Scholar] [CrossRef] [PubMed]
- Chen, Z.; Li, W.; Guo, Q.; Xu, L.; Santhanam, R.K.; Gao, X.; Chen, Y.; Wang, C.; Panichayupakaranant, P.; Chen, H. Anthocyanins from dietary black soybean potentiate glucose uptake in L6 rat skeletal muscle cells via up-regulating phosphorylated Akt and GLUT4. J. Funct. Foods 2019, 52, 663–669. [Google Scholar] [CrossRef]
- Chen, C.N. Chapter 28, late-onset caloric restriction alters skeletal muscle metabolism. In Metabolism from Animal and Human Studies, Nutrition & Functional Foods for Healthy Aging; Waston, R.R., Ed.; Academic Press: Cambridge, MA, USA, 2017; p. 337.e344. [Google Scholar] [CrossRef]
- Sakai, H.; Suzuki, Y.; Miyauchi, Y.; Sato, F.; Ando, Y.; Kon, R.; Ikarashi, N.; Chiba, Y.; Kamei, J.; Hosoe, T. Downregulation of Sparc-like protein 1 during cisplatin-induced inhibition of myogenic differentiation of C2C12 myoblast. Biochem. Pharmacol. 2022, 204, 115234. [Google Scholar] [CrossRef] [PubMed]
- Krishnan, V.; Rani, R.; Awana, M.; Pitale, D.; Kulshreshta, A.; Sharma, S.; Bollinedi, H.; Singh, A.; Singh, B.; Singh, A.K.; et al. Role of nutraceutical starch and proanthocyanidins of pigmented rice in regulating hyperglycemia: Enzyme inhibition, enhanced glucose uptake and hepatic glucose homeostasis using in vitro model. Food Chem. 2021, 335, 127505. [Google Scholar] [CrossRef] [PubMed]
- Alam, M.B.; Bajpai, V.K.; Ra, J.S.; Lim, J.Y.; An, H.; Shukla, S.; Quan, K.T.; Khan, I.; Huh, Y.S.; Han, Y.K.; et al. Anthraquinone-type inhibitor of α-glucosidase enhances glucose uptake by activating an insulin-like signaling pathway in C2C12 myotubes. Food Chem. Toxicol. 2019, 129, 337–343. [Google Scholar] [CrossRef] [PubMed]
- Higaki, Y.; Mikami, T.; Fujii, N.; Hirshman, M.F.; Koyama, K.; Seino, T.; Tanaka, K.; Goodyear, L.J. Oxidative stress stimulates skeletal muscle glucose uptake through a phosphatidylinositol 3-kinase-dependent pathway. Am. J. Physiol. Endocrinol. Metab. 2008, 294, E889–E897. [Google Scholar] [CrossRef] [PubMed]
- Lipko, M.; Debski, B. Mechanism of insulin-like effect of chromium (III) ions on glucose uptake in C2C12 mouse myotubes involves ROS formation. J. Trace Elem. Med. Biol. 2018, 45, 171–175. [Google Scholar] [CrossRef]
- Ding, H.; Heng, B.; He, W.; Shi, L.; Lai, C.; Xiao, L.; Ren, H.; Mo, S.; Su, Z. Chronic reactive oxygen species exposure inhibits glucose uptake and causes insulin resistance in C2C12 myotubes. Biochem. Biophys. Res. Commun. 2016, 478, 798–803. [Google Scholar] [CrossRef]
- Olatunji, O.J.; Chen, H.; Zhou, Y. Neuroprotective effect of trans-N-caffeoyltyramine from Lycium chinense against H2O2 induced cytotoxicity in PC12 cells by attenuating oxidative stress. Biomed. Pharmacother. 2017, 93, 895–902. [Google Scholar] [CrossRef]
- Chen, D.; Zeng, Q.; Yuan, Y.; Cui, B.; Luo, W. Baltic amber or Burmese amber: FTIR studies on amber artifacts of Eastern Han Dynasty unearthed from Nanyang. Spectrochim. Acta A Mol. Biomol. Spectrosc. 2019, 222, 117270. [Google Scholar] [CrossRef]
- Sogo, E.; Zhou, S.; Haeiwa, H.; Takeda, R.; Okazaki, K.; Sekita, M.; Yamamoto, T.; Yamano, M.; Sakamoto, K. Amber Extract Reduces Lipid Content in Mature 3T3-L1 Adipocytes by Activating the Lipolysis Pathway. Molecules 2021, 26, 4630. [Google Scholar] [CrossRef] [PubMed]
- Siu, P.M.; Wang, Y.; Always, S.E. Apoptotic signaling induced by H2O2-mediated oxidative stress in differentiated C2C12 myotubes. Life Sci. 2009, 84, 468–481. [Google Scholar] [CrossRef] [PubMed]
- Norbert, V. The chemistry of Amber—Facts, Findings and Opinions. Ann. Des. Naturhistorischen Wien 2009, 111A, 445–474. [Google Scholar]
- Ma, J.; Meng, X.; Kang, S.Y.; Zhang, J.; Jung, H.W.; Park, Y.K. Regulatory effects of the fruit extract of Lycium chinense and its active compound, betaine, on muscle differentiation and mitochondrial biogenesis in C2C12 cells. Biomed. Pharmacother. 2019, 118, 109297. [Google Scholar] [CrossRef] [PubMed]
- Wang, C.; Zhang, Y.; Li, F.; Wei, Y. Conserved roles of glucose in suppressing reactive oxygen species-induced cell death and animal survival. Aging 2019, 11, 5726–5739. [Google Scholar] [CrossRef] [PubMed]
- Lee, J.H.; Kim, T.K.; Kang, M.C.; Kim, B.K.; Choi, Y.S. Protective effects of edible insect protein extracts from Protaetia brevitaris against H2O2-induced oxidative stress in mouse C2C12 myoblast cells. Foods Biosci. 2023, 52, 102396. [Google Scholar] [CrossRef]
- Liemburg-Apers, D.C.; Willems, P.H.G.M.; Koopman, W.J.H.; Grefte, S. Interactions between mitochondrial reactive oxygen species and cellular glucose metabolism. Arch. Toxicol. 2015, 89, 1209–1226. [Google Scholar] [CrossRef] [PubMed]
- Andrisse, S.; Koehler, R.M.; Chen, J.E.; Patel, G.D.; Vallurupalli, V.R.; Ratliff, B.A.; Warren, D.E.; Fisher, J.S. Role of GLUT1 in regulation of oxygen species. Redox Biol. 2014, 2, 764–771. [Google Scholar] [CrossRef] [PubMed]
- Kim, M.S.; Lee, J.; Ha, J.; Kim, S.S.; Kong, Y.; Cho, Y.H.; Baik, H.H.; Kang, I. ATP stimulates glucose transport through activation of P2 purinergic receptors in C2C12 skeletal muscle cells. Arch. Biochem. Biophys. 2002, 401, 205–214. [Google Scholar]
- Osorio-Fuentealba, C.; Contreras-Ferrat, A.E.; Altamirano, F.; Espinosa, A.; Li, Q.; Niu, W.; Lavandero, S.; Klip, A.; Jaimovich, E. Electrical Stimuli Release ATP to Increase GLUT4 Translocation and Glucose Uptake via PI3Kγ-Akt-AS160 in Skeletal Muscle Cells. Diabetes 2013, 62, 1519–1526. [Google Scholar] [CrossRef]
- Mukai, E.; Fujimoto, S.; Inagaki, N. Role of reactive Oxygen Species in Glucose Metabolism Disorder in Diabetic Pancreatic β-cells. Biomolecules 2022, 12, 1228. [Google Scholar] [CrossRef] [PubMed]
- Hinkle, J.S.; Rivera, C.N.; Vaughan, R.A. AICAR stimulates mitochondrial biogenesis and BCAA catabolic enzyme expression in C2C12 myotubes. Biochimie 2022, 195, 77–85. [Google Scholar] [CrossRef] [PubMed]
- O’Neill, H.M.; Holloway, G.P.; Steinberg, G.R. AMPK regulation of fatty acid metabolism and mitochondrial biogenesis: Implications for obesity. Mol. Cell. Endocrinol. 2013, 366, 135–151. [Google Scholar] [CrossRef] [PubMed]
- Fu, Y.; Tao, L.; Wang, X.; Wang, B.; Qin, W.; Song, L. PGC-1α participates in regulating mitochondrial function in aged sarcopenia through effects on the Sestrin2-mediated mTORC1 pathway. Exp. Gerontol. 2024, 190, 112428. [Google Scholar] [CrossRef]
- Presley, A.D.; Fuller, K.M.; Arriaga, E.A. Mito Tracker Green labeling of mitochondrial proteins and their subsequent analysis by capillary electrophoresis with laser-induced fluorescence detection. J. Chromatogr. B 2003, 793, 141–150. [Google Scholar] [CrossRef]
- Kikuchi, K.; Ben Othman, M.; Sakamoto, K. Sterilized bifidobacteria suppressed fat accumulation and blood glucose level. Biochem. Biophys. Res. Commun. 2018, 501, 1041–1047. [Google Scholar] [CrossRef]






Disclaimer/Publisher’s Note: The statements, opinions and data contained in all publications are solely those of the individual author(s) and contributor(s) and not of MDPI and/or the editor(s). MDPI and/or the editor(s) disclaim responsibility for any injury to people or property resulting from any ideas, methods, instructions or products referred to in the content. |
© 2024 by the authors. Licensee MDPI, Basel, Switzerland. This article is an open access article distributed under the terms and conditions of the Creative Commons Attribution (CC BY) license (https://creativecommons.org/licenses/by/4.0/).
Share and Cite
Othman, M.B.; Takeda, R.; Sekita, M.; Okazaki, K.; Sakamoto, K. Amber (Succinite) Extract Enhances Glucose Uptake through the Up-Regulation of ATP and Down-Regulation of ROS in Mouse C2C12 Cells. Pharmaceuticals 2024, 17, 586. https://doi.org/10.3390/ph17050586
Othman MB, Takeda R, Sekita M, Okazaki K, Sakamoto K. Amber (Succinite) Extract Enhances Glucose Uptake through the Up-Regulation of ATP and Down-Regulation of ROS in Mouse C2C12 Cells. Pharmaceuticals. 2024; 17(5):586. https://doi.org/10.3390/ph17050586
Chicago/Turabian StyleOthman, Mahmoud Ben, Reiko Takeda, Marie Sekita, Kazuma Okazaki, and Kazuichi Sakamoto. 2024. "Amber (Succinite) Extract Enhances Glucose Uptake through the Up-Regulation of ATP and Down-Regulation of ROS in Mouse C2C12 Cells" Pharmaceuticals 17, no. 5: 586. https://doi.org/10.3390/ph17050586
APA StyleOthman, M. B., Takeda, R., Sekita, M., Okazaki, K., & Sakamoto, K. (2024). Amber (Succinite) Extract Enhances Glucose Uptake through the Up-Regulation of ATP and Down-Regulation of ROS in Mouse C2C12 Cells. Pharmaceuticals, 17(5), 586. https://doi.org/10.3390/ph17050586
